Higher Serum Monolaurin Is Associated with a Lower Risk of COVID-19: Results from a Prospective Observational Cohort Study
Abstract
1. Introduction
2. Results
2.1. Characteristics of the Population
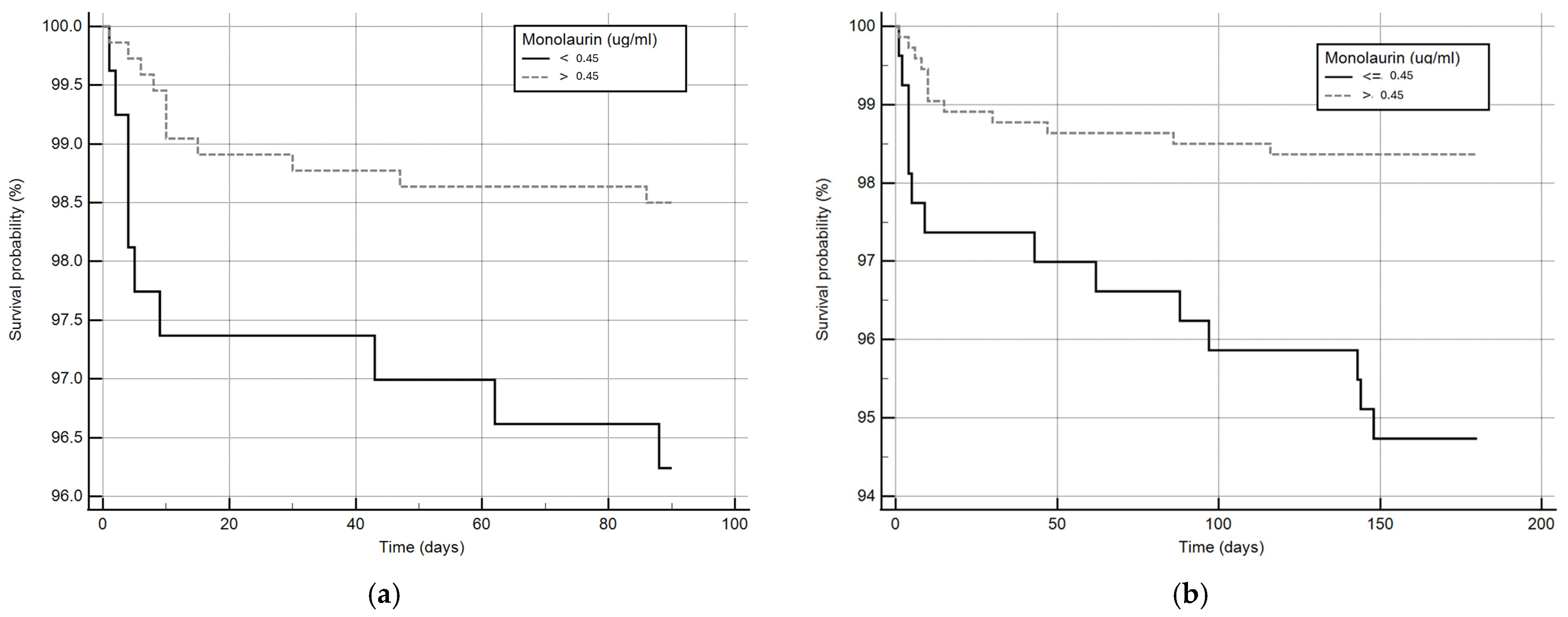
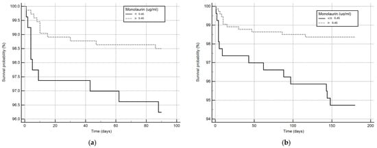
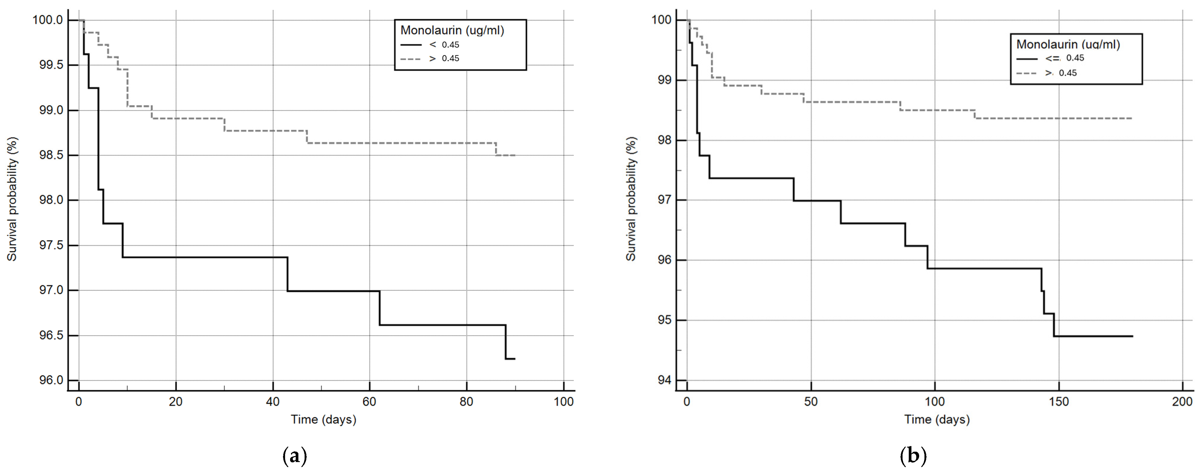
2.2. Analysis of the Impact of Monolaurin on SARS-CoV-2 Infection
3. Discussion
4. Material and Methods
4.1. Study Design and Population
4.2. Sample Preparation for Metabolomic Analysis
4.3. GC–MS Analysis
4.4. Statistical Analysis
Author Contributions
Funding
Institutional Review Board Statement
Informed Consent Statement
Data Availability Statement
Conflicts of Interest
References
- Ciotti, M.; Angeletti, S.; Minieri, M.; Giovannetti, M.; Benvenuto, D.; Pascarella, S.; Sagnelli, C.; Bianchi, M.; Bernardini, S.; Ciccozzi, M. COVID-19 Outbreak: An Overview. Chemotherapy 2020, 64, 215. [Google Scholar] [CrossRef] [PubMed]
- Padasas, B.T.; Españo, E.; Kim, S.; Song, Y.; Lee, C.; Kim, J. COVID-19 Therapeutics: An Update on Effective Treatments Against Infection With SARS-CoV-2 Variants. Immune Netw. 2023, 23, e13. [Google Scholar] [CrossRef]
- Jeong, Y.J.; Wi, Y.M.; Park, H.; Lee, J.E.; Kim, S.; Lee, K.S. Current and Emerging Knowledge in COVID-19. Radiology 2023, 306, e222462. [Google Scholar] [CrossRef]
- Wang, Y.; Jin, Y.; Yang, H. Intensive Care during the COVID-19 Pandemic. Vaccines 2023, 11, 125. [Google Scholar] [CrossRef]
- Lim, S.P. Targeting SARS-CoV-2 and host cell receptor interactions. Antivir. Res. 2022, 210, 105514. [Google Scholar] [CrossRef] [PubMed]
- Watson, O.J.; Barnsley, G.; Toor, J.; Hogan, A.B.; Winskill, P.; Ghani, A.C. Global impact of the first year of COVID-19 vaccination: A mathematical modelling study. Lancet Infect. Dis. 2022, 22, 1293–1302. [Google Scholar] [CrossRef] [PubMed]
- Wu, N.; Joyal-Desmarais, K.; Ribeiro, P.A.B.; Vieira, A.M.; Stojanovic, J.; Sanuade, C.; Yip, D.; Bacon, S.L. Long-term effectiveness of COVID-19 vaccines against infections, hospitalisations, and mortality in adults: Findings from a rapid living systematic evidence synthesis and meta-analysis up to December, 2022. Lancet Respir. Med. 2023, 11, 439. [Google Scholar] [CrossRef]
- Adebayo, A.; Varzideh, F.; Wilson, S.; Gambardella, J.; Eacobacci, M.; Jankauskas, S.S.; Donkor, K.; Kansakar, U.; Trimarco, V.; Mone, P.; et al. l-Arginine and COVID-19: An Update. Nutrients 2021, 13, 3951. [Google Scholar] [CrossRef]
