Genetic Prοpensity for Different Aspects of Dementia Pathology and Cognitive Decline in a Community Elderly Population
Abstract
1. Introduction
2. Results
2.1. Baseline Clinical and Socio-Demographic Characteristics
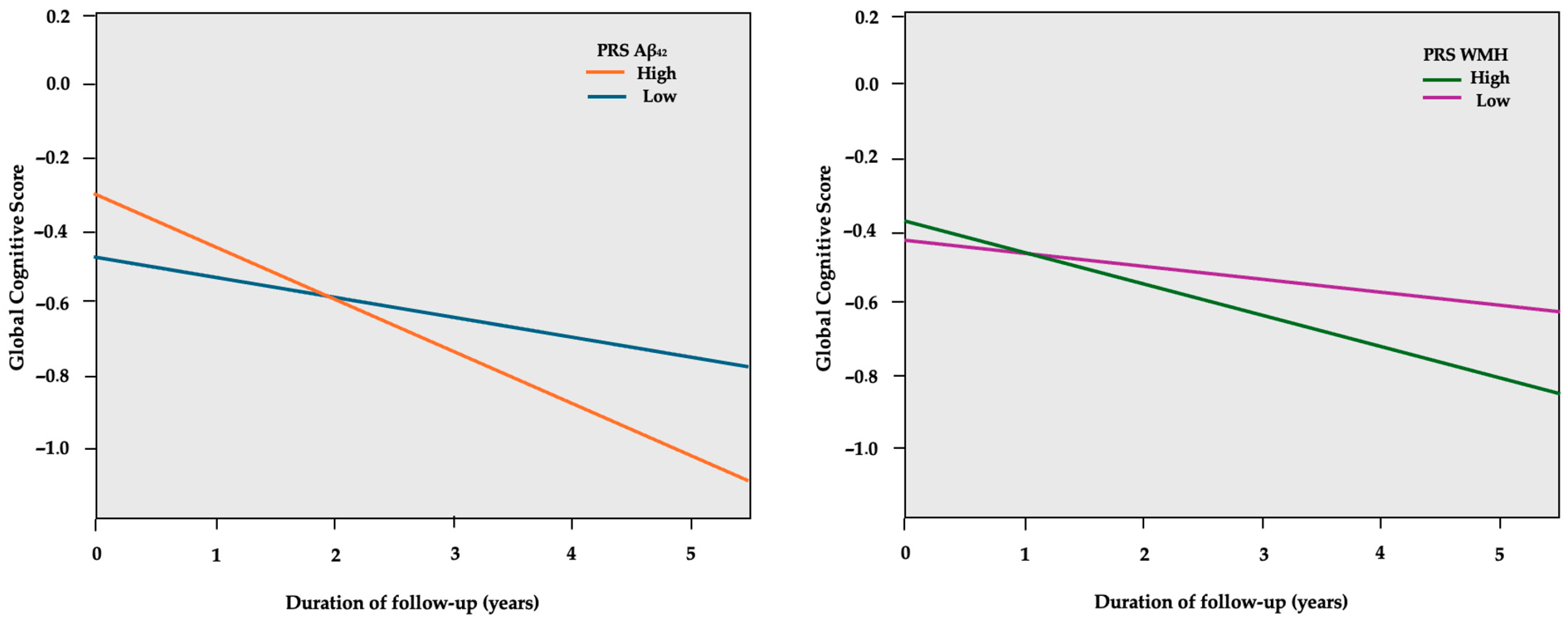
2.2. PRSs and Cognitive Decline
3. Discussion
4. Materials and Methods
4.1. Participants and Procedures
4.2. Neuropsychological Assessment
4.3. Genotyping and Imputation
4.4. Polygenic Risk Score Estimation
4.5. Statistical Analysis
5. Conclusions
Supplementary Materials
Author Contributions
Funding
Institutional Review Board Statement
Informed Consent Statement
Data Availability Statement
Conflicts of Interest
References
- Tahami Monfared, A.A.; Byrnes, M.J.; White, L.A.; Zhang, Q. Alzheimer’s Disease: Epidemiology and Clinical Progression. Neurol. Ther. 2022, 11, 553–569. [Google Scholar] [CrossRef] [PubMed]
 - Braak, H.; Braak, E. Demonstration of amyloid deposits and neurofibrillary changes in whole brain sections. Brain Pathol. 1991, 1, 213–216. [Google Scholar] [CrossRef] [PubMed]
 - Guo, W.; Shi, J. White matter hyperintensities volume and cognition: A meta-analysis. Front. Aging Neurosci. 2022, 14, 949763. [Google Scholar] [CrossRef] [PubMed]
 - Hu, H.Y.; Ou, Y.N.; Shen, X.N.; Qu, Y.; Ma, Y.H.; Wang, Z.T.; Dong, Q.; Tan, L.; Yu, J.T. White matter hyperintensities and risks of cognitive impairment and dementia: A systematic review and meta-analysis of 36 prospective studies. Neurosci. Biobehav. Rev. 2021, 120, 16–27. [Google Scholar] [CrossRef] [PubMed]
 - Prins, N.D.; Scheltens, P. White matter hyperintensities, cognitive impairment and dementia: An update. Nat. Rev. Neurol. 2015, 11, 157–165. [Google Scholar] [CrossRef]
 - Marnane, M.; Al-Jawadi, O.O.; Mortazavi, S.; Pogorzelec, K.J.; Wang, B.W.; Feldman, H.H.; Hsiung, G.Y.; Alzheimer’s Disease Neuroimaging Initiative. Periventricular hyperintensities are associated with elevated cerebral amyloid. Neurology 2016, 86, 535–543. [Google Scholar] [CrossRef]
 - Marden, J.R.; Mayeda, E.R.; Walter, S.; Vivot, A.; Tchetgen Tchetgen, E.J.; Kawachi, I.; Glymour, M.M. Using an Alzheimer Disease Polygenic Risk Score to Predict Memory Decline in Black and White Americans Over 14 Years of Follow-up. Alzheimer Dis. Assoc. Disord. 2016, 30, 195–202. [Google Scholar] [CrossRef] [PubMed]
 - Wingo, T.S.; Lah, J.J.; Levey, A.I.; Cutler, D.J. Autosomal recessive causes likely in early-onset Alzheimer disease. Arch. Neurol. 2012, 69, 59–64. [Google Scholar] [CrossRef]
 - Corder, E.H.; Saunders, A.M.; Strittmatter, W.J.; Schmechel, D.E.; Gaskell, P.C.; Small, G.W.; Roses, A.D.; Haines, J.L.; Pericak-Vance, M.A. Gene dose of apolipoprotein E type 4 allele and the risk of Alzheimer’s disease in late onset families. Science 1993, 261, 921–923. [Google Scholar] [CrossRef] [PubMed]
 - Gatz, M.; Reynolds, C.A.; Fratiglioni, L.; Johansson, B.; Mortimer, J.A.; Berg, S.; Fiske, A.; Pedersen, N.L. Role of genes and environments for explaining Alzheimer disease. Arch. Gen. Psychiatry 2006, 63, 168–174. [Google Scholar] [CrossRef] [PubMed]
 - Sims, R.; Hill, M.; Williams, J. The multiplex model of the genetics of Alzheimer’s disease. Nat. Neurosci. 2020, 23, 311–322. [Google Scholar] [CrossRef] [PubMed]
 - Bellenguez, C.; Küçükali, F.; Jansen, I.E.; Kleineidam, L.; Moreno-Grau, S.; Amin, N.; Naj, A.C.; Campos-Martin, R.; Grenier-Boley, B.; Andrade, V.; et al. New insights into the genetic etiology of Alzheimer’s disease and related dementias. Nat. Genet. 2022, 54, 412–436. [Google Scholar] [CrossRef] [PubMed]
