Neuroprotective Potential of Hericium erinaceus Through Modulation of Inflammatory Signaling in THP-1 Macrophages Under Low-Level Lead Exposure
Abstract
1. Introduction
2. Results
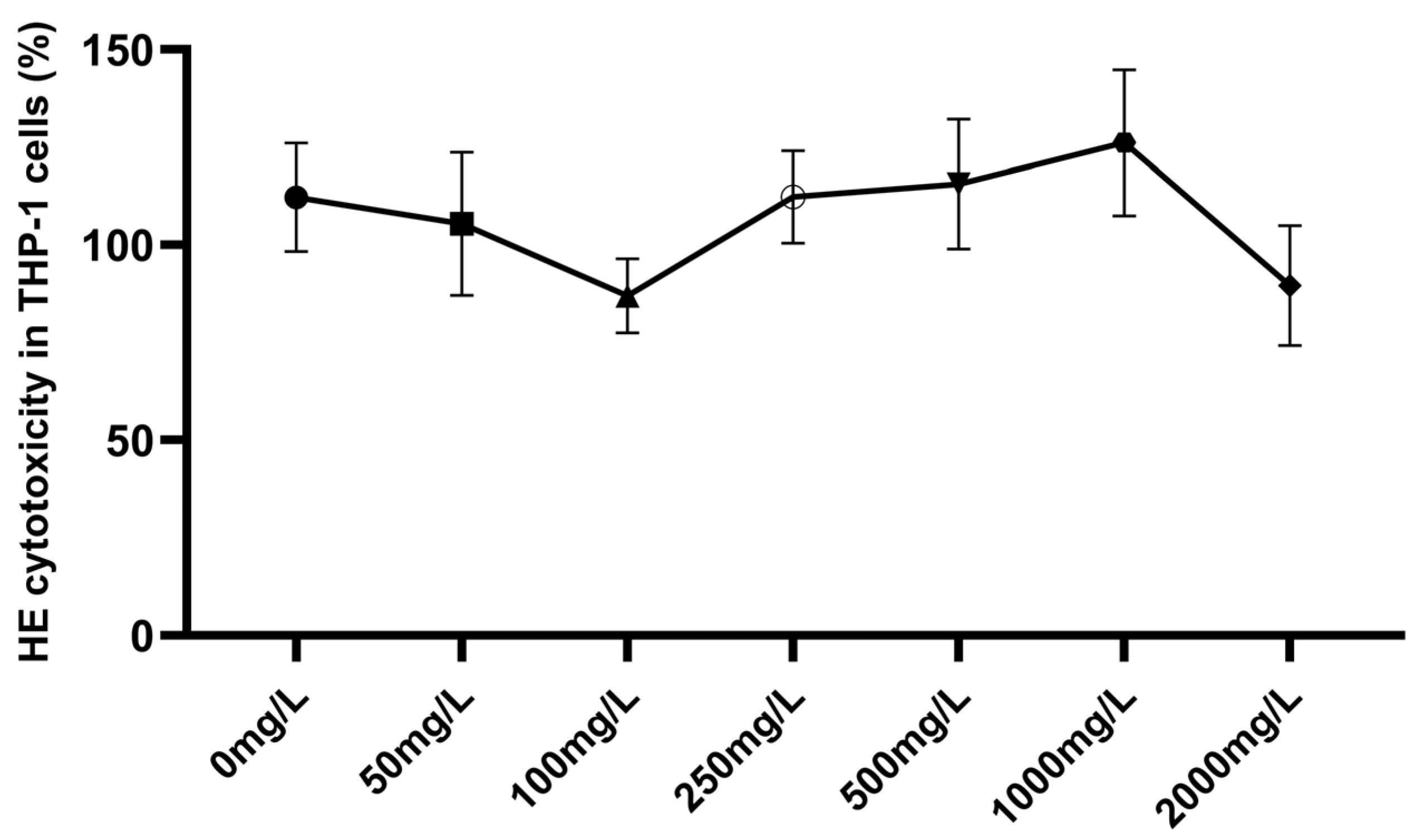
2.1. Hericium erinaceus Cytotoxicity in THP-1 Macrophages
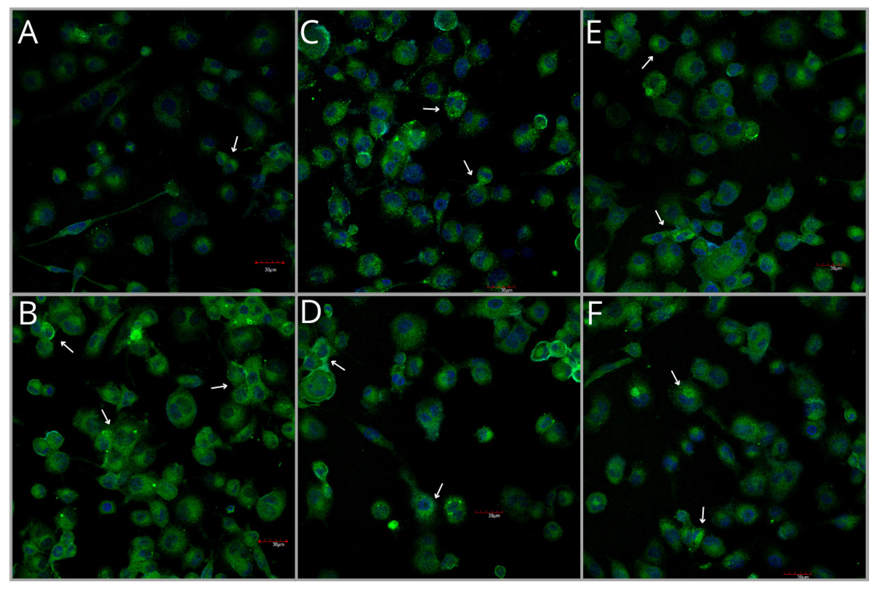
2.2. Morphology of THP-1 Macrophages
2.3. Cytokines and Chemokines
2.3.1. TNF alpha mRNA Expression
2.3.2. TNF Alpha Concentration in Culture Media
2.3.3. MCP-1 Concentration in Macrophage Culture Media
2.3.4. Il-6 Concentration in Macrophage Culture Media
2.4. Cyclooxygenases Expression and Activity
2.4.1. COX-1 mRNA Expression
2.4.2. COX-2 mRNA Expression
2.4.3. COX-1 Protein Expression Measured by ICC Analysis
2.4.4. COX-2 Protein Expression Measured by Immunocytochemical (ICC) Analysis
2.4.5. TXB2 Concentration in Macrophage Culture Media
2.4.6. PGE2 Concentration in Macrophage Culture Media
3. Discussion
3.1. The Modulation of Neuroinflammatory Signaling by Hericium Erinacues
3.2. Lead-Induced Immune Dysregulation
3.3. Immunomodulatory Action of Hericium erinaceus in THP-1 Macrophages Under Low-Level Lead Exposure
4. Materials and Methods
4.1. Reagents and Equipment Used in the Study
4.2. Preparation of Hericium erinaceus Extract
4.3. Cell Culture and Treatment
- (A)
- Control—cells cultured without any additives (n = 6);
- (B)
- Pb—cells treated with 3.5 µg/dL lead acetate;
- (C)
- 250HE—cells treated with 250 mg/L HE extract;
- (D)
- 500HE—cells treated with 500 mg/L HE extract;
- (E)
- Pb + 250HE—cells treated with 3.5 µg/dL lead acetate and 250 mg/L HE extract;
- (F)
- Pb + 500HE—cells treated with 3.5 µg/dL lead acetate and 500 mg/L HE extract.
4.4. Gene Expression Analysis of TNF alpha, COX-1, and COX-2 Genes Using Rt-Pcr
4.4.1. Total RNA Isolation
4.4.2. Gene Expression Determination
4.5. TNF Alpha Concentration Determination Using AlphaLISA
4.6. MCP-1, IL-6, PGE2 and TXB2 Concentration Determination Using Elisa
4.7. Imaging of Cyclooxygenase-1 and Cyclooxygenase-2 Expression
4.8. Statistical Analysis
5. Conclusions
Limitations of the Study
Author Contributions
Funding
Institutional Review Board Statement
Informed Consent Statement
Data Availability Statement
Acknowledgments
Conflicts of Interest
Abbreviations
| Aβ | beta-amyloid |
| Akt | protein kinase B |
| BDNF | brain-derived neurotrophic factor |
| cAMP/PKA | cyclic adenosine monophosphate/protein kinase A |
| CDC | Centers for Disease Control and Prevention |
| CNS | central nervous system |
| COX | Cyclooxygenases |
| COX-1 | cyclooxygenase-1 |
| COX-2 | cyclooxygenase-2 |
| EP | E-prostanoid receptors |
| HE | Hericium erinaceus |
| IL | interleukins |
| MAPK | mitogen-activated protein kinase |
| MCP-1 | monocyte chemoattractant protein-1 |
| MIP-1α | macrophage inflammatory protein 1 alpha |
| MMP-9 | matrix metalloproteinase-9 |
| mTOR | mechanistic target of rapamycin |
| NF-κB | nuclear factor kappa-B |
| NFAT | nuclear factor of activated T cells |
| NGF | nerve growth factor |
| Nrf2 | nuclear factor erythroid 2-related factor 2 |
