Synthesis, Biological Evaluation, and Computational Analysis of 1,4-Naphthoquinone Derivatives as Inhibitors of the Sodium-Dependent NADH:Ubiquinone Oxidoreductase (NQR) in Vibrio cholerae
Abstract
1. Introduction
2. Results
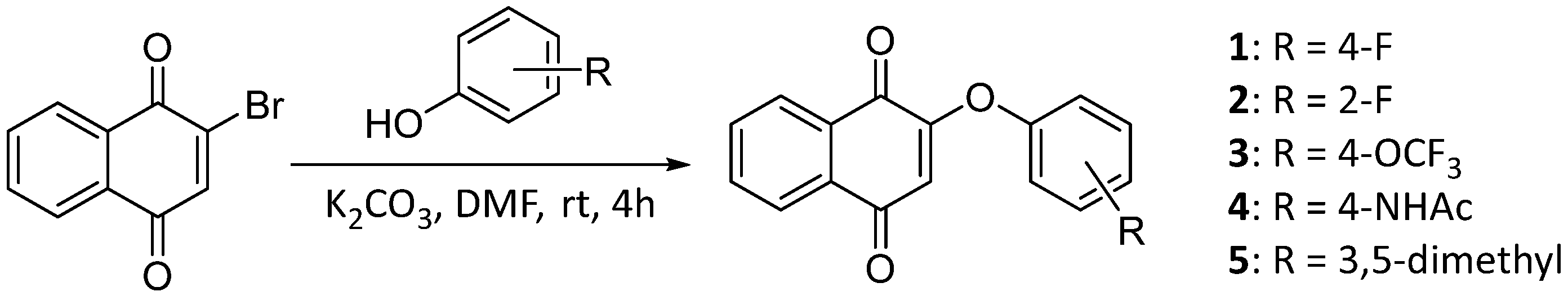
2.1. Synthesis of 1,4-Naphthoquinone Inhibitors
2.2. Biological Evaluation
2.2.1. Activity and Toxicity Screening
2.2.2. IC50 Measurements
2.2.3. Molecular Docking
3. Discussion
4. Materials and Methods
4.1. Synthesis
4.1.1. 2-(4-Fluorophenoxy)lnaphthalene-1,4-dione (1)
4.1.2. 2-(2-Fluorophenoxy)-3-methylnaphthalene-1,4-dione (2)
4.1.3. 2-(4-(Trifluoromethoxy)phenoxy)naphthalene-1,4-dione (3)
4.1.4. N-(4-((1,4-Dioxo-1,4-dihydronaphthalen-2-yl)oxy)phenyl)acetamide (4)
4.1.5. 2-(3,5-Dimethylphenoxy)naphthalene-1,4-dione (5)
4.1.6. 2-(Phenylamino)naphthalene-1,4-dione (6)
4.1.7. 2-(Benzylamino)naphthalene-1,4-dione (7)
4.1.8. 2-Methyl-3-(4-(trifluoromethoxy)phenoxy)naphthalene-1,4-dione (8)
4.1.9. 2-(4-Fluorophenoxy)-3-methylnaphthalene-1,4-dione (9)
4.1.10. 2-Methyl-3-(phenylamino)naphthalene-1,4-dione (11)
4.1.11. 2-((2-(4-(Trifluoromethoxy)phenoxy)phenyl)amino)naphthalene-1,4-dione (12)
4.1.12. N-(4-(2-((1,4-Dioxo-1,4-dihydronaphthalen-2-yl)amino)phenoxy)phenyl)acetamide (13)
4.1.13. 2-Methyl-3-((2-(4-(trifluoromethoxy)phenoxy)phenyl)amino)naphthalene-1,4-dione (14)
4.1.14. N-(4-(2-((3-Methyl-1,4-dioxo-1,4-dihydronaphthalen-2-yl)amino)phenoxy)phenyl)acetamide (15)
4.1.15. 2-((4-(4-(Trifluoromethoxy)phenoxy)phenyl)amino)naphthalene-1,4-dione (16)
4.2. NQR Purification
4.3. Activity Measurements
4.4. Cytotoxicity Measurements
4.5. Docking
Supplementary Materials
Author Contributions
Funding
Institutional Review Board Statement
Informed Consent Statement
Data Availability Statement
Acknowledgments
Conflicts of Interest
References
- Somboonwit, C.; Menezes, L.J.; Holt, D.A.; Sinnott, J.T.; Shapshak, P. Current Views and Challenges on Clinical Cholera. Bioinformation 2017, 13, 405–409. [Google Scholar] [CrossRef]
- Reidl, J.; Klose, K.E. Vibrio cholerae and Cholera: Out of the Water and into the Host. FEMS Microbiol. Rev. 2002, 26, 125–139. [Google Scholar] [CrossRef]
- Chac, D.; Dunmire, C.N.; Singh, J.; Weil, A.A. Update on Environmental and Host Factors Impacting the Risk of Vibrio cholerae Infection. ACS Infect. Dis. 2021, 7, 1010–1019. [Google Scholar] [CrossRef]
- Liu, Z.; Miyashiro, T.; Tsou, A.; Hsiao, A.; Goulian, M.; Zhu, J. Mucosal Penetration Primes Vibrio cholerae for Host Colonization by Repressing Quorum Sensing. Proc. Natl. Acad. Sci. USA 2008, 105, 9769–9774. [Google Scholar] [CrossRef]
