Fibronectin Is a Likely Therapeutic Target Shared by Oral and Breast Carcinomas
Abstract
1. Introduction
2. Results
2.1. Correlation Between EMT- and Macrophage-Signature in OSCC and BC Patients
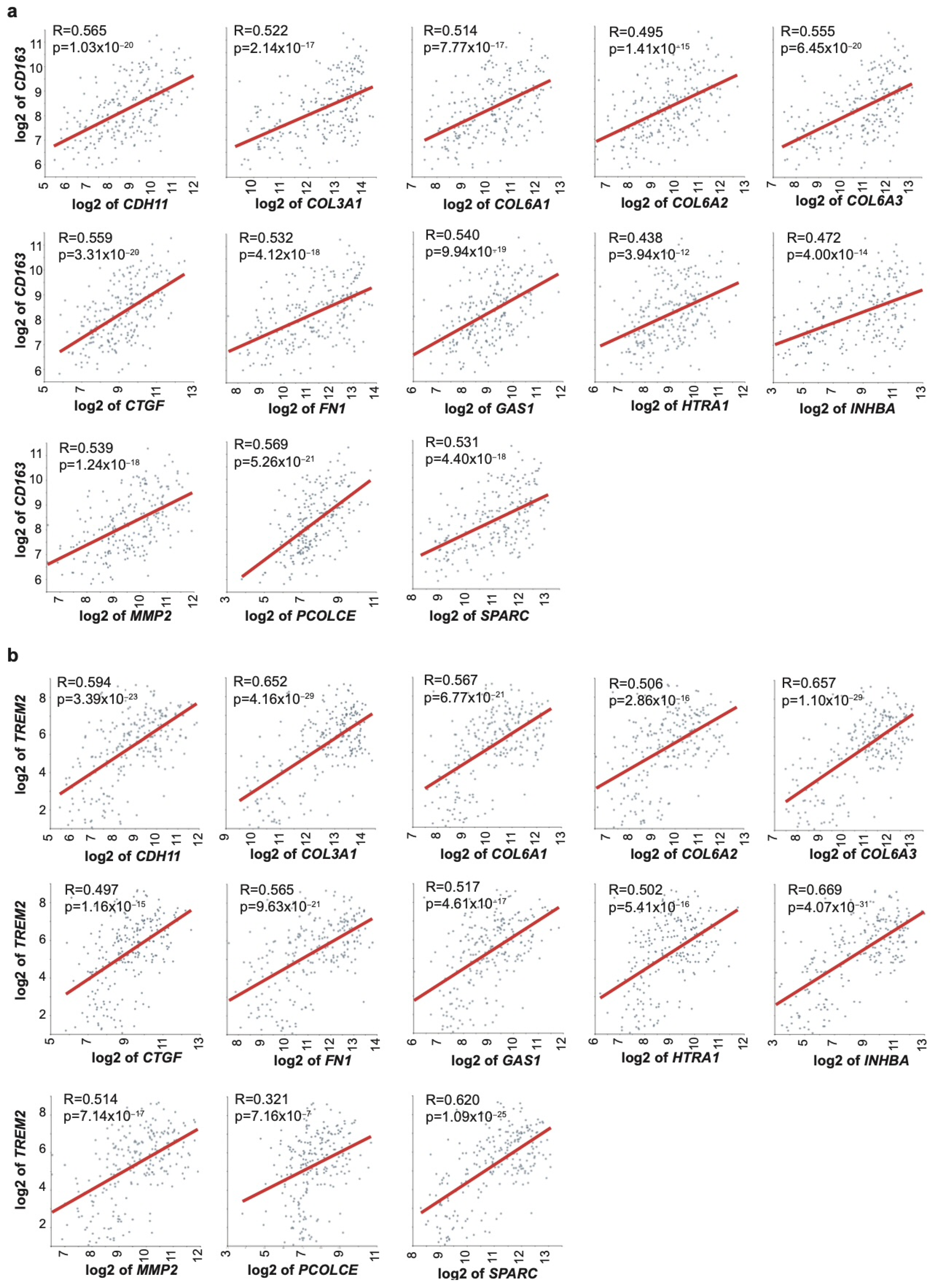
2.2. EMT Genes Positively Correlate with M2-like Macrophage Genes in Patients with OSCC and BC
2.3. Shared and Tumor-Specific EMT-Immunogenic Gene Signatures in OSCC and BC
3. Discussion
4. Materials and Methods
4.1. Signature Correlation Analysis
4.2. Gene Correlation Analysis
4.3. Gene Expression Analysis
4.4. Protein Expression Analysis
4.5. Statistical Analysis
5. Conclusions
Supplementary Materials
Author Contributions
Funding
Institutional Review Board Statement
Informed Consent Statement
Data Availability Statement
Conflicts of Interest
Abbreviations
| BC | Breast carcinoma |
| CDH11 | Cadherin 11 |
| COL3A1 | Alpha 1 chain of collagen type III |
| COL6A1 | Alpha 1 chain of collagen VI |
| COL6A2 | Alpha 2 chain of collagen type VI |
| COL6A3 | Alpha 3 chain of collagen type VI |
| CTGF | Connective tissue growth factor |
| E-cadherin | Epithelial cadherin |
| ECM | Extracellular matrix |
| EMT | Epithelial-to-mesenchymal transition |
| FN | Fibronectin |
| GAS1 | Growth arrest specific 1 |
| IL | Interleukin |
| INHBA | Inhibin beta A subunit |
| HTRA1 | High-temperature requirement A1 |
| MDSCs | Myeloid-derived suppressor cells |
| MMP2 | Matrix metalloproteinase |
| NK | Natural killer (cells) |
| OSCC | Oral squamous cell carcinoma |
| PCOLCE | Procollagen C-proteinase enhancer protein |
| PD-L1 | Programmed death-ligand 1 |
| PDGFRA | Platelet-derived growth receptor alpha |
| RTV | Ritonavir |
| SPARC | Secreted protein acidic and rich in cysteine |
| TCGA | The cancer genome atlas |
| TGF | Transforming growth factor |
| TGM2 | Transglutaminase 2 |
| TREM2 | Triggering receptor expressed on myeloid cells 2 |
| VIM | Vimentin |
References
- Manfioletti, G.; Fedele, M. Epithelial-Mesenchymal Transition (EMT). Int. J. Mol. Sci. 2023, 24, 11386. [Google Scholar] [CrossRef]
- Yao, W.; Wang, Z.; Ma, H.; Lin, Y.; Liu, X.; Li, P.; He, X. Epithelial-Mesenchymal Plasticity (EMP) in Wound Healing: Exploring EMT Mechanisms, Regulatory Network, and Therapeutic Opportunities. Heliyon 2024, 10, e34269. [Google Scholar] [CrossRef] [PubMed]
- Brabletz, S.; Schuhwerk, H.; Brabletz, T.; Stemmler, M.P. Dynamic EMT: A Multi-Tool for Tumor Progression. EMBO J. 2021, 40, e108647. [Google Scholar] [CrossRef]
- Li, Y.; Wang, L.; Pappan, L.; Galliher-Beckley, A.; Shi, J. IL-1β Promotes Stemness and Invasiveness of Colon Cancer Cells through Zeb1 Activation. Mol. Cancer 2012, 11, 87. [Google Scholar] [CrossRef]
- Zhou, T.; Luo, M.; Cai, W.; Zhou, S.; Feng, D.; Xu, C.; Wang, H. Runt-Related Transcription Factor 1 (RUNX1) Promotes TGF-β-Induced Renal Tubular Epithelial-to-Mesenchymal Transition (EMT) and Renal Fibrosis through the PI3K Subunit P110δ. EBioMedicine 2018, 31, 217–225. [Google Scholar] [CrossRef] [PubMed]
- Pomella, S.; Melaiu, O.; Dri, M.; Martelli, M.; Gargari, M.; Barillari, G. Effects of Angiogenic Factors on the Epithelial-to-Mesenchymal Transition and Their Impact on the Onset and Progression of Oral Squamous Cell Carcinoma: An Overview. Cells 2024, 13, 1294. [Google Scholar] [CrossRef]
- Cheng, Y.; Mo, F.; Li, Q.; Han, X.; Shi, H.; Chen, S.; Wei, Y.; Wei, X. Targeting CXCR2 Inhibits the Progression of Lung Cancer and Promotes Therapeutic Effect of Cisplatin. Mol. Cancer 2021, 20, 62. [Google Scholar] [CrossRef]
- Chen, X.; Yang, M.; Yin, J.; Li, P.; Zeng, S.; Zheng, G.; He, Z.; Liu, H.; Wang, Q.; Zhang, F.; et al. Tumor-Associated Macrophages Promote Epithelial-Mesenchymal Transition and the Cancer Stem Cell Properties in Triple-Negative Breast Cancer through CCL2/AKT/β-Catenin Signaling. Cell Commun. Signal. 2022, 20, 92. [Google Scholar] [CrossRef] [PubMed]
- Lu, Y.; Chen, Y.; Wang, Z.; Shen, H.; Xu, L.; Huang, C.; Tong, Y.; Shao, Y.; Zhang, H.; Fu, Z. Single-Cell and Spatial Transcriptome Profiling Reveal CTHRC1+ Fibroblasts Promote EMT through WNT5A Signaling in Colorectal Cancer. J. Transl. Med. 2025, 23, 282. [Google Scholar] [CrossRef]
- Ciani, L.; Libonati, A.; Dri, M.; Pomella, S.; Campanella, V.; Barillari, G. About a Possible Impact of Endodontic Infections by Fusobacterium Nucleatum or Porphyromonas Gingivalis on Oral Carcinogenesis: A Literature Overview. Int. J. Mol. Sci. 2024, 25, 5083. [Google Scholar] [CrossRef]
- Huang, Y.; Hong, W.; Wei, X. The Molecular Mechanisms and Therapeutic Strategies of EMT in Tumor Progression and Metastasis. J. Hematol. Oncol. 2022, 15, 129. [Google Scholar] [CrossRef] [PubMed]
- Lu, R.; Zhou, Z.; Yu, W.; Xia, Y.; Zhi, X. CPEB4 Promotes Cell Migration and Invasion via Upregulating Vimentin Expression in Breast Cancer. Biochem. Biophys. Res. Commun. 2017, 489, 135–141. [Google Scholar] [CrossRef]
- Zhang, Z.; Lin, M.; Wang, J.; Yang, F.; Yang, P.; Liu, Y.; Chen, Z.; Zheng, Y. Calycosin Inhibits Breast Cancer Cell Migration and Invasion by Suppressing EMT via BATF/TGF-Β1. Aging 2021, 13, 16009–16023. [Google Scholar] [CrossRef]
- Sangiorgi, B.; de Souza, F.C.; Mota de Souza Lima, I.; Dos Santos Schiavinato, J.L.; Corveloni, A.C.; Thomé, C.H.; Araújo Silva, W.; Faça, V.M.; Covas, D.T.; Zago, M.A.; et al. A High-Content Screening Approach to Identify MicroRNAs Against Head and Neck Cancer Cell Survival and EMT in an Inflammatory Microenvironment. Front. Oncol. 2019, 9, 1100. [Google Scholar] [CrossRef]
