Genome-Wide Identification of Cytokinin Response Factors (CRFs) Involved in Stress Responses in Banana (Musa acuminata)
Abstract
1. Introduction
2. Results
2.1. Identification and Characterization of MaCRF Family Genes in M. acuminata DH Pahang
2.2. Phylogenetic Analysis and Multiple Sequence Alignment of Banana CRF Family Proteins
2.3. Gene Structures, and Motifs Analysis of Banana CRF Family Proteins
2.4. Comprehensive Analysis of Cis-Regulatory Elements in MaCRF Promoters
2.5. Chromosomal Localization and Collinearity Analysis of Banana CRF Family Genes
2.6. Secondary Structure Prediction of Banana CRF Family Proteins
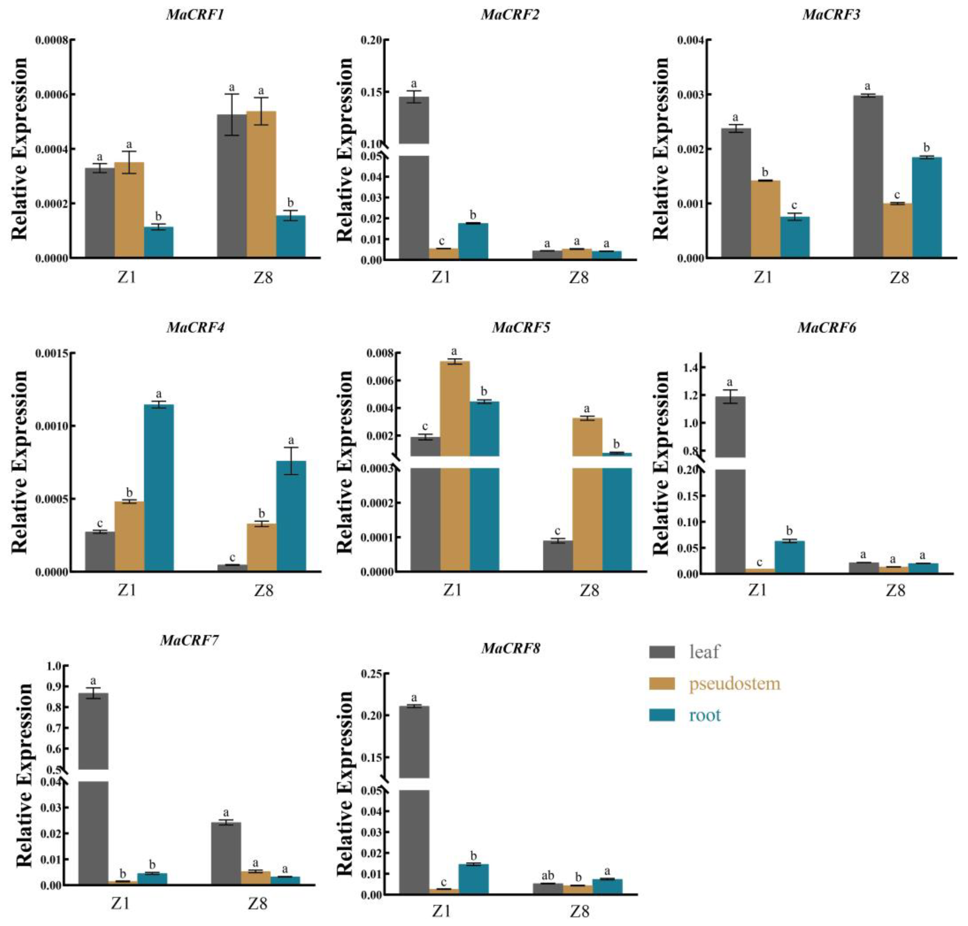
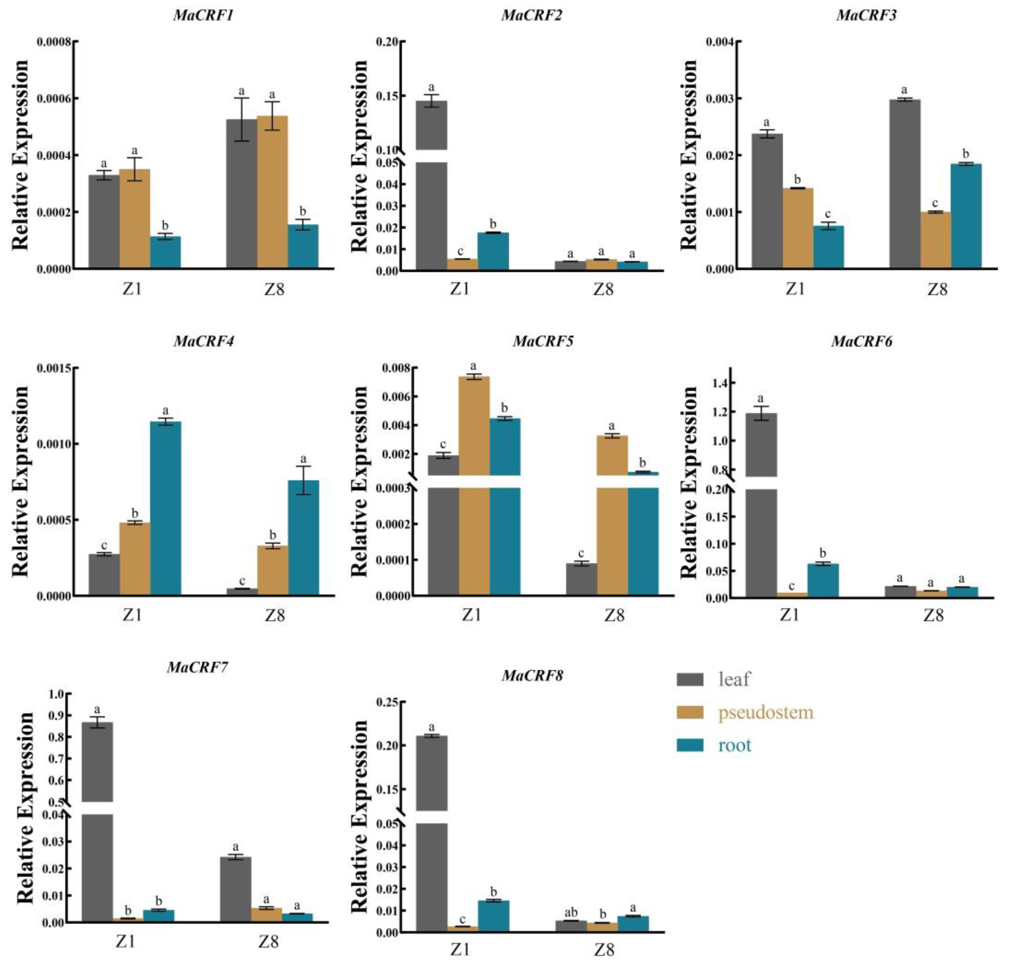
2.7. Tissue-Specific Expression Analysis of Banana CRF Family Genes
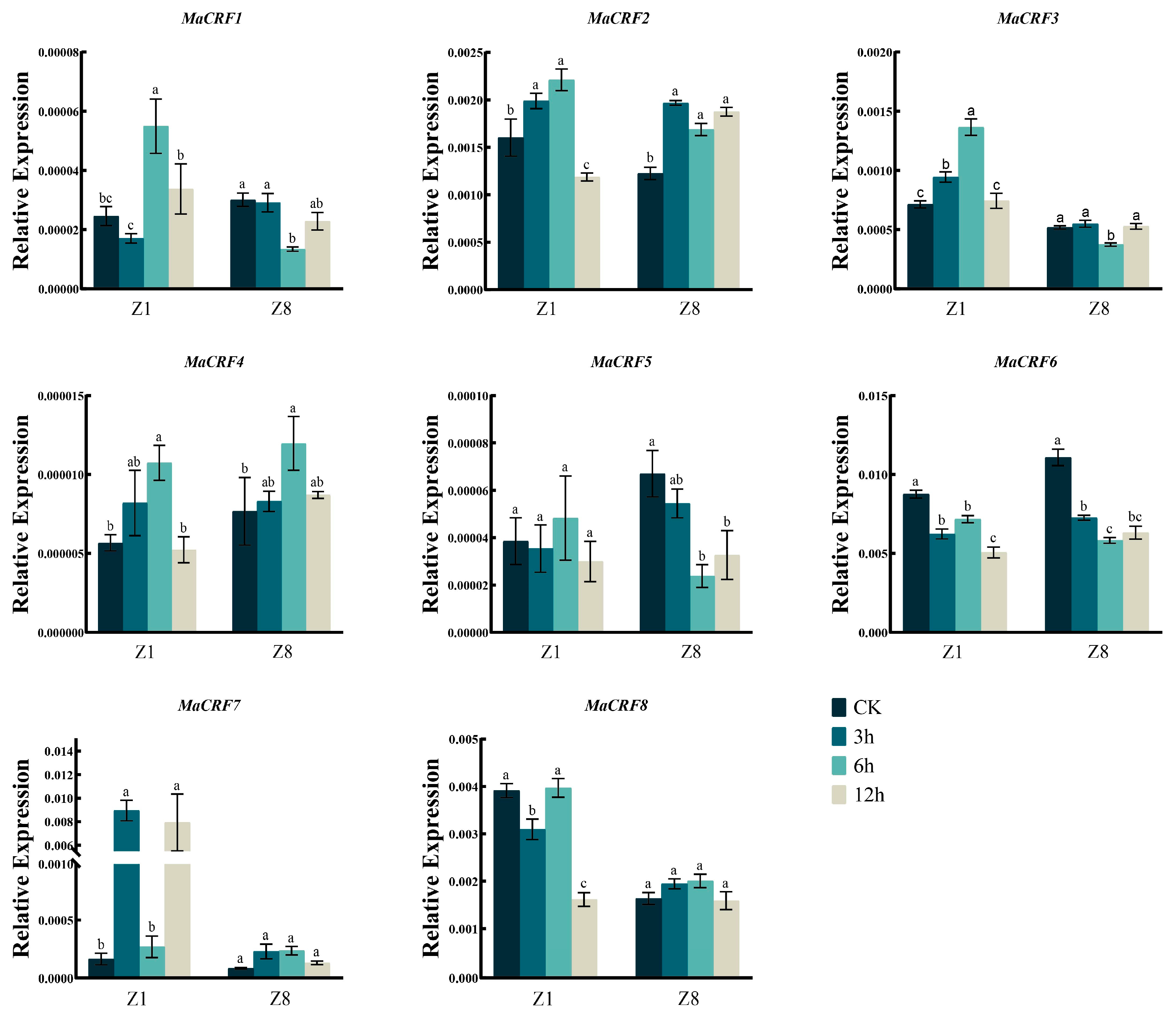
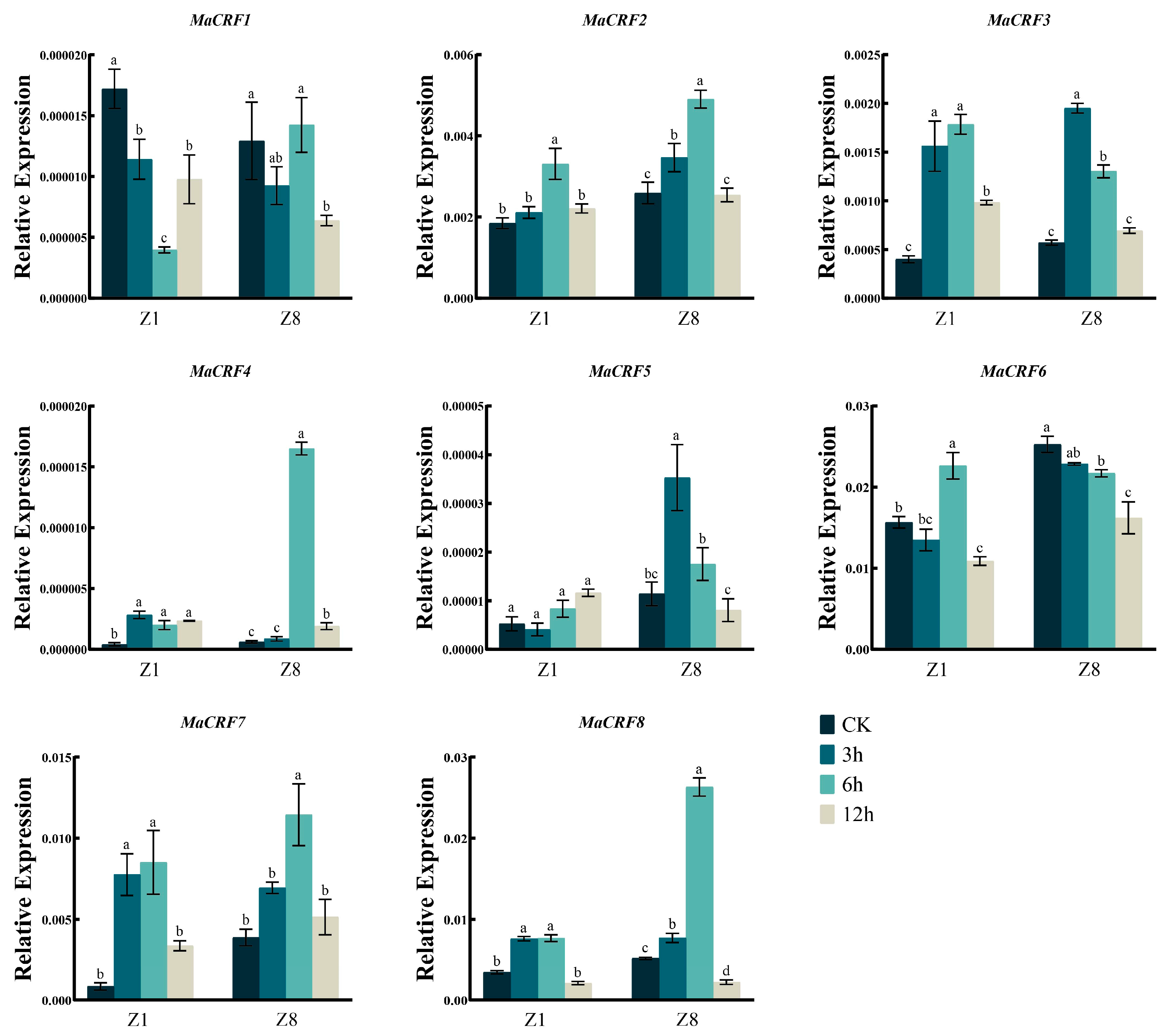
2.8. Expression Profiles of Banana CRF Family Genes Under Biotic Stress
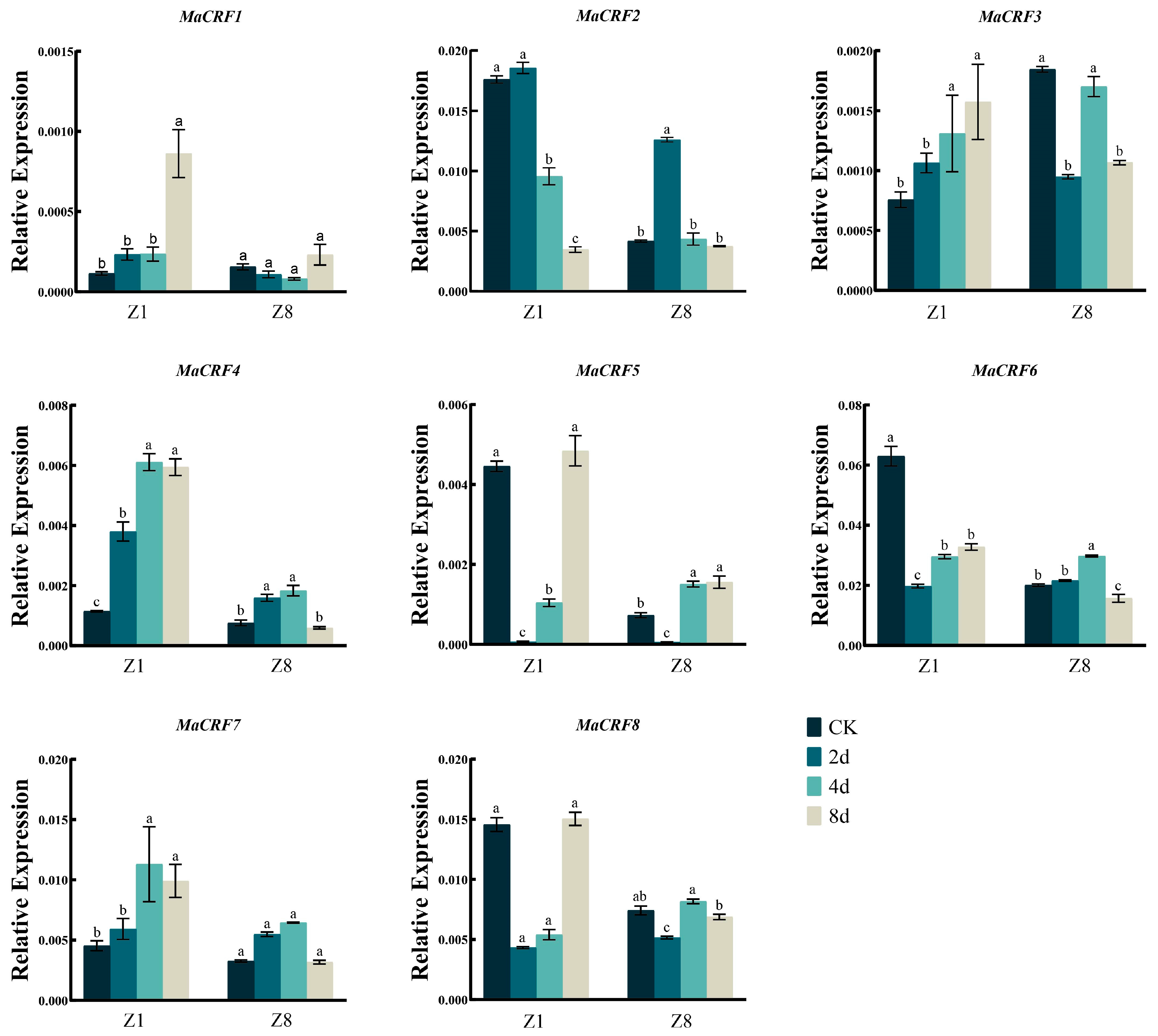
2.9. Expression Responses of MaCRF Genes to Abiotic Stresses
3. Discussion
4. Materials and Methods
4.1. Identification of CRF Family Members and Analysis of Protein Physicochemical Properties
4.2. Phylogenetic Analysis of Banana CRF Family Proteins
4.3. Analysis of Cis-Acting Elements in the Promoters of Banana CRF Genes
4.4. Chromosomal Localization and Collinearity Analysis of Banana CRF Genes
4.5. Plant Materials and Treatments
4.6. Expression Analysis of Banana CRF Genes
4.7. Statistical Analysis
5. Conclusions
Supplementary Materials
Author Contributions
Funding
Institutional Review Board Statement
Informed Consent Statement
Data Availability Statement
Conflicts of Interest
References
- Feng, K.; Hou, X.L.; Xing, G.M.; Liu, J.X.; Duan, A.Q.; Xu, Z.S.; Li, M.Y.; Zhuang, J.; Xiong, A.S. Advances in Ap2/Erf Super-Family Transcription Factors in Plant. Crit. Rev. Biotechnol. 2020, 40, 750–776. [Google Scholar] [CrossRef]