- Barquera, B.; Hellwig, P.; Zhou, W.; Morgan, J.E.; Häse, C.C.; Gosink, K.K.; Nilges, M.; Bruesehoff, P.J.; Roth, A.; Lancaster, C.R.D. Purification and Characterization of the Recombinant Na+-Translocating NADH: Quinone Oxidoreductase from Vibrio cholerae. Biochemistry 2002, 41, 3781–3789. [Google Scholar] [CrossRef]
- Barquera, B.; Nilges, M.J.; Morgan, J.E.; Ramirez-Silva, L.; Zhou, W.; Gennis, R.B. Mutagenesis Study of the 2Fe-2S Center and the FAD Binding Site of the Na+-Translocating NADH: Ubiquinone Oxidoreductase from Vibrio cholerae. Biochemistry 2004, 43, 12322–12330. [Google Scholar] [CrossRef] [PubMed]
- Raba, D.A.; Yuan, M.; Fang, X.; Menzer, W.M.; Xie, B.; Liang, P.; Tuz, K.; Minh, D.D.; Juárez, O. Role of Subunit D in Ubiquinone-Binding Site of Vibrio cholerae NQR: Pocket Flexibility and Inhibitor Resistance. ACS Omega 2019, 4, 19324–19331. [Google Scholar] [CrossRef] [PubMed]
- Steuber, J.; Vohl, G.; Casutt, M.S.; Vorburger, T.; Diederichs, K.; Fritz, G. Structure of the V. cholerae Na+-Pumping NADH: Quinone Oxidoreductase. Nature 2014, 516, 62–67. [Google Scholar] [CrossRef]
- Miyachi, S.; Tanaka, H.; Ishikawa, M.; Mcfee, D.; Aoki, W.; Murai, M.; Barquera, B.; Miyoshi, H.; Masuya, T. Pinpoint Introduction of Functional Molecular Probe into the NqrB Subunit of Na+-Translocating NADH-Ubiquinone Oxidoreductase from Vibrio cholerae. Biochim. Biophys. Acta BBA-Bioenerg. 2025, 1866, 149551. [Google Scholar] [CrossRef] [PubMed]
- Ishikawa-Fukuda, M.; Kishikawa, J.; Masuya, T.; Ito, T.; Butler, N.L.; McFee, D.; Kato, T.; Barquera, B.; Miyoshi, H.; Murai, M. Structural Elucidation of the Mechanism for Inhibitor Resistance in the Na+-Translocating NADH-Ubiquinone Oxidoreductase from Vibrio cholerae. Biochemistry 2025, 64, 1963–1972. [Google Scholar] [CrossRef]
- Steuber, J.; Fritz, G. The Na+-Translocating NADH: Quinone Oxidoreductase (Na+-NQR): Physiological Role, Structure and Function of a Redox-Driven, Molecular Machine. Biochim. Biophys. Acta BBA-Bioenerg. 2024, 1865, 149485. [Google Scholar] [CrossRef]
- Dibrov, P.; Dibrov, E.; Pierce, G.N. Na+-NQR (Na+-Translocating NADH:Ubiquinone Oxidoreductase) as a Novel Target for Antibiotics. FEMS Microbiol. Rev. 2017, 41, 653–671. [Google Scholar] [CrossRef] [PubMed]
- Van Ark, G.; Berden, J.A. Binding of HQNO to Beef-Heart Sub-Mitochondrial Particles. Biochim. Biophys. Acta BBA-Bioenerg. 1977, 459, 119–137. [Google Scholar] [CrossRef]
- Khan, J.; Rani, A.; Aslam, M.; Pandey, G.; Pant, B.N. A Review on the Synthesis and Application of Naphthoquinone-Based Drugs. Results Chem. 2023, 6, 101138. [Google Scholar] [CrossRef]
- González-Montalvo, M.A.; Sorescu, J.M.; Yuan, M.; DePaolo-Boisvert, J.; Liang, P.; Juárez, O.X.; Tuz, K. NQR as a Target for New Antibiotics. Front. Microbiol. 2025, 16, 1690572. [Google Scholar] [CrossRef] [PubMed]
