FlowCLOc, a New Tool for Selecting the Most Appropriate Antibodies in Flow Cytometry
Abstract
1. Introduction
2. Results
2.1. Preliminary Considerations
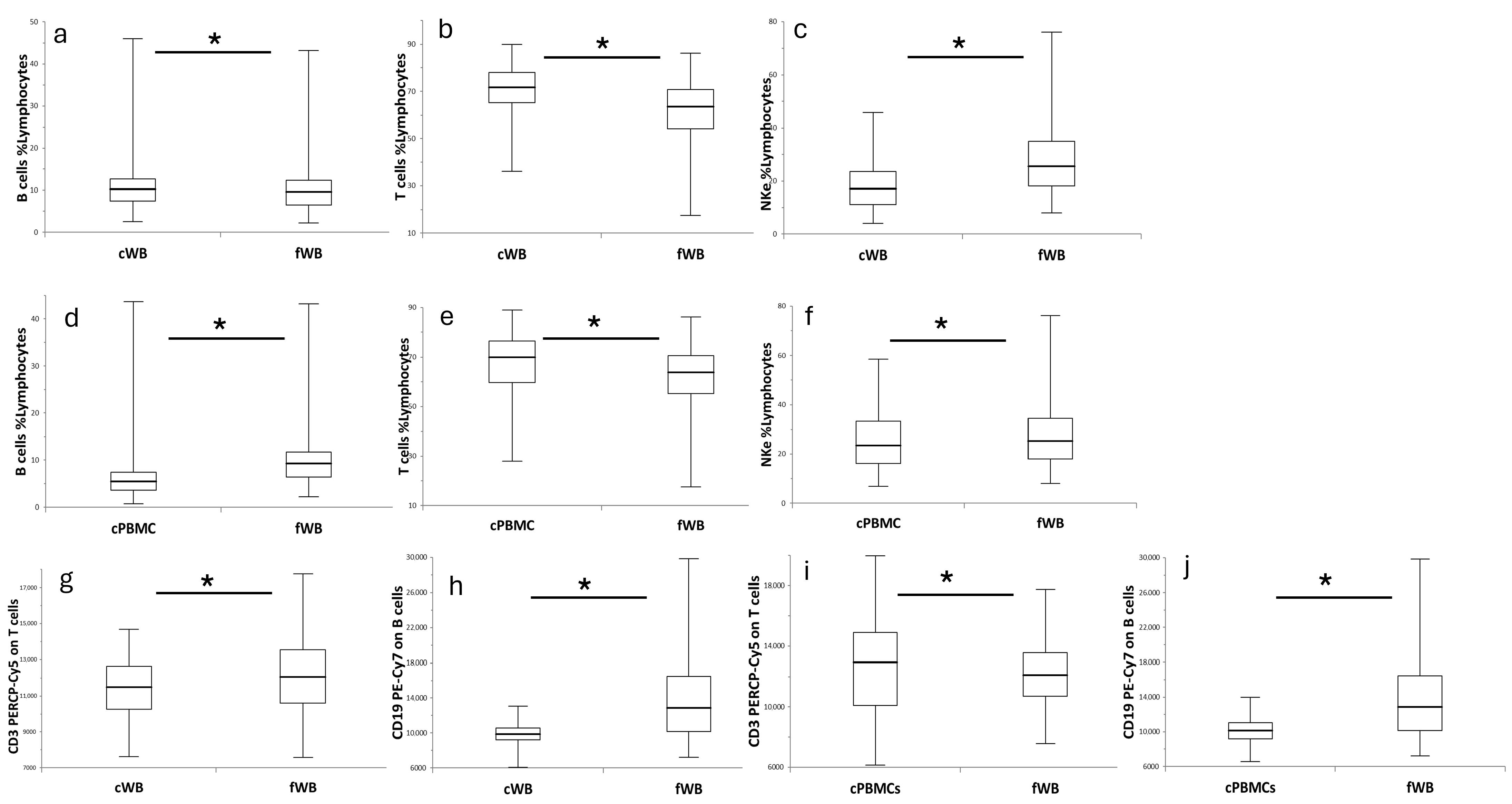
2.2. Effect of Cryopreservation on Lymphocytes and Their Main Subsets
2.3. Effect of Cryopreservation on B Cells
2.4. Effect of Cryopreservation on T Cells
2.5. Effect of Cryopreservation on NKe Cells
2.6. Effect of Cryopreservation on Monocytes
2.7. Chemokine Receptor Staining in Fresh Blood at Different Temperatures
2.8. Comparison of Chemokine Receptors in Cryopreserved and Fresh Samples
3. Discussion
4. Materials and Methods
4.1. Samples
4.2. Cryopreservation of Whole Blood
4.3. Separation and Storage of Peripheral Blood Mononuclear Cells
4.4. Cell Staining
4.4.1. Fresh Whole Blood
4.4.2. Chemokine Receptor Staining
4.4.3. Immunoglobulin Staining
4.4.4. Cryopreserved Whole Blood and PBMCs
4.5. Statistical Analysis
4.6. FlowCLOc Generation
Supplementary Materials
Author Contributions
Funding
Institutional Review Board Statement
Informed Consent Statement
Data Availability Statement
Conflicts of Interest
References
- Orrù, V.; Steri, M.; Sole, G.; Sidore, C.; Virdis, F.; Dei, M.; Lai, S.; Zoledziewska, M.; Busonero, F.; Mulas, A.; et al. Genetic variants regulating immune cell levels in health and disease. Cell 2013, 155, 242–256. [Google Scholar] [CrossRef]
- Orrù, V.; Steri, M.; Sidore, C.; Marongiu, M.; Serra, V.; Olla, S.; Sole, G.; Lai, S.; Dei, M.; Mulas, A.; et al. Complex genetic signatures in immune cells underlie autoimmunity and inform therapy. Nat. Genet. 2020, 52, 1036–1045, Erratum in Nat. Genet. 2020, 52, 1266. https://doi.org/10.1038/s41588-020-00718-6. [Google Scholar] [CrossRef]
- Roederer, M.; Quaye, L.; Mangino, M.; Beddall, M.H.; Mahnke, Y.; Chattopadhyay, P.; Tosi, I.; Napolitano, L.; Barberio, M.T.; Menni, C.; et al. The genetic architecture of the human immune system: A bioresource for autoimmunity and disease pathogenesis. Cell 2015, 161, 387–403. [Google Scholar] [CrossRef]
- Hartmann, F.J.; Babdor, J.; Gherardini, P.F.; Amir, E.-A.D.; Jones, K.; Sahaf, B.; Marquez, D.M.; Krutzik, P.; O’dOnnell, E.; Sigal, N.; et al. Comprehensive immune monitoring of clinical trials to advance human immunotherapy. Cell Rep. 2019, 28, 819–831.e4. [Google Scholar] [CrossRef] [PubMed]
- Gao, J.; Luo, Y.; Li, H.; Zhao, Y.; Zhao, J.; Han, X.; Han, J.; Lin, H.; Qian, F. Deep Immunophenotyping of Human Whole Blood by Standardized Multi-parametric Flow Cytometry Analyses. Phenomics 2023, 3, 309–328, Correction in Phenomics 2024. https://doi.org/10.1007/s43657-023-00149-3. [Google Scholar] [CrossRef] [PubMed]
- Orrù, V.; Serra, V.; Marongiu, M.; Lai, S.; Lodde, V.; Zoledziewska, M.; Steri, M.; Loizedda, A.; Lobina, M.; Piras, M.G.; et al. Implications of disease-modifying therapies for multiple sclerosis on immune cells and response to COVID-19 vaccination. Front. Immunol. 2024, 15, 1416464. [Google Scholar] [CrossRef]