- Ahvanooei, M.R.R.; Norouzian, M.A.; Vahmani, P. Beneficial Effects of Vitamins, Minerals, and Bioactive Peptides on Strengthening the Immune System Against COVID-19 and the Role of Cow’s Milk in the Supply of These Nutrients. Biol. Trace Elem. Res. 2021, 200, 4664. [Google Scholar] [CrossRef]
- Motti, M.L.; Tafuri, D.; Donini, L.; Masucci, M.T.; De Falco, V.; Mazzeo, F. The Role of Nutrients in Prevention, Treatment and Post-Coronavirus Disease-2019 (COVID-19). Nutrients 2022, 14, 1000. [Google Scholar] [CrossRef]
- Matino, E.; Tavella, E.; Rizzi, M.; Avanzi, G.C.; Azzolina, D.; Battaglia, A.; Becco, P.; Bellan, M.; Bertinieri, G.; Bertoletti, M.; et al. Effect of Lactoferrin on Clinical Outcomes of Hospitalized Patients with COVID-19: The LAC Randomized Clinical Trial. Nutrients 2023, 15, 1285. [Google Scholar] [CrossRef] [PubMed]
- Arora, I.; White, S.; Mathews, R. Global Dietary and Herbal Supplement Use during COVID-19—A Scoping Review. Nutrients 2023, 15, 771. [Google Scholar] [CrossRef] [PubMed]
- Moscatelli, F.; Sessa, F.; Valenzano, A.; Polito, R.; Monda, V.; Cibelli, G.; Villano, I.; Pisanelli, D.; Perrella, M.; Daniele, A.; et al. COVID-19: Role of Nutrition and Supplementation. Nutrients 2021, 13, 976. [Google Scholar] [CrossRef] [PubMed]
- Zsichla, L.; Müller, V. Risk Factors of Severe COVID-19: A Review of Host, Viral and Environmental Factors. Viruses 2023, 15, 175. [Google Scholar] [CrossRef]
- Ramya, V.; Shyam, K.P.; Kowsalya, E.; Balavigneswaran, C.K.; Kadalmani, B. Dual Roles of Coconut Oil and Its Major Component Lauric Acid on Redox Nexus: Focus on Cytoprotection and Cancer Cell Death. Front. Neurosci. 2022, 16, 833630. [Google Scholar] [CrossRef]
- Angeles-Agdeppa, I.; Nacis, J.S.; Capanzana, M.V.; Dayrit, F.M.; Tanda, K.V. Virgin coconut oil is effective in lowering C-reactive protein levels among suspect and probable cases of COVID-19. J. Funct. Foods 2021, 83, 104557. [Google Scholar] [CrossRef]
- Su, B.; Wang, Y.; Jian, S.; Tang, H.; Deng, H.; Zhu, L.; Zhao, X.; Liu, J.; Cheng, H.; Zhang, L.; et al. In vitro and in vivo antiviral activity of monolaurin against Seneca Valley virus. Front. Vet. Sci. 2023, 27, 980187. [Google Scholar] [CrossRef]
- Luo, X.; Liu, W.; Zhao, M.; Huang, Y.; Feng, F. Glycerol monolaurate beyond an emulsifier: Synthesis, in vivo fate, food quality benefits and health efficacies. Trends Food Sci. Technol. 2022, 127, 291. [Google Scholar] [CrossRef]
