The Novel Role of the Expression of Toll-like Receptors TLR-5, TLR-6, and TLR-9 and Associated Up-Regulation of Programmed Cell Death 1 Receptor (PD-1) and Its Ligand (PD-L1) in Lung Sepsis
Abstract
1. Introduction
2. Results
2.1. Hematological Analysis
2.2. Histopathological Analysis
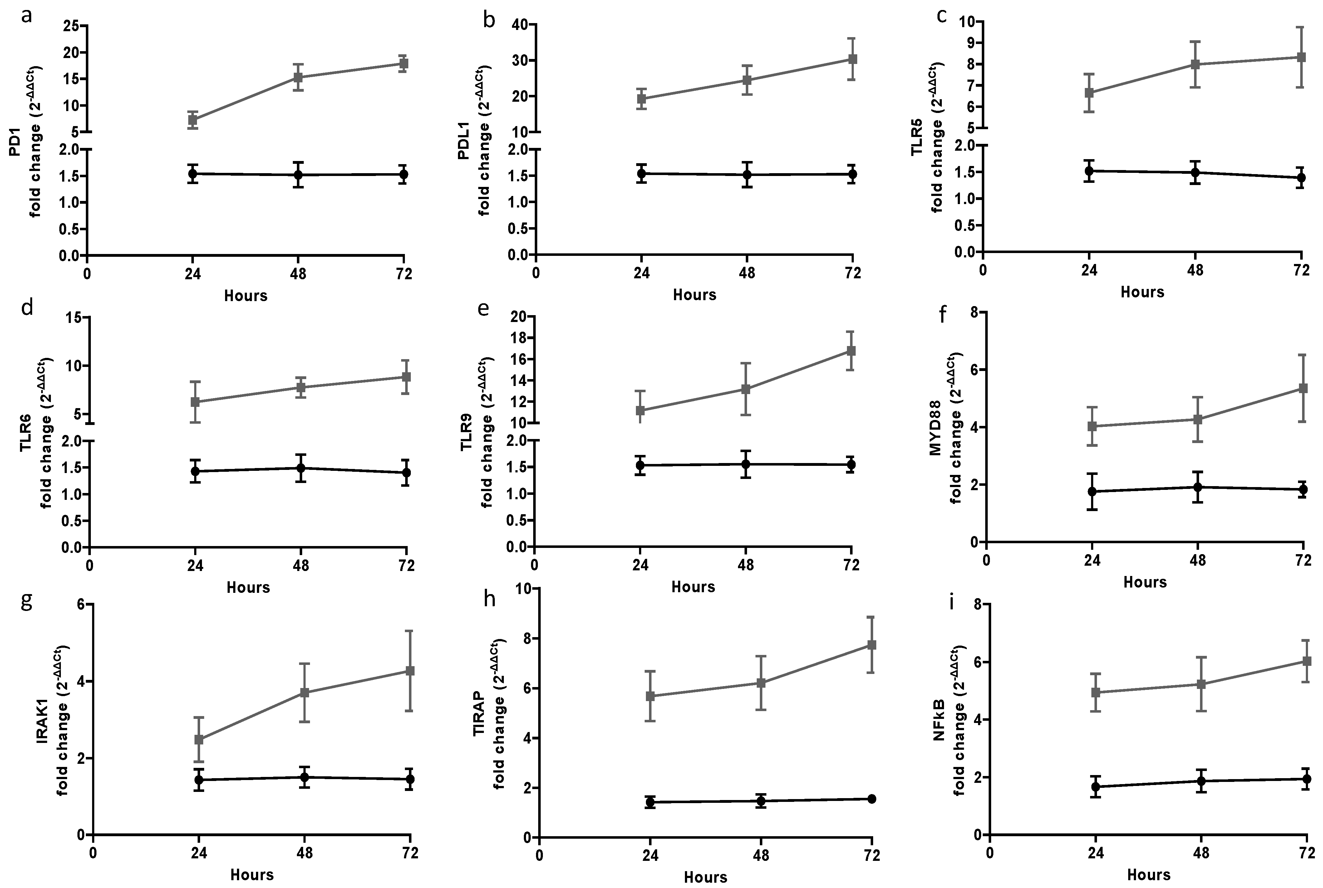
2.3. TLRs and PD-1/PD-L1 Expression in Lung Tissue
2.4. Correlation Between mRNA Genes
3. Discussion
Limitations of the Study
4. Materials and Methods
4.1. Animal Model
4.2. Experimental Procedure and Tissue Preparation
4.3. Hematological Analysis
4.4. Histopathological Analysis
4.5. Real-Time Polymerase Chain Reaction (qRT-PCR)
4.6. Statistical Analysis
5. Conclusions
Author Contributions
Funding
Institutional Review Board Statement
Informed Consent Statement
Data Availability Statement
Conflicts of Interest
References
- Hutchins, N.A.; Unsinger, J.; Hotchkiss, R.S.; Ayala, A. The new normal: Immunomodulatory agents against sepsis immune suppression. Trends Mol. Med. 2014, 20, 224–233. [Google Scholar] [CrossRef] [PubMed]
- Angus, D.C.; Linde-Zwirble, W.T.; Lidicker, J.; Clermont, G.; Carcillo, J.; Pinsky, M.R. Epidemiology of severe sepsis in the United States: Analysis of incidence, outcome, and associated costs of care. Crit. Care Med. 2001, 29, 1303–1310. [Google Scholar] [CrossRef] [PubMed]
- Dombrovskiy, V.Y.; Martin, A.A.; Sunderram, J.; Paz, H.L. Rapid increase in hospitalization and mortality rates for severe sepsis in the United States: A trend analysis from 1993 to 2003. Crit. Care Med. 2007, 35, 1244–1250. [Google Scholar] [CrossRef] [PubMed]
- Martin, G.S.; Mannino, D.M.; Eaton, S.; Moss, M. The epidemiology of sepsis in the United States from 1979 through 2000. N. Engl. J. Med. 2003, 348, 1546–1554. [Google Scholar] [CrossRef]
- Hotchkiss, R.S.; Monneret, G.; Payen, D. Immunosuppression in sepsis: A novel understanding of the disorder and a new therapeutic approach. Lancet Infect. Dis. 2013, 13, 260–268. [Google Scholar] [CrossRef]
- Hotchkiss, R.S.; Sherwood, E.R. Getting sepsis therapy right. Science 2015, 347, 1201–1202. [Google Scholar] [CrossRef]
- Lakshmikanth, C.L.; Jacob, S.P.; Chaithra, V.H.; de Castro-Faria-Neto, H.C.; Marathe, G.K. Sepsis: In search of cure. Inflamm. Res. 2016, 65, 587–602. [Google Scholar] [CrossRef]
- Stevenson, E.K.; Rubenstein, A.R.; Radin, G.T.; Wiener, R.S.; Walkey, A.J. Two decades of mortality trends among patients with severe sepsis: A comparative meta-analysis. Crit. Care Med. 2014, 42, 625–631. [Google Scholar] [CrossRef]
- Foley, N.M.; Wang, J.; Redmond, H.P.; Wang, J.H. Current knowledge and future directions of TLR and NOD signaling in sepsis. Mil. Med. Res. 2015, 2, 1–10. [Google Scholar] [CrossRef]