- Blache, U.; Weiss, R.; Boldt, A.; Kapinsky, M.; Blaudszun, A.-R.; Quaiser, A.; Pohl, A.; Miloud, T.; Burgaud, M.; Vucinic, V.; et al. Advanced Flow Cytometry Assays for Immune Monitoring of CAR-T Cell Applications. Front. Immunol. 2021, 12, 658314. [Google Scholar] [CrossRef] [PubMed]
- Maryamchik, E.; Gallagher, K.M.E.; Preffer, F.I.; Kadauke, S.; Maus, M.V. New directions in chimeric antigen receptor T cell [CAR-T] therapy and related flow cytometry. Cytometry. Part. B Clin. Cytom. 2020, 98, 299–327. [Google Scholar] [CrossRef]
- Capelle, C.M.; Ciré, S.; Ammerlaan, W.; Konstantinou, M.; Balling, R.; Betsou, F.; Cosma, A.; Ollert, M.; Hefeng, F.Q. Standard Peripheral Blood Mononuclear Cell Cryopreservation Selectively Decreases Detection of Nine Clinically Relevant T Cell Markers. ImmunoHorizons 2021, 5, 711–720. [Google Scholar] [CrossRef]
- Baker, M. Biorepositories: Building better biobanks. Nature 2012, 486, 141–146, Correction in Nature 2012, 490, 298. https://doi.org/10.1038/490298a. [Google Scholar] [CrossRef]
- Verschoor, C.P.; Kohli, V.; Balion, C.A. comprehensive assessment of immunophenotyping performed in cryopreserved peripheral whole blood. Cytometry. Part. B Clin. Cytom. 2018, 94, 662–670. [Google Scholar] [CrossRef]
- Braudeau, C.; Salabert-Le Guen, N.; Chevreuil, J.; Rimbert, M.; Martin, J.C.; Josien, R. An easy and reliable whole blood freezing method for flow cytometry immuno-phenotyping and functional analyses. Cytometry. Part. B Clin. Cytom. 2021, 100, 652–665. [Google Scholar] [CrossRef]
- Serra, V.; Orrù, V.; Lai, S.; Lobina, M.; Steri, M.; Cucca, F.; Fiorillo, E. Comparison of Whole Blood Cryopreservation Methods for Extensive Flow Cytometry Immunophenotyping. Cells 2022, 11, 1527. [Google Scholar] [CrossRef] [PubMed]
- Hughes, C.E.; Nibbs, R.J.B. A guide to chemokines and their receptors. FEBS J. 2018, 285, 2944–2971. [Google Scholar] [CrossRef]
- Nieto, J.C.; Cantó, E.; Zamora, C.; Ortiz, M.A.; Juárez, C.; Vidal, S. Selective loss of chemokine receptor expression on leukocytes after cell isolation. PLoS ONE 2012, 7, e31297. [Google Scholar] [CrossRef] [PubMed]
- Sakkestad, S.T.; Skavland, J.; Hanevik, K. Whole blood preservation methods alter chemokine receptor detection in mass cytometry experiments. J. Immunol. Methods 2020, 476, 112673. [Google Scholar] [CrossRef] [PubMed]
- Serra, V.; Fiorillo, E.; Cucca, F.; Orrù, V. Quantifying the Detrimental Effects of Multiple Freeze/Thaw Cycles on Primary Human Lymphocyte Survival and Function. Int. J. Mol. Sci. 2022, 24, 634. [Google Scholar] [CrossRef] [PubMed]
- Carsetti, R.; Corrente, F.; Capponi, C.; Mirabella, M.; Cascioli, S.; Palomba, P.; Bertaina, V.; Pagliara, D.; Colucci, M.; Mortari, E.P. Comprehensive phenotyping of human peripheral blood B lymphocytes in pathological conditions. Cytom. Part. A: J. Int. Soc. Anal. Cytol. 2022, 101, 140–149. [Google Scholar] [CrossRef]