| Pb | lead |
| PGE2 | prostaglandin E2 |
| PI3K | phosphoinositide 3-kinase |
| PLCγ | phospholipase C gamma |
| PMA | phorbol 12-myristate 13-acetate |
| RAF | rapidly accelerated fibrosarcoma kinase |
| Ras | rat sarcoma proto-oncogene |
| ROS | reactive oxygen species |
| RPMI | Roswell Park Memorial Institute |
| TGFβ | transforming growth factor beta |
| TNF alpha | tumor necrosis factor alpha |
| TNFR2 | tumor necrosis factor receptor 2 |
| TrkB | tropomyosin receptor kinase B |
| TXA2 | thromboxane A2 |
| TXB2 | thromboxane B2 |
References
- Farfara, D.; Lifshitz, V.; Frenkel, D. Neuroprotective and Neurotoxic Properties of Glial Cells in the Pathogenesis of Alzheimer’s Disease. J. Cell. Mol. Med. 2008, 12, 762. [Google Scholar] [CrossRef]
- Qin, J.; Ma, Z.; Chen, X.; Shu, S. Microglia Activation in Central Nervous System Disorders: A Review of Recent Mechanistic Investigations and Development Efforts. Front. Neurol. 2023, 14, 1103416. [Google Scholar] [CrossRef]
- Bondy, S.C. Metal Toxicity and Neuroinflammation. Curr. Opin. Toxicol. 2021, 26, 8–13. [Google Scholar] [CrossRef]
- Briseño-Bugarín, J.; Araujo-Padilla, X.; Escot-Espinoza, V.M.; Cardoso-Ortiz, J.; Flores de la Torre, J.A.; López-Luna, A. Lead (Pb) Pollution in Soil: A Systematic Review and Meta-Analysis of Contamination Grade and Health Risk in Mexico. Environments 2024, 11, 43. [Google Scholar] [CrossRef]
- Yu, Y.-L.; An, D.-W.; Yang, W.-Y.; Zhang, D.-Y.; Martens, D.S.; Nawrot, T.S.; Staessen, J.A. Health Risks Related to Environmental and Occupational Lead Exposure. Kardiol. Pol. 2025, 83, 138–148. [Google Scholar] [CrossRef] [PubMed]
- Lebedová, J.; Nováková, Z.; Večeřa, Z.; Buchtová, M.; Dumková, J.; Dočekal, B.; Bláhová, L.; Mikuška, P.; Míšek, I.; Hampl, A.; et al. Impact of Acute and Subchronic Inhalation Exposure to PbO Nanoparticles on Mice. Nanotoxicology 2018, 12, 290–304. [Google Scholar] [CrossRef]
- CDC About Childhood Lead Poisoning Prevention. Available online: https://www.cdc.gov/lead-prevention/about/index.html (accessed on 30 December 2025).
- Sampson, M.M.; Morgan, R.K.; Sloan, S.A.; Bakulski, K.M. Single-Cell Investigation of Lead Toxicity from Neurodevelopment to Neurodegeneration: Current Review and Future Opportunities. Curr. Opin. Toxicol. 2024, 38, 100464. [Google Scholar] [CrossRef] [PubMed]
- Reuben, A. Childhood Lead Exposure and Adult Neurodegenerative Disease. J. Alzheimer’s Dis. 2018, 64, 17–42. [Google Scholar] [CrossRef]
- Peng, D.; Wang, L.; Fang, Y.; Lu, L.; Li, Z.; Jiang, S.; Chen, J.; Aschner, M.; Li, S.; Jiang, Y. Lead Exposure Induces Neurodysfunction through Caspase-1-Mediated Neuronal Pyroptosis. Environ. Res. 2024, 255, 119210. [Google Scholar] [CrossRef]
- Horton, C.J.; Weng, H.-Y.; Wells, E.M. Association between Blood Lead Level and Subsequent Alzheimer’s Disease Mortality. Environ. Epidemiol. 2019, 3, e045. [Google Scholar] [CrossRef] [PubMed]
- Coon, S.; Stark, A.; Peterson, E.; Gloi, A.; Kortsha, G.; Pounds, J.; Chettle, D.; Gorell, J. Whole-Body Lifetime Occupational Lead Exposure and Risk of Parkinson’s Disease. Environ. Health Perspect. 2006, 114, 1872–1876. [Google Scholar] [CrossRef]