 - Harrison, J.R.; Foley, S.F.; Baker, E.; Bracher-Smith, M.; Holmans, P.; Stergiakouli, E.; Linden, D.E.J.; Caseras, X.; Jones, D.K.; Escott-Price, V. Pathway-specific polygenic scores for Alzheimer’s disease are associated with changes in brain structure in younger and older adults. Brain Commun. 2023, 5, fcad229. [Google Scholar] [CrossRef]
 - Zhao, W.; Smith, J.A.; Wang, Y.Z.; Chintalapati, M.; Ammous, F.; Yu, M.; Moorjani, P.; Ganna, A.; Gross, A.; Dey, S.; et al. Polygenic Risk Scores for Alzheimer’s Disease and General Cognitive Function Are Associated with Measures of Cognition in Older South Asians. J. Gerontol. A Biol. Sci. Med. Sci. 2023, 78, 743–752. [Google Scholar] [CrossRef] [PubMed]
 - Gustavson, D.E.; Reynolds, C.A.; Hohman, T.J.; Jefferson, A.L.; Elman, J.A.; Panizzon, M.S.; Neale, M.C.; Logue, M.W.; Lyons, M.J.; Franz, C.E.; et al. Alzheimer’s Disease Polygenic Scores Predict Changes in Episodic Memory and Executive Function Across 12 Years in Late Middle Age. J. Int. Neuropsychol. Soc. 2023, 29, 136–147. [Google Scholar] [CrossRef] [PubMed]
 - Darst, B.F.; Koscik, R.L.; Racine, A.M.; Oh, J.M.; Krause, R.A.; Carlsson, C.M.; Zetterberg, H.; Blennow, K.; Christian, B.T.; Bendlin, B.B.; et al. Pathway-Specific Polygenic Risk Scores as Predictors of Amyloid-β Deposition and Cognitive Function in a Sample at Increased Risk for Alzheimer’s Disease. J. Alzheimers Dis. 2017, 55, 473–484. [Google Scholar] [CrossRef] [PubMed]
 - Xu, Y.; Vasiljevic, E.; Deming, Y.K.; Jonaitis, E.M.; Koscik, R.L.; Van Hulle, C.A.; Lu, Q.; Carboni, M.; Kollmorgen, G.; Wild, N.; et al. Effect of Pathway-specific Polygenic Risk Scores for Alzheimer’s Disease (AD) on Rate of Change in Cognitive Function and AD-related Biomarkers among Asymptomatic Individuals. J. Alzheimers Dis. 2023, 94, 1587–1605. [Google Scholar] [CrossRef] [PubMed]
 - Ritchie, S.J.; Hill, W.D.; Marioni, R.E.; Davies, G.; Hagenaars, S.P.; Harris, S.E.; Cox, S.R.; Taylor, A.M.; Corley, J.; Pattie, A.; et al. Polygenic predictors of age-related decline in cognitive ability. Mol. Psychiatry 2020, 25, 2584–2598. [Google Scholar] [CrossRef] [PubMed]
 - Pan, G.; King, A.E.; Bindoff, A.; Summers, M.J.; Vickers, J.C. The role of Alzheimer’s disease polygenic risk scores in changes of cognitive function in older adults: A longitudinal cohort study. Alzheimer’s Dement. 2020, 16, e037853. [Google Scholar] [CrossRef]
 - Kauppi, K.; Rönnlund, M.; Adolfsson, N.A.; Pudas, S.; Adolfsson, R. Effects of polygenic risk for Alzheimer’s disease on rate of cognitive decline in normal aging. Transl. Psychiatry 2020, 10, 250. [Google Scholar] [CrossRef] [PubMed]
 - Tomassen, J.; den Braber, A.; van der Lee, S.J.; Reus, L.M.; Konijnenberg, E.; Carter, S.F.; Yaqub, M.; van Berckel, B.N.M.; Collij, L.E.; Boomsma, D.I.; et al. Amyloid-β and APOE genotype predict memory decline in cognitively unimpaired older individuals independently of Alzheimer’s disease polygenic risk score. BMC Neurol. 2022, 22, 484. [Google Scholar] [CrossRef]
 - Ge, T.; Sabuncu, M.R.; Smoller, J.W.; Sperling, R.A.; Mormino, E.C.; Alzheimer’s Disease Neuroimaging Initiative. Dissociable influences of APOE ε4 and polygenic risk of AD dementia on amyloid and cognition. Neurology 2018, 90, e1605–e1612. [Google Scholar] [CrossRef]
 - Mormino, E.C.; Sperling, R.A.; Holmes, A.J.; Buckner, R.L.; De Jager, P.L.; Smoller, J.W.; Sabuncu, M.R.; Alzheimer’s Disease Neuroimaging Initiative. Polygenic risk of Alzheimer disease is associated with early- and late-life processes. Neurology 2016, 87, 481–488. [Google Scholar] [CrossRef]