- Rastogi, I.; Jeon, D.; Moseman, J.E.; Muralidhar, A.; Potluri, H.K.; McNeel, D.G. Role of B cells as antigen presenting cells. Front. Immunol. 2022, 13, 954936. [Google Scholar] [CrossRef] [PubMed]
- Miyara, M.; Yoshioka, Y.; Kitoh, A.; Shima, T.; Wing, K.; Niwa, A.; Parizot, C.; Taflin, C.; Heike, T.; Valeyre, D.; et al. Functional delineation and differentiation dynamics of human CD4+ T cells expressing the FoxP3 transcription factor. Immunity 2009, 30, 899–911. [Google Scholar] [CrossRef]
- von Essen, M.R.; Stolpe, L.E.; Bach Søndergaard, H.; Sellebjerg, F. The origin of human CD20+ T cells: A stolen identity? Front. Immunol. 2024, 15, 1487530. [Google Scholar] [CrossRef]
- Lee, A.Y.S. CD20+ T cells: An emerging T cell subset in human pathology. Inflamm. Res. 2022, 71, 1181–1189. [Google Scholar] [CrossRef]
- Vlaming, M.; Bilemjian, V.; Freile, J.Á.; Lourens, H.J.; van Rooij, N.; Huls, G.; van Meerten, T.; de Bruyn, M.; Bremer, E. CD20 positive CD8 T cells are a unique and transcriptionally-distinct subset of T cells with distinct transmigration properties. Sci. Rep. 2021, 11, 20499. [Google Scholar] [CrossRef]
- Caligiuri, M.A. Human natural killer cells. Blood 2008, 112, 461–469. [Google Scholar] [CrossRef]
- Forconi, C.S.; Oduor, C.I.; Oluoch, P.O.; Ong’echa, J.M.; Münz, C.; Bailey, J.A.; Moormann, A.M. A New Hope for CD56negCD16pos NK Cells as Unconventional Cytotoxic Mediators: An Adaptation to Chronic Diseases. Front. Cell. Infect. Microbiol. 2020, 10, 162. [Google Scholar] [CrossRef]
- Sivori, S.; Vacca, P.; Del Zotto, G.; Munari, E.; Mingari, M.C.; Moretta, L. Human NK cells: Surface receptors, inhibitory checkpoints, and translational applications. Cell. Mol. Immunol. 2019, 16, 430–441. [Google Scholar] [CrossRef] [PubMed]
- Jakubzick, C.V.; Randolph, G.J.; Henson, P.M. Monocyte differentiation and antigen-presenting functions. Nat. Rev. Immunol. 2017, 17, 349–362. [Google Scholar] [CrossRef]
- Mildner, A.; Kim, K.W.; Yona, S. Unravelling monocyte functions: From the guardians of health to the regulators of disease. Discov. Immunol. 2024, 3, kyae014. [Google Scholar] [CrossRef]
- Ziegler-Heitbrock, L. Monocyte subsets in man and other species. Cell. Immunol. 2014, 289, 135–139. [Google Scholar] [CrossRef] [PubMed]
- Bhusal, R.P.; Foster, S.R.; Stone, M.J. Structural basis of chemokine and receptor interactions: Key regulators of leukocyte recruitment in inflammatory responses. Protein Sci. 2020, 29, 420–432. [Google Scholar] [CrossRef] [PubMed]
- Förster, R.; Davalos-Misslitz, A.C.; Rot, A. CCR7 and its ligands: Balancing immunity and tolerance. Nat. Rev. Immunol. 2008, 8, 362–371. [Google Scholar] [CrossRef]
- Sallusto, F.; Lenig, D.; Förster, R.; Lipp, M.; Lanzavecchia, A. Two subsets of memory T lymphocytes with distinct homing potentials and effector functions. Nature 1999, 401, 708–712. [Google Scholar] [CrossRef]