- Chibowska, K.; Baranowska-Bosiacka, I.; Falkowska, A.; Gutowska, I.; Goschorska, M.; Chlubek, D. Effect of Lead (Pb) on Inflammatory Processes in the Brain. Int. J. Mol. Sci. 2016, 17, 2140. [Google Scholar] [CrossRef]
- Gonzalez-Villalva, A.; Marcela, R.-L.; Nelly, L.-V.; Patricia, B.-N.; Guadalupe, M.-R.; Brenda, C.-T.; Maria Eugenia, C.-V.; Martha, U.-C.; Isabel, G.-P.; Fortoul, T.I. Lead Systemic Toxicity: A Persistent Problem for Health. Toxicology 2025, 515, 154163. [Google Scholar] [CrossRef] [PubMed]
- Peng, J.; Zhou, F.; Wang, Y.; Xu, Y.; Zhang, H.; Zou, F.; Meng, X. Differential Response to Lead Toxicity in Rat Primary Microglia and Astrocytes. Toxicol. Appl. Pharmacol. 2019, 363, 64–71. [Google Scholar] [CrossRef]
- Daniel Lee, C.Y.; Landreth, G.E. The Role of Microglia in Amyloid Clearance from the AD Brain. J. Neural Transm. 2010, 117, 949–960. [Google Scholar] [CrossRef]
- Yang, G.; Meng, Y.; Li, W.; Yong, Y.; Fan, Z.; Ding, H.; Wei, Y.; Luo, J.; Ke, Z.-J. Neuronal MCP-1 Mediates Microglia Recruitment and Neurodegeneration Induced by the Mild Impairment of Oxidative Metabolism. Brain Pathol. 2011, 21, 279–297. [Google Scholar] [CrossRef]
- Bishayi, B.; Sengupta, M.; Ghosh, S. Lead Induced Modulation of Splenic Macrophage Responses on Humoral and Cell Mediated Immunity. Acta Microbiol. Immunol. Hung. 2004, 51, 31–45. [Google Scholar] [CrossRef]
- Jusko, T.A.; Singh, K.; Greener, E.A.; Oktapodas Feiler, M.; Thevenet-Morrison, K.; Lawrence, B.P.; Wright, R.O.; Thurston, S.W. Blood Lead Concentrations and Antibody Levels to Measles, Mumps, and Rubella among U.S. Children. Int. J. Environ. Res. Public Health 2019, 16, 3035. [Google Scholar] [CrossRef]
- Sobin, C.; Montoya, M.G.F.; Parisi, N.; Schaub, T.; Cervantes, M.; Armijos, R.X. Microglial Disruption in Young Mice with Early Chronic Lead Exposure. Toxicol. Lett. 2013, 220, 44–52. [Google Scholar] [CrossRef] [PubMed]
- Erta, M.; Quintana, A.; Hidalgo, J. Interleukin-6, a Major Cytokine in the Central Nervous System. Int. J. Biol. Sci. 2012, 8, 1254–1266. [Google Scholar] [CrossRef] [PubMed]
- Nørregaard, R.; Kwon, T.-H.; Frøkiær, J. Physiology and Pathophysiology of Cyclooxygenase-2 and Prostaglandin E2 in the Kidney. Kidney Res. Clin. Pract. 2015, 34, 194–200. [Google Scholar] [CrossRef]
- Zidar, N.; Odar, K.; Glavač, D.; Jerše, M.; Zupanc, T.; Štajer, D. Cyclooxygenase in Normal Human Tissues—Is COX-1 Really a Constitutive Isoform, and COX-2 an Inducible Isoform? J. Cell. Mol. Med. 2009, 13, 3753–3763. [Google Scholar] [CrossRef] [PubMed]
- Liu, F.; Romantseva, T.; Golding, H.; Zaitseva, M. Activation of Histone Acetyltransferase P300 by MAPK Pathway Is Required for Optimal Production of PGE2 in Primary Human Monocytes Activated with Muramyl Dipeptide Adjuvant (MDP). J. Immunol. 2017, 198, 124.15. [Google Scholar] [CrossRef]
- Xiao, L.; Ornatowska, M.; Zhao, G.; Cao, H.; Yu, R.; Deng, J.; Li, Y.; Zhao, Q.; Sadikot, R.T.; Christman, J.W. Lipopolysaccharide-Induced Expression of Microsomal Prostaglandin E Synthase-1 Mediates Late-Phase PGE2 Production in Bone Marrow Derived Macrophages. PLoS ONE 2012, 7, e50244. [Google Scholar] [CrossRef] [PubMed]