- Subroto, E.; Indiarto, R. Bioactive monolaurin as an antimicrobial and its potential to improve the immune system and against COVID-19: A review. Food Res. 2020, 4, 2355. [Google Scholar] [CrossRef]
- Barker, L.A.; Bakkum, B.W.; Chapman, C. The Clinical Use of Monolaurin as a Dietary Supplement: A Review of the Literature. J. Chiropr. Med. 2019, 18, 305. [Google Scholar] [CrossRef]
- Zhang, Q.; Yi, D.; Ji, C.; Wu, T.; Wang, M.; Guo, S.; Wang, L.; Zhao, D.; Hou, Y. Monolaurin Confers a Protective Effect Against Porcine Epidemic Diarrhea Virus Infection in Piglets by Regulating the Interferon Pathway. Front. Immunol. 2022, 12, 797476. [Google Scholar] [CrossRef] [PubMed]
- Schlievert, P.M.; Kilgore, S.H.; Seo, K.S.; Leung, D.Y.M. Glycerol Monolaurate Contributes to the Antimicrobial and Anti-inflammatory Activity of Human Milk. Sci. Rep. 2019, 9, 14550. [Google Scholar] [CrossRef]
- Welch, J.L.; Xiang, J.; Okeoma, C.M.; Schlievert, P.M.; Stapleton, J.T. Glycerol Monolaurate, an Analogue to a Factor Secreted by Lactobacillus, Is Virucidal against Enveloped Viruses, Including HIV-1. mBio 2020, 11, 10–1128. [Google Scholar] [CrossRef]
- Law, W.Y.; Asaruddin, M.R.; Bhawani, S.A.; Mohamad, S. Pharmacophore modelling of vanillin derivatives, favipiravir, chloroquine, hydroxychloroquine, monolaurin and tetrodotoxin as MPro inhibitors of severe acute respiratory syndrome coronavirus-2 (SARS-CoV-2). BMC Res. Notes 2020, 13, 527. [Google Scholar] [CrossRef] [PubMed]
- Barberis, E.; Amede, E.; Tavecchia, M.; Marengo, E.; Cittone, M.G.; Rizzi, E.; Pedrinelli, A.R.; Tonello, S.; Minisini, R.; Pirisi, M.; et al. Understanding protection from SARS-CoV-2 using metabolomics. Sci. Rep. 2021, 11, 13796. [Google Scholar] [CrossRef]
- Ghany, S.S.H.A.E.; Ibrahem, R.A.; El-Gendy, A.O.; El-Baky, R.M.A.; Mustafa, A.; Azmy, A.F. Novel synergistic interactions between monolaurin, a mono-acyl glycerol and β lactam antibiotics against Staphylococcus aureus: An in vitro study. BMC Infect. Dis. 2024, 24, 379. [Google Scholar] [CrossRef]
- Lin, Y.; Schlievert, P.M.; Anderson, M.J.; Fair, C.L.; Schaefers, M.M.; Muthyala, R.; Peterson, M.L. Glycerol Monolaurate and Dodecylglycerol Effects on Staphylococcus aureus and Toxic Shock Syndrome Toxin-1 In Vitro and In Vivo. PLoS ONE 2009, 4, e7499. [Google Scholar] [CrossRef]
- Strandberg, K.L.; Peterson, M.L.; Schaefers, M.M.; Case, L.C.; Pack, M.C.; Chase, D.J.; Schlievert, P.M. Reduction inStaphylococcus aureusGrowth and Exotoxin Production and in Vaginal Interleukin 8 Levels Due to Glycerol Monolaurate in Tampons. Clin. Infect. Dis. 2009, 49, 1711. [Google Scholar] [CrossRef] [PubMed]