 - Pettigrew, C.; Nazarovs, J.; Soldan, A.; Singh, V.; Wang, J.; Hohman, T.; Dumitrescu, L.; Libby, J.; Kunkle, B.; Gross, A.L.; et al. Alzheimer’s disease genetic risk and cognitive reserve in relationship to long-term cognitive trajectories among cognitively normal individuals. Alzheimers Res. Ther. 2023, 15, 66. [Google Scholar] [CrossRef]
 - Manzali, S.B.; Yu, E.; Ravona-Springer, R.; Livny, A.; Golan, S.; Ouyang, Y.; Lesman-Segev, O.; Liu, L.; Ganmore, I.; Alkelai, A.; et al. Alzheimer’s Disease Polygenic Risk Score Is Not Associated with Cognitive Decline Among Older Adults with Type 2 Diabetes. Front. Aging Neurosci. 2022, 14, 853695. [Google Scholar] [CrossRef] [PubMed]
 - Porter, T.; Burnham, S.C.; Milicic, L.; Savage, G.; Maruff, P.; Lim, Y.Y.; Li, Q.X.; Ames, D.; Masters, C.L.; Rainey-Smith, S.; et al. Utility of an Alzheimer’s Disease Risk-Weighted Polygenic Risk Score for Predicting Rates of Cognitive Decline in Preclinical Alzheimer’s Disease: A Prospective Longitudinal Study. J. Alzheimers Dis. 2018, 66, 1193–1211. [Google Scholar] [CrossRef]
 - Rutten-Jacobs, L.C.A.; Tozer, D.J.; Duering, M.; Malik, R.; Dichgans, M.; Markus, H.S.; Traylor, M. Genetic Study of White Matter Integrity in UK Biobank (N=8448) and the Overlap with Stroke, Depression, and Dementia. Stroke 2018, 49, 1340–1347. [Google Scholar] [CrossRef] [PubMed]
 - Craik, F.I.M. Memory, aging and the brain: Old findings and current issues. Aging Brain 2023, 4, 100096. [Google Scholar] [CrossRef] [PubMed]
 - Proust-Lima, C.; Amieva, H.; Letenneur, L.; Orgogozo, J.M.; Jacqmin-Gadda, H.; Dartigues, J.F. Gender and education impact on brain aging: A general cognitive factor approach. Psychol. Aging 2008, 23, 608–620. [Google Scholar] [CrossRef] [PubMed]
 - de Frias, C.M.; Nilsson, L.G.; Herlitz, A. Sex differences in cognition are stable over a 10-year period in adulthood and old age. Neuropsychol. Dev. Cogn. B Aging Neuropsychol. Cogn. 2006, 13, 574–587. [Google Scholar] [CrossRef] [PubMed]
 - Wetherell, J.L.; Reynolds, C.A.; Gatz, M.; Pedersen, N.L. Anxiety, cognitive performance, and cognitive decline in normal aging. J. Gerontol. B Psychol. Sci. Soc. Sci. 2002, 57, P246–P255. [Google Scholar] [CrossRef]
 - Anstey, K.J.; Ehrenfeld, L.; Mortby, M.E.; Cherbuin, N.; Peters, R.; Kiely, K.M.; Eramudugolla, R.; Huque, M.H. Gender differences in cognitive development in cohorts of young, middle, and older adulthood over 12 years. Dev. Psychol. 2021, 57, 1403–1410. [Google Scholar] [CrossRef]
 - Tschanz, J.T.; Corcoran, C.D.; Schwartz, S.; Treiber, K.; Green, R.C.; Norton, M.C.; Mielke, M.M.; Piercy, K.; Steinberg, M.; Rabins, P.V.; et al. Progression of cognitive, functional, and neuropsychiatric symptom domains in a population cohort with Alzheimer dementia: The Cache County Dementia Progression study. Am. J. Geriatr. Psychiatry 2011, 19, 532–542. [Google Scholar] [CrossRef] [PubMed]
 - Agüero-Torres, H.; Fratiglioni, L.; Guo, Z.; Viitanen, M.; Winblad, B. Prognostic factors in very old demented adults: A seven-year follow-up from a population-based survey in Stockholm. J. Am. Geriatr. Soc. 1998, 46, 444–452. [Google Scholar] [CrossRef]
 - Tifratene, K.; Robert, P.; Metelkina, A.; Pradier, C.; Dartigues, J.F. Progression of mild cognitive impairment to dementia due to AD in clinical settings. Neurology 2015, 85, 331–338. [Google Scholar] [CrossRef]