- Tan, X.; Rakhra, V.K.; Menon, H.S.; Stechschulte, D.J.; Dileepan, K.N. Reciprocal Regulation of Cyclooxygenase (COX)-1 and COX-2 Expression in Murine Resident and Elicited Peritoneal Macrophages by Lipopolysaccharide. FASEB J. 2008, 22, 1065.29. [Google Scholar] [CrossRef]
- Medeiros, R.; Figueiredo, C.P.; Pandolfo, P.; Duarte, F.S.; Prediger, R.D.S.; Passos, G.F.; Calixto, J.B. The Role of TNF-Alpha Signaling Pathway on COX-2 Upregulation and Cognitive Decline Induced by Beta-Amyloid Peptide. Behav. Brain Res. 2010, 209, 165–173. [Google Scholar] [CrossRef]
- Newson, J.; Motwani, M.P.; Kendall, A.C.; Nicolaou, A.; Muccioli, G.G.; Alhouayek, M.; Bennett, M.; Van De Merwe, R.; James, S.; De Maeyer, R.P.H.; et al. Inflammatory Resolution Triggers a Prolonged Phase of Immune Suppression through COX-1/mPGES-1-Derived Prostaglandin E2. Cell Rep. 2017, 20, 3162–3175. [Google Scholar] [CrossRef]
- Moreira, V.; Lomonte, B.; Vinolo, M.A.R.; Curi, R.; Gutiérrez, J.M.; Teixeira, C. An Asp49 Phospholipase A2 from Snake Venom Induces Cyclooxygenase-2 Expression and Prostaglandin E2 Production via Activation of NF-κB, p38MAPK, and PKC in Macrophages. Mediat. Inflamm. 2014, 2014, 105879. [Google Scholar] [CrossRef]
- Stafford, J.B.; Marnett, L.J. PROSTAGLANDIN E2 INHIBITS TUMOR NECROSIS FACTOR-ALPHA RNA THROUGH PKA TYPE I. Biochem. Biophys. Res. Commun. 2008, 366, 104–109. [Google Scholar] [CrossRef]
- Rahman, M.A.; Abdullah, N.; Aminudin, N. Inhibitory Effect on In Vitro LDL Oxidation and HMG Co-A Reductase Activity of the Liquid-Liquid Partitioned Fractions of Hericium erinaceus (Bull.) Persoon (Lion’s Mane Mushroom). BioMed Res. Int. 2014, 2014, 828149. [Google Scholar] [CrossRef]
- Mori, K.; Ouchi, K.; Hirasawa, N. The Anti-Inflammatory Effects of Lion’s Mane Culinary-Medicinal Mushroom, Hericium erinaceus (Higher Basidiomycetes) in a Coculture System of 3T3-L1 Adipocytes and RAW264 Macrophages. Int. J. Med. Mushrooms 2015, 17, 609–618. [Google Scholar] [CrossRef]
- Szućko-Kociuba, I.; Trzeciak-Ryczek, A.; Kupnicka, P.; Chlubek, D. Neurotrophic and Neuroprotective Effects of Hericium erinaceus. Int. J. Mol. Sci. 2023, 24, 15960. [Google Scholar] [CrossRef]
- Chang, H.C.; Yang, H.-L.; Pan, J.-H.; Korivi, M.; Pan, J.-Y.; Hsieh, M.-C.; Chao, P.-M.; Huang, P.-J.; Tsai, C.-T.; Hseu, Y.-C. Hericium erinaceus Inhibits TNF-α-Induced Angiogenesis and ROS Generation through Suppression of MMP-9/NF-κB Signaling and Activation of Nrf2-Mediated Antioxidant Genes in Human EA.Hy926 Endothelial Cells. Oxidative Med. Cell. Longev. 2016, 2016, 8257238. [Google Scholar] [CrossRef]
- Jang, H.-J.; Kim, J.-E.; Jeong, K.H.; Lim, S.C.; Kim, S.Y.; Cho, K.-O. The Neuroprotective Effect of Hericium erinaceus Extracts in Mouse Hippocampus after Pilocarpine-Induced Status Epilepticus. Int. J. Mol. Sci. 2019, 20, 859. [Google Scholar] [CrossRef] [PubMed]