- Strandberg, K.L.; Peterson, M.L.; Lin, Y.; Pack, M.C.; Chase, D.J.; Schlievert, P.M. Glycerol Monolaurate Inhibits Candida and Gardnerella vaginalis In Vitro and In Vivo but Not Lactobacillus. Antimicrob. Agents Chemother. 2009, 54, 597. [Google Scholar] [CrossRef]
- Wang, X.M.; Yee, K.C.; Hazeki-Taylor, N.; Li, J.; Fu, H.Y.; Huang, M.L.; Zhang, G.Y. Oral Helicobacter pylori, its relationship to successful eradication of gastric H. pylori and saliva culture confirmation. J. Physiol. Pharmacol. 2014, 65, 559–566. [Google Scholar]
- Rizzi, M.; Tonello, S.; Morani, F.; Rizzi, E.; Casciaro, G.F.; Matino, E.; Costanzo, M.; Zecca, E.; Croce, A.; Pedrinelli, A.; et al. CGRP Plasma Levels Correlate with the Clinical Evolution and Prognosis of Hospitalized Acute COVID-19 Patients. Viruses 2022, 26, 2123. [Google Scholar] [CrossRef] [PubMed]
- Angeles-Agdeppa, I.; Nacis, J.S.; Dayrit, F.M.; Tanda, K.V. Virgin coconut oil (VCO) supplementation relieves symptoms and inflammation among COVID-19 positive adults: A single-blind randomized trial. J. Nutr. Sci. 2024, 13, e5. [Google Scholar] [CrossRef] [PubMed]
- Alejandria, M.M.; Dalmacio, L.M.M.; Climacosa, F.M.M.; Tan-Lim, C.S.C.; Abaca, M.J.M.; Callanta, M.L.J.; Mercado, M.E.P. Virgin Coconut Oil as Adjunctive Therapy for Hospitalized COVID-19 Patients in a Tertiary Referral Hospital: A Randomized Controlled Trial. Acta Med. Philipp. 2024, 58, 31–41. [Google Scholar] [CrossRef] [PubMed]
- Todor, S.B.; Bîrluțiu, V.; Topîrcean, D.; Mihăilă, R.G. Role of biological markers and CT severity score in predicting mortality in patients with COVID 19: An observational retrospective study. Exp. Ther. Med. 2022, 24, 698. [Google Scholar] [CrossRef] [PubMed] [PubMed Central]
- Seleem, D.; Chen, E.; Benso, B.; Pardi, V.; Murata, R.M. In vitro evaluation of antifungal activity of monolaurin against Candida albicans biofilms. PeerJ 2016, 4, e2148. [Google Scholar] [CrossRef] [PubMed] [PubMed Central]




| Comorbidity | Absolute Number | % |
|---|---|---|
| Arterial hypertension | 90 | 9.0% |
| Thyroid diseases | 73 | 7.3% |
| Previous neoplasm | 54 | 5.4% |
| Cardiovascular diseases | 28 | 2.8% |
| Diabetes mellitus | 22 | 2.2% |
| Hypercholesterolemia | 10 | 1.0% |
| Celiac disease | 10 | 1.0% |
| Systemic connective tissue disorders | 8 | 0.8% |
| Multiple sclerosis | 8 | 0.8% |
| Chronic liver disease | 5 | 0.5% |
| Rheumatoid/Psoriatic arthritis | 4 | 0.4% |