 - van Loenhoud, A.C.; van der Flier, W.M.; Wink, A.M.; Dicks, E.; Groot, C.; Twisk, J.; Barkhof, F.; Scheltens, P.; Ossenkoppele, R.; Alzheimer’s Disease Neuroimaging Initiative. Cognitive reserve and clinical progression in Alzheimer disease: A paradoxical relationship. Neurology 2019, 93, e334–e346. [Google Scholar] [CrossRef] [PubMed]
 - Berchtold, N.C.; Cribbs, D.H.; Coleman, P.D.; Rogers, J.; Head, E.; Kim, R.; Beach, T.; Miller, C.; Troncoso, J.; Trojanowski, J.Q.; et al. Gene expression changes in the course of normal brain aging are sexually dimorphic. Proc. Natl. Acad. Sci. USA 2008, 105, 15605–15610. [Google Scholar] [CrossRef]
 - Hobel, Z.; Isenberg, A.L.; Raghupathy, D.; Mack, W.; Pa, J.; Alzheimer’s Disease Neuroimaging Initiative and the Australian Imaging Biomarkers and Lifestyle flagship study of ageing. APOEɛ4 Gene Dose and Sex Effects on Alzheimer’s Disease MRI Biomarkers in Older Adults with Mild Cognitive Impairment. J. Alzheimers Dis. 2019, 71, 647–658. [Google Scholar] [CrossRef] [PubMed]
 - Mielke, M.M.; Vemuri, P.; Rocca, W.A. Clinical epidemiology of Alzheimer’s disease: Assessing sex and gender differences. Clin. Epidemiol. 2014, 6, 37–48. [Google Scholar] [CrossRef] [PubMed]
 - Ferreira, L.; Ferreira Santos-Galduróz, R.; Ferri, C.P.; Fernandes Galduróz, J.C. Rate of cognitive decline in relation to sex after 60 years-of-age: A systematic review. Geriatr. Gerontol. Int. 2014, 14, 23–31. [Google Scholar] [CrossRef] [PubMed]
 - Scarmeas, N.; Stern, Y. Cognitive reserve: Implications for diagnosis and prevention of Alzheimer’s disease. Curr. Neurol. Neurosci. Rep. 2004, 4, 374–380. [Google Scholar] [CrossRef] [PubMed]
 - Fritsch, T.; McClendon, M.J.; Smyth, K.A.; Ogrocki, P.K. Effects of educational attainment and occupational status on cognitive and functional decline in persons with Alzheimer-type dementia. Int. Psychogeriatr. 2002, 14, 347–363. [Google Scholar] [CrossRef] [PubMed]
 - Stern, Y.; Albert, S.; Tang, M.X.; Tsai, W.Y. Rate of memory decline in AD is related to education and occupation: Cognitive reserve? Neurology 1999, 53, 1942–1947. [Google Scholar] [CrossRef] [PubMed]
 - Singh-Manoux, A.; Marmot, M.G.; Glymour, M.; Sabia, S.; Kivimäki, M.; Dugravot, A. Does cognitive reserve shape cognitive decline? Ann. Neurol. 2011, 70, 296–304. [Google Scholar] [CrossRef] [PubMed]
 - Soldan, A.; Pettigrew, C.; Cai, Q.; Wang, J.; Wang, M.C.; Moghekar, A.; Miller, M.I.; Albert, M.; BIOCARD Research Team. Cognitive reserve and long-term change in cognition in aging and preclinical Alzheimer’s disease. Neurobiol. Aging 2017, 60, 164–172. [Google Scholar] [CrossRef]
 - Mungas, D.; Early, D.R.; Glymour, M.M.; Zeki Al Hazzouri, A.; Haan, M.N. Education, bilingualism, and cognitive trajectories: Sacramento Area Latino Aging Study (SALSA). Neuropsychology. 2018, 32, 77–88. [Google Scholar] [CrossRef]
 - Karlamangla, A.S.; Miller-Martinez, D.; Aneshensel, C.S.; Seeman, T.E.; Wight, R.G.; Chodosh, J. Trajectories of cognitive function in late life in the United States: Demographic and socioeconomic predictors. Am. J. Epidemiol. 2009, 170, 331–342. [Google Scholar] [CrossRef] [PubMed]
 - Dardiotis, E.; Kosmidis, M.H.; Yannakoulia, M.; Hadjigeorgiou, G.M.; Scarmeas, N. The Hellenic Longitudinal Investigation of Aging and Diet (HELIAD): Rationale, study design, and cohort description. Neuroepidemiology 2014, 43, 9–14. [Google Scholar] [CrossRef] [PubMed]
