Differential Subcellular Distribution and Physiological Responses of Artemisia argyi to Pb, Cu, and Zn Stress
Abstract
1. Introduction
2. Results
2.1. Growth Changes
2.2. Oxidative Stress-Related Indicators
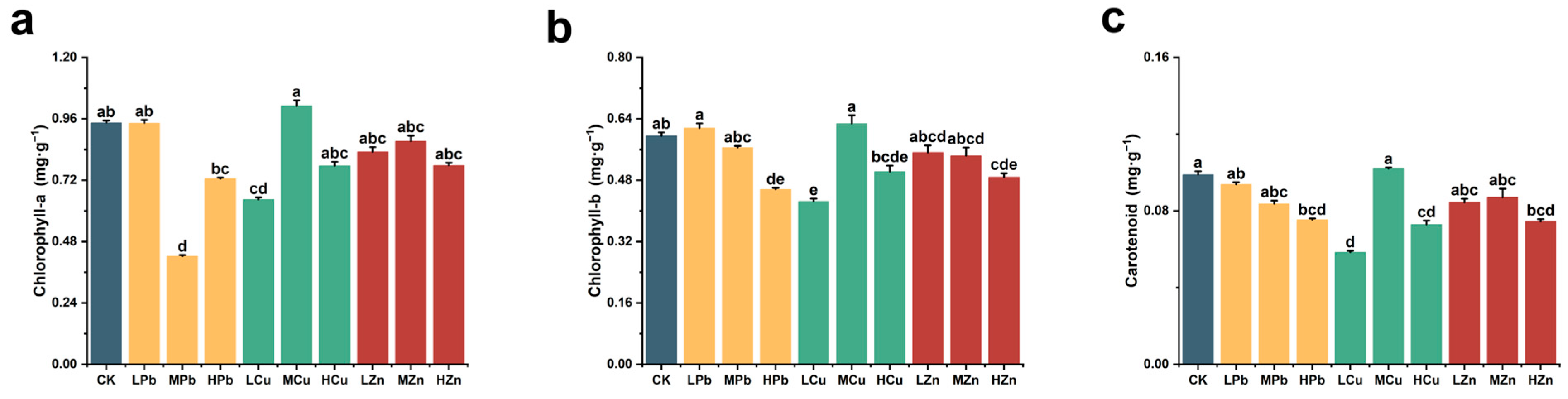
2.3. Photosynthetic Pigments
2.4. Osmotic Regulation Substances
2.5. Pb, Cu, Zn Contents in A. argyi
2.6. Subcellular Distribution of Pb, Cu, Zn
2.7. Principal Components Analysis (PCA) and Correlation Analysis of Growth and Physiological Indicators in A. argyi
3. Discussion
3.1. Effects of Pb, Cu, Zn Stress on Aboveground Belowground Parts of A. argyi
3.2. Effects of Pb, Cu, Zn Stress on Oxidative Stress-Related Indicators in A. argyi
3.3. Effects of Pb, Cu, Zn Stress on Photosynthetic Pigments in A. argyi
3.4. Effects of Pb, Cu, and Zn Stress on the Content of Osmoregulatory Substances in A. argyi
3.5. Accumulation of Pb, Cu, and Zn in A. argyi Plants
3.6. Accumulation of Pb, Cu, and Zn in the Subcellular Components of A. argyi
4. Materials and Methods
4.1. Experimental Materials and Potted Plant Experiments
4.2. Growth Index Measurement
4.3. Calculation of Pb, Cu, and Zn Accumulation, TF
4.4. Determination of Pb, Cu, Zn Subcellular Distribution
4.5. Measurement of Photosynthetic Pigment Content
4.6. Determination of Osmoregulatory Substances
4.7. Oxidative Stress-Related Indicators Measurements
4.8. Statistical Analysis
5. Conclusions
Author Contributions
Funding
Institutional Review Board Statement
Informed Consent Statement
Data Availability Statement
Acknowledgments
Conflicts of Interest
Abbreviations
| HPb | High-Pb |
| LPb | Low-Pb |
| MPb | Medium-Pb |
| LCu | Low-Cu |
| MCu | Medium-Cu |
| HCu | High-Cu |
| LZn | Low-Zn |
| MZn | Medium-Zn |
| HZn | High-Zn |
References
- Abdul, N.; Faiza, R.; Khalid, A.; Ali, K.S.; Nadeem, K.; Muhammad, A.; Muhammad, Z. Evaluation of heavy metals effects on morpho-anatomical alterations of wheat (Triticum aestivum L.) Seedlings. Microsc. Res. Tech. 2021, 84, 2517–2529. [Google Scholar]
- Park, M.K.; Jang, H.; Park, Y.J.; Park, T.H.; Kim, C.; Kim, H.J.; Lee, S.E.; Park, H.J.; Lee, S.; Lee, Y.M.; et al. Biologically safe restoration of heavy metal-contaminated soils through plant-microbe synergy. Sci. Total Environ. 2025, 1000, 180404. [Google Scholar] [CrossRef]
- Peng, G.; Zhang, Z.; Wang, J.; Pan, K. Silicon-mediated metal uptake dynamics in Sesuvium portulacastrum: Unveiling mechanisms for enhanced phytoremediation in coastal wetlands. J. Environ. Sci. 2025, 158, 831–840. [Google Scholar] [CrossRef] [PubMed]
- Atta, N.; Shahbaz, M.; Farhat, F.; Maqsood, M.F.; Zulfiqar, U.; Naz, N.; Ahmed, M.M.; Hassan, N.U.; Mujahid, N.; Mustafa, A.E.Z.M.; et al. Proline-mediated redox regulation in wheat for mitigating nickel-induced stress and soil decontamination. Sci. Rep. 2024, 14, 456, Erratum in Sci. Rep. 2024, 14, 2184. [Google Scholar] [CrossRef]
- Hamzah, S.M.; Muhammad, K.; Yaoyu, Z.; Aasma, P.; Muzammal, R.; Sunny, A.; Zaffar, M.; Adnan, M.; Muhammad, A.A.R.; Bo, W.; et al. Appraising growth, oxidative stress and copper phytoextraction potential of flax (Linum usitatissimum L.) Grown in soil differentially spiked with copper. J. Environ. Manag. 2020, 257, 109994. [Google Scholar] [CrossRef]
- Ranjan, M.S.; Rachna, C.; Kumar, P.B.A. Chelate-assisted phytoaccumulation: Growth of Helianthus annuus L., Vigna radiata (L.) R. Wilczek and Pennisetum glaucum (L.) R. Br. In soil spiked with varied concentrations of copper. Environ. Sci. Pollut. Res. Int. 2020, 27, 5074–5084. [Google Scholar]
- Farhat, F.; Fry, S.C. Copper, cadmium and nickel pollution inhibit growth and promote ascorbate catabolism in cell cultures of;arabidopsis thaliana;and;zea mays. Plant Biosyst.—Int. J. Deal. All Asp. Plant Biol. 2023, 157, 699–710. [Google Scholar] [CrossRef]
