Synthesis, Antimicrobial Evaluation, and Molecular Docking Analysis of Novel Schiff Bases Derived from Isatoic Anhydride and Salicylaldehyde
Abstract
1. Introduction
2. Results
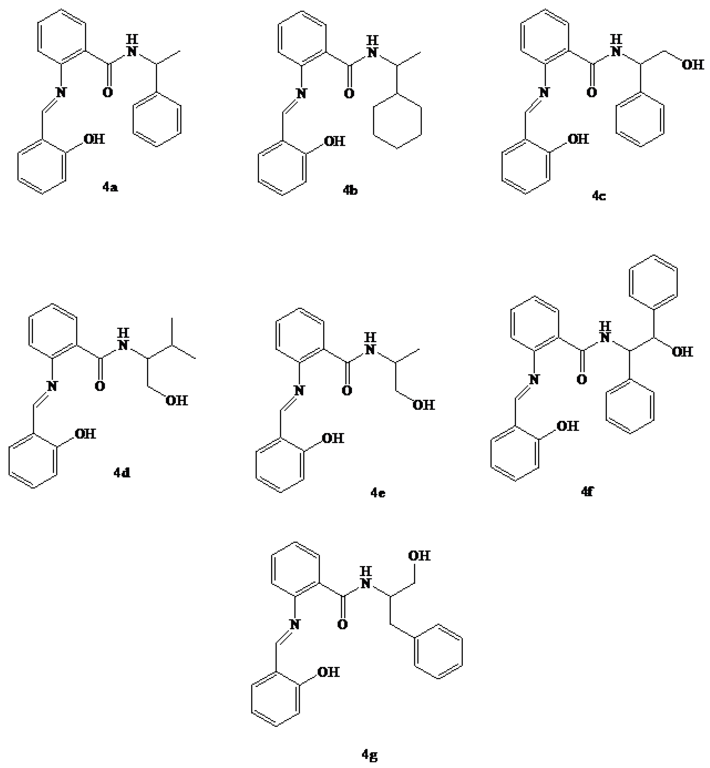
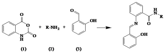
2.1. Synthesis of Compounds
2.2. Antimicrobial Activity
2.3. Molecular Docking
2.4. ADME Analysis
3. Discussion
4. Materials and Methods
4.1. Materials
4.2. General Synthesis Method of the New Schiff Bases
4.3. Spectral Data of Synthesized Compounds
4.4. Antimicrobial Susceptibility Testing
4.4.1. Test Microorganisms
4.4.2. Antimicrobial Assays
4.4.3. Minimum Inhibitory Concentration (MIC)
4.5. Molecular Docking Analyses
4.5.1. Calculation Methods
4.5.2. Ligand Preparation
4.5.3. Protein Preparation
4.5.4. Molecular Docking
4.5.5. Binding Free Energy Calculations
4.5.6. ADME Analysis
5. Conclusions
Supplementary Materials
Author Contributions
Funding
Institutional Review Board Statement
Informed Consent Statement
Data Availability Statement
Conflicts of Interest
Abbreviations
| ADME | Absorption, distribution, metabolism, and excretion |
| AIDS | Acquired immunodeficiency syndrome |
| AMR | Antimicrobial resistance |
| ATCC | American Type Culture Collection |
| CLSI | Clinical and Laboratory Standards Institute |
| CNS | Central Nervous System |
| DHFR | Dihydrofolate reductase |
| FT-IR | Fourier Transform Infrared Spectroscopy |
| IFD | Induced-fit docking |
| LCMS-MS | Liquid chromatography–mass spectrometry |
| MDCK | Madin–Darby canine kidney |
| MHA | Mueller–Hinton Agar |
| MIC | Minimum inhibitory concentration |
| MM-GBSA | Molecular mechanics-generalized born surface area |
| MM-GBSA | Molecular mechanics-generalized born surface area |
| MY20 | 20% dextrose agar |
| NMR | Nuclear magnetic resonance |
| PDB | Potato Dextrose Broth |
| PMDCK | Permeability Madin–Darby Canine Kidney |
| RCSB | Research Collaboratory for Structural Bioinformatics |
| RMSD | Root mean square deviation |
| RSKK | Refik Saydam National Type Culture Collection |
| WHO | World Health Organization |
| YPS | Yeast peptone dextrose agar |
| YPS | Yeast peptone dextrose broth |
References
- Ahmed, S.K.; Hussein, S.; Qurbani, K.; Ibrahim, R.H.; Fareeq, A.; Mahmood, K.A.; Mohamed, M.G. Antimicrobial resistance: Impacts, challenges, and future prospects. J. Med. Surg. Public Health 2024, 2, 100081. [Google Scholar] [CrossRef]
- Irfan, M.; Almotiri, A.; AlZeyadi, Z.A. Antimicrobial resistance and its drivers—A review. Antibiotics 2022, 11, 1362. [Google Scholar] [CrossRef]
- Adefisoye, M.A.; Olaniran, A.O. Antimicrobial resistance expansion in pathogens: A review of current mitigation strategies and advances towards innovative therapy. JAC-Antimicrob. Resist. 2023, 5, dlad127. [Google Scholar] [CrossRef]