- Yuan, M.; Montalvo, M.A.G.; Hu, Y.; Tuz, K.; Juárez, O.X. Repurposing Clofazimine as an Antibiotic to Treat Cholera: Identification of Cellular and Structural Targets. J. Biol. Chem. 2025, 301, 110458. [Google Scholar] [CrossRef]
- Cushion, M.T.; Collins, M.; Hazra, B.; Kaneshiro, E.S. Effects of Atovaquone and Diospyrin-Based Drugs on the Cellular ATP of Pneumocystis carinii f. sp. carinii. Antimicrob. Agents Chemother. 2000, 44, 713–719. [Google Scholar] [CrossRef]
- Barnett, D.S.; Guy, R.K. Antimalarials in Development in 2014. Chem. Rev. 2014, 114, 11221–11241. [Google Scholar] [CrossRef]
- Prati, F.; Bergamini, C.; Molina, M.T.; Falchi, F.; Cavalli, A.; Kaiser, M.; Brun, R.; Fato, R.; Bolognesi, M.L. 2-Phenoxy-1,4-Naphthoquinones: From a Multitarget Antitrypanosomal to a Potential Antitumor Profile. J. Med. Chem. 2015, 58, 6422–6434. [Google Scholar] [CrossRef]
- Nasiri, H.R.; Madej, M.G.; Panisch, R.; Lafontaine, M.; Bats, J.W.; Lancaster, C.R.D.; Schwalbe, H. Design, Synthesis, and Biological Testing of Novel Naphthoquinones as Substrate-Based Inhibitors of the Quinol/Fumarate Reductase from Wolinella succinogenes. J. Med. Chem. 2013, 56, 9530–9541. [Google Scholar] [CrossRef]
- Borah, A.; Sharma, A.; Hazarika, H.; Sharma, K.; Gogoi, P. Synthesis of 1-Azaanthraquinone: Sequential C–N Bond Formation/Lewis Acid Catalyzed Intramolecular Cyclization Strategy. J. Org. Chem. 2017, 82, 8309–8316. [Google Scholar] [CrossRef] [PubMed]
- Cortes, E.C.; Meneses, O.E.A.; García-Mellado, O.; Zuñiga, O.C.; Naranjo-Rodríguez, E.B. Efficient synthesis and spectroscopy of 3,3-dimethyl-2,3,4,5,10,11-hexahydro-8-[(o-; and p-methyl)phenoxy]-11-[(o-; and p-substituted)phenyl]-1H-dibezo-[b,e][1,4]diazepin-1-ones. J. Heterocycl. Chem. 2009, 46, 1113–1118. [Google Scholar] [CrossRef]
- Kishikawa, J.; Ishikawa, M.; Masuya, T.; Murai, M.; Kitazumi, Y.; Butler, N.L.; Kato, T.; Barquera, B.; Miyoshi, H. Cryo-EM Structures of Na+-Pumping NADH-Ubiquinone Oxidoreductase from Vibrio cholerae. Nat. Commun. 2022, 13, 4082. [Google Scholar] [CrossRef]
- Hau, J.; Kaltwasser, S.; Muras, V.; Casutt, M.S.; Vohl, G.; Claußen, B.; Steffen, W.; Leitner, A.; Bill, E.; Cutsail, G.E., III. Conformational Coupling of Redox-Driven Na+-Translocation in Vibrio cholerae NADH: Quinone Oxidoreductase. Nat. Struct. Mol. Biol. 2023, 30, 1686–1694. [Google Scholar] [CrossRef]
- Birth, D.; Kao, W.; Hunte, C. Structural Analysis of Atovaquone-Inhibited Cytochrome Bc 1 Complex Reveals the Molecular Basis of Antimalarial Drug Action. Nat. Commun. 2014, 5, 4029. [Google Scholar] [CrossRef]