- Hu, Y.; Liu, J.P.; Zhu, Y.; Lu, N.H. The importance of toll-like receptors in NF-κB signaling pathway activation by Helicobacter pylori infection and the regulators of this response. Helicobacter 2016, 21, 428–440. [Google Scholar] [CrossRef]
- Savva, A.; Roger, T. Targeting toll-like receptors: Promising therapeutic strategies for the management of sepsis-associated pathology and infectious diseases. Front. Immunol. 2013, 4, 387. [Google Scholar] [CrossRef] [PubMed]
- Sethi, S.; Chakraborty, T. Role of TLR-/NLR-signaling and the associated cytokines involved in recruitment of neutrophils in murine models of Staphylococcus aureus infection. Virulence 2011, 2, 316–328. [Google Scholar] [CrossRef] [PubMed][Green Version]
- Fullerton, J.N.; Segre, E.; De Maeyer, R.P.; Maini, A.A.; Gilroy, D.W. Intravenous endotoxin challenge in healthy humans: An experimental platform to investigate and modulate systemic inflammation. J. Vis. Exp. 2016, e53913. [Google Scholar] [CrossRef]
- Shakoory, B.; Carcillo, J.A.; Chatham, W.W.; Dinarello, C.A.; Cron, R.Q.; Opal, S.M. Interleukin-1 receptor blockade is associated with reduced mortality in sepsis patients with features of the macrophage activation syndrome: Reanalysis of a prior phase III trial. Crit. Care Med. 2016, 44, 275–281. [Google Scholar] [CrossRef]
- Kawai, T.; Akira, S. Toll-like receptors and their crosstalk with other innate receptors in infection and immunity. Immunity 2011, 34, 637–650. [Google Scholar] [CrossRef]
- Rhee, S.H.; Im, E.; Riegler, M.; Kokkotou, E.; O’Brien, M.; Pothoulakis, C. Pathophysiological role of Toll-like receptor 5 engagement by bacterial flagellin in colonic inflammation. Proc. Natl. Acad. Sci. USA 2005, 102, 13610–13615. [Google Scholar] [CrossRef]
- Wang, H.; Li, Y.; Wang, Y.; Li, H.; Dou, L. MicroRNA-494-3p alleviates inflammatory response in sepsis by targeting TLR6. Eur. Rev. Med. Pharmacol. Sci. 2019, 23, 2971–2977. [Google Scholar] [CrossRef]
- Freen-van Heeren, J.J. Toll-like receptor-2/7-mediated T cell activation: An innate potential to augment CD8+ T cell cytokine production. Scand. J. Immunol. 2021, 93, e13019. [Google Scholar] [CrossRef]
- Browne, E.P. Regulation of B-cell responses by Toll-like receptors. Immunology 2012, 136, 370–379. [Google Scholar] [CrossRef]
- Patil, N.K.; Guo, Y.; Luan, L.; Sherwood, E.R. Targeting immune cell checkpoints during sepsis. Int. J. Mol. Sci. 2017, 18, 2413. [Google Scholar] [CrossRef]
- Chang, K.; Svabek, C.; Vazquez-Guillamet, C.; Sato, B.; Rasche, D.; Wilson, S.; Robbins, P.; Ulbrandt, N.; Suzich, J.; Green, J.; et al. Targeting the programmed cell death 1: Programmed cell death ligand 1 pathway reverses T cell exhaustion in patients with sepsis. Crit. Care 2014, 18, R3. [Google Scholar] [CrossRef]