- Baquero, F. Gram-positive resistance: Challenge for the development of new antibiotics. J. Antimicrob. Chemother. 1997, 39, 1–6. [Google Scholar] [CrossRef]
- Alekshun, M.N.; Levy, S.B. Molecular mechanisms of antibacterial multidrug resistanceş. Cell 2007, 128, 1037–1050. [Google Scholar] [CrossRef] [PubMed]
- Rice, L.B. Unmet medical needs in antibacterial therapy. Biochem. Pharmacol. 2006, 71, 991–996. [Google Scholar] [CrossRef] [PubMed]
- Sharma, P.; Ganguly, M. Copper-enhanced fluorescence: A novel platform for the sensing of hydrogen peroxide. New J. Chem. 2023, 47, 7481–7485. [Google Scholar] [CrossRef]
- dos Santos, J.E.; Dockal, E.R.; Cavalheiro, E.T. Synthesis and characterization of Schiff bases from chitosan and salicylaldehyde derivatives. Carbohydr. Polym. 2005, 60, 277–282. [Google Scholar] [CrossRef]
- Sharma, S.; Vashishtha, M. Evaluation of optimized molecular structure-antimicrobial and antioxidant efficacy relationship of Schiff bases. Environ. Sci. Pollut. Res. 2023, 30, 20874–20886. [Google Scholar]
- Iftime, M.M.; Morariu, S.; Marin, L. Salicyl-imine-chitosan hydrogels: Supramolecular architecturing as a cross linking method toward multifunctional hydrogels. Carbohydr. Polym. 2017, 165, 39–50. [Google Scholar] [CrossRef]
- Ceramella, J.; Iacopetta, D.; Catalano, A.; Cirillo, F.; Lappano, R.; Sinicropi, M.S. A review on the antimicrobial activity of Schiff bases: Data collection and recent studies. Antibiotics 2022, 11, 132. [Google Scholar] [CrossRef] [PubMed]
- Sethu, R.M.; Amirthaganesan, G. Structural and spectroscopic studies of substituted Schiff bases. Indian J. Phys. 2004, 78, 1329. [Google Scholar]
- Schiff, H. Untersuchungen über salicinderivate. Justus Liebigs Ann. Der Chem. 1869, 150, 193–200. [Google Scholar] [CrossRef]
- Demir, S. Synthesis, Characterization, and Quantum Chemical Modeling of Transition Metal Complexes of Imidazole-4-Carboxaldehyde–Derived Schiff Bases. Ph.D. Thesis, Ondokuz Mayıs University, Samsun, Turkey, 2013. [Google Scholar]
- Matar, S.A.; Talib, W.H.; Mustafa, M.S.; Mubarak, M.S.; AlDamen, M.A. Synthesis, characterization, and antimicrobial activity of Schiff bases derived from benzaldehydes and 3,3′-diaminodipropylamine. Arab. J. Chem. 2015, 8, 850–857. [Google Scholar] [CrossRef]
- Shen, Z.-H.; Shi, Y.-X.; Yang, M.-Y.; Sun, Z.-H.; Weng, J.-Q.; Tan, C.-X.; Liu, X.-H.; Li, B.-J; Zhao, W.-G. Synthesis, crystal structure, DFT studies and biological activity of a novel Schiff base containing Triazolo[4,3-a]pyridine moiety. Chin. J. Struct. Chem. 2016, 35, 457–464. [Google Scholar]
- Tahtaci, H.; Er, M.; Karakurt, T.; Onaran, A. Synthesis, Structural characterization, and biological evaluation of novel substituted 1,3-thiazole derivatives containing Schiff bases. J. Heterocycl. Chem. 2017, 54, 183–193. [Google Scholar] [CrossRef]