- Whaley, D.; Damyar, K.; Witek, R.P.; Mendoza, A.; Alexander, M.; Lakey, J.R. Cryopreservation: An Overview of Principles and Cell-Specific Considerations. Cell Transplant. 2021, 30, 963689721999617. [Google Scholar] [CrossRef] [PubMed]
- Awan, M.; Buriak, I.; Fleck, R.; Fuller, B.; Goltsev, A.; Kerby, J.; Lowdell, M.; Mericka, P.; Petrenko, A.; Petrenko, Y.; et al. Dimethyl sulfoxide: A central player since the dawn of cryobiology, is efficacy balanced by toxicity? Regen. Med. 2020, 15, 1463–1491. [Google Scholar] [CrossRef] [PubMed]
- Ticha, O.; Moos, L.; Bekeredjian-Ding, I. Effects of long-term cryopreservation of PBMC on recovery of B cell subpopulations. J. Immunol. Methods 2021, 495, 113081. [Google Scholar] [CrossRef]
- Golab, K.; Leveson-Gower, D.; Wang, X.-J.; Grzanka, J.; Marek-Trzonkowska, N.; Krzystyniak, A.; Millis, J.M.; Trzonkowski, P.; Witkowski, P. Challenges in cryopreservation of regulatory T cells (Tregs) for clinical therapeutic applications. Int. Immunopharmacol. 2013, 16, 371–375. [Google Scholar] [CrossRef]
- Saultz, J.N.; Otegbeye, F. Optimizing the cryopreservation and post-thaw recovery of natural killer cells is critical for the success of off-the-shelf platforms. Front. Immunol. 2023, 14, 1304689. [Google Scholar] [CrossRef]
- Seale, A.C.; de Jong, B.C.; Zaidi, I.; Duvall, M.; Whittle, H.; Rowland-Jones, S.; Jaye, A. Effects of cryopreservation on CD4+ CD25+ T cells of HIV-1 infected individuals. J. Clin. Lab. Anal. 2008, 22, 153–158. [Google Scholar] [CrossRef] [PubMed]
- Gołąb, K.; Grose, R.; Placencia, V.; Wickrema, A.; Solomina, J.; Tibudan, M.; Konsur, E.; Ciepły, K.; Marek-Trzonkowska, N.; Trzonkowski, P.; et al. Cell banking for regulatory T cell-based therapy: Strategies to overcome the impact of cryopreservation on the Treg viability and phenotype. Oncotarget 2018, 9, 9728–9740. [Google Scholar] [CrossRef]
- Berg, M.; Lundqvist, A.; McCoy, P.; Samsel, L., Jr.; Fan, Y.; Tawab, A.; Childs, R. Clinical-grade ex vivo-expanded human natural killer cells up-regulate activating receptors and death receptor ligands and have enhanced cytolytic activity against tumor cells. Cytotherapy 2009, 11, 341–355. [Google Scholar] [CrossRef]
- Mark, C.; Czerwinski, T.; Roessner, S.; Mainka, A.; Hörsch, F.; Heublein, L.; Winterl, A.; Sanokowski, S.; Richter, S.; Bauer, N.; et al. Cryopreservation impairs 3-D migration and cytotoxicity of natural killer cells. Nat. Commun. 2020, 11, 5224. [Google Scholar] [CrossRef]
- Qi, K.; Jia, D.; Zhou, S.; Zhang, K.; Guan, F.; Yao, M.; Sui, X. Cryopreservation of Immune Cells: Recent Progress and Challenges Ahead. Adv. Biol. 2024, 8, e2400201. [Google Scholar] [CrossRef] [PubMed]
- Arnaud, F.; Yang, H.; McGann, L.E. Freezing injury of granulocytes during slow cooling: Role of the granules. Cryobiology 1996, 33, 391–403. [Google Scholar] [CrossRef] [PubMed]