- Saleh, S.R.; Kandeel, M.M.; Ghareeb, D.; Ghoneim, T.M.; Talha, N.I.; Alaoui-Sossé, B.; Aleya, L.; Abdel-Daim, M.M. Wheat biological responses to stress caused by cadmium, nickel and lead. Sci. Total Environ. 2020, 706, 136013. [Google Scholar] [CrossRef]
- Adamu, A.A.; Abdullahi, M.; Dikko, O.C.; Singh, D. Accumulation of heavy metals in autochthonous plants around bagega artisanal gold mining village and the remediation potential of selected plants. Acta Ecol. Sin. 2023, 43, 1007–1018. [Google Scholar]
- Tong, S.; Yang, L.; Gong, H.; Wang, L.; Li, H.; Yu, J.; Li, Y.; Deji, Y.; Nima, C.; Zhao, S.; et al. Bioaccumulation characteristics, transfer model of heavy metals in soil-crop system and health assessment in plateau region, china. Ecotoxicol. Environ. Saf. 2022, 241, 113733. [Google Scholar] [CrossRef]
- Meng, Y.; Tang, C.; Yu, J.; Meng, S.; Zhang, W. Exposure to lead increases the risk of meningioma and brain cancer: A meta-analysis. J. Trace Elem. Med. Biol. 2020, 60, 126474. [Google Scholar] [CrossRef]
- Vagnoni, G.; Bortolotti, E.; Checchi, S.; Saieva, C.; Berti, G.; Doccioli, C.; Caini, S. Lead (pb) in biological samples in association with cancer risk and mortality: A systematic literature review. Cancer Epidemiol. 2024, 92, 102630. [Google Scholar] [CrossRef]
- Pourrut, B.; Jean, S.; Silvestre, J.; Pinelli, E. Lead-induced DNA damage in vicia faba root cells: Potential involvement of oxidative stress. Mutat. Res.—Genet. Toxicol. Environ. Mutagen. 2011, 726, 123–128. [Google Scholar] [CrossRef]
- Jin, L.; Qiao, Q.; Yang, L.; Gao, Y. Integrated physiological, transcriptomic, and metabolomic analyses reveal the response mechanisms of selenium (se) and boron (b) under lead (pb) stress in tobacco. Plant Cell Environ. 2025, 48, 8878–8897. [Google Scholar] [CrossRef] [PubMed]
- Kumar, A.; Prasad, M.N.V. Plant-lead interactions: Transport, toxicity, tolerance, and detoxification mechanisms. Ecotoxicol. Environ. Saf. 2018, 166, 401–418. [Google Scholar] [CrossRef]
- Kroukamp, E.M.; Wondimu, T.; Forbes, P.B.C. Metal and metalloid speciation in plants: Overview, instrumentation, approaches and commonly assessed elements. Trends Anal. Chem. 2016, 77, 87–99. [Google Scholar] [CrossRef]
- Cullen, J.T.; McAlister, J. Biogeochemistry of lead. Its release to the environment and chemical speciation. Met. Ions Life Sci. 2017, 17, 21–48. [Google Scholar]
- Ratnapradipa, D. Environment and health: Heavy metal toxicity. FP Essent. 2024, 545, 13–18. [Google Scholar]
- Abedi, T.; Gavanji, S.; Mojiri, A. Lead and zinc uptake and toxicity in maize and their management. Plants 2022, 11, 1922. [Google Scholar] [CrossRef]
- Zahaib, I.M.; Jin, S.K.; Waqas, A.M.; Kyong, L.J. Toxic effects of lead on plants: Integrating multi-omics with bioinformatics to develop pb-tolerant crops. Planta 2023, 259, 18. [Google Scholar]
- Kumbhakar, S.K.; Chauhan, R.; Jadhav, S.K.; Quraishi, A. Lead induced-toxicity in vegetables, its mitigation strategies, and potential health risk assessment: A review. Int. J. Environ. Sci. Technol. 2022, 20, 5773–5798. [Google Scholar] [CrossRef]
- Batool, T.S.; Aslam, R.; Gul, A.; Paracha, R.Z.; Ilyas, M.; De Abreu, K.; Munir, F.; Amir, R.; Williams, L.E. Genome-wide analysis of heavy metal ATPases (HMAs) in poaceae species and their potential role against copper stress in triticum aestivum. Sci. Rep. 2023, 13, 7551. [Google Scholar] [CrossRef]
- Giannakoula, A.; Therios, I.; Chatzissavvidis, C. Effect of lead and copper on photosynthetic apparatus in citrus (Citrus aurantium L.) Plants. The role of antioxidants in oxidative damage as a response to heavy metal stress. Plants 2021, 10, 155. [Google Scholar] [CrossRef]