- Ali, M.; Singh, N.; Yadav, M.; Nayak, S.; Bamezai, R.N.K.; Singh, R.P. MiR-24-2 Targets Akt and Inhibits Cell Survival, EMT, and Tumour Growth in Triple-Negative Breast Cancer. Biochem. Biophys. Res. Commun. 2025, 775, 152182. [Google Scholar] [CrossRef]
- Peng, F.; Xiong, L.; Tang, H.; Peng, C.; Chen, J. Regulation of Epithelial-Mesenchymal Transition through MicroRNAs: Clinical and Biological Significance of MicroRNAs in Breast Cancer. Tumour Biol. 2016, 37, 14463–14477. [Google Scholar] [CrossRef]
- da Silva, S.D.; Morand, G.B.; Alobaid, F.A.; Hier, M.P.; Mlynarek, A.M.; Alaoui-Jamali, M.A.; Kowalski, L.P. Epithelial-Mesenchymal Transition (EMT) Markers Have Prognostic Impact in Multiple Primary Oral Squamous Cell Carcinoma. Clin. Exp. Metastasis 2015, 32, 55–63. [Google Scholar] [CrossRef]
- Hashemi, M.; Arani, H.Z.; Orouei, S.; Fallah, S.; Ghorbani, A.; Khaledabadi, M.; Kakavand, A.; Tavakolpournegari, A.; Saebfar, H.; Heidari, H.; et al. EMT Mechanism in Breast Cancer Metastasis and Drug Resistance: Revisiting Molecular Interactions and Biological Functions. Biomed. Pharmacother. 2022, 155, 113774. [Google Scholar] [CrossRef] [PubMed]
- Wang, R.; Lu, X.; Yu, R. LncRNA MALAT1 Promotes EMT Process and Cisplatin Resistance of Oral Squamous Cell Carcinoma via PI3K/AKT/m-TOR Signal Pathway. OncoTargets Ther. 2020, 13, 4049–4061. [Google Scholar] [CrossRef] [PubMed]
- Pai, S.; Bamodu, O.A.; Lin, Y.-K.; Lin, C.-S.; Chu, P.-Y.; Chien, M.-H.; Wang, L.-S.; Hsiao, M.; Yeh, C.-T.; Tsai, J.-T. CD47-SIRPα Signaling Induces Epithelial-Mesenchymal Transition and Cancer Stemness and Links to a Poor Prognosis in Patients with Oral Squamous Cell Carcinoma. Cells 2019, 8, 1658. [Google Scholar] [CrossRef]
- Soundararajan, R.; Fradette, J.J.; Konen, J.M.; Moulder, S.; Zhang, X.; Gibbons, D.L.; Varadarajan, N.; Wistuba, I.I.; Tripathy, D.; Bernatchez, C.; et al. Targeting the Interplay between Epithelial-to-Mesenchymal-Transition and the Immune System for Effective Immunotherapy. Cancers 2019, 11, 714. [Google Scholar] [CrossRef]
- Hirai, M.; Kitahara, H.; Kobayashi, Y.; Kato, K.; Bou-Gharios, G.; Nakamura, H.; Kawashiri, S. Regulation of PD-L1 Expression in a High-Grade Invasive Human Oral Squamous Cell Carcinoma Microenvironment. Int. J. Oncol. 2017, 50, 41–48. [Google Scholar] [CrossRef]
- Ababneh, E.; Velez, S.; Zhao, J. Immune Evasion and Resistance in Breast Cancer. Am. J. Cancer Res. 2025, 15, 1517–1539. [Google Scholar] [CrossRef] [PubMed]
- Elmusrati, A.; Wang, J.; Wang, C.-Y. Tumor Microenvironment and Immune Evasion in Head and Neck Squamous Cell Carcinoma. Int. J. Oral Sci. 2021, 13, 24. [Google Scholar] [CrossRef] [PubMed]
- Kudo-Saito, C.; Shirako, H.; Takeuchi, T.; Kawakami, Y. Cancer Metastasis Is Accelerated through Immunosuppression during Snail-Induced EMT of Cancer Cells. Cancer Cell 2009, 15, 195–206. [Google Scholar] [CrossRef]
- Su, S.; Liu, Q.; Chen, J.; Chen, J.; Chen, F.; He, C.; Huang, D.; Wu, W.; Lin, L.; Huang, W.; et al. A Positive Feedback Loop between Mesenchymal-like Cancer Cells and Macrophages Is Essential to Breast Cancer Metastasis. Cancer Cell 2014, 25, 605–620. [Google Scholar] [CrossRef]
- Terry, S.; Savagner, P.; Ortiz-Cuaran, S.; Mahjoubi, L.; Saintigny, P.; Thiery, J.-P.; Chouaib, S. New Insights into the Role of EMT in Tumor Immune Escape. Mol. Oncol. 2017, 11, 824–846. [Google Scholar] [CrossRef]
- Taki, M.; Abiko, K.; Ukita, M.; Murakami, R.; Yamanoi, K.; Yamaguchi, K.; Hamanishi, J.; Baba, T.; Matsumura, N.; Mandai, M. Tumor Immune Microenvironment during Epithelial-Mesenchymal Transition. Clin. Cancer Res. 2021, 27, 4669–4679. [Google Scholar] [CrossRef]
- Bao, X.; Shi, R.; Zhao, T.; Wang, Y.; Anastasov, N.; Rosemann, M.; Fang, W. Integrated Analysis of Single-Cell RNA-Seq and Bulk RNA-Seq Unravels Tumour Heterogeneity plus M2-like Tumour-Associated Macrophage Infiltration and Aggressiveness in TNBC. Cancer Immunol. Immunother. 2021, 70, 189–202. [Google Scholar] [CrossRef] [PubMed]
- Messeha, S.S.; Zarmouh, N.O.; Soliman, K.F.A. Polyphenols Modulating Effects of PD-L1/PD-1 Checkpoint and EMT-Mediated PD-L1 Overexpression in Breast Cancer. Nutrients 2021, 13, 1718. [Google Scholar] [CrossRef]
- Harbeck, N.; Penault-Llorca, F.; Cortes, J.; Gnant, M.; Houssami, N.; Poortmans, P.; Ruddy, K.; Tsang, J.; Cardoso, F. Breast Cancer. Nat. Rev. Dis. Primers 2019, 5, 66. [Google Scholar] [CrossRef]
- Ling, Z.; Cheng, B.; Tao, X. Epithelial-to-Mesenchymal Transition in Oral Squamous Cell Carcinoma: Challenges and Opportunities. Int. J. Cancer 2021, 148, 1548–1561. [Google Scholar] [CrossRef] [PubMed]
- Parris, T.Z.; Aziz, L.; Kovács, A.; Hajizadeh, S.; Nemes, S.; Semaan, M.; Chen, C.Y.; Karlsson, P.; Helou, K. Clinical Relevance of Breast Cancer-Related Genes as Potential Biomarkers for Oral Squamous Cell Carcinoma. BMC Cancer 2014, 14, 324. [Google Scholar] [CrossRef] [PubMed]
- Kumar, A.; Golani, A.; Kumar, L.D. EMT in Breast Cancer Metastasis: An Interplay of MicroRNAs, Signaling Pathways and Circulating Tumor Cells. Front. Biosci. (Landmark Ed.) 2020, 25, 979–1010. [Google Scholar] [CrossRef] [PubMed]