- Klegeris, A.; Bissonnette, C.J.; McGeer, P.L. Modulation of Human Microglia and THP-1 Cell Toxicity by Cytokines Endogenous to the Nervous System. Neurobiol. Aging 2005, 26, 673–682. [Google Scholar] [CrossRef] [PubMed]
- Goschorska, M.; Gutowska, I.; Baranowska-Bosiacka, I.; Piotrowska, K.; Metryka, E.; Safranow, K.; Chlubek, D. Influence of Acetylcholinesterase Inhibitors Used in Alzheimer’s Disease Treatment on the Activity of Antioxidant Enzymes and the Concentration of Glutathione in THP-1 Macrophages under Fluoride-Induced Oxidative Stress. Int. J. Environ. Res. Public Health 2018, 16, 10. [Google Scholar] [CrossRef] [PubMed]
- Balon, K.; Wiatrak, B. PC12 and THP-1 Cell Lines as Neuronal and Microglia Model in Neurobiological Research. Appl. Sci. 2021, 11, 3729. [Google Scholar] [CrossRef]
- Araki, T.; Ikegaya, Y.; Koyama, R. The Effects of Microglia- and Astrocyte-derived Factors on Neurogenesis in Health and Disease. Eur. J. Neurosci. 2021, 54, 5880–5901. [Google Scholar] [CrossRef]
- Jaldeep, L.; Lipi, B.; Prakash, P. Neurotrophomodulatory Effect of TNF-α through NF-κB in Rat Cortical Astrocytes. Cytotechnology 2025, 77, 37, Erratum in Cytotechnology 2025, 77, 85.. [Google Scholar] [CrossRef]
- Bałkowiec-Iskra, E.; Vermehren-Schmaedick, A.; Balkowiec, A. Tumor Necrosis Factor-α Increases Brain-Derived Neurotrophic Factor Expression in Trigeminal Ganglion Neurons in An Activity-Dependent Manner. Neuroscience 2011, 180, 322–333. [Google Scholar] [CrossRef]
- Kraft, A.D.; McPherson, C.A.; Harry, G.J. Heterogeneity of Microglia and TNF Signaling as Determinants for Neuronal Death or Survival. Neurotoxicology 2009, 30, 785–793. [Google Scholar] [CrossRef]
- Taoufik, E.; Petit, E.; Divoux, D.; Tseveleki, V.; Mengozzi, M.; Roberts, M.L.; Valable, S.; Ghezzi, P.; Quackenbush, J.; Brines, M.; et al. TNF Receptor I Sensitizes Neurons to Erythropoietin- and VEGF-Mediated Neuroprotection after Ischemic and Excitotoxic Injury. Proc. Natl. Acad. Sci. USA 2008, 105, 6185–6190. [Google Scholar] [CrossRef] [PubMed]
- Ma, C.; Wei, X.; Wang, F.; Zhang, T.; Jiang, Y.; Meng, Z.; Zhang, Z. Tumor Necrosis Factor α-Induced Protein 3 Mediates Inflammation and Neuronal Autophagy in Parkinson’s Disease via the NFκB and mTOR Pathways. Neurosci. Lett. 2023, 805, 137223. [Google Scholar] [CrossRef]
- Saha, R.N.; Ghosh, A.; Palencia, C.A.; Fung, Y.K.; Dudek, S.M.; Pahan, K. Tumor Necrosis Factor-α Preconditioning Protects Neurons via Neuron-Specific Upregulation of CREB-Binding Protein. J. Immunol. 2009, 183, 2068–2078. [Google Scholar] [CrossRef]
- Chen, S.-H.; Oyarzabal, E.A.; Sung, Y.-F.; Chu, C.-H.; Wang, Q.; Chen, S.-L.; Lu, R.-B.; Hong, J.-S. Microglial Regulation of Immunological and Neuroprotective Functions of Astroglia. Glia 2015, 63, 118–131. [Google Scholar] [CrossRef] [PubMed]
- Welser-Alves, J.V.; Milner, R. Microglia Are the Major Source of TNF-α and TGF-β in Postnatal Glial Cultures; Regulation by Cytokines, Lipopolysaccharide, and Vitronectin. Neurochem. Int. 2013, 63, 47–53. [Google Scholar] [CrossRef] [PubMed]
- Rouzer, C.A.; Marnett, L.J. Cyclooxygenases: Structural and Functional Insights. J. Lipid Res. 2009, 50, S29–S34. [Google Scholar] [CrossRef]