| Ulcerative colitis | 4 | 0.4% |
| Hereditary iron metabolism disorders | 2 | 0.2% |
| Spondylitis | 1 | 0.1% |
| Total | Not Infected 3 Months | Infected 3 Months | Not Infected 6 Months | Infected 6 Months | |
|---|---|---|---|---|---|
| 1000 | 979 (97.9%) | 21 (2.1%) | 974 (97.4%) | 26 (2.6%) | |
| Male | 295 (29.5%) | 286 | 9 | 286 | 9 |
| Female | 705 (70.5%) | 693 | 12 | 688 | 17 |
| Age (years) mean ± SD | 46.4 ± 11.5 | 46.5 ± 11.4 | 42.2 ± 11.8 | 46.5 ± 11.5 | 43.2 ± 11.7 |
| Rhinorrhea | 5 | 8 | |||
| Headache | 2 | 2 | |||
| Anosmia/ageusia | 1 | 3 | |||
| Pharyngodynia | 1 | 1 | |||
| Asthenia | 2 | 3 | |||
| Fever | 3 | 5 | |||
| Dyspnea | 0 | 0 | |||
| Gastroenteritis | 0 | 0 | |||
| Hospitalizations | 0 | 0 |
| Variable | Chi-Squared (3 Months) | p (3 Months) | Chi-Squared (6 Months) | p (6 Months) |
|---|---|---|---|---|
| Age | 0.748 | 0.38 | 0.005 | 0.94 |
| Sex | 0.159 | 0.68 | 0.348 | 0.55 |
| Diabetes | 0.687 | 0.40 | 0.358 | 0.54 |
| Hepatic diseases | 0.107 | 0.74 | 0.132 | 0.71 |
| Epilepsy | 0.021 | 0.88 | 0.026 | 0.87 |
| Renal diseases | 0.085 | 0.76 | 0.106 | 0.74 |
| Dyslipidemia | 0.215 | 0.64 | 0.267 | 0.60 |
| Hypertension | 0.006 | 0.93 | 0.055 | 0.81 |
| Autoimmune diseases | 0.913 | 0.33 | 0.592 | 0.44 |
| Thyroid diseases | 0.213 | 0.64 | 0.479 | 0.48 |
| Cardiovascular diseases | 0.614 | 0.43 | 0.762 | 0.38 |
| Covariate | b | SE | p |
|---|---|---|---|
| Age | −0.037 | 0.020 | 0.066 |
| Sex | 0.118 | 0.471 | 0.801 |
| Diabetes | −12.654 | 683.120 | 0.985 |
| Hepatic diseases | 1.158 | 1.144 | 0.311 |
| Epilepsy | −12.153 | 974.355 | 0.990 |
| Renal diseases | −13.055 | 2208.189 | 0.995 |
| Dyslipidemia | −12.245 | 1061.020 | 0.990 |
| Hypertension | −12.438 | 680.847 | 0.985 |
| Autoimmune diseases | 0.460 | 0.841 | 0.584 |
| Thyroid diseases | 1.225 | 1.068 | 0.251 |
| Cardiovascular diseases | −0.390 | 1.028 | 0.704 |
| Neoplasms | −12.423 | 402.289 | 0.975 |
| Multiple sclerosis | 0.797 | 0.780 | 0.306 |
| Age | −12.411 | 815.401 | 0.987 |
| Monolaurin 0.45 mcg/mL | 0.969 | 0.444 | 0.029 |
| Covariate | b | SE | p |
|---|---|---|---|
| Age | −0.027 | 0.018 | 0.135 |
| Sex | 0.051 | 0.435 | 0.906 |
| Diabetes | −12.440 | 626.480 | 0.984 |
| Hepatic diseases | 1.125 | 1.129 | 0.319 |
| Epilepsy | −12.250 | 890.217 | 0.989 |
| Renal diseases | −13.238 | 2020.154 | 0.994 |
| Dyslipidemia | −12.362 | 970.706 | 0.989 |
| Hypertension | −12.406 | 622.313 | 0.984 |
| Autoimmune diseases | 0.217 | 0.821 | 0.791 |