- Gao, D.-N.; Yang, Z.-X.; Qi, Q.-H. Roles of PD-1, Tim-3 and CTLA-4 in immunoregulation in regulatory T cells among patients with sepsis. Int. J. Clin. Exp. Med. 2015, 8, 18998–19005. [Google Scholar] [PubMed]
- Sunshine, J.; Taube, J.M. Pd-1/pd-l1 inhibitors. Cur. Opin. Pharmacol. 2015, 23, 32–38. [Google Scholar] [CrossRef] [PubMed]
- Brahmamdam, P.; Inoue, S.; Unsinger, J.; Chang, K.C.; E McDunn, J.; Hotchkiss, R.S. Delayed administration of anti-PD-1 antibody reverses immune dysfunction and improves survival during sepsis. J. Leukoc. Biol. 2010, 88, 233–240. [Google Scholar] [CrossRef] [PubMed]
- Francisco, L.M.; Sage, P.T.; Sharpe, A.H. The PD-1 pathway in tolerance and autoimmunity. Immunol. Rev. 2010, 236, 219–242. [Google Scholar] [CrossRef]
- Bally, A.P.; Lu, P.; Tang, Y.; Austin, J.W.; Scharer, C.D.; Ahmed, R.; Boss, J.M. NF-κB regulates PD-1 expression in macrophages. J. Immunol. 2015, 194, 4545–4554. [Google Scholar] [CrossRef]
- Beswick, E.J.; Johnson, J.R.; Saada, J.I.; Humen, M.; House, J.; Dann, S.; Qiu, S.; Brasier, A.R.; Powell, D.W.; Reyes, V.E.; et al. TLR4 activation enhances the PD-L1–mediated Tolerogenic capacity of colonic CD90+ stromal cells. J. Immunol. 2014, 193, 2218–2229. [Google Scholar] [CrossRef]
- Boes, M.; Meyer-Wentrup, F. TLR3 triggering regulates PD-L1 (CD274) expression in human neuroblastoma cells. Cancer Lett. 2015, 361, 49–56. [Google Scholar] [CrossRef]
- Balibrea, J.L.; Arias-Diaz, J. Acute respiratory distress syndrome in the septic surgical patient. World J. Surg. 2003, 27, 1275–1284. [Google Scholar] [CrossRef]
- Imai, Y.; Kuba, K.; Neely, G.G.; Yaghubian-Malhami, R.; Perkmann, T.; van Loo, G.; Ermolaeva, M.; Veldhuizen, R.; Leung, Y.C.; Wang, H.; et al. Identification of oxidative stress and Toll-like receptor 4 signaling as a key pathway of acute lung injury. Cell 2008, 133, 235–249. [Google Scholar] [CrossRef]
- Bakopoulos, A.; Kapelouzou, A.; Tsilimigras, D.I.; Katsimpoulas, M.; Schizas, D.; Aravanis, C.; Balafas, E.; Mavroidis, M.; Pavlakis, K.; Machairas, A.; et al. Expression of Toll-like receptors (TLRs) in the lungs of an experimental sepsis mouse model. PLoS ONE 2017, 12, e0188050. [Google Scholar] [CrossRef] [PubMed]
- Rittirsch, D.; Huber-Lang, M.S.; Flierl, M.A.; Ward, P.A. Immunodesign of experimental sepsis by cecal ligation and puncture. Nat. Protoc. 2009, 4, 31–36. [Google Scholar] [CrossRef] [PubMed]
- Fink, M.P. Animal models of sepsis. Virulence 2014, 5, 143–153. [Google Scholar] [CrossRef] [PubMed]
- Jiménez-Dalmaroni, M.J.; Gerswhin, M.E.; Adamopoulos, I.E. The critical role of toll-like receptors—From microbial recognition to autoimmunity: A comprehensive review. Autoimmun. Rev. 2016, 15, 1–8. [Google Scholar] [CrossRef]
- Sugitharini, V.; Pavani, K.; Prema, A.; Thangam, E.B. TLR-mediated inflammatory response to neonatal pathogens and co-infection in neonatal immune cells. Cytokine 2014, 69, 211–217. [Google Scholar] [CrossRef]