- Rashotte, A.M.; Mason, M.G.; Hutchison, C.E.; Ferreira, F.J.; Schaller, G.E.; Kieber, J.J. A Subset of Arabidopsis Ap2 Transcription Factors Mediates Cytokinin Responses in Concert with a Two-Component Pathway. Proc. Natl. Acad. Sci. USA 2006, 103, 11081–11085. [Google Scholar] [CrossRef]
- Rashotte, A.M.; Goertzen, L.R. The Crf Domain Defines Cytokinin Response Factor Proteins in Plants. BMC Plant Biol. 2010, 10, 74. [Google Scholar] [CrossRef] [PubMed]
- Kim, J. Cytokinin Response Factors Gating Environmental Signals and Hormones. Trends Plant Sci. 2016, 21, 993–996. [Google Scholar] [CrossRef]
- Shi, X.; Gupta, S.; Rashotte, A.M. Solanum Lycopersicum Cytokinin Response Factor (Slcrf) Genes: Characterization of Crf Domain-Containing Erf Genes in Tomato. J. Exp. Bot. 2012, 63, 973–982. [Google Scholar] [CrossRef]
- Liu, Z.; Kong, L.; Zhang, M.; Lv, Y.; Liu, Y.; Zou, M.; Lu, G.; Cao, J.; Yu, X. Genome-Wide Identification, Phylogeny, Evolution and Expression Patterns of Ap2/Erf Genes and Cytokinin Response Factors in Brassica rapa ssp. pekinensis. PLoS ONE 2013, 8, e83444. [Google Scholar] [CrossRef]
- Wang, S.; Zhang, H.; Shi, L.; Xu, F.; Ding, G. Genome-Wide Dissection of the Crf Gene Family in Brassica Napus Indicates That Bnacrf8s Specifically Regulate Root Architecture and Phosphate Homeostasis against Phosphate Fluctuation in Plants. Int. J. Mol. Sci. 2020, 21, 3660. [Google Scholar] [CrossRef]
- Duan, X.; Zhang, K.; Duanmu, H.; Yu, Y. Genome-Wide Identification and Expression Characteristics of Cytokinin Response Factors in Soybean. J. Plant Growth Regul. 2023, 42, 4484–4496. [Google Scholar] [CrossRef]
- Lei, L.; Ding, G.; Cao, L.; Zhou, J.; Luo, Y.; Bai, L.; Xia, T.; Chen, L.; Wang, J.; Liu, K.; et al. Genome-Wide Identification of Crf Gene Family Members in Four Rice Subspecies and Expression Analysis of Oscrf Members in Response to Cold Stress at Seedling Stage. Sci. Rep. 2024, 14, 28446. [Google Scholar] [CrossRef]