| Thyroid diseases | 1.01 | 1.058 | 0.335 |
| Cardiovascular diseases | −0.5504 | 1.024 | 0.591 |
| Neoplasms | −12.440 | 367.717 | 0.973 |
| Multiple sclerosis | 0.563 | 0.765 | 0.461 |
| Age | −12.552 | 743.731 | 0.986 |
| Monolaurin 0.45 mcg/mL | 1.146 | 0.406 | 0.004 |
Disclaimer/Publisher’s Note: The statements, opinions and data contained in all publications are solely those of the individual author(s) and contributor(s) and not of MDPI and/or the editor(s). MDPI and/or the editor(s) disclaim responsibility for any injury to people or property resulting from any ideas, methods, instructions or products referred to in the content. |
© 2025 by the authors. Licensee MDPI, Basel, Switzerland. This article is an open access article distributed under the terms and conditions of the Creative Commons Attribution (CC BY) license (https://creativecommons.org/licenses/by/4.0/).
Share and Cite
Sola, D.; Tonello, S.; Casciaro, G.F.; Rizzi, E.; D’Onghia, D.; Pirisi, M.; Caldera, F.; Rizzi, M.; Colangelo, D.; Del Duca, N.; et al. Higher Serum Monolaurin Is Associated with a Lower Risk of COVID-19: Results from a Prospective Observational Cohort Study. Int. J. Mol. Sci. 2025, 26, 2452. https://doi.org/10.3390/ijms26062452
Sola D, Tonello S, Casciaro GF, Rizzi E, D’Onghia D, Pirisi M, Caldera F, Rizzi M, Colangelo D, Del Duca N, et al. Higher Serum Monolaurin Is Associated with a Lower Risk of COVID-19: Results from a Prospective Observational Cohort Study. International Journal of Molecular Sciences. 2025; 26(6):2452. https://doi.org/10.3390/ijms26062452
Chicago/Turabian StyleSola, Daniele, Stelvio Tonello, Giuseppe Francesco Casciaro, Eleonora Rizzi, Davide D’Onghia, Mario Pirisi, Francesca Caldera, Manuela Rizzi, Donato Colangelo, Nicoletta Del Duca, and et al. 2025. "Higher Serum Monolaurin Is Associated with a Lower Risk of COVID-19: Results from a Prospective Observational Cohort Study" International Journal of Molecular Sciences 26, no. 6: 2452. https://doi.org/10.3390/ijms26062452
APA StyleSola, D., Tonello, S., Casciaro, G. F., Rizzi, E., D’Onghia, D., Pirisi, M., Caldera, F., Rizzi, M., Colangelo, D., Del Duca, N., Scacchi, M., Amede, E., Marradi, D., Barberis, E., Chiocchetti, A., Manfredi, M., & Sainaghi, P. P. (2025). Higher Serum Monolaurin Is Associated with a Lower Risk of COVID-19: Results from a Prospective Observational Cohort Study. International Journal of Molecular Sciences, 26(6), 2452. https://doi.org/10.3390/ijms26062452