- Hasmim, M.; Xiao, M.; Van Moer, K.; Kumar, A.; Oniga, A.; Mittelbronn, M.; Duhem, C.; Chammout, A.; Berchem, G.; Thiery, J.P.; et al. SNAI1-Dependent Upregulation of CD73 Increases Extracellular Adenosine Release to Mediate Immune Suppression in TNBC. Front. Immunol. 2022, 13, 982821. [Google Scholar] [CrossRef]
- Zhang, S.-Y.; Ren, X.-Y.; Wang, C.-Y.; Chen, X.-J.; Cao, R.-Y.; Liu, Q.; Pan, X.; Zhou, J.-Y.; Zhang, W.-L.; Tang, X.-R.; et al. Comprehensive Characterization of Immune Landscape Based on Epithelial-Mesenchymal Transition Signature in OSCC: Implication for Prognosis and Immunotherapy. Front. Oncol. 2021, 11, 587862. [Google Scholar] [CrossRef]
- Xavier, F.C.A.; Silva, J.C.; Rodini, C.O.; Rodrigues, M.F.S.D. Mechanisms of Immune Evasion by Head and Neck Cancer Stem Cells. Front. Oral Health 2022, 3, 957310. [Google Scholar] [CrossRef]
- Michaud, D.E.; Guerriero, J.L. Myeloid Cells Pave the Metastatic Road in Breast Cancer. Cancer Res. 2024, 84, 181–183. [Google Scholar] [CrossRef]
- Syed Khaja, A.S.; Toor, S.M.; El Salhat, H.; Faour, I.; Ul Haq, N.; Ali, B.R.; Elkord, E. Preferential Accumulation of Regulatory T Cells with Highly Immunosuppressive Characteristics in Breast Tumor Microenvironment. Oncotarget 2017, 8, 33159–33171. [Google Scholar] [CrossRef]
- Lescaille, G.; Menashi, S.; Cavelier-Balloy, B.; Khayati, F.; Quemener, C.; Podgorniak, M.P.; Naïmi, B.; Calvo, F.; Lebbe, C.; Mourah, S. EMMPRIN/CD147 up-Regulates Urokinase-Type Plasminogen Activator: Implications in Oral Tumor Progression. BMC Cancer 2012, 12, 115. [Google Scholar] [CrossRef]
- Satelur, K.P.; Kumar, G. Immunohistochemical Expression of Cathepsin D in Primary and Recurrent Squamous Cell Carcinoma. J. Contemp. Dent. Pract. 2017, 18, 795–801. [Google Scholar] [CrossRef]
- Ravindranath, N.M.H.; Shuler, C. Cell-Surface Density of Complement Restriction Factors (CD46, CD55, and CD59): Oral Squamous Cell Carcinoma versus Other Solid Tumors. Oral Surg. Oral Med. Oral Pathol. Oral Radiol. Endodontol. 2007, 103, 231–239. [Google Scholar] [CrossRef]
- Parris, T.Z.; Kovács, A.; Aziz, L.; Hajizadeh, S.; Nemes, S.; Semaan, M.; Forssell-Aronsson, E.; Karlsson, P.; Helou, K. Additive Effect of the AZGP1, PIP, S100A8 and UBE2C Molecular Biomarkers Improves Outcome Prediction in Breast Carcinoma. Int. J. Cancer 2014, 134, 1617–1629. [Google Scholar] [CrossRef]
- Qiu, S.; Wu, Q.; Wang, H.; Liu, D.; Chen, C.; Zhu, Z.; Zheng, H.; Yang, G.; Li, L.; Yang, M. AZGP1 in POMC Neurons Modulates Energy Homeostasis and Metabolism through Leptin-Mediated STAT3 Phosphorylation. Nat. Commun. 2024, 15, 3377. [Google Scholar] [CrossRef]
- Ciuculete, D.M.; Boström, A.E.; Tuunainen, A.-K.; Sohrabi, F.; Kular, L.; Jagodic, M.; Voisin, S.; Mwinyi, J.; Schiöth, H.B. Changes in Methylation within the STK32B Promoter Are Associated with an Increased Risk for Generalized Anxiety Disorder in Adolescents. J. Psychiatr. Res. 2018, 102, 44–51. [Google Scholar] [CrossRef] [PubMed]
- Wang, S.; Song, R.; Wang, Z.; Jing, Z.; Wang, S.; Ma, J. S100A8/A9 in Inflammation. Front. Immunol. 2018, 9, 1298. [Google Scholar] [CrossRef]
- Finetti, P.; Cervera, N.; Charafe-Jauffret, E.; Chabannon, C.; Charpin, C.; Chaffanet, M.; Jacquemier, J.; Viens, P.; Birnbaum, D.; Bertucci, F. Sixteen-Kinase Gene Expression Identifies Luminal Breast Cancers with Poor Prognosis. Cancer Res. 2008, 68, 767–776. [Google Scholar] [CrossRef] [PubMed]
- McKiernan, E.; McDermott, E.W.; Evoy, D.; Crown, J.; Duffy, M.J. The Role of S100 Genes in Breast Cancer Progression. Tumour Biol. 2011, 32, 441–450. [Google Scholar] [CrossRef]
- Di Maggio, F.; Togo, G.; Pavone, E.; Calabrese, A.; D’Orsi, P.C.C.; Marciano, M.L.; Marino, G.; Ionna, F.; Salvatore, F.; Nunziato, M. Predictive Genomic Medicine Enlarges the Spectrum of Predisposing Mutations for Head and Neck Cancers via a Panel of 56 Genes Selected for Human Neoplasia in Southern Italy: A Pilot Study. Clin. Chem. Lab. Med. (CCLM) 2026, 64, 295–304. [Google Scholar] [CrossRef]
- Peterek, R.; Janik, K.; Cogiel, K.; Osikowicz, M.D.; Madej, P.; Męcik-Kronenberg, T. The Role of Menopausal Hormone Therapy in Hormone-Dependent Carcinogenic Mechanisms in the Oral Cavity: A Literature Review. Wiad. Lek. 2025, 78, 1677–1683. [Google Scholar] [CrossRef] [PubMed]
- Cueni, L.N.; Hegyi, I.; Shin, J.W.; Albinger-Hegyi, A.; Gruber, S.; Kunstfeld, R.; Moch, H.; Detmar, M. Tumor Lymphangiogenesis and Metastasis to Lymph Nodes Induced by Cancer Cell Expression of Podoplanin. Am. J. Pathol. 2010, 177, 1004–1016. [Google Scholar] [CrossRef]
- Wu, C.-H.; Tu, H.-F.; Gong, N.-R.; Chen, Y.-W.; Liu, C.-J.; Kao, S.-Y. The Val Allele of HER-2 Codon 655 Predicts the Progression of Oral Squamous Cell Carcinoma. Oral Oncol. 2009, 45, 579–583. [Google Scholar] [CrossRef] [PubMed]
- Kawczak, P.; Feszak, I.J.; Bączek, T. Comparative Mechanistic Insights and Therapeutic Potential of Pembrolizumab, Durvalumab, and Ipilimumab as Immune Checkpoint Inhibitors in the Targeted Management of Oral and Head and Neck Squamous Cell Carcinoma. Cancers 2025, 17, 2805. [Google Scholar] [CrossRef]
- Bai, J.; Gao, Y.; Zhang, G. The Treatment of Breast Cancer in the Era of Precision Medicine. Cancer Biol. Med. 2025, 22, 322–347. [Google Scholar] [CrossRef]