- Prasad, S.; Radhakrishna, V.; Ravi, T.K. Synthesis, spectroscopic and antibacterial studies of some Schiff bases of 4-(4-bromophenyl)-6-(4-chlorophenyl)-2-aminopyrimidine. Arab. J. Chem. 2019, 12, 3943–3947. [Google Scholar] [CrossRef]
- Zayed, E.M.; Zayed, M.A. Synthesis of novel Schiff’s bases of highly potential biological activities and their structure investigation. Spectrochim. Acta Part A Mol. Biomol. Spectrosc. 2015, 143, 81–90. [Google Scholar] [CrossRef] [PubMed]
- Amnerkar, N.D.; Bhongade, B.A.; Bhusari, K.P. Synthesis and biological evaluation of some4-(6-substituted-1,3-benzothiazol-2-yl)amino-1,3-thiazole-2-amines and their Schiff bases. Arab. J. Chem. 2015, 8, 545–552. [Google Scholar] [CrossRef]
- Soliman, D.H.; Eldehna, W.M.; Ghabbour, H.A.; Kabil, M.M.; Abdel-Aziz, M.M.; Abdel-Aziz, H.A.K. Novel 6-phenylnicotinohydrazide derivatives: Design, synthesis and biological evaluation as a novel class of antitubercular and antimicrobial agents. Biol. Pharm. Bull. 2017, 40, 1883–1893. [Google Scholar] [CrossRef]
- Bringmann, G.; Dreyer, M.; Faber, J.H.; Dalsgaard, P.W.; Staerk, D.; Jaroszewski, J.W. Ancistrotanzanine C and related 5,10- and 7,30-coupled naphthylisoquinoline alkaloids from Ancistrocladus tanzaniensis. J. Nat. Prod. 2004, 67, 743–750. [Google Scholar] [CrossRef]
- Souza, A.O.D.; Galetti, F.C.S.; Silva, C.L.; Bicalho, B.; Parma, M.M.; Fonseca, S.F. Antimycobacterial and cytotoxicity activity of synthetic and natural compounds. Quim. Nova 2007, 30, 1563–1568. [Google Scholar] [CrossRef]
- Guo, Z.; Xing, R.; Liu, S.; Zhong, Z.; Ji, X.; Wang, L. Antifungal properties of Schiff bases of chitosan, N-substituted chitosan and quaternized chitosan. Carbohydr. Res. 2007, 342, 1329–1332. [Google Scholar] [CrossRef]
- Boulechfar, C.; Ferkous, H.; Delimi, A.; Djedouani, A.; Kahlouche, A.; Boublia, A.; Benguerba, Y. Schiff bases and their metal Complexes: A review on the history, synthesis, and applications. Inorg. Chem. Commun. 2023, 150, 110451. [Google Scholar] [CrossRef]
- Aslam, M.; Anis, I.; Mehmood, R.; Iqbal, L.; Iqbal, S.; Khan, I.; Chishti, M.S.; Perveen, S. Synthesis and biological activities of 2-aminophenol-based Schiff bases and their structure–activity relationship. Med. Chem. Res. 2016, 25, 109–115. [Google Scholar] [CrossRef]
- Khan, M.; Khan, A.; Taha, M.; Salar, U.; Hameed, A.; Ismail, N.H.; Jamil, W.; Saad, S.M.; Perveen, S.; Kashif, S.M. Synthesis of 4-amino-1,5-dimethyl-2-phenylpyrazolone derivatives and their antioxidant activity. J. Chem. Soc. Pak. 2015, 37, 802–810. [Google Scholar]
- Prathima, B.; Rao, Y.S.; Reddy, S.A.; Reddy, Y.P.; Reddy, A.V. Copper(II) and nickel(II) complexes of benzyloxybenzaldehyde-4-phenyl-3-thiosemicarbazone: Synthesis, characterization and biological activity. Spectrochim. Acta 2010, 77A, 248–252. [Google Scholar] [CrossRef]