- Xiang, Z.; Yuan, B.; Yang, Y.; Fang, F.; He, M.; Li, Y.; Hui, S.; Wang, X. Responses in roots of Sesuvium portulacastrum to copper stress: Joint regulation of antioxidant system-copper chelation and transport-metabolic coordination. Plant Sci. 2025, 359, 112668. [Google Scholar] [CrossRef] [PubMed]
- Pál, M.; Janda, T.; Szalai, G. Interactions between plant hormones and thiol-related heavy metal chelators. Plant Growth Regul. 2018, 85, 173–185. [Google Scholar] [CrossRef]
- Calabrese, E.J.; Agathokleous, E. Accumulator plants and hormesis. Environ. Pollut. 2021, 274, 116526. [Google Scholar] [CrossRef]
- Zhao, S.; Qin, L.; Wang, L.; Sun, X.; Yu, L.; Wang, M.; Chen, S. Ecological risk thresholds for Zn in Chinese soils. Sci. Total Environ. 2022, 833, 155182. [Google Scholar] [CrossRef] [PubMed]
- Chang, W.; Qiujuan, J.; Evgenios, A.; Haitao, L.; Gezi, L.; Jingjing, Z.; Shah, F.; Ying, J. Hormetic effects of zinc on growth and antioxidant defense system of wheat plants. Sci. Total Environ. 2021, 807, 150992. [Google Scholar]
- Salvador, L.J.; Gustavo, R.; José, L. Chromium in plant growth and development: Toxicity, tolerance and hormesis. Environ. Pollut. 2022, 312, 120084. [Google Scholar] [CrossRef]
- Li, Y.; Shi, S.; Zhang, Y.; Zhang, A.; Wang, Z.; Yang, Y. Copper stress-induced phytotoxicity associated with photosynthetic characteristics and lignin metabolism in wheat seedlings. Ecotoxicol. Environ. Saf. 2023, 254, 114739. [Google Scholar] [CrossRef]
- Ru-Xin, W.; Ze-Hang, W.; Ya-Dan, S.; Lei-Lei, W.; Min, L.; Yi-Ting, L.; Hai-Meng, Z.; Peng-Wei, J.; Qiao-Fang, S.; Yi-He, Y. Molecular mechanism of plant response to copper stress: A review. Environ. Exp. Bot. 2024, 218, 105590. [Google Scholar]
- Zhang, H.; Guo, Q.; Yang, J.; Shen, J.; Chen, T.; Zhu, G.; Chen, H.; Shao, C. Subcellular cadmium distribution and antioxidant enzymatic activities in the leaves of two castor (Ricinus communis L.) Cultivars exhibit differences in cd accumulation. Ecotoxicol. Environ. Saf. 2015, 120, 184–192. [Google Scholar] [CrossRef]
- Geffard, A.; Sartelet, H.; Garric, J.; Biagianti-Risbourg, S.; Delahaut, L.; Geffard, O. Subcellular compartmentalization of cadmium, nickel, and lead in Gammarus fossarum: Comparison of methods. Chemosphere 2009, 78, 822–829. [Google Scholar] [CrossRef]
- Wang, S.; Bai, J.; Dai, H.; Zhan, J.; Ren, L.; Robinson, B.H.; Jiang, C.; Cui, S.; Skuza, L.; Wei, S. Speciation of cadmium and copper in the herbaceous flowering Hyperaccumulator bidenspilosa L. and their detoxification mechanisms. Plant Soil 2025, 514, 697–711. [Google Scholar] [CrossRef]
- Zare, A.A.; Khoshgoftarmanesh, A.H.; Malakouti, M.J.; Chaney, R.; Bahrami, H. Shoot accumulation and subcellular distribution of zinc and cadmium in lettuce root at various Cd2+ and Zn2+ activities in the root-growing media. J. Plant Nutr. Soil Sci. 2025, 188, 536–543. [Google Scholar] [CrossRef]
- Zhao, Y.; Wu, J.; Shang, D.; Ning, J.; Zhai, Y.; Sheng, X.; Ding, H. Subcellular distribution and chemical forms of cadmium in the edible seaweed, Porphyra yezoensis. Food Chem. 2015, 168, 48–54. [Google Scholar] [CrossRef]
- Wang, Q.; Liu, J.; Hu, B. Integration of copper subcellular distribution and chemical forms to understand copper toxicity in apple trees. Environ. Exp. Bot. 2016, 123, 125–131. [Google Scholar] [CrossRef]
- Li, C.; Dang, F.; Cang, L.; Zhou, C.; Zhou, D. Integration of metal chemical forms and subcellular partitioning to understand metal toxicity in two lettuce (Lactuca sativa L.) Cultivars. Plant Soil 2014, 384, 201–212. [Google Scholar] [CrossRef]
- Purvis, W. Plant power against pollution. Nat. Int. Wkly. J. Sci. 2000, 407, 298–299. [Google Scholar] [CrossRef]
- Salt, D.E.; Blaylock, M.; Kumar, N.P.; Dushenkov, V.; Ensley, B.D.; Chet, I.; Raskin, I. Phytoremediation: A novel strategy for the removal of toxic metals from the environment using plants. Biotechnology 1995, 13, 468–474. [Google Scholar] [CrossRef]