- Kessl, J.J.; Hill, P.; Lange, B.B.; Meshnick, S.R.; Meunier, B.; Trumpower, B.L. Molecular Basis for Atovaquone Resistance in Pneumocystis jirovecii Modeled in the Cytochrome bc1Complex of Saccharomyces cerevisiae. J. Biol. Chem. 2004, 279, 2817–2824. [Google Scholar] [CrossRef]
- Sharma, U.; Katoch, D.; Sood, S.; Kumar, N.; Singh, B.; Thakur, A.; Gulati, A. Synthesis, Antibacterial and Antifungal Activity of 2-Amino-1,4-naphthoquinones using Silica-Supported Perchloric Acid (HClO4—SiO2) as a Mild, Recyclable and Highly Efficient Heterogeneous Catalyst. Indian J. Chem.-Sect. B 2013, 52B, 1431–1440. [Google Scholar] [CrossRef]
- Tuz, K.; Mezic, K.G.; Xu, T.; Barquera, B.; Juárez, O. The Kinetic Reaction Mechanism of the Vibrio cholerae Sodium-Dependent NADH Dehydrogenase. J. Biol. Chem. 2015, 290, 20009–20021. [Google Scholar] [CrossRef] [PubMed]
- Juárez, O.; Athearn, K.; Gillespie, P.; Barquera, B. Acid Residues in the Transmembrane Helices of the Na+-Pumping NADH: Quinone Oxidoreductase from Vibrio cholerae Involved in Sodium Translocation. Biochemistry 2009, 48, 9516–9524. [Google Scholar] [CrossRef] [PubMed]
- Case, D.A.; Babin, V.; Berryman, J.T.; Betz, R.M.; Cai, Q.; Cerutti, D.S.; Cheatham, T.E., III; Darden, T.A.; Duke, R.E.; Gohlke, H. AMBER 14; University of California: San Francisco, CA, USA, 2014; pp. 1–826. [Google Scholar]
- Pettersen, E.F.; Goddard, T.D.; Huang, C.C.; Couch, G.S.; Greenblatt, D.M.; Meng, E.C.; Ferrin, T.E. UCSF Chimera—A Visualization System for Exploratory Research and Analysis. J. Comput. Chem. 2004, 25, 1605–1612. [Google Scholar] [CrossRef]
- Eberhardt, J.; Santos-Martins, D.; Tillack, A.F.; Forli, S. AutoDock Vina 1.2.0: New Docking Methods, Expanded Force Field, and Python Bindings. J. Chem. Inf. Model. 2021, 61, 3891–3898. [Google Scholar] [CrossRef] [PubMed]
- Trott, O.; Olson, A.J. AutoDock Vina: Improving the Speed and Accuracy of Docking with a New Scoring Function, Efficient Optimization, and Multithreading. J. Comput. Chem. 2010, 31, 455–461. [Google Scholar] [CrossRef] [PubMed]







![]() | |||||||
|---|---|---|---|---|---|---|---|
| Cmpd | R1 | R2 | cLogP | NQR % Inhibition | % Toxicity at 10 μM | ||
| 10 μM | 50 μM | HeLa | HFF-1 | ||||
| 1,4-naphthoquinone | H | H | 1.5 | 56 ± 6 | 100 ± 2 | 100 ± 6 | 100 ± 7 |
| 1 | H | ![]() | 4.32 | 27 ± 2 | 57 ± 4 | 8 ± 6 | 0 ± 14 |
| 2 | H | ![]() | 4.12 | 33 ± 4 | 62 ± 2 | 100 ± 6 | 100 ± 6 |
| 3 | H | ![]() | 5.23 | 31 ± 2 | 79 ± 1 | 33 ± 9 | 0 ± 53 |
| 4 | H | ![]() | 3.21 | 29 ± 3.0 | 70 ± 9 | 47 ± 26 | 0 ± 68 |
| 5 | H | ![]() | 5.03 | 32 ± 1 | 67 ± 1 | 100 ± 12 | 30 ± 44 |
| 6 | H | ![]() | 3.98 | 13 ± 1 | 42.7 ± 1 | 22 ± 16 | 25 ± 12 |
| 7 | H | ![]() | 3.80 | 32 ± 2 | 44 ± 1 | 19 ± 12 | 0 ± 8 |
| 8 | CH3 | ![]() | 5.75 | 21 ± 5 | 58 ± 7 | 45 ± 24 | 9 ± 10 |