 - Anastasiou, C.A.; Yannakoulia, M.; Kosmidis, M.H.; Dardiotis, E.; Hadjigeorgiou, G.M.; Sakka, P.; Arampatzi, X.; Bougea, A.; Labropoulos, I.; Scarmeas, N. Mediterranean diet and cognitive health: Initial results from the Hellenic longitudinal investigation of ageing and diet. PLoS ONE 2017, 12, e0182048. [Google Scholar] [CrossRef]
 - Mourtzi, N.; Charisis, S.; Tsapanou, A.; Ntanasi, E.; Hatzimanolis, A.; Ramirez, A.; Heilmann-Heimbach, S.; Grenier-Boley, B.; Lambert, J.C.; Yannakoulia, M.; et al. Genetic propensity for cerebral amyloidosis and risk of mild cognitive impairment and Alzheimer’s disease within a cognitive reserve framework. Alzheimer’s Dement. 2023, 19, 3794–3805. [Google Scholar] [CrossRef]
 - Sampatakakis, S.N.; Mourtzi, N.; Charisis, S.; Mamalaki, E.; Ntanasi, E.; Hatzimanolis, A.; Ramirez, A.; Lambert, J.C.; Yannakoulia, M.; Kosmidis, M.H.; et al. Genetic Predisposition for White Matter Hyperintensities and Risk of Mild Cognitive Impairment and Alzheimer’s Disease: Results from the HELIAD Study. Curr. Issues Mol. Biol. 2024, 46, 934–947. [Google Scholar] [CrossRef]
 - Deming, Y.; Li, Z.; Kapoor, M.; Harari, O.; Del-Aguila, J.L.; Black, K.; Carrell, D.; Cai, Y.; Fernandez, M.V.; Budde, J.; et al. Genome-wide association study identifies four novel loci associated with Alzheimer’s endophenotypes and disease modifiers. Acta Neuropathol. 2017, 133, 839–856. [Google Scholar] [CrossRef]
 - Sargurupremraj, M.; Suzuki, H.; Jian, X.; Sarnowski, C.; Evans, T.E.; Bis, J.C.; Eiriksdottir, G.; Sakaue, S.; Terzikhan, N.; Habes, M.; et al. Cerebral small vessel disease genomics and its implications across the lifespan. Nat. Commun. 2020, 11, 6285. [Google Scholar] [CrossRef] [PubMed]
 - Tsapanou, A.; Mourtzi, N.; Charisis, S.; Hatzimanolis, A.; Ntanasi, E.; Kosmidis, M.H.; Yannakoulia, M.; Hadjigeorgiou, G.; Dardiotis, E.; Sakka, P.; et al. Sleep Polygenic Risk Score Is Associated with Cognitive Changes over Time. Genes 2021, 13, 63. [Google Scholar] [CrossRef] [PubMed]
 - Austin, P.C.; Kapral, M.K.; Vyas, M.V.; Fang, J.; Yu, A.Y.X. Using Multilevel Models and Generalized Estimating Equation Models to Account for Clustering in Neurology Clinical Research. Neurology 2024, 103, e209947. [Google Scholar] [CrossRef] [PubMed]
 - Benjamini, Y.; Hochberg, Y. Controlling the False Discovery Rate: A Practical and Powerful Approach to Multiple Testing. J. R. Stat. Soc. Ser. B 1995, 57, 289–300. [Google Scholar] [CrossRef]
 - Folstein, M.F.; Folstein, S.E.; McHugh, P.R. “Mini-Mental State”. A Practical Method for Grading the Cognitive State of Patients for the Clinician. J. Psychiatr. Res. 1975, 12, 189–198. [Google Scholar] [CrossRef] [PubMed]
 - Vlahou, C.H.; Kosmidis, M.H.; Dardagani, A.; Tsotsi, S.; Giannakou, M.; Giazkoulidou, A.; Zervoudakis, E.; Pontikakis, N. Development of the Greek Verbal Learning Test: Reliability, Construct Validity, and Normative Standards. Arch. Clin. Neuropsychol. 2012, 28, 52–64. [Google Scholar] [CrossRef]
 - Ingram, F.; Soukup, V.M.; Ingram, P.T. The Medical College of Georgia Complex Figures: Reliability and preliminary normative data using an intentional learning paradigm in older adults. J. Int. Neuropsychol. Soc. 1997, 10, 144–146. [Google Scholar]
 - Kosmidis, M.H.; Vlahou, C.H.; Panagiotaki, P.; Kiosseoglou, G. The verbal fluency task in the Greek population: Normative data, and clustering and switching strategies. J. Int. Neuropsychol. Soc. 2004, 10, 164–172. [Google Scholar] [CrossRef] [PubMed]