- Tian, J.; Avalos, A.M.; Mao, S.-Y.; Chen, B.; Senthil, K.; Wu, H.; Parroche, P.; Drabic, S.; Golenbock, D.; Sirois, C.; et al. Toll-like receptor 9-dependent activation by DNA-containing immune complexes is mediated by HMGB1 and RAGE. Nat. Immunol. 2007, 8, 487–496. [Google Scholar] [CrossRef]
- Hu, D.; Yang, X.; Xiang, Y.; Li, H.; Yan, H.; Zhou, J.; Caudle, Y.; Zhang, X.; Yin, D. Inhibition of Toll-like receptor 9 attenuates sepsis-induced mortality through suppressing excessive inflammatory response. Cell. Immunol. 2015, 295, 92–98. [Google Scholar] [CrossRef]
- Lahiri, R.; Derwa, Y.; Bashir, Z.; Giles, E.M.; Torrance, H.D.T.M.; Owen, H.C.M.; O’dwyer, M.J.M.; O’brien, A.M.; Stagg, A.J.; Bhattacharya, S.M.; et al. Systemic inflammatory response syndrome after major abdominal surgery predicted by early upregulation of TLR4 and TLR5. Ann. Surg. 2016, 263, 1028–1037. [Google Scholar] [CrossRef]
- Porte, R.; Fougeron, D.; Muñoz-Wolf, N.; Tabareau, J.; Georgel, A.-F.; Wallet, F.; Paget, C.; Trottein, F.; Chabalgoity, J.A.; Carnoy, C.; et al. A toll-like receptor 5 agonist improves the efficacy of antibiotics in treatment of primary and influenza virus-associated pneumococcal mouse infections. Antimicrob. Agents Chemother. 2015, 59, 6064–6072. [Google Scholar] [CrossRef]
- Chang, K.C.; Burnham, C.-A.; Compton, S.M.; Rasche, D.P.; Mazuski, R.; SMcDonough, J.; Unsinger, J.; Korman, A.J.; Green, J.M.; Hotchkiss, R.S. Blockade of the negative co-stimulatory molecules PD-1 and CTLA-4 improves survival in primary and secondary fungal sepsis. Crit. Care 2013, 17, R85. [Google Scholar] [CrossRef]
- Zhang, Y.; Zhou, Y.; Lou, J.; Li, J.; Bo, L.; Zhu, K.; Wan, X.; Deng, X.; Cai, Z. PD-L1 blockade improves survival in experimental sepsis by inhibiting lymphocyte apoptosis and reversing monocyte dysfunction. Crit. Care 2010, 14, R220. [Google Scholar] [CrossRef] [PubMed]
- Young, J.S.; Heffernan, D.S.; Chung, C.-S.; Kettenmann, M.L.; Young, W.A.; Guillen, V.S.; Cioffi, W.G.; Ayala, A. Effect of PD-1: PD-L1 in invariant natural killer T cell emigration and chemotaxis following sepsis. Shock 2016, 45, 534–539. [Google Scholar] [CrossRef] [PubMed]
- Monaghan, S.F.; Thakkar, R.K.; Heffernan, D.S.; Huang, X.; Chung, C.-S.; Lomas-Neira, J.; Cioffi, W.G.; Ayala, A. Mechanisms of indirect acute lung injury: A novel role for the co-inhibitory receptor, programmed death-1 (PD-1). Ann. Surg. 2012, 255, 158–164. [Google Scholar] [CrossRef]
- Song, Z.; Tong, C.; Sun, Z.; Shen, Y.; Yao, C.; Jiang, J.; Yin, J.; Gao, L.; Song, Y.; Bai, C. Genetic variants in the TIRAP gene are associated with increased risk of sepsis-associated acute lung injury. BMC Med. Genet. 2010, 11, 168. [Google Scholar] [CrossRef] [PubMed]