- Yan, Z.; Hou, J.; Leng, B.; Yao, G.; Ma, C.; Sun, Y.; Zhang, F.; Mu, C.; Liu, X. Genome-Wide Investigation of the Crf Gene Family in Maize and Functional Analysis of Zmcrf9 in Response to Multiple Abiotic Stresses. Int. J. Mol. Sci. 2024, 25, 7650. [Google Scholar] [CrossRef] [PubMed]
- Cucinotta, M.; Manrique, S.; Guazzotti, A.; Quadrelli, N.E.; Mendes, M.A.; Benkova, E.; Colombo, L. Cytokinin Response Factors Integrate Auxin and Cytokinin Pathways for Female Reproductive Organ Development. Development 2016, 143, 4419–4424. [Google Scholar] [CrossRef] [PubMed]
- Melton, A.E.; Zwack, P.J.; Rashotte, A.M.; Goertzen, L.R. Identification and Functional Characterization of the Marshallia (Asteraceae) Clade III Cytokinin Response Factor (Crf). Plant Signal. Behav. 2019, 14, 1633886. [Google Scholar] [CrossRef]
- Liu, Y.; Zhang, M.; Meng, Z.; Wang, B.; Chen, M. Research Progress on the Roles of Cytokinin in Plant Response to Stress. Int. J. Mol. Sci. 2020, 21, 6574. [Google Scholar] [CrossRef]
- Kwon, T. Cytokinin Response Factor 2 Positively Regulates Salicylic Acid-Mediated Plant Immunity in Arabidopsis thaliana. Plant Biotechnol. 2016, 33, 207–210. [Google Scholar] [CrossRef]
- Zwack, P.J.; Compton, M.A.; Adams, C.I.; Rashotte, A.M. Cytokinin Response Factor 4 (Crf4) Is Induced by Cold and Involved in Freezing Tolerance. Plant Cell Rep. 2016, 35, 573–584. [Google Scholar] [CrossRef] [PubMed]
- Xu, Z.; Wang, R.; Kong, K.; Begum, N.; Almakas, A.; Liu, J.; Li, H.; Liu, B.; Zhao, T.; Zhao, T. An Apetala2/Ethylene Responsive Factor Transcription Factor Gmcrf4a Regulates Plant Height and Auxin Biosynthesis in Soybean. Front. Plant Sci. 2022, 13, 983650. [Google Scholar] [CrossRef]
- D’Hont, A.; Denoeud, F.; Aury, J.-M.; Baurens, F.-C.; Carreel, F.; Garsmeur, O.; Noel, B.; Bocs, S.; Droc, G.; Rouard, M.; et al. The Banana (Musa acuminata) Genome and the Evolution of Monocotyledonous Plants. Nature 2012, 488, 213–217. [Google Scholar] [CrossRef]