- Clinical Laboratory Standards Institute. Performance Standards for Antimicrobial Disk Susceptibility Tests; Approved standard-9th ed. CLSI document M2-A9. 26:1; Clinical Laboratory Standards Institute: Wayne, PA, USA, 2006. [Google Scholar]
- Irvine, J.D.; Takahashi, L.; Lockhart, K.; Cheong, J.; Tolan, J.W.; Selick, H.E.; Grove, J.R. MDCK (Madin–Darby canine kidney) cells: A tool for membrane permeability screening. J. Pharm. Sci. 1999, 88, 28–33. [Google Scholar] [CrossRef]
- Jorge, J.; Del Pino Santos, K.F.; Timoteo, F.; Piva Vasconcelos, R.R.; Ignacio Ayala Caceres, O.; Juliane Arantes Granja, I.; Rafique, J. Recent advances on the antimicrobial activities of Schiff bases and their metal complexes: An updated overview. Curr. Med. Chem. 2024, 31, 2330–2344. [Google Scholar] [CrossRef] [PubMed]
- Aftab, H.; Ullah, S.; Khan, A.; Al-Rashida, M.; Islam, T.; Dahlous, K.A.; Shafiq, Z. Design, synthesis, in vitro and in silico studies of novel piperidine derived thiosemicarbazones as inhibitors of dihydrofolate reductase. Sci. Rep. 2024, 14, 22645. [Google Scholar] [CrossRef] [PubMed]
- Naylor, M.R.; Ly, A.M.; Handford, M.J.; Ramos, D.P.; Pye, C.R.; Furukawa, A.; Lokey, R.S. Lipophilic permeability efficiency reconciles the opposing roles of lipophilicity in membrane permeability and aqueous solubility. J. Med. Chem. 2018, 61, 11169–11182. [Google Scholar] [CrossRef]
- Reynaldi, F.J.; Lucia, M.; Garcia, M.L.G. Ascosphaera apis, the entomopathogenic fungus affecting larvae of native bees (Xylocopa augusti): First report in South America. Rev. Iberoam. Micol. 2015, 32, 261–264. [Google Scholar] [CrossRef] [PubMed]
- Rufnengo, S.; Pena, N.I.; Clemente, G.; Palacio, M.A.; Escande, A. Suitability of culture media for the production of ascospoRes. and maintenance of Ascosphaera apis. J. Apic. Res. 2020, 39, 143–148. [Google Scholar] [CrossRef]
- Jensen, A.B.; Aronstein, K.; Flores, J.M.; Vojvodic, S.; Palacio, M.A.; Spivak, M. Standard methods for fungal brood disease research. J. Apic. Res. 2013, 52, 1–20. [Google Scholar] [CrossRef]
- Rosdee, S.; Wisessombat, S.; Tayeh, M.; Malakul, R.; Phanaksri, T.; Sianglum, W. Antibacterial activity of the endophytic fungal extracts and synergistic effects of combinations of ethylenediaminetetraacetic acid (EDTA) against Pseudomonas aeruginosa and Escherichia coli. PeerJ 2025, 13, e19074. [Google Scholar] [CrossRef] [PubMed]
- Mraz, P.; Zabka, M.; Hostickova, I.; Kopecky, M.; Bohata, A.; Tomcala, A.; Hybl, M. Effect of selected botanical compounds on Ascosphaera apis and Apis mellifera. Ind. Crops Prod. 2023, 197, 116649. [Google Scholar]
- Schrödinger. Schrödinger Softwere, Released, 2020–2023; Schrödinger, Inc.: New York, NY, USA, 2020.