- Kaur, R.; Singh, D.; Kumari, A.; Sharma, G.; Rajput, S.; Arora, S.; Kaur, R. Pesticide residues degradation strategies in soil and water: A review. Int. J. Environ. Sci. Technol. 2021, 20, 3537–3560. [Google Scholar] [CrossRef]
- Nouman, W.; Bashir, T.; Gul, R.; Gull, T.; Olson, M.E.; Shaheen, M.; Rosa, E.; Domínguez-Perles, R.; Soliman, W.S. Metalliferous conditions induce regulation in antioxidant activities, polyphenolics and nutritional quality of Moringa oleifera L. Int. J. Phytoremediat. 2020, 22, 1348–1361. [Google Scholar] [CrossRef] [PubMed]
- Abbas, A.M.; Abd-Elmabod, S.K.; El-Ashry, S.M.; Soliman, W.S.; El-Tayeh, N.; Castillo, J.M. Capability of the invasive tree Prosopis glandulosa Torr. to remediate soil treated with sewage sludge. Sustainability 2019, 11, 2711. [Google Scholar] [CrossRef]
- Szczyglowska, M.; Piekarska, A.; Konieczka, P.; Namiesnik, J. Use of brassica plants in the phytoremediation and biofumigation processes. Int. J. Mol. Sci. 2011, 12, 7760–7771. [Google Scholar] [CrossRef]
- Madureira, B.G.; Aparecido, D.S.E.; Ribeiro, P.F.; Leandro, G.; Michelle, C.C.; Barbosa, D.S.J. Phytoremediation: A green and low-cost technology to remediate herbicides in the environment. Chemosphere 2023, 334, 138943. [Google Scholar] [CrossRef]
- Yu, L.; Yanan, H.; Fang, W.; Runchun, X.; Ming, Y.; Zhimin, C.; Zhenfeng, W.; Dingkun, Z.; Junzhi, L. From longevity grass to contemporary soft gold: Explore the chemical constituents, pharmacology, and toxicology of Artemisia argyi H.Lév. & vaniot essential oil. J. Ethnopharmacol. 2021, 279, 114404. [Google Scholar] [CrossRef]
- Hu, Q.; Liu, Z.; Guo, Y.; Lu, S.; Du, H.; Cao, Y. Antioxidant capacity of flavonoids from folium Artemisiae argyi and the molecular mechanism in caenorhabditis elegans. J. Ethnopharmacol. 2021, 279, 114398. [Google Scholar] [CrossRef]
- Rai, V.; Kakkar, P.; Khatoon, S.; Rawat, A.K.S.; Mehrotra, S. Heavy metal accumulation in some herbal drugs. Pharm. Biol. 2008, 39, 384–387. [Google Scholar] [CrossRef]
- Zehra, A.; Choudhary, S.; Mukarram, M.; Naeem, M.; Khan, M.M.A.; Aftab, T. Impact of long-term copper exposure on growth, photosynthesis, antioxidant defence system and artemisinin biosynthesis in soil-grown artemisia annua genotypes. Bull. Environ. Contam. Toxicol. 2020, 104, 609–618. [Google Scholar] [CrossRef] [PubMed]
- Yu, Y.; Yang, Y.; Guo, Y.; Pan, M.; Hao, W. Exogenous selenium enhances cadmium stress tolerance by improving physiological characteristics of artemisia argyi seedlings. Sci. Rep. 2025, 15, 3450. [Google Scholar] [CrossRef] [PubMed]
- Xie, C.; Pu, S.; Xiong, X.; Chen, S.; Peng, L.; Fu, J.; Sun, L.; Guo, B.; Jiang, M.; Li, X. Melatonin-assisted phytoremediation of pb-contaminated soil using bermudagrass. Environ. Sci. Pollut. Res. 2021, 28, 44374–44388. [Google Scholar] [CrossRef]
- Dalcorso, G.; Farinati, S.; Furini, A. Regulatory networks of cadmium stress in plants. Plant Signal. Behav. 2010, 5, 663–667. [Google Scholar] [CrossRef]
- Carvalho, M.E.A.; Castro, P.R.C.; Azevedo, R.A. Hormesis in plants under cd exposure: From toxic to beneficial element? J. Hazard. Mater. 2020, 384, 121434. [Google Scholar] [CrossRef]
- Mahmud, J.A.; Hasanuzzaman, M.; Nahar, K.; Bhuyan, M.H.M.B.; Fujita, M. Insights into citric acid-induced cadmium tolerance and phytoremediation in Brassica juncea L.: Coordinated functions of metal chelation, antioxidant defense and glyoxalase systems. Ecotoxicol. Environ. Saf. 2018, 147, 990–1001. [Google Scholar] [CrossRef]
- Srivastava, S.; Mishra, S.; Tripathi, R.D.; Dwivedi, S.; Gupta, D.K. Copper-induced oxidative stress and responses of antioxidants and phytochelatins in Hydrilla verticillata (L.f.) Royle. Aquat. Toxicol. 2006, 80, 405–415. [Google Scholar] [CrossRef]