 - Tsapkini, K.; Vlahou, C.H.; Potagas, C. Adaptation and validation of standardized aphasia tests in different languages: Lessons from the Boston Diagnostic Aphasia Examination - Short Form in Greek. Behav. Neurol. 2009, 22, 111–119. [Google Scholar] [CrossRef]
 - Vlahou, C.H.; Kosmidis, M.H. The Greek trail making test: Preliminary norms for clinical and research use. Psychol. J. Hell Psychol. Soc. 2002, 9, 336–352. (In Greek) [Google Scholar]
 - Kosmidis, M.H.; Tsotsi, S.; Karambela, O.; Takou, E.; Vlahou, C.H. Cultural factors influencing performance on visuo- perceptual neuropsychological tasks. Behav. Neurol. 2010, 23, 245–247. [Google Scholar] [CrossRef]
 - Bozikas, V.P.; Giazkoulidou, A.; Hatzigeorgiadou, M.; Karavatos, A.; Kosmidis, M.H. Do age and education contribute to performance on the clock drawing test? Normative data for the Greek population. J. Clin. Exp. Neuropsychol. 2008, 30, 199–203. [Google Scholar] [CrossRef] [PubMed]
 - Giaglis, G.; Kyriazidou, S.; Paraskevopoulou, E.; Taskos, N.; Kosmidis, M.H. Evaluating premorbid level: Preliminary findings regarding the vulnerability of scores on cognitive measures in patients with MS. J. Int. Neuropsychol. Soc. 2010, 15. [Google Scholar]
 - Grove, M.L.; Yu, B.; Cochran, B.J.; Haritunians, T.; Bis, J.C.; Taylor, K.D.; Hansen, M.; Borecki, I.B.; Cupples, L.A.; Fornage, M.; et al. Best Practices and Joint Calling of the HumanExome BeadChip: The CHARGE Consortium. PLoS ONE 2013, 8, e68095. [Google Scholar] [CrossRef]
 - Abraham, G.; Qiu, Y.; Inouye, M. FlashPCA2: Principal component analysis of Biobank-scale genotype datasets. Bioinformatics 2017, 33, 2776–2778. [Google Scholar] [CrossRef]
 - McCarthy, S.; Das, S.; Kretzschmar, W.; Delaneau, O.; Wood, A.R.; Teumer, A.; Kang, H.M.; Fuchsberger, C.; Danecek, P.; Sharp, K.; et al. A reference panel of 64,976 haplotypes for genotype imputation. Nat. Genet. 2016, 48, 1279–1283. [Google Scholar] [CrossRef] [PubMed]
 - Karczewski, K.J.; Francioli, L.C.; Tiao, G.; Cummings, B.B.; Alfoldi, J.; Wang, Q.; Collins, R.L.; Laricchia, K.M.; Ganna, A.; Birnbaum, D.P.; et al. The mutational constraint spectrum quantified from variation in 141,456 humans. Nature 2020, 581, 434–443. [Google Scholar] [CrossRef] [PubMed]
 - Marchini, J.; Howie, B.; Myers, S.; McVean, G.; Donnelly, P. A new multipoint method for genome-wide association studies by imputation of genotypes. Nat. Genet. 2007, 39, 906–913. [Google Scholar] [CrossRef]
 - Das, S.; Forer, L.; Schönherr, S.; Sidore, C.; Locke, A.E.; Kwong, A.; Vrieze, S.I.; Chew, E.Y.; Levy, S.; McGue, M.; et al. Next-generation genotype imputation service and methods. Nat. Genet. 2016, 48, 1284–1287. [Google Scholar] [CrossRef]
 - Wang, K.; Hu, X.; Peng, Y. An Analytical Comparison of the Principal Component Method and the Mixed Effects Model for Association Studies in the Presence of Cryptic Relatedness and Population Stratification. Hum. Hered. 2013, 76, 1–9. [Google Scholar] [CrossRef]
 - Reese, S.E.; Archer, K.J.; Therneau, T.M.; Atkinson, E.J.; Vachon, C.M.; De Andrade, M.; Kocher, J.-P.A.; Eckel-Passow, J.E. A new statistic for identifying batch effects in high-throughput genomic data that uses guided principal component analysis. Bioinformatics 2013, 29, 2877–2883. [Google Scholar] [CrossRef] [PubMed]
 



| All Participants | PRS 1 Aβ42 | PRS WMH | |||||
|---|---|---|---|---|---|---|---|
| Low | High | Low | High | ||||
| N = 512 | N = 256 | N = 256 | p-Value | N = 256 | N = 256 | p-Value | |