- Nabuurs, S.B.; Wagener, M.; De Vlieg, J. A flexible approach to induced fit docking. J. Med. Chem. 2007, 50, 6507–6518. [Google Scholar] [CrossRef]
- Genheden, S.; Ryde, U. The MM/PBSA and MM/GBSA methods to estimate ligand-binding affinities. Expert Opin. Drug Discov. 2015, 10, 449–461. [Google Scholar] [CrossRef]





| No | Diameter of Inhibition Zone (mm) | ||||||||||
|---|---|---|---|---|---|---|---|---|---|---|---|
| EC | YP | PA | EF | LM | SA | BC | BS | CA | SC | AA | |
| 4f | 25.2 ± 2.8 | 0 ± 0 | 19.6 ± 3.4 | 15.5 ± 1.5 | 18 ± 2 | 26.7 ± 3.7 | 17.3 ± 1.3 | 30.8 ± 3,4 | 26.2 ± 3.2 | 0 ± 0 | 23.1 ± 4.7 |
| 4g | 20.9 ± 1.9 | 10.4 ± 2.2 | 16.4 ± 2.6 | 26.8 ± 4.8 | 14.1 ± 1.3 | 10.1 ± 1.1 | 22.5 ± 1.5 | 21.6 ± 0.8 | 12.3 ± 0.9 | 0 ± 0 | 9.6 ± 0.2 |
| 4c | 18.3 ± 1.9 | 9.5 ± 2.5 | 13.3 ± 2.9 | 21.6 ± 2.6 | 18.4 ± 0.8 | 10.3 ± 2.3 | 9.7 ± 3.3 | 19.3 ± 1.9 | 14.2 ± 1.2 | 2.6 ± 1.2 | 10.7 ± 1.3 |
| 4a | 5.7 ± 2.5 | 10.5 ± 2.5 | 8.5 ± 1.5 | 14.2 ± 1.4 | 8.8 ± 0.6 | 0 ± 0 | 9.7 ± 0.7 | 9.1 ± 0.9 | 0 ± 0 | 0 ± 0 | 4.6 ± 1.2 |
| 4b | 8.3 ± 1.5 | 0.5 ± 0 | 3 ± 0 | 1.8 ± 0.8 | 1 ± 0 | 3.6 ± 1.6 | 7.5 ± 2.5 | 7.1 ± 1.1 | 2.8 ± 1.2 | 0 ± 0 | 1.6 ± 0.6 |
| 4d | 1.2 ± 1.2 | 0 ± 0 | 7.6 ± 1.7 | 4.6 ± 0.6 | 9.5 ± 2.5 | 0 ± 0 | 10.7 ± 1.7 | 17.5 ± 2.5 | 12.5 ± 1.5 | 1.1 ± 0.3 | 6.8 ± 2.2 |
| 4e | 0.9 ± 0.3 | 0 ± 0 | 13.1 ± 1.6 | 8.2 ± 0.1 | 12.4 ± 2.6 | 2.3 ± 0.9 | 11.4 ± 4.6 | 11.6 ± 2.8 | 10.2 ± 1.8 | 1 ± 0 | 5.6 ± 2.4 |
| PC | 25.4 ± 4.2 | - | 30.45 ± 1.5 | 22.2 ± 1.8 | 27.7 ± 5.3 | 25.9 ± 8 | 42.66 ± 7.9 | 40.9 ± 6.7 | 24.33 ± 6.4 | - | 21 ± 9.6 |
| Compound | MIC (µg/mL) | ||||||||||
|---|---|---|---|---|---|---|---|---|---|---|---|
| EC | YP | PA | EF | LM | SA | BC | BS | CA | SC | AA | |
| 4f | 64 | NA | 128 | 128 | 128 | 64 | 64 | 32 | 64 | NA | 64 |
| 4g | 64 | 128 | 64 | 32 | 256 | 256 | 128 | 64 | 256 | NA | 256 |
| PC | 32 | NA | 32 | 64 | 32 | 32 | 32 | 16 | 32 | 64 | 50 |
| Compound | DS/ΔG | 7NAE | 2W95 | 1M78 |
|---|---|---|---|---|
| 4f | DS | −12.091 | −9.095 | −8.867 |
| ΔG | −84.10 | −74.52 | −66.49 | |
| 4g | DS | −10.345 | −9.070 | −8.955 |
| ΔG | −79.89 | −76.20 | −74.11 | |
| TOP | DS | −10.009 | −10.082 | - |
| ΔG | −88.20 | −72.81 | - | |
| CLZ | DS | - | - | −8.542 |
| ΔG | - | - | −54.27 |
| PDB ID | Compound | Hydrogen Bonding | Pi-pi Stacking | Hydrophobic |
|---|---|---|---|---|
| 7NAE | 4f | ALA7, TRP22, ILE94, TRY100 | PHE31 | ILE5, ILE6, ASN 23, ASP27, LEU28, TRP30, GLY95, GLY96, TRY111, THR113, |
| 4g | ASN 18, SER49, ARG52, ILE94 | PHE31 | ALA7, ASP27, LEU28, LYS32, THR35, THR46, SER49, ILE50, LEU54, ARG57 | |
| TOP | ILE 4, ILE5, ASP27 | ALA6, ALA7, LEU28, TRP30, PHE 31, TRY111, THR113, THR46, SER49, ILE50, ARG 52, LEU54 | ||