- Vasaikar, S.V.; Deshmukh, A.P.; den Hollander, P.; Addanki, S.; Kuburich, N.A.; Kudaravalli, S.; Joseph, R.; Chang, J.T.; Soundararajan, R.; Mani, S.A. EMTome: A Resource for Pan-Cancer Analysis of Epithelial-Mesenchymal Transition Genes and Signatures. Br. J. Cancer 2021, 124, 259–269. [Google Scholar] [CrossRef]
- Bindea, G.; Mlecnik, B.; Tosolini, M.; Kirilovsky, A.; Waldner, M.; Obenauf, A.C.; Angell, H.; Fredriksen, T.; Lafontaine, L.; Berger, A.; et al. Spatiotemporal Dynamics of Intratumoral Immune Cells Reveal the Immune Landscape in Human Cancer. Immunity 2013, 39, 782–795. [Google Scholar] [CrossRef]
- van Elsas, M.J.; Labrie, C.; Etzerodt, A.; Charoentong, P.; van Stigt Thans, J.J.C.; Van Hall, T.; van der Burg, S.H. Invasive Margin Tissue-Resident Macrophages of High CD163 Expression Impede Responses to T Cell-Based Immunotherapy. J. Immunother. Cancer 2023, 11, e006433. [Google Scholar] [CrossRef]
- Fang, C.; Zhong, R.; Lu, S.; Yu, G.; Liu, Z.; Yan, C.; Gao, J.; Tang, Y.; Wang, Y.; Zhao, Q.; et al. TREM2 Promotes Macrophage Polarization from M1 to M2 and Suppresses Osteoarthritis through the NF-ΚB/CXCL3 Axis. Int. J. Biol. Sci. 2024, 20, 1992–2007. [Google Scholar] [CrossRef]
- Nakamura, K.; Smyth, M.J. TREM2 Marks Tumor-Associated Macrophages. Signal Transduct. Target. Ther. 2020, 5, 233. [Google Scholar] [CrossRef] [PubMed]
- Molgora, M.; Esaulova, E.; Vermi, W.; Hou, J.; Chen, Y.; Luo, J.; Brioschi, S.; Bugatti, M.; Omodei, A.S.; Ricci, B.; et al. TREM2 Modulation Remodels the Tumor Myeloid Landscape Enhancing Anti-PD-1 Immunotherapy. Cell 2020, 182, 886–900.e17. [Google Scholar] [CrossRef] [PubMed]
- Wang, X.; Yuwen, T.-J.; Zhong, Y.; Li, Z.-G.; Wang, X.-Y. A New Method for Predicting the Prognosis of Colorectal Cancer Patients through a Combination of Multiple Tumor-Associated Macrophage Markers at the Invasive Front. Heliyon 2023, 9, e13211. [Google Scholar] [CrossRef]
- Oshi, M.; Tokumaru, Y.; Asaoka, M.; Yan, L.; Satyananda, V.; Matsuyama, R.; Matsuhashi, N.; Futamura, M.; Ishikawa, T.; Yoshida, K.; et al. M1 Macrophage and M1/M2 Ratio Defined by Transcriptomic Signatures Resemble Only Part of Their Conventional Clinical Characteristics in Breast Cancer. Sci. Rep. 2020, 10, 16554. [Google Scholar] [CrossRef]
- Nam, E.-H.; Lee, Y.; Zhao, X.-F.; Park, Y.-K.; Lee, J.W.; Kim, S. ZEB2-Sp1 Cooperation Induces Invasion by Upregulating Cadherin-11 and Integrin A5 Expression. Carcinogenesis 2014, 35, 302–314. [Google Scholar] [CrossRef] [PubMed]
- Jena, S.K.; Das, S.; Chakraborty, S.; Ain, R. Molecular Determinants of Epithelial Mesenchymal Transition in Mouse Placenta and Trophoblast Stem Cell. Sci. Rep. 2023, 13, 10978. [Google Scholar] [CrossRef] [PubMed]
- Ferreira, G.A.; Thomé, C.H.; Izumi, C.; Grassi, M.L.; Lanfredi, G.P.; Smolka, M.; Faça, V.M.; Candido Dos Reis, F.J. Proteomic Analysis of Exosomes Secreted during the Epithelial-Mesenchymal Transition and Potential Biomarkers of Mesenchymal High-Grade Serous Ovarian Carcinoma. J. Ovarian Res. 2023, 16, 232. [Google Scholar] [CrossRef]
- Yang, Y.; Fan, R.; Zhang, B.; Liu, K. COL6A2 in Clear Cell Renal Cell Carcinoma: A Multifaceted Driver of Tumor Progression, Immune Evasion, and Drug Sensitivity. J. Transl. Med. 2025, 23, 875. [Google Scholar] [CrossRef] [PubMed]
- Karpinski, P.; Rosales, I.; Laczmanski, L.; Kowalik, A.; Wenson, S.; Hoang, M.P. Expression of Genes Associated with Epithelial-Mesenchymal Transition in Merkel Cell Polyomavirus-Negative Merkel Cell Carcinoma. Lab. Investig. 2023, 103, 100177. [Google Scholar] [CrossRef]
- Dong, L.; Wang, H.; Gao, Y.; Wang, S.; Wang, W. Long Non-Coding RNA PVT1 Promotes the Proliferation, Migration and EMT Process of Ovarian Cancer Cells by Regulating CTGF. Oncol. Lett. 2023, 25, 71. [Google Scholar] [CrossRef]
- Zhou, L.; Wang, D.; Sheng, D.; Xu, J.; Chen, W.; Qin, Y.; Du, R.; Yang, X.; He, X.; Xie, N.; et al. NOTCH4 Maintains Quiescent Mesenchymal-like Breast Cancer Stem Cells via Transcriptionally Activating SLUG and GAS1 in Triple-Negative Breast Cancer. Theranostics 2020, 10, 2405–2421. [Google Scholar] [CrossRef]
- Ye, W.; Xue, C.; Chen, L.; Chen, X.; Zhang, D. Silencing of STX4 Inhibits the Proliferation, Migration and Invasion of Ovarian Cancer Cells via EMT/MMP2/CCND1 Signaling Pathway. J. Ovarian Res. 2025, 18, 124. [Google Scholar] [CrossRef]
- Shi, C.; Xie, Y.; Li, X.; Li, G.; Liu, W.; Pei, W.; Liu, J.; Yu, X.; Liu, T. Identification of Ferroptosis-Related Genes Signature Predicting the Efficiency of Invasion and Metastasis Ability in Colon Adenocarcinoma. Front. Cell Dev. Biol. 2021, 9, 815104. [Google Scholar] [CrossRef]
- Zhou, F.; Sun, J.; Ye, L.; Jiang, T.; Li, W.; Su, C.; Ren, S.; Wu, F.; Zhou, C.; Gao, G. Fibronectin Promotes Tumor Angiogenesis and Progression of Non-Small-Cell Lung Cancer by Elevating WISP3 Expression via FAK/MAPK/HIF-1α Axis and Activating Wnt Signaling Pathway. Exp. Hematol. Oncol. 2023, 12, 61. [Google Scholar] [CrossRef]
- Jiang, Z.; Li, X.; Liu, F.; Li, J.; Yang, K.; Xu, S.; Jiang, Z. Downregulation of HTRA1 Promotes EMT and Anoikis Resistance in Colorectal Cancer via Activation of Hippo/YAP1 Pathway by Facilitating LATS2 Degradation. Mol. Carcinog. 2025, 64, 1330–1346. [Google Scholar] [CrossRef] [PubMed]