- Souza, V.L.; de Almeida, A.F.; Souza, J.D.S.; Mangabeira, P.A.O.; de Jesus, R.M.; Pirovani, C.P.; Ahnert, D.; Baligar, V.C.; Loguercio, L.L. Altered physiology, cell structure, and gene expression of theobroma cacao seedlings subjected to cu toxicity. Environ. Sci. Pollut. Res. 2014, 21, 1217–1230. [Google Scholar] [CrossRef]
- Keller, C.; Hammer, D.; Kayser, A.; Richner, W.; Brodbeck, M.; Sennhauser, M. Root development and heavy metal phytoextraction efficiency: Comparison of different plant species in the field. Plant Soil 2003, 249, 67–81. [Google Scholar] [CrossRef]
- Wang, H.; Zhao, X.; Xuan, W.; Wang, P.; Zhao, F. Rice roots avoid asymmetric heavy metal and salinity stress via an RBOH-ROS-auxin signaling cascade. Mol. Plant. 2023, 16, 1678–1694. [Google Scholar] [CrossRef] [PubMed]
- Murat, E.; Fatih, Ç.; Figen, C.; Mustafa, C. Plant growth promoting bacteria enhances photosynthesis, nodulation and root system architecture in lentil under lead toxicity. J. Cent. Eur. Agric. 2022, 23, 582–591. [Google Scholar]
- Khan, J.; Malangisha, G.K.; Ali, A.; Mahmoud, A.; Yang, J.; Zhang, M.; Hu, Z. Nitric oxide alleviates lead toxicity by inhibiting lead translocation and regulating root growth in watermelon seedlings. Hortic. Environ. Biotechnol. 2021, 62, 701–714. [Google Scholar] [CrossRef]
- Marques, D.M.; Júnior, V.V.; Silva, A.B.; Mantovani, J.R.; Magalhães, P.C.; Souza, T.C. Copper toxicity on photosynthetic responses and root morphology of Hymenaea courbaril L. (Caesalpinioideae). Water Air Soil Pollut. 2018, 229, 138. [Google Scholar] [CrossRef]
- Ciamporová, M. Diverse responses of root cell structure to aluminium stress. Plant Soil 2000, 226, 113–116. [Google Scholar] [CrossRef]
- Barceló, J.; Poschenrieder, C. Fast root growth responses, root exudates, and internal detoxification as clues to the mechanisms of aluminium toxicity and resistance: A review. Environ. Exp. Bot. 2002, 48, 75–92. [Google Scholar] [CrossRef]
- Prasad, M.N.V.; Malec, P.; Waloszek, A.; Bojko, M.; Strzałka, K. Physiological responses of Lemna trisulca L. (Duckweed) to cadmium and copper bioaccumulation. Plant Sci. 2001, 161, 881–889. [Google Scholar] [CrossRef]
- Bertrand, P.; Geoffrey, P.; Jérôme, S.; Marie, C.; Maritxu, G.; Eric, P. Potential role of NADPH-oxidase in early steps of lead-induced oxidative burst in vicia faba roots. J. Plant Physiol. 2008, 165, 571–579. [Google Scholar]
- Cokkizgin, A.; Cokkizgin, H. Effects of lead PbCl2 stress on germination of lentil lens culinaris mediclines. Afr. J. Biotechnol. 2010, 9, 8608–8612. [Google Scholar]
- Yadav, S.K. Heavy metals toxicity in plants: An overview on the role of glutathione and phytochelatins in heavy metal stress tolerance of plants. S. Afr. J. Bot. 2010, 76, 167–179. [Google Scholar] [CrossRef]
- Haider, F.U.; Liqun, C.; Coulter, J.A.; Cheema, S.A.; Wu, J.; Zhang, R.; Wenjun, M.; Farooq, M. Cadmium toxicity in plants: Impacts and remediation strategies. Ecotoxicol. Environ. Saf. 2021, 211, 111887. [Google Scholar] [CrossRef]
- Thakur, S.; Singh, L.; Zularisam, A.W.; Sakinah, M.; Din, M.F.M. Lead induced oxidative stress and alteration in the activities of antioxidative enzymes in rice shoots. Biol. Plant. 2017, 61, 595–598. [Google Scholar] [CrossRef]
- Loix, C.; Huybrechts, M.; Vangronsveld, J.; Gielen, M.; Keunen, E.; Cuypers, A. Reciprocal interactions between cadmium-induced cell wall responses and oxidative stress in plants. Front. Plant Sci. 2017, 8, 1867, Erratum in Front. Plant Sci. 2018, 9, 391. [Google Scholar] [CrossRef]