- Zhou, S.; Wang, G.; Zhang, W. Effect of TLR4/MyD88 signaling pathway on sepsis-associated acute respiratory distress syndrome in rats, via regulation of macrophage activation and inflammatory response. Exp. Ther. Med. 2018, 15, 3376–3384. [Google Scholar] [CrossRef]
- Atalan, N.; Karagedik, H.; Acar, L.; Isbir, S.; Yilmaz, S.G.; Ergen, A.; Isbir, T. Analysis of Toll-like receptor 9 gene polymorphisms in sepsis. In Vivo 2016, 30, 639–643. [Google Scholar] [PubMed]
- Venet, F.; Monneret, G. Advances in the understanding and treatment of sepsis-induced immunosuppression. Nat. Rev. Nephrol. 2018, 14, 121–137. [Google Scholar] [CrossRef]
- Sato-Kaneko, F.; Yao, S.; Ahmadi, A.; Zhang, S.S.; Hosoya, T.; Kaneda, M.M.; Varner, J.A.; Pu, M.; Messer, K.S.; Guiducci, C.; et al. Combination immunotherapy with TLR agonists and checkpoint inhibitors suppresses head and neck cancer. JCI Insight 2017, 2, e93397. [Google Scholar] [CrossRef]
- Dao, B.N.; Le, H.D.T.; Nguyen, K.X.; Viet, T.T.; Tran, C.T.; Luong, T.C.; Le, T.D.; Nguyen, S.T.; Vu, H.N.; Pham, N.T.K.; et al. Relationship between serum TNF-α, IL-6, and IL-10 levels and disease severity, and changes in the cytokines after treatment in patients with bacterial community-acquired pneumonia. Pneumon 2023, 36, 27. [Google Scholar] [CrossRef]
- Hubrecht, R.C.; Carter, E. The 3Rs and Humane Experimental Technique: Implementing Change. Animals 2019, 9, 754. [Google Scholar] [CrossRef]
- Russell, W.M.; Burch, R.L. The Principles of Humane Experimental Technique. Med. J. Aust. 1960, 165, 1. [Google Scholar]
- Du Sert, N.P.; Hurst, V.; Ahluwalia, A.; Alam, S.; Avey, M.T.; Baker, M.; Browne, W.J.; Clark, A.; Cuthill, I.C.; Dirnagl, U.; et al. The ARRIVE guidelines 2.0: Updated guidelines for reporting animal research. PLoS Biol. 2020, 18, e3000410. [Google Scholar] [CrossRef]
- Chomczynski, P.; Sacchi, N. Single-step method of RNA isolation by acid guanidinium thiocyanate-phenol-chloroform extraction. Anal. Biochem. 1987, 162, 156–159. [Google Scholar] [CrossRef] [PubMed]
- Livak, K.J.; Schmittgen, T.D. Analysis of relative gene expression data using real-time quantitative PCR and the 2−ΔΔCT method. Methods 2001, 25, 402–408. [Google Scholar] [CrossRef]



| Groups | Sh24 | Sh48 | Sh72 | S24 | S48 | S72 | p < 0.05 | |
|---|---|---|---|---|---|---|---|---|
| WBC | Mean | 7.66 | 7.62 | 7.66 | 1.74 | 4.05 | 6.81 | a,b,c,d |
| (103/mm3) | SD | 1.64 | 2.56 | 1.92 | 0.43 | 0.75 | 1.64 | |
| RBC | Mean | 6.21 | 6.7 | 6.67 | 7.94 | 5.22 | 2.24 | a,b,c,d |
| (106 µL) | SD | 1.53 | 0.75 | 1.25 | 0.87 | 0.91 | 0.46 | |
| LY | Mean | 79.6 | 77.5 | 77.5 | 64.4 | 50.8 | 38.9 | a,b,c,d |
| (%) | SD | 7.73 | 11.41 | 8.43 | 4.36 | 7.85 | 5.38 | |