- Fujinaga, T.; Kumamaru, W.; Sugiura, T.; Kobayashi, Y.; Ohyama, Y.; Ikari, T.; Onimaru, M.; Akimoto, N.; Jogo, R.; Mori, Y. Biological Characterization and Analysis of Metastasis-Related Genes in Cell Lines Derived from the Primary Lesion and Lymph Node Metastasis of a Squamous Cell Carcinoma Arising in the Mandibular Gingiva. Int. J. Oncol. 2014, 44, 1614–1624. [Google Scholar] [CrossRef][Green Version]
- Wang, N.; Eckert, K.A.; Zomorrodi, A.R.; Xin, P.; Pan, W.; Shearer, D.A.; Weisz, J.; Maranus, C.D.; Clawson, G.A. Down-Regulation of HtrA1 Activates the Epithelial-Mesenchymal Transition and ATM DNA Damage Response Pathways. PLoS ONE 2012, 7, e39446. [Google Scholar] [CrossRef]
- Kartha, V.K.; Stawski, L.; Han, R.; Haines, P.; Gallagher, G.; Noonan, V.; Kukuruzinska, M.; Monti, S.; Trojanowska, M. PDGFRβ Is a Novel Marker of Stromal Activation in Oral Squamous Cell Carcinomas. PLoS ONE 2016, 11, e0154645. [Google Scholar] [CrossRef]
- Yang, F.; Lin, L.; Li, X.; Wen, R.; Zhang, X. Silencing of COL3A1 Represses Proliferation, Migration, Invasion, and Immune Escape of Triple Negative Breast Cancer Cells via down-Regulating PD-L1 Expression. Cell Biol. Int. 2022, 46, 1959–1969. [Google Scholar] [CrossRef] [PubMed]
- Zhang, L.; Wang, L.; Yang, H.; Li, C.; Fang, C. Identification of Potential Genes Related to Breast Cancer Brain Metastasis in Breast Cancer Patients. Biosci. Rep. 2021, 41, BSR20211615. [Google Scholar] [CrossRef] [PubMed]
- Trino Albano, L.D.; Granato, D.C.; Albano, L.G.S.; Patroni, F.M.S.; Santana, A.G.; Câmara, G.A.; de Camargo, D.H.S.; Mores, A.L.; Brandão, T.B.; Prado-Ribeiro, A.C.; et al. Noninvasive and Sensitive Biosensor for the Detection of Oral Cancer Prognostic Biomarkers. Small 2025, 21, e04278. [Google Scholar] [CrossRef]
- Motamed, K. SPARC (Osteonectin/BM-40). Int. J. Biochem. Cell Biol. 1999, 31, 1363–1366. [Google Scholar] [CrossRef]
- Jing, Y.; Jin, Y.; Wang, Y.; Chen, S.; Zhang, X.; Song, Y.; Wang, Z.; Pu, Y.; Ni, Y.; Hu, Q. SPARC Promotes the Proliferation and Metastasis of Oral Squamous Cell Carcinoma by PI3K/AKT/PDGFB/PDGFRβ Axis. J. Cell. Physiol. 2019, 234, 15581–15593. [Google Scholar] [CrossRef]
- Shi, S.; Ma, H.-Y.; Han, X.-Y.; Sang, Y.-Z.; Yang, M.-Y.; Zhang, Z.-G. Prognostic Significance of SPARC Expression in Breast Cancer: A Meta-Analysis and Bioinformatics Analysis. Biom. Res. Int. 2022, 2022, 8600419. [Google Scholar] [CrossRef] [PubMed]
- Gilles, C.; Bassuk, J.A.; Pulyaeva, H.; Sage, E.H.; Foidart, J.M.; Thompson, E.W. SPARC/Osteonectin Induces Matrix Metalloproteinase 2 Activation in Human Breast Cancer Cell Lines. Cancer Res. 1998, 58, 5529–5536. [Google Scholar]
- Efthymiou, G.; Saint, A.; Ruff, M.; Rekad, Z.; Ciais, D.; Van Obberghen-Schilling, E. Shaping Up the Tumor Microenvironment with Cellular Fibronectin. Front. Oncol. 2020, 10, 641. [Google Scholar] [CrossRef]
- Wang, H.; Zhang, J.; Li, H.; Yu, H.; Chen, S.; Liu, S.; Zhang, C.; He, Y. FN1 Is a Prognostic Biomarker and Correlated with Immune Infiltrates in Gastric Cancers. Front. Oncol. 2022, 12, 918719. [Google Scholar] [CrossRef]
- Li, J.; Chen, C.; Chen, B.; Guo, T. High FN1 Expression Correlates with Gastric Cancer Progression. Pathol. Res. Pract. 2022, 239, 154179. [Google Scholar] [CrossRef]
- Peng, Y.; Yin, D.; Li, X.; Wang, K.; Li, W.; Huang, Y.; Liu, X.; Ren, Z.; Yang, X.; Zhang, Z.; et al. Integration of Transcriptomics and Metabolomics Reveals a Novel Gene Signature Guided by FN1 Associated with Immune Response in Oral Squamous Cell Carcinoma Tumorigenesis. J. Cancer Res. Clin. Oncol. 2023, 149, 6097–6113. [Google Scholar] [CrossRef] [PubMed]
- Ko, Y.-C.; Lai, T.-Y.; Hsu, S.-C.; Wang, F.-H.; Su, S.-Y.; Chen, Y.-L.; Tsai, M.-L.; Wu, C.-C.; Hsiao, J.-R.; Chang, J.-Y.; et al. Index of Cancer-Associated Fibroblasts Is Superior to the Epithelial-Mesenchymal Transition Score in Prognosis Prediction. Cancers 2020, 12, 1718. [Google Scholar] [CrossRef]
- Thakore, V.P.; Patel, K.D.; Vora, H.H.; Patel, P.S.; Jain, N.K. Up-Regulation of Extracellular-Matrix and Inflammation Related Genes in Oral Squamous Cell Carcinoma. Arch. Oral Biol. 2024, 161, 105925. [Google Scholar] [CrossRef] [PubMed]
- Hérard, A.L.; Pierrot, D.; Hinnrasky, J.; Kaplan, H.; Sheppard, D.; Puchelle, E.; Zahm, J.M. Fibronectin and Its Alpha 5 Beta 1-Integrin Receptor Are Involved in the Wound-Repair Process of Airway Epithelium. Am. J. Physiol. 1996, 271, L726–L733. [Google Scholar] [CrossRef]
- Lin, C.-Y.; Hsieh, Y.-H.; Yang, S.-F.; Chu, S.-C.; Chen, P.-N.; Hsieh, Y.-S. Cinnamomum Cassia Extracts Reverses TGF-Β1-Induced Epithelial-Mesenchymal Transition in Human Lung Adenocarcinoma Cells and Suppresses Tumor Growth in Vivo. Environ. Toxicol. 2017, 32, 1878–1887. [Google Scholar] [CrossRef] [PubMed]
- Wang, H.; Guo, S.; Kim, S.-J.; Shao, F.; Ho, J.W.K.; Wong, K.U.; Miao, Z.; Hao, D.; Zhao, M.; Xu, J.; et al. Cisplatin Prevents Breast Cancer Metastasis through Blocking Early EMT and Retards Cancer Growth Together with Paclitaxel. Theranostics 2021, 11, 2442–2459. [Google Scholar] [CrossRef]
- Fang, C.-Y.; Wu, C.-Z.; Chen, P.-N.; Chang, Y.-C.; Chuang, C.-Y.; Lai, C.-T.; Yang, S.-F.; Tsai, L.-L. Antimetastatic Potentials of Salvianolic Acid A on Oral Squamous Cell Carcinoma by Targeting MMP-2 and the c-Raf/MEK/ERK Pathway. Environ. Toxicol. 2018, 33, 545–554. [Google Scholar] [CrossRef]