- Anwar, H.M.; Pukclai, P.; Teixeira, D.S.J.A.; Masayuki, F. Molecular mechanism of heavy metal toxicity and tolerance in plants: Central role of glutathione in detoxification of reactive oxygen species and methylglyoxal and in heavy metal chelation. J. Bot. 2012, 2012, 872875. [Google Scholar] [CrossRef]
- Sołtysiak, J.K. Heavy metals tolerance in an invasive weed (Fallopia japonica) under different levels of soils contamination. J. Ecol. Eng. 2020, 21, 81–91. [Google Scholar] [CrossRef]
- Songlin, Z.; Hongchun, C.; Danni, H.; Xinrui, H.; Ya, Y.; Kejun, W.; Hong, W. Effects of exogenous organic acids on cd tolerance mechanism of Salix variegata Franch. Under Cd stress. Front. Plant Sci. 2020, 11, 594352. [Google Scholar] [CrossRef]
- Lee, S.; Kang, B.S. Phytochelatin is not a primary factor in determining copper tolerance. J. Plant Biol. 2005, 48, 32–38. [Google Scholar] [CrossRef]
- Cobbett, C.; Goldsbrough, P. Phytochelatins and metallothioneins: Roles in heavy metal detoxification and homeostasis. Annu. Rev. Plant Biol. 2002, 53, 159–182. [Google Scholar] [CrossRef]
- Gasic, K.; Korban, S.S. Expression of arabidopsis phytochelatin synthase in indian mustard (Brassica juncea) plants enhances tolerance for Cd and Zn. Planta 2007, 225, 1277–1285. [Google Scholar] [CrossRef]
- Wójcik, M.; Skórzyńska-Polit, E.; Tukiendorf, A. Organic acids accumulation and antioxidant enzyme activities in thlaspi caerulescens under zn and cd stress. Plant Growth Regul. Int. J. Nat. Synth. Regul. 2006, 48, 145–155. [Google Scholar] [CrossRef]
- Geng, H.; Huang, L.; Tan, A.; Liu, J.; Yang, G. The effect of low molecular weight organic acids on the growth, antioxidant capacity, and lead enrichment of duckweed (Landoltia punctata) under Pb stress. J. Environ. Chem. Eng. 2025, 13, 116563. [Google Scholar] [CrossRef]
- Zulfiqar, U.; Farooq, M.; Hussain, S.; Maqsood, M.; Hussain, M.; Ishfaq, M.; Ahmad, M.; Anjum, M.Z. Lead toxicity in plants: Impacts and remediation. J. Environ. Manag. 2019, 250, 109557. [Google Scholar] [CrossRef]
- Chen, F.; Zhang, W.; Hua, Z.; Zhu, Y.; Jiang, F.; Ma, J.; Oliván, L.M.G. Unlocking the phytoremediation potential of organic acids: A study on alleviating lead toxicity in canola (Brassica napus L.). Sci. Total Environ. 2024, 914, 169980. [Google Scholar] [CrossRef]
- Yurong, Y.; Xiaozhen, H.; Yan, L.; Amit, G.; Jie, C.; Ming, T. The combined effects of arbuscular mycorrhizal fungi (AMF) and lead (Pb) stress on Pb accumulation, plant growth parameters, photosynthesis, and antioxidant enzymes in Robinia pseudoacacia L. PLoS ONE 2015, 10, e0145726. [Google Scholar]
- Dao, L.H.T.; Beardall, J. Effects of lead on growth, photosynthetic characteristics and production of reactive oxygen species of two freshwater green algae. Chemosphere 2016, 147, 420–429. [Google Scholar] [CrossRef]
- López-Orenes, A.; Martínez-Pérez, A.; Calderón, A.A.; Ferrer, M.A. Pb-induced responses in Zygophyllum fabago plants are organ-dependent and modulated by salicylic acid. Plant Physiol. Biochem. 2014, 84, 57–66. [Google Scholar] [CrossRef]
- Elzbieta, R.; Igamberdiev, A.U.; Eugeniusz, P.; Per, G. Stimulation of respiration by Pb2+ in detached leaves and mitochondria of C3 and C4 plants. Physiol. Plant. 2002, 116, 148–154. [Google Scholar]
- Giovanni, D.; Anna, M.; Silvia, P.; Antonella, F. Nutrient metal elements in plants. Met. Integr. Biometal Sci. 2014, 6, 1770–1788. [Google Scholar]
- Muhammad, A.; Shafaqat, A.; Muhammad, R.; Muhammad, I.; Farhat, A.; Mujahid, F.; Muhammad, Z.; Kashif, I.M.; Aslam, B.S. The effect of excess copper on growth and physiology of important food crops: A review. Environ. Sci. Pollut. Res. Int. 2015, 22, 8148–8162. [Google Scholar]
- Noor, I.; Sohail, H.; Akhtar, M.T.; Cui, J.; Lu, Z.; Mostafa, S.; Hasanuzzaman, M.; Hussain, S.; Guo, N.; Jin, B. From stress to resilience: Unraveling the molecular mechanisms of cadmium toxicity, detoxification and tolerance in plants. Sci. Total Environ. 2024, 954, 176462. [Google Scholar] [CrossRef]