| MO | Mean | 3.4 | 3.5 | 3.1 | 3.8 | 5.7 | 8.1 | a,b,c,d |
| (%) | SD | 1.35 | 1.71 | 1.52 | 1.22 | 0.82 | 0.99 | |
| IL-6 | Mean | 14.75 | 14.76 | 15.11 | 1387.1 | 2881.2 | 3409.01 | a,b,c,d |
| (mg/dL) | SD | 3.53 | 3.22 | 2.22 | 268.9 | 486.8 | 415.7 | |
| IL-10 | Mean | 7.06 | 6.66 | 7.74 | 182.2 | 339.6 | 990.7 | a,b,c,d |
| (mg/dL) | SD | 1.43 | 1.59 | 2.38 | 42.01 | 86.92 | 156.4 |
| Antibody Expression (%PoS) vs. Time | S24 | S48 | S72 | |
|---|---|---|---|---|
| PD-1 | mean | 6.670 | 8.692 | 11.13 |
| SD | 0.733 | 0.619 | 0.847 | |
| PDL-1 | mean | 7.957 | 10.16 | 12.85 |
| SD | 1.391 | 1.546 | 1.733 | |
| TLR5 | mean | 1.462 | 3.045 | 4.522 |
| SD | 0.514 | 0.489 | 0.814 | |
| TLR6 | mean | 5.992 | 5.997 | 11.31 |
| SD | 1.330 | 0.970 | 0.918 | |
| TLR9 | mean | 14.50 | 18.39 | 23.92 |
| SD | 2.168 | 1.488 | 1.855 | |
| MYD88 | mean | 3.072 | 6.307 | 8.537 |
| SD | 1.046 | 0.913 | 1.533 | |
| IRAK1 | mean | 3.767 | 7.167 | 8.455 |
| SD | 1.346 | 1.110 | 1.284 | |
| TIRAP | mean | 5.385 | 8.528 | 12.19 |
| SD | 0.873 | 1.085 | 1.270 | |
| NFkB | mean | 2.752 | 4.815 | 9.998 |
| SD | 1.059 | 1.057 | 1.240 |
| S24-PD1 | S48-PD1 | S72-PD1 | S24-PDL1 | S48-PDL1 | S72-PDL1 | S24-TLR5 | S48-TLR5 | S72-TLR5 | S24-TLR6 | S48-TLR6 | S72-TLR6 | S24-TLR9 | S48-TLR9 | S72-TLR9 | S24-MYD88 | S48-MYD88 | S72-MYD88 | S24-IRAK1 | S48-IRAK1 | S72-IRAK1 | S24-TIRAP | S48-TIRAP | S72-TIRAP | S24-NFkB | S48-NFkB | S72-NFkB | |
|---|---|---|---|---|---|---|---|---|---|---|---|---|---|---|---|---|---|---|---|---|---|---|---|---|---|---|---|
| S24-PD1 | |||||||||||||||||||||||||||
| S48-PD1 | 0.005 | ||||||||||||||||||||||||||
| S72-PD1 | 0.743 | 0.722 | |||||||||||||||||||||||||
| S24-PDL1 | 0.003 | 0.0009 | 0.688 | ||||||||||||||||||||||||
| S48-PDL1 | 0.001 | 0.004 | 0.599 | 0.004 | |||||||||||||||||||||||
| S72-PDL1 | 0.0007 | 0.0007 | 0.754 | 0.0001 | 0.0007 | ||||||||||||||||||||||
| S24-TLR5 | 0.955 | 0.652 | 0.482 | 0.702 | 0.456 | 0.769 | |||||||||||||||||||||
| S48-TLR5 | 0.994 | 0.804 | 0.653 | 0.48 | 0.623 | 0.56 | 0.24 | ||||||||||||||||||||
| S72-TLR5 | 0.730 | 0.948 | 0.754 | 0.294 | 0.409 | 0.381 | 0.036 | 0.142 | |||||||||||||||||||
| S24-TLR6 | 0.438 | 0.459 | 0.957 | 0.648 | 0.671 | 0.656 | 0.048 | 0.942 | 0.064 | ||||||||||||||||||
| S48-TLR6 | 0.007 | 0.343 | 0.8 | 0.123 | 0.109 | 0.086 | 0.256 | 0.826 | 0.957 | 0.146 | |||||||||||||||||
| S72-TLR6 | 0.031 | 0.05 | 0.711 | 0.003 | 0.049 | 0.003 | 0.480 | 0.319 | 0.606 | 0.166 | 0.04 | ||||||||||||||||
| S24-TLR9 | 0.831 | 0.341 | 0.582 | 0.495 | 0.148 | 0.443 | 0.201 | 0.523 | 0.345 | 0.511 | 0.406 | 0.733 | |||||||||||||||
| S48-TLR9 | 0.074 | 0.523 | 0.892 | 0.154 | 0.288 | 0.108 | 0.354 | 0.535 | 0.767 | 0.319 | 0.005 | 0.023 | 0.212 | ||||||||||||||