- Li, C.; Yang, D.; Zhao, Y.; Qiu, Y.; Cao, X.; Yu, Y.; Guo, H.; Gu, X.; Yin, X. Inhibitory Effects of Isorhamnetin on the Invasion of Human Breast Carcinoma Cells by Downregulating the Expression and Activity of Matrix Metalloproteinase-2/9. Nutr. Cancer 2015, 67, 1191–1200. [Google Scholar] [CrossRef]
- Gao, H.; Li, Q. A Pan-Cancer Analysis of the Oncogenic Role of Procollagen C-Endopeptidase Enhancer (PCOLCE) in Human. Medicine 2022, 101, e32444. [Google Scholar] [CrossRef]
- Ai, J.; Tan, Y.; Liu, B.; Song, Y.; Wang, Y.; Xia, X.; Fu, Q. Systematic Establishment and Verification of an Epithelial-Mesenchymal Transition Gene Signature for Predicting Prognosis of Oral Squamous Cell Carcinoma. Front. Genet. 2023, 14, 1113137. [Google Scholar] [CrossRef] [PubMed]
- Gao, L.; Wang, S.; Meng, J.; Sun, Y. LncRNA LUADT1 Promotes Oral Squamous Cell Carcinoma Cell Proliferation by Regulating MiR-34a/GAS1 Axis. Cancer Manag. Res. 2020, 12, 3401–3407. [Google Scholar] [CrossRef]
- Wei, Y.; Cheng, X.; Deng, L.; Dong, H.; Wei, H.; Xie, C.; Tuo, Y.; Li, G.; Yu, D.; Cao, Y. Expression Signature and Molecular Basis of CDH11 in OSCC Detected by a Combination of Multiple Methods. BMC Med. Genom. 2023, 16, 70. [Google Scholar] [CrossRef]
- Li, X.-Q.; Zhang, R.; Lu, H.; Yue, X.-M.; Huang, Y.-F. Extracellular Vesicle-Packaged CDH11 and ITGA5 Induce the Premetastatic Niche for Bone Colonization of Breast Cancer Cells. Cancer Res. 2022, 82, 1560–1574. [Google Scholar] [CrossRef]
- Zhou, M.; Hou, Y.; Yang, G.; Zhang, H.; Tu, G.; Du, Y.; Wen, S.; Xu, L.; Tang, X.; Tang, S.; et al. LncRNA-Hh Strengthen Cancer Stem Cells Generation in Twist-Positive Breast Cancer via Activation of Hedgehog Signaling Pathway. Stem Cells 2016, 34, 55–66. [Google Scholar] [CrossRef] [PubMed]
- Qi, Y.; Cao, J.; Jiang, M.; Lin, Y.; Li, W.; Li, B. HSP27/IL-6 Axis Promotes OSCC Chemoresistance, Invasion and Migration by Orchestrating Macrophages via a Positive Feedback Loop. Cell Biol. Toxicol. 2025, 41, 36. [Google Scholar] [CrossRef]
- Altobelli, E.; Marzioni, D.; Lattanzi, A.; Angeletti, P.M. HtrA1: Its Future Potential as a Novel Biomarker for Cancer. Oncol. Rep. 2015, 34, 555–566. [Google Scholar] [CrossRef]
- Dettogni, R.S.; Stur, E.; Laus, A.C.; da Costa Vieira, R.A.; Marques, M.M.C.; Santana, I.V.V.; Pulido, J.Z.; Ribeiro, L.F.; de Jesus Parmanhani, N.; Agostini, L.P.; et al. Potential Biomarkers of Ductal Carcinoma in Situ Progression. BMC Cancer 2020, 20, 119. [Google Scholar] [CrossRef] [PubMed]
- Jiménez, A.; López-Ornelas, A.; Estudillo, E.; González-Mariscal, L.; González, R.O.; Segovia, J. A Soluble Form of GAS1 Inhibits Tumor Growth and Angiogenesis in a Triple Negative Breast Cancer Model. Exp. Cell Res. 2014, 327, 307–317. [Google Scholar] [CrossRef] [PubMed]
- Romero-Trejo, D.; Mejía-Rodríguez, R.; Sierra-Mondragón, E.; Navarrete, A.; Pérez-Tapia, M.; González, R.O.; Segovia, J. The Systemic Administration of Neural Stem Cells Expressing an Inducible and Soluble Form of Growth Arrest Specific 1 Inhibits Mammary Gland Tumor Growth and the Formation of Metastases. Cytotherapy 2021, 23, 223–235. [Google Scholar] [CrossRef]
- Tsai, C.-H.; Hsieh, Y.-S.; Yang, S.-F.; Chou, M.-Y.; Chang, Y.-C. Matrix Metalloproteinase 2 and Matrix Metalloproteinase 9 Expression in Human Oral Squamous Cell Carcinoma and the Effect of Protein Kinase C Inhibitors: Preliminary Observations. Oral Surg. Oral Med. Oral Pathol. Oral Radiol. Endodontol. 2003, 95, 710–716. [Google Scholar] [CrossRef]
- Yen, Y.-T.; Yang, J.-C.; Chang, J.-B.; Tsai, S.-C. Down-Regulation of MiR-194-5p for Predicting Metastasis in Breast Cancer Cells. Int. J. Mol. Sci. 2021, 23, 325. [Google Scholar] [CrossRef] [PubMed]
- Span, P.N.; Sweep, C.G.J.; Manders, P.; Beex, L.V.A.M.; Leppert, D.; Lindberg, R.L.P. Matrix Metalloproteinase Inhibitor Reversion-inducing Cysteine-rich Protein with Kazal Motifs. Cancer 2003, 97, 2710–2715. [Google Scholar] [CrossRef]
- Min, K.-W.; Kim, D.-H.; Do, S.-I.; Kim, K.; Lee, H.J.; Chae, S.W.; Sohn, J.H.; Pyo, J.-S.; Oh, Y.-H.; Kim, W.-S.; et al. Expression Patterns of Stromal MMP-2 and Tumoural MMP-2 and -9 Are Significant Prognostic Factors in Invasive Ductal Carcinoma of the Breast. APMIS 2014, 122, 1196–1206. [Google Scholar] [CrossRef]
- Muro, A.F.; Chauhan, A.K.; Gajovic, S.; Iaconcig, A.; Porro, F.; Stanta, G.; Baralle, F.E. Regulated Splicing of the Fibronectin EDA Exon Is Essential for Proper Skin Wound Healing and Normal Lifespan. J. Cell Biol. 2003, 162, 149–160. [Google Scholar] [CrossRef]
- Wu, N.; Rollin, J.; Masse, I.; Lamartine, J.; Gidrol, X. P63 Regulates Human Keratinocyte Proliferation via MYC-Regulated Gene Network and Differentiation Commitment through Cell Adhesion-Related Gene Network. J. Biol. Chem. 2012, 287, 5627–5638. [Google Scholar] [CrossRef] [PubMed]
- Akiyama, S.K.; Olden, K.; Yamada, K.M. Fibronectin and Integrins in Invasion and Metastasis. Cancer Metastasis Rev. 1995, 14, 173–189. [Google Scholar] [CrossRef] [PubMed]
- Soikkeli, J.; Podlasz, P.; Yin, M.; Nummela, P.; Jahkola, T.; Virolainen, S.; Krogerus, L.; Heikkilä, P.; von Smitten, K.; Saksela, O.; et al. Metastatic Outgrowth Encompasses COL-I, FN1, and POSTN up-Regulation and Assembly to Fibrillar Networks Regulating Cell Adhesion, Migration, and Growth. Am. J. Pathol. 2010, 177, 387–403. [Google Scholar] [CrossRef]