- Hui, Y.; Junxiang, Z.; Divyashree, N.; Li, L. Carotenoid metabolism and regulation in horticultural crops. Hortic. Res. 2015, 2, 15036. [Google Scholar] [CrossRef]
- Hu, L.; Yang, C.; Zhang, L.; Feng, J.; Xi, W. Effect of light-emitting diodes and ultraviolet irradiation on the soluble sugar, organic acid, and carotenoid content of postharvest sweet oranges (Citrus sinensis (L.) Osbeck). Molecules 2019, 24, 3440. [Google Scholar] [CrossRef]
- Nosratabadi, S.; Kavousi, H.R.; Sarcheshmehpour, M.; Mansouri, M. Assessment of the Cu phytoremediation potential of Chrysanthemum indicum L. and Tagetes erecta L. Using analysis of growth and physiological characteristics. Environ. Sci. Pollut. Res. Int. 2024, 31, 42445–42460. [Google Scholar] [CrossRef]
- Kohli, S.K.; Handa, N.; Sharma, A.; Gautam, V.; Arora, S.; Bhardwaj, R.; Wijaya, L.; Alyemeni, M.N.; Ahmad, P. Interaction of 24-epibrassinolide and salicylic acid regulates pigment contents, antioxidative defense responses, and gene expression in Brassica juncea L. Seedlings under Pb stress. Environ. Sci. Pollut. Res. Int. 2018, 25, 15159–15173. [Google Scholar] [CrossRef]
- Liu, X.; Liu, Y.; Zhou, Y.; Hu, C.; Tan, Q.; Sun, X.; Wu, S. Magnesium accelerates changes in the fruit ripening and carotenoid accumulation in satsuma mandarin pulp. Plant Physiol. Biochem. 2023, 204, 108082. [Google Scholar] [CrossRef]
- Sónia, P.; Bruno, L. Phytotoxicity by lead as heavy metal focus on oxidative stress. J. Bot. 2012, 2012, 369572. [Google Scholar] [CrossRef]
- Yusuf, M.; Saeed Almehrzi, A.S.; Nasir Alnajjar, A.J.; Alam, P.; Elsayed, N.; Khalil, R.; Hayat, S. Glucose modulates copper induced changes in photosynthesis, ion uptake, antioxidants and proline in Cucumis sativus plants. Carbohydr. Res. 2021, 501, 108271. [Google Scholar] [CrossRef]
- Ivan, C.; Cécile, S.; Gwenola, G.; Abdelhak, E.A. Involvement of soluble sugars in reactive oxygen species balance and responses to oxidative stress in plants. J. Exp. Bot. 2006, 57, 449–459. [Google Scholar] [CrossRef]
- Cao, D.; Xie, P.; Deng, J.; Zhang, H.; Ma, R.; Liu, C.; Liu, R.; Liang, Y.; Li, H.; Shi, X. Effects of Cu2+ and Zn2+ on growth and physiological characteristics of green algae, cladophora. Environ. Sci. Pollut. Res. Int. 2015, 22, 16535–16541. [Google Scholar] [CrossRef]
- Xiong, P.; He, C.; Oh, K.; Chen, X.; Liang, X.; Liu, X.; Cheng, X.; Wu, C.; Shi, Z. Medicago sativa L. Enhances the phytoextraction of cadmium and zinc by Ricinus communis L. On contaminated land in situ. Ecol. Eng. 2018, 116, 61–66. [Google Scholar] [CrossRef]
- Dai, H.; Wei, S.; Skuza, L.; Jia, G. Selenium spiked in soil promoted zinc accumulation of Chinese cabbage and improved its antioxidant system and lipid peroxidation. Ecotoxicol. Environ. Saf. 2019, 180, 179–184. [Google Scholar] [CrossRef] [PubMed]
- De Marco, R.; da Silva, R.F.; Andreazza, R.; Da Ros, C.O.; Scheid, D.L.; Bertollo, G.M. Copper phytoaccumulation and tolerance by seedlings of native Brazilian trees. Environ. Eng. Sci. 2016, 33, 176–184. [Google Scholar] [CrossRef]
- Eleni, M.; Nicolas, K. Phytoextraction of Pb and Cd by the Mediterranean saltbush (Atriplex halimus L.): Metal uptake in relation to salinity. Environ. Sci. Pollut. Res. Int. 2009, 16, 844–854. [Google Scholar]
- E, F.M.; A, G.K.; J, B.H. Lead levels of edibles grown in contaminated residential soils: A field survey. Sci. Total Environ. 2004, 320, 245–257. [Google Scholar]
- S, S.S.; Karl-Josef, D.; Tetsuro, M. Vacuolar compartmentalization as indispensable component of heavy metal detoxification in plants. Plant Cell Environ. 2016, 39, 1112–1126. [Google Scholar]