- Wang, Z.; Miao, H.; Liu, J.; Xu, B.; Yao, X.; Xu, C.; Zhao, S.; Fang, X.; Jia, C.; Wang, J.; et al. Musa balbisiana Genome Reveals Subgenome Evolution and Functional Divergence. Nat. Plants 2019, 5, 810–821. [Google Scholar] [CrossRef]
- Deng, G.M.; Yang, Q.S.; He, W.D.; Li, C.Y.; Yang, J.; Zuo, C.W.; Gao, J.; Sheng, O.; Lu, S.Y.; Zhang, S.; et al. Proteomic Analysis of Conidia Germination in Fusarium oxysporum F. sp. cubense Tropical Race 4 Reveals New Targets in Ergosterol Biosynthesis Pathway for Controlling Fusarium Wilt of Banana. Appl. Microbiol. Biotechnol. 2015, 99, 7189–7207. [Google Scholar] [CrossRef]
- Kema, G.H.J.; Drenth, A.; Dita, M.; Jansen, K.; Vellema, S.; Stoorvogel, J.J. Editorial: Fusarium Wilt of Banana, a Recurring Threat to Global Banana Production. Front. Plant Sci. 2020, 11, 628888. [Google Scholar] [CrossRef]
- Miao, H.; Zhang, J.; Zheng, Y.; Jia, C.; Hu, Y.; Wang, J.; Zhang, J.; Sun, P.; Jin, Z.; Zhou, Y.; et al. Shaping the Future of Bananas: Advancing Genetic Trait Regulation and Breeding in the Postgenomics Era. Hortic. Res. 2025, 12, uhaf044. [Google Scholar] [CrossRef]
- Nel, B.; Steinberg, C.; Labuschagne, N.; Viljoen, A. Evaluation of Fungicides and Sterilants for Potential Application in the Management of Fusarium Wilt of Banana. Crop. Prot. 2007, 26, 697–705. [Google Scholar] [CrossRef]
- Xie, W.Z.; Zheng, Y.Y.; He, W.; Bi, F.; Li, Y.; Dou, T.; Zhou, R.; Guo, Y.X.; Deng, G.; Zhang, W.; et al. Two Haplotype-Resolved Genome Assemblies for Aab Allotriploid Bananas Provide Insights into Banana Subgenome Asymmetric Evolution and Fusarium Wilt Control. Plant Commun. 2024, 5, 100766. [Google Scholar] [CrossRef]
- Li, X.; Yu, S.; Cheng, Z.; Chang, X.; Yun, Y.; Jiang, M.; Chen, X.; Wen, X.; Li, H.; Zhu, W.; et al. Origin and Evolution of the Triploid Cultivated Banana Genome. Nat. Genet. 2024, 56, 136–142. [Google Scholar] [CrossRef]