- Vian, A.M.; Higgins, A.Z. Membrane permeability of the human granulocyte to water, dimethyl sulfoxide, glycerol, propylene glycol and ethylene glycol. Cryobiology 2014, 68, 35–42. [Google Scholar] [CrossRef] [PubMed]
- Langenskiöld, C.; Mellgren, K.; Abrahamsson, J.; Bemark, M. Determination of blood cell subtype concentrations from frozen whole blood samples using TruCount beads. Cytometry. Part. B Clin. Cytom. 2018, 94, 660–666. [Google Scholar] [CrossRef]
- Boonlayangoor, P.; Telischi, M.; Boonlayangoor, S.; Sinclair, T.F.; Millhouse, E.W. Cryopreservation of human granulocytes: Study of granulocyte function and ultrastructure. Blood 1980, 56, 237–245. [Google Scholar] [CrossRef]
- Pilia, G.; Chen, W.-M.; Scuteri, A.; Orrú, M.; Albai, G.; Dei, M.; Lai, S.; Usala, G.; Lai, M.; Loi, P.; et al. Heritability of cardiovascular and personality traits in 6,148 Sardinians. PLoS Genet. 2006, 2, e132. [Google Scholar] [CrossRef]








Disclaimer/Publisher’s Note: The statements, opinions and data contained in all publications are solely those of the individual author(s) and contributor(s) and not of MDPI and/or the editor(s). MDPI and/or the editor(s) disclaim responsibility for any injury to people or property resulting from any ideas, methods, instructions or products referred to in the content. |
© 2026 by the authors. Licensee MDPI, Basel, Switzerland. This article is an open access article distributed under the terms and conditions of the Creative Commons Attribution (CC BY) license.
Share and Cite
Serra, V.; Orrù, V.; Lai, S.; Dei, M.; Marongiu, M.; Piras, M.G.; Virdis, F.; Floris, M.; Delogu, G.; Lodde, V.; et al. FlowCLOc, a New Tool for Selecting the Most Appropriate Antibodies in Flow Cytometry. Int. J. Mol. Sci. 2026, 27, 1664. https://doi.org/10.3390/ijms27041664
Serra V, Orrù V, Lai S, Dei M, Marongiu M, Piras MG, Virdis F, Floris M, Delogu G, Lodde V, et al. FlowCLOc, a New Tool for Selecting the Most Appropriate Antibodies in Flow Cytometry. International Journal of Molecular Sciences. 2026; 27(4):1664. https://doi.org/10.3390/ijms27041664
Chicago/Turabian StyleSerra, Valentina, Valeria Orrù, Sandra Lai, Mariano Dei, Michele Marongiu, Maria Grazia Piras, Francesca Virdis, Matteo Floris, Giuseppe Delogu, Valeria Lodde, and et al. 2026. "FlowCLOc, a New Tool for Selecting the Most Appropriate Antibodies in Flow Cytometry" International Journal of Molecular Sciences 27, no. 4: 1664. https://doi.org/10.3390/ijms27041664
APA StyleSerra, V., Orrù, V., Lai, S., Dei, M., Marongiu, M., Piras, M. G., Virdis, F., Floris, M., Delogu, G., Lodde, V., Pala, M., Pitzalis, M., Fiorillo, E., & Cucca, F. (2026). FlowCLOc, a New Tool for Selecting the Most Appropriate Antibodies in Flow Cytometry. International Journal of Molecular Sciences, 27(4), 1664. https://doi.org/10.3390/ijms27041664