| 2W95 | 4f | GLN19 | LEU20, TRP22, HIS23, LEU24, ASP27, LEU28, HIE30, ILE31, THR46, SER 49, ILE50 | |
| 4g | GLN19, TRP22, ASP27 | LEU20, HIS23, LEU24, LEU28, ILE31, THR46, SER49, ILE50, PHE92, TRY98 | ||
| TOP | ILE5, ASP27, PHE92 | VAL6, ALA7, GLN19, LEU20, LEU28, HIE30, ILE31, THR46, SER49, ILE50, LEU54 | ||
| 1M78 | 4f | LYS24, ARG28, GLU32 | PHE36 | ILE9, VAL10, ALA11, MET25, LYS37, ILE33, MET54, THR58, TRP59, ILE62, LEU69, ARG72, ILE112, TRY118 |
| 4g | TRP27, ARG28, GLU32, ILE112 | ILE9, VAL10, ALA11, MET25, LEU29, ILE33, PHE36, LYS37, THR58, SER61, ILE62, GLY114, TRY118 | ||
| CLZ | ILE9, GLU32, ILE112 | PHE36 | VAL10, ALA11, MET25, ILE33, TRY35, ILE112, TRY118, LEU131, THR133 |
| Parameters | 4f | 4g |
|---|---|---|
| LogHERG | −7.775 | −6.591 |
| PCaco | 2598.637 | 2472.974 |
| LogBB | −0.669 | −0.649 |
| PMDCK | 1388.804 | 1316.357 |
| PLogKp | 0.597 | 0.016 |
| PLogKhsa | 0.716 | 0.204 |
| CNS | −1 | −1 |
| % ABS | 100 | 100 |
| Ro5 | 1 | 0 |
| Ro3 | 1 | 0 |
Disclaimer/Publisher’s Note: The statements, opinions and data contained in all publications are solely those of the individual author(s) and contributor(s) and not of MDPI and/or the editor(s). MDPI and/or the editor(s) disclaim responsibility for any injury to people or property resulting from any ideas, methods, instructions or products referred to in the content. |
© 2026 by the authors. Licensee MDPI, Basel, Switzerland. This article is an open access article distributed under the terms and conditions of the Creative Commons Attribution (CC BY) license.
Share and Cite
Tunç, T.; Köse, Y. Synthesis, Antimicrobial Evaluation, and Molecular Docking Analysis of Novel Schiff Bases Derived from Isatoic Anhydride and Salicylaldehyde. Int. J. Mol. Sci. 2026, 27, 742. https://doi.org/10.3390/ijms27020742
Tunç T, Köse Y. Synthesis, Antimicrobial Evaluation, and Molecular Docking Analysis of Novel Schiff Bases Derived from Isatoic Anhydride and Salicylaldehyde. International Journal of Molecular Sciences. 2026; 27(2):742. https://doi.org/10.3390/ijms27020742
Chicago/Turabian StyleTunç, Turgay, and Yaşar Köse. 2026. "Synthesis, Antimicrobial Evaluation, and Molecular Docking Analysis of Novel Schiff Bases Derived from Isatoic Anhydride and Salicylaldehyde" International Journal of Molecular Sciences 27, no. 2: 742. https://doi.org/10.3390/ijms27020742
APA StyleTunç, T., & Köse, Y. (2026). Synthesis, Antimicrobial Evaluation, and Molecular Docking Analysis of Novel Schiff Bases Derived from Isatoic Anhydride and Salicylaldehyde. International Journal of Molecular Sciences, 27(2), 742. https://doi.org/10.3390/ijms27020742