- Ambrozova, N.; Ulrichova, J.; Galandakova, A. Models for the Study of Skin Wound Healing. The Role of Nrf2 and NF-κB. Biomed. Pap. 2017, 161, 1–13. [Google Scholar] [CrossRef]
- Kaltschmidt, B.; Linker, R.A.; Deng, J.; Kaltschmidt, C. Cyclooxygenase-2 Is a Neuronal Target Gene of NF-κB. BMC Mol. Biol. 2002, 3, 16. [Google Scholar] [CrossRef]
- Kabba, J.A.; Xu, Y.; Christian, H.; Ruan, W.; Chenai, K.; Xiang, Y.; Zhang, L.; Saavedra, J.M.; Pang, T. Microglia: Housekeeper of the Central Nervous System. Cell. Mol. Neurobiol. 2017, 38, 53–71. [Google Scholar] [CrossRef]
- Kesapragada, M.; Sun, Y.-H.; Zlobina, K.; Recendez, C.; Fregoso, D.; Yang, H.-Y.; Aslankoohi, E.; Isseroff, R.; Rolandi, M.; Zhao, M.; et al. Deep Learning Classification for Macrophage Subtypes through Cell Migratory Pattern Analysis. Front. Cell Dev. Biol. 2024, 12, 1259037. [Google Scholar] [CrossRef]
- Heinrich, F.; Lehmbecker, A.; Raddatz, B.B.; Kegler, K.; Tipold, A.; Stein, V.M.; Kalkuhl, A.; Deschl, U.; Baumgärtner, W.; Ulrich, R.; et al. Morphologic, Phenotypic, and Transcriptomic Characterization of Classically and Alternatively Activated Canine Blood-Derived Macrophages In Vitro. PLoS ONE 2017, 12, e0183572. [Google Scholar] [CrossRef]
- Choi, S.-H.; Aid, S.; Bosetti, F. The Distinct Roles of Cyclooxygenase-1 and -2 in Neuroinflammation: Implications for Translational Research. Trends Pharmacol. Sci. 2009, 30, 174–181. [Google Scholar] [CrossRef] [PubMed]
- Caggiano, A.O.; Kraig, R.P. Prostaglandin E Receptor Subtypes in Cultured Rat Microglia and Their Role in Reducing Lipopolysaccharide-Induced Interleukin-1β Production. J. Neurochem. 1999, 72, 565–575. [Google Scholar] [CrossRef] [PubMed]
- Théry, C.; Dobbertin, A.; Mallat, M. Downregulation of In Vitro Neurotoxicity of Brain Macrophages by Prostaglandin E2 and a β-Adrenergic Agonist. Glia 1994, 11, 383–386. [Google Scholar] [CrossRef]
- Kawashita, E.; Tsuji, D.; Toyoshima, M.; Kanno, Y.; Matsuno, H.; Itoh, K. Prostaglandin E2 Reverses Aberrant Production of an Inflammatory Chemokine by Microglia from Sandhoff Disease Model Mice through the cAMP-PKA Pathway. PLoS ONE 2011, 6, e16269. [Google Scholar] [CrossRef]
- Petrova, T.V.; Akama, K.T.; Van Eldik, L.J. Selective Modulation of BV-2 Microglial Activation by Prostaglandin E(2). Differential Effects on Endotoxin-Stimulated Cytokine Induction. J. Biol. Chem. 1999, 274, 28823–28827. [Google Scholar] [CrossRef]
- Chen, P.; Tang, Y.; He, W.; Yang, R.; Lan, Z.; Chen, R.; Zhang, P. Potential Pathophysiological Mechanisms Underlying Multiple Organ Dysfunction in Cytokine Release Syndrome. Mediat. Inflamm. 2022, 2022, 7137900. [Google Scholar] [CrossRef] [PubMed]
- Guo, N.; Wang, X.; Xu, M.; Bai, J.; Yu, H.; Zhang, L. PI3K/AKT Signaling Pathway: Molecular Mechanisms and Therapeutic Potential in Depression. Pharmacol. Res. 2024, 206, 107300. [Google Scholar] [CrossRef]