- Wang, X.; Yu, R.; Li, J. Using Genetic Engineering Techniques to Develop Banana Cultivars with Fusarium Wilt Resistance and Ideal Plant Architecture. Front. Plant Sci. 2020, 11, 617528. [Google Scholar] [CrossRef]
- Lakhwani, D.; Pandey, A.; Dhar, Y.V.; Bag, S.K.; Trivedi, P.K.; Asif, M.H. Genome-Wide Analysis of the Ap2/Erf Family in Musa Species Reveals Divergence and Neofunctionalisation during Evolution. Sci. Rep. 2016, 6, 18878. [Google Scholar] [CrossRef]
- Bolser, D.M.; Staines, D.M.; Perry, E.; Kersey, P.J. Ensembl Plants: Integrating Tools for Visualizing, Mining, and Analyzing Plant Genomic Data. Methods Mol. Biol. 2017, 1533, 1–31. [Google Scholar] [PubMed]
- Mistry, J.; Chuguransky, S.; Williams, L.; Qureshi, M.; Salazar, G.A.; Sonnhammer, E.L.L.; Tosatto, S.C.E.; Paladin, L.; Raj, S.; Richardson, L.J.; et al. Pfam: The Protein Families Database in 2021. Nucleic Acids Res. 2021, 49, D412–D419. [Google Scholar] [CrossRef] [PubMed]
- Finn, R.D.; Clements, J.; Eddy, S.R. Hmmer Web Server: Interactive Sequence Similarity Searching. Nucleic Acids Res. 2011, 39, W29–W37. [Google Scholar] [CrossRef] [PubMed]
- Capote, T.; Usié, A.; Barbosa, P.; Ramos, M.; Morais-Cecílio, L.; Gonçalves, S. Transcriptome Dynamics of Cork Oak (Quercus suber) Somatic Embryogenesis Reveals Active Gene Players in Transcription Regulation and Phytohormone Homeostasis of Embryo Development. Tree Genet. Genomes 2019, 15, 52. [Google Scholar] [CrossRef]
- Garcia-Bastidas, F. Fusarium oxysporum, f.sp. Cubense Tropical Race 4 (Foc Tr4). CABI Compend. 2022. [Google Scholar] [CrossRef]
- Li, S.M.; Zheng, H.X.; Zhang, X.S.; Sui, N. Cytokinins as Central Regulators during Plant Growth and Stress Response. Plant Cell Rep. 2021, 40, 271–282. [Google Scholar] [CrossRef]