- Zhai, J.; Luo, G. GATA6-induced FN1 Activation Promotes the Proliferation, Invasion and Migration of Oral Squamous Cell Carcinoma Cells. Mol. Med. Rep. 2022, 25, 102. [Google Scholar] [CrossRef] [PubMed]
- Berger, A.J.; Renner, C.M.; Hale, I.; Yang, X.; Ponik, S.M.; Weisman, P.S.; Masters, K.S.; Kreeger, P.K. Scaffold Stiffness Influences Breast Cancer Cell Invasion via EGFR-Linked Mena Upregulation and Matrix Remodeling. Matrix Biol. 2020, 85–86, 80–93. [Google Scholar] [CrossRef]
- Chen, W.; Jiang, M.; Zou, X.; Chen, Z.; Shen, L.; Hu, J.; Kong, M.; Huang, J.; Ni, C.; Xia, W. Fibroblast Activation Protein (FAP)+ Cancer-Associated Fibroblasts Induce Macrophage M2-like Polarization via the Fibronectin 1-Integrin A5β1 Axis in Breast Cancer. Oncogene 2025, 44, 2396–2412. [Google Scholar] [CrossRef]
- Zhou, W.-H.; Du, W.-D.; Li, Y.-F.; Al-Aroomi, M.A.; Yan, C.; Wang, Y.; Zhang, Z.-Y.; Liu, F.-Y.; Sun, C.-F. The Overexpression of Fibronectin 1 Promotes Cancer Progression and Associated with M2 Macrophages Polarization in Head and Neck Squamous Cell Carcinoma Patients. Int. J. Gen. Med. 2022, 15, 5027–5042. [Google Scholar] [CrossRef]
- Zhu, X.; Li, Y.; Liu, H.; Xiao, Z. FN1 from Cancer-Associated Fibroblasts Orchestrates Pancreatic Cancer Metastasis via Integrin-PI3K/AKT Signaling. Front. Oncol. 2025, 15, 1595523. [Google Scholar] [CrossRef]
- Spiegel, J.; Mas-Moruno, C.; Kessler, H.; Lubell, W.D. Cyclic Aza-Peptide Integrin Ligand Synthesis and Biological Activity. J. Org. Chem. 2012, 77, 5271–5278. [Google Scholar] [CrossRef]
- Morozevich, G.; Kozlova, N.; Cheglakov, I.; Ushakova, N.; Berman, A. Integrin Alpha5beta1 Controls Invasion of Human Breast Carcinoma Cells by Direct and Indirect Modulation of MMP-2 Collagenase Activity. Cell Cycle 2009, 8, 2219–2225. [Google Scholar] [CrossRef]
- Lautenschlaeger, T.; Perry, J.; Peereboom, D.; Li, B.; Ibrahim, A.; Huebner, A.; Meng, W.; White, J.; Chakravarti, A. In Vitro Study of Combined Cilengitide and Radiation Treatment in Breast Cancer Cell Lines. Radiat. Oncol. 2013, 8, 246. [Google Scholar] [CrossRef] [PubMed]
- Stojanović, N.; Dekanić, A.; Paradžik, M.; Majhen, D.; Ferenčak, K.; Ruščić, J.; Bardak, I.; Supina, C.; Tomicic, M.T.; Christmann, M.; et al. Differential Effects of Integrin Av Knockdown and Cilengitide on Sensitization of Triple-Negative Breast Cancer and Melanoma Cells to Microtubule Poisons. Mol. Pharmacol. 2018, 94, 1334–1351. [Google Scholar] [CrossRef]
- Zeng, L.; Nie, H.; Xiong, H.; Yang, Z.; Hu, X.; Su, T. A Study on Regulating OSCC Cell Function by Blocking Integrin Avβ3 with Cilengitide. J. Oral Pathol. Med. 2025, 54, 597–606. [Google Scholar] [CrossRef]
- Hariharan, S.; Gustafson, D.; Holden, S.; McConkey, D.; Davis, D.; Morrow, M.; Basche, M.; Gore, L.; Zang, C.; O’Bryant, C.L.; et al. Assessment of the Biological and Pharmacological Effects of the Alpha Nu Beta3 and Alpha Nu Beta5 Integrin Receptor Antagonist, Cilengitide (EMD 121974), in Patients with Advanced Solid Tumors. Ann. Oncol. 2007, 18, 1400–1407. [Google Scholar] [CrossRef]
- Kurozumi, K.; Ichikawa, T.; Onishi, M.; Fujii, K.; Date, I. Cilengitide Treatment for Malignant Glioma: Current Status and Future Direction. Neurol. Med. Chir. 2012, 52, 539–547. [Google Scholar] [CrossRef]
- Flies, C.M.; Friedrich, M.; Lohmann, P.; van Garderen, K.A.; Smits, M.; Tonn, J.-C.; Weller, M.; Galldiks, N.; Snijders, T.J. Treatment-Associated Imaging Changes in Newly Diagnosed MGMT Promoter-Methylated Glioblastoma Undergoing Chemoradiation with or without Cilengitide. Neuro Oncol. 2024, 26, 902–910. [Google Scholar] [CrossRef] [PubMed]
- Alva, A.; Slovin, S.; Daignault, S.; Carducci, M.; Dipaola, R.; Pienta, K.; Agus, D.; Cooney, K.; Chen, A.; Smith, D.C.; et al. Phase II Study of Cilengitide (EMD 121974, NSC 707544) in Patients with Non-Metastatic Castration Resistant Prostate Cancer, NCI-6735. A Study by the DOD/PCF Prostate Cancer Clinical Trials Consortium. Investig. New Drugs 2012, 30, 749–757. [Google Scholar] [CrossRef] [PubMed]
- Vermorken, J.B.; Peyrade, F.; Krauss, J.; Mesía, R.; Remenar, E.; Gauler, T.C.; Keilholz, U.; Delord, J.P.; Schafhausen, P.; Erfán, J.; et al. Cisplatin, 5-Fluorouracil, and Cetuximab (PFE) with or without Cilengitide in Recurrent/Metastatic Squamous Cell Carcinoma of the Head and Neck: Results of the Randomized Phase I/II ADVANTAGE Trial (Phase II Part). Ann. Oncol. 2014, 25, 682–688. [Google Scholar] [CrossRef]
- Friess, H.; Langrehr, J.M.; Oettle, H.; Raedle, J.; Niedergethmann, M.; Dittrich, C.; Hossfeld, D.K.; Stöger, H.; Neyns, B.; Herzog, P.; et al. A Randomized Multi-Center Phase II Trial of the Angiogenesis Inhibitor Cilengitide (EMD 121974) and Gemcitabine Compared with Gemcitabine Alone in Advanced Unresectable Pancreatic Cancer. BMC Cancer 2006, 6, 285. [Google Scholar] [CrossRef]
- Kim, K.B.; Prieto, V.; Joseph, R.W.; Diwan, A.H.; Gallick, G.E.; Papadopoulos, N.E.; Bedikian, A.Y.; Camacho, L.H.; Hwu, P.; Ng, C.S.; et al. A Randomized Phase II Study of Cilengitide (EMD 121974) in Patients with Metastatic Melanoma. Melanoma Res. 2012, 22, 294–301. [Google Scholar] [CrossRef]
- Manegold, C.; Vansteenkiste, J.; Cardenal, F.; Schuette, W.; Woll, P.J.; Ulsperger, E.; Kerber, A.; Eckmayr, J.; von Pawel, J. Randomized Phase II Study of Three Doses of the Integrin Inhibitor Cilengitide versus Docetaxel as Second-Line Treatment for Patients with Advanced Non-Small-Cell Lung Cancer. Investig. New Drugs 2013, 31, 175–182. [Google Scholar] [CrossRef]