| 9 | CH3 | ![]() | 4.84 | 22 ± 8 | 46 ± 1 | 17 ± 10 | 0 ± 20 |
| 11 | CH3 | ![]() | 4.49 | 33 ± 7 | 63 ± 1 | 23 ± 11 | 0 ± 9 |
| 12 | H | ![]() | 7.1 | 76 ± 3 | 96 ± 2 | 5 ± 11 | 0 ± 24 |
| 13 | H | ![]() | 5.09 | 30 ± 6 | 68 ± 8 | 16 ± 6 | 0 ± 9 |
| 14 | CH3 | ![]() | 7.62 | 72 ± 8 | 93 ± 3 | 5 ± 8 | 10 ± 7 |
| 15 | CH3 | ![]() | 5.61 | 51 ± 2 | 99 ± 3 | 18 ± 6 | 0 ± 8 |
| 16 | H | ![]() | 7.1 | 24 ± 14 | 74 ± 4 | 19 ± 9 | 0 ± 10 |
| Compound | IC50 (μM) |
|---|---|
| HQNO | 0.2 |
| 1,4-Naphthoquinone | 9 ± 3 |
| 12 | 12 ± 1 |
| 14 | 16 ± 3 |
| 16 | 46 ± 5 |
| 6 | >100 |
Disclaimer/Publisher’s Note: The statements, opinions and data contained in all publications are solely those of the individual author(s) and contributor(s) and not of MDPI and/or the editor(s). MDPI and/or the editor(s) disclaim responsibility for any injury to people or property resulting from any ideas, methods, instructions or products referred to in the content. |
© 2026 by the authors. Licensee MDPI, Basel, Switzerland. This article is an open access article distributed under the terms and conditions of the Creative Commons Attribution (CC BY) license.
Share and Cite
Liveris, Z.J.; Yuan, M.; Hu, Y.; Sorescu, J.M.; Tuz, K.; Juárez, O.X.; Becker, D.P. Synthesis, Biological Evaluation, and Computational Analysis of 1,4-Naphthoquinone Derivatives as Inhibitors of the Sodium-Dependent NADH:Ubiquinone Oxidoreductase (NQR) in Vibrio cholerae. Int. J. Mol. Sci. 2026, 27, 1198. https://doi.org/10.3390/ijms27031198
Liveris ZJ, Yuan M, Hu Y, Sorescu JM, Tuz K, Juárez OX, Becker DP. Synthesis, Biological Evaluation, and Computational Analysis of 1,4-Naphthoquinone Derivatives as Inhibitors of the Sodium-Dependent NADH:Ubiquinone Oxidoreductase (NQR) in Vibrio cholerae. International Journal of Molecular Sciences. 2026; 27(3):1198. https://doi.org/10.3390/ijms27031198
Chicago/Turabian StyleLiveris, Zachary J., Ming Yuan, Yuyao Hu, Jennifer M. Sorescu, Karina Tuz, Oscar X. Juárez, and Daniel P. Becker. 2026. "Synthesis, Biological Evaluation, and Computational Analysis of 1,4-Naphthoquinone Derivatives as Inhibitors of the Sodium-Dependent NADH:Ubiquinone Oxidoreductase (NQR) in Vibrio cholerae" International Journal of Molecular Sciences 27, no. 3: 1198. https://doi.org/10.3390/ijms27031198
APA StyleLiveris, Z. J., Yuan, M., Hu, Y., Sorescu, J. M., Tuz, K., Juárez, O. X., & Becker, D. P. (2026). Synthesis, Biological Evaluation, and Computational Analysis of 1,4-Naphthoquinone Derivatives as Inhibitors of the Sodium-Dependent NADH:Ubiquinone Oxidoreductase (NQR) in Vibrio cholerae. International Journal of Molecular Sciences, 27(3), 1198. https://doi.org/10.3390/ijms27031198

