- Du, Y.; Zhang, Z.; Gu, Y.; Li, W.; Wang, W.; Yuan, X.; Zhang, Y.; Yuan, M.; Du, J.; Zhao, Q. Genome-Wide Identification of the Soybean Cytokinin Oxidase/Dehydrogenase Gene Family and Its Diverse Roles in Response to Multiple Abiotic Stress. Front. Plant Sci. 2023, 14, 1163219. [Google Scholar] [CrossRef]
- Qin, L.; Wang, L.; Guo, Y.; Li, Y.; Ümüt, H.; Wang, Y. An Erf Transcription Factor from Tamarix Hispida, Thcrf1, Can Adjust Osmotic Potential and Reactive Oxygen Species Scavenging Capability to Improve Salt Tolerance. Plant Sci. 2017, 265, 154–166. [Google Scholar] [CrossRef]
- Šimášková, M.; O’Brien, J.A.; Khan, M.; Van Noorden, G.; Ötvös, K.; Vieten, A.; De Clercq, I.; Van Haperen, J.M.A.; Cuesta, C.; Hoyerová, K.; et al. Cytokinin Response Factors Regulate Pin-Formed Auxin Transporters. Nat. Commun. 2015, 6, 8717. [Google Scholar] [CrossRef] [PubMed]
- Promyou, S.; Ketsa, S.; van Doorn, W.G. Hot Water Treatments Delay Cold-Induced Banana Peel Blackening. Postharvest Biol. Technol. 2008, 48, 132–138. [Google Scholar] [CrossRef]
- Joshi, R.; Wani, S.H.; Singh, B.; Bohra, A.; Dar, Z.A.; Lone, A.A.; Pareek, A.; Singla-Pareek, S.L. Transcription Factors and Plants Response to Drought Stress: Current Understanding and Future Directions. Front. Plant Sci. 2016, 7, 1029. [Google Scholar] [CrossRef]
- Droc, G.; Martin, G.; Guignon, V.; Summo, M.; Sempéré, G.; Durant, E.; Soriano, A.; Baurens, F.C.; Cenci, A.; Breton, C.; et al. The Banana Genome Hub: A Community Database for Genomics in the Musaceae. Hortic. Res. 2022, 9, uhac221. [Google Scholar] [CrossRef] [PubMed]
- Chen, C.; Wu, Y.; Li, J.; Wang, X.; Zeng, Z.; Xu, J.; Liu, Y.; Feng, J.; Chen, H.; He, Y.; et al. Tbtools-II: A “One for All, All for One” Bioinformatics Platform for Biological Big-Data Mining. Mol. Plant 2023, 16, 1733–1742. [Google Scholar] [CrossRef]
- Duvaud, S.; Gabella, C.; Lisacek, F.; Stockinger, H.; Ioannidis, V.; Durinx, C. Expasy, the Swiss Bioinformatics Resource Portal, as Designed by Its Users. Nucleic Acids Res. 2021, 49, W216–W227. [Google Scholar] [CrossRef]