| S72-TLR9 | 0.761 | 0.662 | 0.544 | 0.742 | 0.924 | 0.987 | 0.65 | 0.272 | 0.076 | 0.776 | 0.94 | 0.669 | 0.422 | 0.596 | |||||||||||||
| S24-MYD88 | 0.068 | 0.02 | 0.541 | 0.0008 | 0.133 | 0.007 | 0.686 | 0.326 | 0.313 | 0.576 | 0.265 | 0.01 | 0.918 | 0.147 | 0.699 | ||||||||||||
| S48-MYD88 | 0.195 | 0.045 | 0.642 | 0.049 | 0.062 | 0.031 | 0.443 | 0.65 | 0.404 | 0.295 | 0.99 | 0.365 | 0.13 | 0.933 | 0.549 | 0.257 | |||||||||||
| S72-MYD88 | 0.002 | 0.001 | 0.796 | 0.0001 | 0.0009 | 0.0001 | 0.471 | 0.319 | 0.193 | 0.842 | 0.160 | 0.007 | 0.311 | 0.182 | 0.718 | 0.005 | 0.042 | ||||||||||
| S24-IRAK | 0.038 | 0.014 | 0.284 | 0.0302 | 0.018 | 0.022 | 0.815 | 0.23 | 0.803 | 0.983 | 0.364 | 0.292 | 0.288 | 0.868 | 0.653 | 0.214 | 0.003 | 0.046 | |||||||||
| S48-IRAK | 0.061 | 0.017 | 0.361 | 0.0253 | 0.233 | 0.034 | 0.266 | 0.925 | 0.534 | 0.144 | 0.188 | 0.009 | 0.948 | 0.283 | 0.953 | 0.037 | 0.366 | 0.068 | 0.204 | ||||||||
| S72-IRAK | 0.061 | 0.411 | 0.847 | 0.187 | 0.028 | 0.064 | 0.951 | 0.836 | 0.325 | 0.686 | 0.106 | 0.18 | 0.406 | 0.092 | 0.74 | 0.802 | 0.127 | 0.09 | 0.241 | 0.772 | |||||||
| S24-TIRAP | 0.972 | 0.544 | 0.774 | 0.513 | 0.488 | 0.466 | 0.362 | 0.008 | 0.58 | 0.835 | 0.632 | 0.393 | 0.599 | 0.407 | 0.541 | 0.395 | 0.744 | 0.373 | 0.58 | 0.882 | 0.627 | ||||||
| S48-TIRAP | 0.503 | 0.737 | 0.222 | 0.812 | 0.713 | 0.949 | 0.722 | 0.087 | 0.531 | 0.844 | 0.418 | 0.746 | 0.029 | 0.684 | 0.442 | 0.427 | 0.905 | 0.872 | 0.47 | 0.584 | 0.367 | 0.139 | |||||
| S72-TIRAP | 0.676 | 0.531 | 0.793 | 0.447 | 0.807 | 0.756 | 0.186 | 0.289 | 0.199 | 0.766 | 0.279 | 0.811 | 0.113 | 0.133 | 0.028 | 0.31 | 0.698 | 0.477 | 0.698 | 0.845 | 0.253 | 0.84 | 0.554 | ||||
| S24-NFkB | 0.396 | 0.761 | 0.657 | 0.788 | 0.785 | 0.61 | 0.232 | 0.602 | 0.9 | 0.379 | 0.045 | 0.178 | 0.155 | 0.0003 | 0.444 | 0.723 | 0.527 | 0.784 | 0.47 | 0.665 | 0.152 | 0.45 | 0.98 | 0.021 | |||
| S48-NFkB | 0.628 | 0.875 | 0.455 | 0.671 | 0.887 | 0.661 | 0.292 | 0.175 | 0.566 | 0.122 | 0.281 | 0.135 | 0.127 | 0.017 | 0.577 | 0.3159 | 0.274 | 0.74 | 0.193 | 0.273 | 0.939 | 0.159 | 0.966 | 0.28 | 0.008 | ||
| 72-NFkB | 0.857 | 0.572 | 0.918 | 0.627 | 0.546 | 0.748 | 0.472 | 0.672 | 0.361 | 0.792 | 0.322 | 0.54 | 0.1 | 0.18 | 0.284 | 0.439 | 0.654 | 0.721 | 0.54 | 0.827 | 0.785 | 0.694 | 0.522 | 0.801 | 0.328 | 0.374 |
| Gene | Accession No. | Forward Primer | Reverse Primer |
|---|---|---|---|
| Tlr-5 | NM_016928 | TCCTGACCAGAGCACATTTGCC | CCTTCAGTGTCCCAAACAGTCG |
| Tlr-6 | NM_001359180 | GTGAGGATGCTGTGTCAGTGGAG | CCAGGCAGAATCATGCTCACTG |
| Tlr-9 | NM_031178 | GCTGTCAATGGCTCTCAGTTCC | CCTGCAACTGTGGTAGCTCACT |
| Myd88 | NM_010851 | ACCTGTGTCTGGTCCATTGCCA | GCTGAGTGCAAACTTGGTCTGG |
| Irak1 | NM_008363 | GGACTTCCACAGTTCGAGGTAC | GGTCTTTGCACCTTGTGTCCTC |
| Tirap | NM_054096 | ATCTCCCAGGAAAGCCACCTCT | GGTAGGTGACATTCCTGAACTGC |