| Age (years), mean ± SD 2 | 73.4 ± 4.9 | 72.8 ± 4.5 | 74.0 ± 5.3 | 0.030 | 73.7 ± 5.1 | 73.2 ± 4.7 | 0.238 | 
| Sex, females (%) | 290 (56.6) | 148 (57.8) | 142 (55.5) | 0.467 | 135 (52.7) | 155 (60.5) | 0.084 | 
| Education years, mean ± SD | 7.1 ± 4.5 | 7.0 ± 4.6 | 7.2 ± 4.4 | 0.662 | 7.2 ± 4.4 | 7.0 ± 4.5 | 0.623 | 
| Follow-up duration, mean ± SD | 2.9 ± 0.8 | 3.0 ± 0.9 | 2.9 ± 0.8 | 0.156 | 2.9 ± 0.8 | 3.0 ± 0.8 | 0.167 | 
| APOE ε4 carriers, yes (%) | 86 (16.8) | 38 (14.8) | 48 (18.8) | 0.188 | 42 (16.4) | 44 (17.2) | 0.804 | 
| Global score, mean ± SD | −0.39 ± 0.79 | −0.47 ± 0.86 | −0.32 ± 0.71 | 0.042 | −0.41 ± 0.85 | −0.37 ± 0.74 | 0.530 | 
| Memory score, mean ± SD | −0.32 ± 0.90 | −0.38 ± 0.93 | −0.26 ± 0.87 | 0.124 | −0.28 ± 0.94 | −0.36 ± 0.86 | 0.325 | 
| Attention score, mean ± SD | −0.40 ± 1.21 | −0.50 ± 1.37 | −0.30 ± 1.02 | 0.082 | −0.43 ± 1.26 | −0.36 ± 1.17 | 0.459 | 
| Visuospatial score, mean ± SD | −0.42 ± 0.94 | −0.47 ± 1.01 | −0.36 ± 0.86 | 0.222 | −0.45 ± 1.03 | −0.38 ± 0.84 | 0.509 | 
| Executive score, mean ± SD | −0.34 ± 0.78 | −0.30 ± 0.72 | −0.38 ± 0.85 | 0.303 | −0.36 ± 0.78 | −0.32 ± 0.78 | 0.525 | 
| Language score, mean ± SD | −0.37 ± 0.89 | −0.44 ± 0.92 | −0.31 ± 0.85 | 0.105 | −0.39 ± 0.93 | −0.35 ± 0.85 | 0.550 | 
| All Participants | Low GC 1 Group | High GC 1 Group | ||
|---|---|---|---|---|
| N = 512 | N = 256 | N = 256 | p-Value | |
| Age (years), mean ± SD 2 | 73.4 ± 4.9 | 75.1 ± 4.7 | 71.8 ± 4.5 | <0.001 | 
| Sex, females (%) | 290 (56.6) | 141 (55.1) | 149 (58.2) | 0.585 | 
| Education years, mean ± SD | 7.1 ± 4.5 | 4.9 ± 3.1 | 9.4 ± 4.5 | <0.001 | 
| Follow-up duration, mean ± SD | 2.9 ± 0.8 | 3.0 ± 0.9 | 2.8 ± 0.8 | 0.146 | 
| APOE ε4 carriers, yes (%) | 86 (16.8) | 47 (18.4) | 39 (15.2) | 0.397 | 
| PRS Aβ42, high (%) | 256 (50.0) | 133 (52.0) | 123 (48.0) | 0.416 | 
| PRS WMH, high (%) | 256 (50.0) | 131 (51.2) | 125 (48.8) | 0.641 | 
| Global | Memory | Executive | Visuospatial | Language | Attention | |||||||
|---|---|---|---|---|---|---|---|---|---|---|---|---|
| N = 512 | Β 1 | p | β | p | β | p | β | p | β | p | β | p | 
| PRS 2 Aβ42 | −0.042 | 0.002 | −0.025 | 0.198 | −0.028 | 0.161 | −0.005 | 0.464 | −0.024 | 0.273 | −0.020 | 0.375 | 
| PRS WMH | −0.029 | 0.037 | −0.016 | 0.325 | −0.017 | 0.146 | −0.005 | 0.439 | −0.013 | 0.468 | −0.012 | 0.348 | 
| Males | Global | Memory | Executive | Visuospatial | Language | Attention | ||||||
|---|---|---|---|---|---|---|---|---|---|---|---|---|
| N = 222 | β 1 | p | β | p | β | p | β | p | β | p | β | p | 
| PRS 2 Aβ42 | −0.029 | 0.019 | −0.012 | 0.337 | −0.025 | 0.306 | −0.008 | 0.309 | −0.014 | 0.329 | −0.022 | 0.278 | 
| PRS WMH | −0.028 | 0.039 | −0.003 | 0.341 | −0.010 | 0.351 | −0.010 | 0.309 | 0.003 | 0.324 | −0.020 | 0.180 | 
| Females | Global | Memory | Executive | Visuospatial | Language | Attention | ||||||
| N = 290 | β | p | β | p | β | p | β | p | β | p | β | p | 
| PRS Aβ42 | −0.057 | <0.001 | −0.038 | 0.012 | −0.029 | 0.252 | −0.003 | 0.335 | −0.031 | 0.091 | −0.018 | 0.103 | 
| PRS WMH | −0.031 | 0.023 | −0.030 | 0.031 | −0.025 | 0.260 | −0.003 | 0.342 | −0.029 | 0.095 | −0.004 | 0.347 | 
| Younger Group | Global | Memory | Executive | Visuospatial | Language | Attention | ||||||
|---|---|---|---|---|---|---|---|---|---|---|---|---|
| N = 256 | β 1 | p | β | p | β | p | β | p | β | p | β | p | 
| PRS 2 Aβ42 | −0.036 | 0.013 | −0.011 | 0.299 | −0.026 | 0.305 | −0.011 | 0.302 | −0.025 | 0.112 | −0.019 | 0.298 | 