- Horton, P.; Park, K.J.; Obayashi, T.; Fujita, N.; Harada, H.; Adams-Collier, C.J.; Nakai, K. Wolf Psort: Protein Localization Predictor. Nucleic Acids Res. 2007, 35, W585–W587. [Google Scholar] [CrossRef] [PubMed]
- Cunningham, F.; Allen, J.E.; Allen, J.; Alvarez-Jarreta, J.; Amode, M.R.; Armean, I.M.; Austine-Orimoloye, O.; Azov, A.G.; Barnes, I.; Bennett, R.; et al. Ensembl 2022. Nucleic Acids Res. 2022, 50, D988–D995. [Google Scholar] [CrossRef] [PubMed]
- Kumar, S.; Stecher, G.; Li, M.; Knyaz, C.; Tamura, K. Mega X: Molecular Evolutionary Genetics Analysis across Computing Platforms. Mol. Biol. Evol. 2018, 35, 1547–1549. [Google Scholar] [CrossRef] [PubMed]
- Subramanian, B.; Gao, S.; Lercher, M.J.; Hu, S.; Chen, W.H. Evolview V3: A Webserver for Visualization, Annotation, and Management of Phylogenetic Trees. Nucleic Acids Res. 2019, 47, W270–W275. [Google Scholar] [CrossRef]
- Lescot, M.; Déhais, P.; Thijs, G.; Marchal, K.; Moreau, Y.; Van de Peer, Y.; Rouzé, P.; Rombauts, S. Plantcare, a Database of Plant Cis-Acting Regulatory Elements and a Portal to Tools for in Silico Analysis of Promoter Sequences. Nucleic Acids Res. 2002, 30, 325–327. [Google Scholar] [CrossRef]









| Gene Name | Alpha Helix/% | Extended Strand/% | Beta Turn/% | Random Coil/% | Secondary Structure Element Distribution | Tertiary Structure |
|---|---|---|---|---|---|---|
| MaCRF1 | 31.96 | 4.12 | 2.06 | 61.86 | ![]() | ![]() |
| MaCRF2 | 16.00 | 5.67 | 1.33 | 77.00 | ![]() | ![]() |
| MaCRF3 | 18.85 | 7.85 | 2.62 | 70.68 | ![]() | ![]() |
| MaCRF4 | 22.70 | 4.96 | 1.42 | 70.92 | ![]() | ![]() |
| MaCRF5 | 17.14 | 6.43 | 1.79 | 74.64 | ![]() | ![]() |
| MaCRF6 | 17.42 | 4.84 | 1.29 | 76.45 | ![]() | ![]() |
| MaCRF7 | 20.07 | 8.45 | 1.41 | 70.07 | ![]() | ![]() |
| MaCRF8 | 15.64 | 4.91 | 1.23 | 78.22 | ![]() | ![]() |