- Schirò, G.; Iacono, S.; Ragonese, P.; Aridon, P.; Salemi, G.; Balistreri, C.R. A Brief Overview on BDNF-Trk Pathway in the Nervous System: A Potential Biomarker or Possible Target in Treatment of Multiple Sclerosis? Front. Neurol. 2022, 13, 917527. [Google Scholar] [CrossRef]
- Yoshii, A.; Constantine-Paton, M. Post-Synaptic BDNF-TrkB Signaling in Synapse Maturation, Plasticity and Disease. Dev. Neurobiol. 2010, 70, 304–322. [Google Scholar] [CrossRef]
- Mitra, S.; Behbahani, H.; Eriksdotter, M. Innovative Therapy for Alzheimer’s Disease-With Focus on Biodelivery of NGF. Front. Neurosci. 2019, 13, 38. [Google Scholar] [CrossRef]
- Yu, Y.; Jiang, J. COX-2/PGE2 Axis Regulates Hippocampal BDNF/TrkB Signaling via EP2 Receptor after Prolonged Seizures. Epilepsia Open 2020, 5, 418–431. [Google Scholar] [CrossRef]
- Reddy, G.R.; Zawia, N.H. Lead Exposure Alters Egr-1 DNA-Binding in the Neonatal Rat Brain. Int. J. Dev. Neurosci. 2000, 18, 791–795. [Google Scholar] [CrossRef]
- Hemmaphan, S.; Bordeerat, N.K. Genotoxic Effects of Lead and Their Impact on the Expression of DNA Repair Genes. Int. J. Environ. Res. Public Health 2022, 19, 4307. [Google Scholar] [CrossRef] [PubMed]
- Kasten-Jolly, J.; Lawrence, D.A. Lead Modulation of Macrophages Causes Multiorgan Detrimental Health Effects. J. Biochem. Mol. Toxicol. 2014, 28, 355–372. [Google Scholar] [CrossRef] [PubMed]
- Kalahasthi, R.; Nagaraju, R.; Balachandar, R.; Bagepally, B.S. Association between Occupational Lead Exposure and Immunotoxicity Markers: A Systematic Review and Meta-Analysis. Toxicology 2022, 465, 153047. [Google Scholar] [CrossRef]
- López-Vanegas, N.-C.; Hernández, G.; Maldonado-Vega, M.; Calderón-Salinas, J.-V. Leukocyte Apoptosis, TNF-α Concentration and Oxidative Damage in Lead-Exposed Workers. Toxicol. Appl. Pharmacol. 2020, 391, 114901. [Google Scholar] [CrossRef] [PubMed]
- Dixon, D.A.; Balch, G.C.; Kedersha, N.; Anderson, P.; Zimmerman, G.A.; Beauchamp, R.D.; Prescott, S.M. Regulation of Cyclooxygenase-2 Expression by the Translational Silencer TIA-1. J. Exp. Med. 2003, 198, 475–481. [Google Scholar] [CrossRef]
- Wei, J.; Du, K.; Cai, Q.; Ma, L.; Jiao, Z.; Tan, J.; Xu, Z.; Li, J.; Luo, W.; Chen, J.; et al. Lead Induces COX-2 Expression in Glial Cells in a NFAT-Dependent, AP-1/NFκB-Independent Manner. Toxicology 2014, 325, 67–73. [Google Scholar] [CrossRef]
- Kummer, K.K.; Zeidler, M.; Kalpachidou, T.; Kress, M. Role of IL-6 in the Regulation of Neuronal Development, Survival and Function. Cytokine 2021, 144, 155582. [Google Scholar] [CrossRef]
- Pae, C.-U. The Potential Role of Monocyte Chemoattractant Protein-1 for Major Depressive Disorder. Psychiatry Investig. 2014, 11, 217–222. [Google Scholar] [CrossRef] [PubMed]
- Semple, B.D.; Bye, N.; Rancan, M.; Ziebell, J.M.; Morganti-Kossmann, M.C. Role of CCL2 (MCP-1) in Traumatic Brain Injury (TBI): Evidence from Severe TBI Patients and CCL2-/- Mice. J. Cereb. Blood Flow Metab. 2010, 30, 769–782. [Google Scholar] [CrossRef] [PubMed]
- Hinojosa, A.E.; García-Bueno, B.; Leza, J.C.; Madrigal, J.L.M. Regulation of CCL2/MCP-1 Production in Astrocytes by Desipramine and Atomoxetine: Involvement of A2 Adrenergic Receptors. Brain Res. Bull. 2011, 86, 326–333. [Google Scholar] [CrossRef] [PubMed]