| PRS WMH | −0.027 | 0.040 | −0.007 | 0.302 | −0.010 | 0.304 | −0.010 | 0.301 | −0.024 | 0.097 | −0.011 | 0.314 | 
| Older Group | Global | Memory | Executive | Visuospatial | Language | Attention | ||||||
| N = 256 | β | p | β | p | β | p | β | p | β | p | β | p | 
| PRS Aβ42 | −0.048 | 0.002 | −0.039 | 0.002 | −0.029 | 0.214 | −0.002 | 0.425 | −0.023 | 0.152 | −0.021 | 0.276 | 
| PRS WMH | −0.030 | 0.021 | −0.027 | 0.005 | −0.023 | 0.219 | −0.002 | 0.473 | −0.003 | 0.356 | −0.014 | 0.340 | 
| Low CR 1 | Global | Memory | Executive | Visuospatial | Language | Attention | ||||||
|---|---|---|---|---|---|---|---|---|---|---|---|---|
| N = 340 | β 2 | p | β | p | β | p | β | p | β | p | β | p | 
| PRS 3 Aβ42 | −0.047 | <0.001 | −0.006 | 0.301 | −0.032 | 0.145 | −0.008 | 0.366 | −0.030 | 0.073 | −0.023 | 0.125 | 
| PRS WMH | −0.029 | 0.031 | −0.008 | 0.300 | −0.016 | 0.302 | −0.010 | 0.345 | −0.007 | 0.386 | −0.013 | 0.314 | 
| High CR | Global | Memory | Executive | Visuospatial | Language | Attention | ||||||
| N = 172 | β | p | β | p | β | p | β | p | β | p | β | p | 
| PRS Aβ42 | −0.039 | 0.004 | −0.046 | <0.001 | −0.023 | 0.247 | −0.003 | 0.472 | −0.022 | 0.123 | −0.015 | 0.237 | 
| PRS WMH | −0.030 | 0.021 | −0.032 | 0.020 | −0.019 | 0.272 | −0.003 | 0.415 | −0.004 | 0.401 | −0.010 | 0.407 | 
Disclaimer/Publisher’s Note: The statements, opinions and data contained in all publications are solely those of the individual author(s) and contributor(s) and not of MDPI and/or the editor(s). MDPI and/or the editor(s) disclaim responsibility for any injury to people or property resulting from any ideas, methods, instructions or products referred to in the content.  | 
© 2025 by the authors. Licensee MDPI, Basel, Switzerland. This article is an open access article distributed under the terms and conditions of the Creative Commons Attribution (CC BY) license (https://creativecommons.org/licenses/by/4.0/).
Share and Cite
Sampatakakis, S.N.; Mourtzi, N.; Hatzimanolis, A.; Koutsis, G.; Charisis, S.; Gkelmpesi, I.; Mamalaki, E.; Ntanasi, E.; Ramirez, A.; Yannakoulia, M.; et al. Genetic Prοpensity for Different Aspects of Dementia Pathology and Cognitive Decline in a Community Elderly Population. Int. J. Mol. Sci. 2025, 26, 910. https://doi.org/10.3390/ijms26030910
Sampatakakis SN, Mourtzi N, Hatzimanolis A, Koutsis G, Charisis S, Gkelmpesi I, Mamalaki E, Ntanasi E, Ramirez A, Yannakoulia M, et al. Genetic Prοpensity for Different Aspects of Dementia Pathology and Cognitive Decline in a Community Elderly Population. International Journal of Molecular Sciences. 2025; 26(3):910. https://doi.org/10.3390/ijms26030910
Chicago/Turabian StyleSampatakakis, Stefanos N., Niki Mourtzi, Alex Hatzimanolis, Georgios Koutsis, Sokratis Charisis, Iliana Gkelmpesi, Eirini Mamalaki, Eva Ntanasi, Alfredo Ramirez, Mary Yannakoulia, and et al. 2025. "Genetic Prοpensity for Different Aspects of Dementia Pathology and Cognitive Decline in a Community Elderly Population" International Journal of Molecular Sciences 26, no. 3: 910. https://doi.org/10.3390/ijms26030910
APA StyleSampatakakis, S. N., Mourtzi, N., Hatzimanolis, A., Koutsis, G., Charisis, S., Gkelmpesi, I., Mamalaki, E., Ntanasi, E., Ramirez, A., Yannakoulia, M., Kosmidis, M. H., Dardiotis, E., Hadjigeorgiou, G., Sakka, P., & Scarmeas, N. (2025). Genetic Prοpensity for Different Aspects of Dementia Pathology and Cognitive Decline in a Community Elderly Population. International Journal of Molecular Sciences, 26(3), 910. https://doi.org/10.3390/ijms26030910
        