| Nfkb | NM_008689 | GAAATTCCTGATCCAGACAAAAAC | ATCACTTCAATGGCCTCTGTGTAG |
| Pdcd1 (PD-1) | NM_008798 | CGGTTTCAAGGCATGGTCATTGG | TCAGAGTGTCGTCCTTGCTTCC |
| Cd274 (PDL-1) | NM_021893 | TGCGGACTACAAGCGAATCACG | CTCAGCTTCTGGATAACCCTCG |
| Gapdh | NM_001289726 | CATCACTGCCACCCAGAAGACTG | ATGCCAGTGAGCTTCCCGTTCAG |
Disclaimer/Publisher’s Note: The statements, opinions and data contained in all publications are solely those of the individual author(s) and contributor(s) and not of MDPI and/or the editor(s). MDPI and/or the editor(s) disclaim responsibility for any injury to people or property resulting from any ideas, methods, instructions or products referred to in the content. |
© 2025 by the authors. Licensee MDPI, Basel, Switzerland. This article is an open access article distributed under the terms and conditions of the Creative Commons Attribution (CC BY) license (https://creativecommons.org/licenses/by/4.0/).
Share and Cite
Sinos, G.; Schizas, D.; Kapelouzou, A.; Frountzas, M.; Katsimpoulas, M.; Mylonas, K.S.; Kapetanakis, E.I.; Papalampros, A.; Liakakos, T.; Alexandrou, A. The Novel Role of the Expression of Toll-like Receptors TLR-5, TLR-6, and TLR-9 and Associated Up-Regulation of Programmed Cell Death 1 Receptor (PD-1) and Its Ligand (PD-L1) in Lung Sepsis. Int. J. Mol. Sci. 2025, 26, 2274. https://doi.org/10.3390/ijms26052274
Sinos G, Schizas D, Kapelouzou A, Frountzas M, Katsimpoulas M, Mylonas KS, Kapetanakis EI, Papalampros A, Liakakos T, Alexandrou A. The Novel Role of the Expression of Toll-like Receptors TLR-5, TLR-6, and TLR-9 and Associated Up-Regulation of Programmed Cell Death 1 Receptor (PD-1) and Its Ligand (PD-L1) in Lung Sepsis. International Journal of Molecular Sciences. 2025; 26(5):2274. https://doi.org/10.3390/ijms26052274
Chicago/Turabian StyleSinos, Georgios, Dimitrios Schizas, Alkistis Kapelouzou, Maximos Frountzas, Michalis Katsimpoulas, Konstantinos S. Mylonas, Emmanouil I. Kapetanakis, Alexandros Papalampros, Theodore Liakakos, and Andreas Alexandrou. 2025. "The Novel Role of the Expression of Toll-like Receptors TLR-5, TLR-6, and TLR-9 and Associated Up-Regulation of Programmed Cell Death 1 Receptor (PD-1) and Its Ligand (PD-L1) in Lung Sepsis" International Journal of Molecular Sciences 26, no. 5: 2274. https://doi.org/10.3390/ijms26052274
APA StyleSinos, G., Schizas, D., Kapelouzou, A., Frountzas, M., Katsimpoulas, M., Mylonas, K. S., Kapetanakis, E. I., Papalampros, A., Liakakos, T., & Alexandrou, A. (2025). The Novel Role of the Expression of Toll-like Receptors TLR-5, TLR-6, and TLR-9 and Associated Up-Regulation of Programmed Cell Death 1 Receptor (PD-1) and Its Ligand (PD-L1) in Lung Sepsis. International Journal of Molecular Sciences, 26(5), 2274. https://doi.org/10.3390/ijms26052274