- Kushairi, N.; Phan, C.W.; Sabaratnam, V.; David, P.; Naidu, M. Lion’s Mane Mushroom, Hericium erinaceus (Bull.: Fr.) Pers. Suppresses H2O2-Induced Oxidative Damage and LPS-Induced Inflammation in HT22 Hippocampal Neurons and BV2 Microglia. Antioxidants 2019, 8, 261. [Google Scholar] [CrossRef]
- Schneider, C.A.; Rasband, W.S.; Eliceiri, K.W. NIH Image to ImageJ: 25 Years of Image Analysis. Nat. Methods 2012, 9, 671–675. [Google Scholar] [CrossRef]









| Gene | Forward Primer | Reverse Primer | Amplicon Length (bp) | TM of the Amplification Products (°C) 1 |
|---|---|---|---|---|
| TNF alpha | AGCCCATGTTGTAGCAAACCC | GGACCTGGGAGTAGATGAGGT | 149 | 87 |
| COX-1 | TTGGGCCATGGGGTAGACCT | CGAGGGCGGGTACATTTCTC | 126 | 83.5 |
| COX-2 | CCCTTCTGCCTGACACCTTT | TTCTGTACTGCGGGTGGAAC | 172 | 81.5 |
| GAPDH | ATGCCTCCTGCACCACCAACT | ATGGCATGGACTGTGGTCATGAGT | 97 | 83.5 |
| RACK1 | GAGTGTGGCCTTCTCCTCTG | GCTTGCAGTTAGCCAGGTTC | 224 | 84.5 |
Disclaimer/Publisher’s Note: The statements, opinions and data contained in all publications are solely those of the individual author(s) and contributor(s) and not of MDPI and/or the editor(s). MDPI and/or the editor(s) disclaim responsibility for any injury to people or property resulting from any ideas, methods, instructions or products referred to in the content. |
© 2026 by the authors. Licensee MDPI, Basel, Switzerland. This article is an open access article distributed under the terms and conditions of the Creative Commons Attribution (CC BY) license.
Share and Cite
Kupnicka, P.; Szućko-Kociuba, I.; Trzeciak-Ryczek, A.; Ptak, M.; Piotrowska, K.; Kołodziejczak, M.; Baranowska-Bosiacka, I. Neuroprotective Potential of Hericium erinaceus Through Modulation of Inflammatory Signaling in THP-1 Macrophages Under Low-Level Lead Exposure. Int. J. Mol. Sci. 2026, 27, 1318. https://doi.org/10.3390/ijms27031318
Kupnicka P, Szućko-Kociuba I, Trzeciak-Ryczek A, Ptak M, Piotrowska K, Kołodziejczak M, Baranowska-Bosiacka I. Neuroprotective Potential of Hericium erinaceus Through Modulation of Inflammatory Signaling in THP-1 Macrophages Under Low-Level Lead Exposure. International Journal of Molecular Sciences. 2026; 27(3):1318. https://doi.org/10.3390/ijms27031318
Chicago/Turabian StyleKupnicka, Patrycja, Izabela Szućko-Kociuba, Alicja Trzeciak-Ryczek, Michalina Ptak, Katarzyna Piotrowska, Maciej Kołodziejczak, and Irena Baranowska-Bosiacka. 2026. "Neuroprotective Potential of Hericium erinaceus Through Modulation of Inflammatory Signaling in THP-1 Macrophages Under Low-Level Lead Exposure" International Journal of Molecular Sciences 27, no. 3: 1318. https://doi.org/10.3390/ijms27031318
APA StyleKupnicka, P., Szućko-Kociuba, I., Trzeciak-Ryczek, A., Ptak, M., Piotrowska, K., Kołodziejczak, M., & Baranowska-Bosiacka, I. (2026). Neuroprotective Potential of Hericium erinaceus Through Modulation of Inflammatory Signaling in THP-1 Macrophages Under Low-Level Lead Exposure. International Journal of Molecular Sciences, 27(3), 1318. https://doi.org/10.3390/ijms27031318