- Yan, W.; Hong, S.; Liang, X.; Xianwen, Z.; Chao, L.; Wei, Z.; Yang, X.; Yiqin, G.; Liwang, L. Transport, ultrastructural localization, and distribution of chemical forms of lead in radish (Raphanus sativus L.). Front. Plant Sci. 2015, 6, 293. [Google Scholar] [CrossRef]
- Fu, X.; Dou, C.; Chen, Y.; Chen, X.; Shi, J.; Yu, M.; Xu, J. Subcellular distribution and chemical forms of cadmium in Phytolacca americana L. J. Hazard. Mater. 2011, 186, 103–107. [Google Scholar] [CrossRef]
- Junliang, X.; Baifei, H. Subcellular distribution and chemical forms of cadmium in two hot pepper cultivars differing in cadmium accumulation. J. Agric. Food. Chem. 2014, 62, 508–515. [Google Scholar]
- Liu, J.; Shang, W.; Zhang, X.; Zhu, Y.; Yu, K. Mn accumulation and tolerance in Celosia argentea Linn.: A new Mn-hyperaccumulating plant species. J. Hazard. Mater. 2014, 267, 136–141. [Google Scholar] [CrossRef]
- GB 15618-2018; Soil Environmcntal Quality—Risk Control Standard for Soil Contamination of Agricultural Land. Ministry of Ecology and Environment, S.A.F.M.: Beijing, China, 2018.
- Jia, H.; Wang, X.; Shi, C.; Guo, J.; Ma, P.; Ren, X.; Wei, T.; Liu, H.; Li, J. Hydrogen sulfide decreases cd translocation from root to shoot through increasing cd accumulation in cell wall and decreasing Cd2+ influx in Isatis indigotica. Plant Physiol. Biochem. 2020, 155, 605–612. [Google Scholar] [CrossRef]
- Junfeng, G. Guidelines for Plant Physiology Experiments; Higher Education Press: Beijing, China, 2006. [Google Scholar]
- Hou, X.; Ma, C.; Wang, Z.; Shi, X.; Duan, W.; Fu, X.; Liu, J.; Guo, C.; Xiao, K. Transcription factor gene TaWRKY76 confers plants improved drought and salt tolerance through modulating stress defensive-associated processes in Triticum aestivum L. Plant Physiol. Biochem. 2024, 216, 109147. [Google Scholar] [CrossRef]
- Hameed, A. Physiological, biochemical and molecular evaluation of mungbean genotypes for agronomical yield under drought and salinity stresses in the presence of humic acid. Saudi J. Biol. Sci. 2022, 29, 103385. [Google Scholar] [CrossRef]









Disclaimer/Publisher’s Note: The statements, opinions and data contained in all publications are solely those of the individual author(s) and contributor(s) and not of MDPI and/or the editor(s). MDPI and/or the editor(s) disclaim responsibility for any injury to people or property resulting from any ideas, methods, instructions or products referred to in the content. |
© 2025 by the authors. Licensee MDPI, Basel, Switzerland. This article is an open access article distributed under the terms and conditions of the Creative Commons Attribution (CC BY) license (https://creativecommons.org/licenses/by/4.0/).
Share and Cite
Guo, Y.; Zhang, X.; Zhou, T.; Yu, Q.; Hao, W. Differential Subcellular Distribution and Physiological Responses of Artemisia argyi to Pb, Cu, and Zn Stress. Int. J. Mol. Sci. 2025, 26, 11274. https://doi.org/10.3390/ijms262311274
Guo Y, Zhang X, Zhou T, Yu Q, Hao W. Differential Subcellular Distribution and Physiological Responses of Artemisia argyi to Pb, Cu, and Zn Stress. International Journal of Molecular Sciences. 2025; 26(23):11274. https://doi.org/10.3390/ijms262311274
Chicago/Turabian StyleGuo, Yu, Xiaoqi Zhang, Tianhong Zhou, Qianqian Yu, and Wenfang Hao. 2025. "Differential Subcellular Distribution and Physiological Responses of Artemisia argyi to Pb, Cu, and Zn Stress" International Journal of Molecular Sciences 26, no. 23: 11274. https://doi.org/10.3390/ijms262311274
APA StyleGuo, Y., Zhang, X., Zhou, T., Yu, Q., & Hao, W. (2025). Differential Subcellular Distribution and Physiological Responses of Artemisia argyi to Pb, Cu, and Zn Stress. International Journal of Molecular Sciences, 26(23), 11274. https://doi.org/10.3390/ijms262311274