Disclaimer/Publisher’s Note: The statements, opinions and data contained in all publications are solely those of the individual author(s) and contributor(s) and not of MDPI and/or the editor(s). MDPI and/or the editor(s) disclaim responsibility for any injury to people or property resulting from any ideas, methods, instructions or products referred to in the content. |
© 2025 by the authors. Licensee MDPI, Basel, Switzerland. This article is an open access article distributed under the terms and conditions of the Creative Commons Attribution (CC BY) license (https://creativecommons.org/licenses/by/4.0/).
Share and Cite
Wang, R.; Hu, C.; Li, Z.; Li, Y.; He, W.; Sheng, O.; Yang, Q.; Dou, T.; Liu, C.; Gao, H.; et al. Genome-Wide Identification of Cytokinin Response Factors (CRFs) Involved in Stress Responses in Banana (Musa acuminata). Int. J. Mol. Sci. 2025, 26, 11316. https://doi.org/10.3390/ijms262311316
Wang R, Hu C, Li Z, Li Y, He W, Sheng O, Yang Q, Dou T, Liu C, Gao H, et al. Genome-Wide Identification of Cytokinin Response Factors (CRFs) Involved in Stress Responses in Banana (Musa acuminata). International Journal of Molecular Sciences. 2025; 26(23):11316. https://doi.org/10.3390/ijms262311316
Chicago/Turabian StyleWang, Ruiyu, Chunhua Hu, Zhixin Li, Yaoyao Li, Weidi He, Ou Sheng, Qiaosong Yang, Tongxin Dou, Cancan Liu, Huijun Gao, and et al. 2025. "Genome-Wide Identification of Cytokinin Response Factors (CRFs) Involved in Stress Responses in Banana (Musa acuminata)" International Journal of Molecular Sciences 26, no. 23: 11316. https://doi.org/10.3390/ijms262311316
APA StyleWang, R., Hu, C., Li, Z., Li, Y., He, W., Sheng, O., Yang, Q., Dou, T., Liu, C., Gao, H., Dong, T., Yi, G., Sun, S., & Deng, G. (2025). Genome-Wide Identification of Cytokinin Response Factors (CRFs) Involved in Stress Responses in Banana (Musa acuminata). International Journal of Molecular Sciences, 26(23), 11316. https://doi.org/10.3390/ijms262311316

