- Girnius, N.; Henstridge, A.Z.; Marks, B.; Yu, J.K.; Gray, G.K.; Sander, C.; Zervantonakis, I.K.; Luna, A. Cilengitide Sensitivity Is Predicted by Overall Integrin Expression in Breast Cancer. Breast Cancer Res. 2024, 26, 187. [Google Scholar] [CrossRef]
- Dalton, C.J.; Lemmon, C.A. Fibronectin: Molecular Structure, Fibrillar Structure and Mechanochemical Signaling. Cells 2021, 10, 2443. [Google Scholar] [CrossRef] [PubMed]
- Morita, Y.; Hata, K.; Nakanishi, M.; Omata, T.; Morita, N.; Yura, Y.; Nishimura, R.; Yoneda, T. Cellular Fibronectin 1 Promotes VEGF-C Expression, Lymphangiogenesis and Lymph Node Metastasis Associated with Human Oral Squamous Cell Carcinoma. Clin. Exp. Metastasis 2015, 32, 739–753. [Google Scholar] [CrossRef]
- Jin, Y.; Zhu, H.; Cai, W.; Fan, X.; Wang, Y.; Niu, Y.; Song, F.; Bu, Y. B-Myb Is Up-Regulated and Promotes Cell Growth and Motility in Non-Small Cell Lung Cancer. Int. J. Mol. Sci. 2017, 18, 860. [Google Scholar] [CrossRef]
- Wang, P.; Shang, J.; Zhao, J.; Wang, K.; Guo, L.; Gu, J.; Wang, W. SRY-related HMG Box-2 Role in Anaplastic Thyroid Cancer Aggressiveness Is Related to the Fibronectin 1 and PI3K/AKT Pathway. Mol. Med. Rep. 2020, 21, 1201–1207. [Google Scholar] [CrossRef]
- Li, Q.; Li, Z.; Luo, T.; Shi, H. Targeting the PI3K/AKT/MTOR and RAF/MEK/ERK Pathways for Cancer Therapy. Mol. Biomed. 2022, 3, 47. [Google Scholar] [CrossRef] [PubMed]
- Mokhfi, F.Z.; Al Amin, M.; Zehravi, M.; Sweilam, S.H.; Arjun, U.V.N.V.; Gupta, J.K.; Vallamkonda, B.; Balakrishnan, A.; Challa, M.; Singh, J.; et al. Alkaloid-Based Modulators of the PI3K/Akt/MTOR Pathway for Cancer Therapy: Understandings from Pharmacological Point of View. Chem. Biol. Interact. 2024, 402, 111218. [Google Scholar] [CrossRef]
- Roskoski, R. Properties of FDA-Approved Small Molecule Phosphatidylinositol 3-Kinase Inhibitors Prescribed for the Treatment of Malignancies. Pharmacol. Res. 2021, 168, 105579. [Google Scholar] [CrossRef]
- Pomella, S.; D’Archivio, L.; Cassandri, M.; Aiello, F.A.; Melaiu, O.; Marampon, F.; Rota, R.; Barillari, G. The HIV Protease Inhibitor Ritonavir Reverts the Mesenchymal Phenotype Induced by Inflammatory Cytokines in Normal and Tumor Oral Keratinocytes to an Epithelial One, Increasing the Radiosensitivity of Tumor Oral Keratinocytes. Cancers 2025, 17, 2519. [Google Scholar] [CrossRef]
- Srirangam, A.; Mitra, R.; Wang, M.; Gorski, J.C.; Badve, S.; Baldridge, L.; Hamilton, J.; Kishimoto, H.; Hawes, J.; Li, L.; et al. Effects of HIV Protease Inhibitor Ritonavir on Akt-Regulated Cell Proliferation in Breast Cancer. Clin. Cancer Res. 2006, 12, 1883–1896. [Google Scholar] [CrossRef]
- Hendrikx, J.J.M.A.; Lagas, J.S.; Song, J.-Y.; Rosing, H.; Schellens, J.H.M.; Beijnen, J.H.; Rottenberg, S.; Schinkel, A.H. Ritonavir Inhibits Intratumoral Docetaxel Metabolism and Enhances Docetaxel Antitumor Activity in an Immunocompetent Mouse Breast Cancer Model. Int. J. Cancer 2016, 138, 758–769. [Google Scholar] [CrossRef]
- Justesen, U.S. Protease Inhibitor Plasma Concentrations in HIV Antiretroviral Therapy. Dan. Med. Bull. 2008, 55, 165–185. [Google Scholar] [PubMed]
- Goldman, M.J.; Craft, B.; Hastie, M.; Repečka, K.; McDade, F.; Kamath, A.; Banerjee, A.; Luo, Y.; Rogers, D.; Brooks, A.N.; et al. Visualizing and Interpreting Cancer Genomics Data via the Xena Platform. Nat. Biotechnol. 2020, 38, 675–678. [Google Scholar] [CrossRef] [PubMed]
- Pomella, S.; Cassandri, M.; Melaiu, O.; Marampon, F.; Gargari, M.; Campanella, V.; Rota, R.; Barillari, G. DNA Damage Response Gene Signature as Potential Treatment Markers for Oral Squamous Cell Carcinoma. Int. J. Mol. Sci. 2023, 24, 2673. [Google Scholar] [CrossRef] [PubMed]





Disclaimer/Publisher’s Note: The statements, opinions and data contained in all publications are solely those of the individual author(s) and contributor(s) and not of MDPI and/or the editor(s). MDPI and/or the editor(s) disclaim responsibility for any injury to people or property resulting from any ideas, methods, instructions or products referred to in the content. |
© 2026 by the authors. Licensee MDPI, Basel, Switzerland. This article is an open access article distributed under the terms and conditions of the Creative Commons Attribution (CC BY) license.
Share and Cite
Pomella, S.; Bei, R.; Melaiu, O.; Barillari, G. Fibronectin Is a Likely Therapeutic Target Shared by Oral and Breast Carcinomas. Int. J. Mol. Sci. 2026, 27, 1148. https://doi.org/10.3390/ijms27031148
Pomella S, Bei R, Melaiu O, Barillari G. Fibronectin Is a Likely Therapeutic Target Shared by Oral and Breast Carcinomas. International Journal of Molecular Sciences. 2026; 27(3):1148. https://doi.org/10.3390/ijms27031148
Chicago/Turabian StylePomella, Silvia, Roberto Bei, Ombretta Melaiu, and Giovanni Barillari. 2026. "Fibronectin Is a Likely Therapeutic Target Shared by Oral and Breast Carcinomas" International Journal of Molecular Sciences 27, no. 3: 1148. https://doi.org/10.3390/ijms27031148
APA StylePomella, S., Bei, R., Melaiu, O., & Barillari, G. (2026). Fibronectin Is a Likely Therapeutic Target Shared by Oral and Breast Carcinomas. International Journal of Molecular Sciences, 27(3), 1148. https://doi.org/10.3390/ijms27031148

