Validation of the Monocyte Activation Test Demonstrating Equivalence to the Rabbit Pyrogen Test
Abstract
1. Introduction
- Product-independent validation (primary or generic validation)At the time of study execution, the former Ph. Eur. 2.6.30 Method B (semi-quantitative format) was still in force, and our generic validation was therefore designed around that method. All parameters specified by Ph. Eur. [16], USP <1225> [15] and ICH Q2 [17]—Range and Linearity, Detection Limit, Accuracy, Specificity, Precision, and Robustness—were examined, with the exception of the quantitation limit, which is not relevant for a semi-quantitative assay. Robustness testing deliberately exceeded formal compendial requirements to demonstrate assay consistency under routine conditions. Additionally, a comparison of the MAT and the RPT was performed using a panel of NEPs. The comparison was based on RPT data from peer-reviewed literature.The study assessed the following:
- ○
- Range and Linearity of IL-6 read-outs across the working concentration;
- ○
- Limit of Detection for endotoxin and representative NEPs;
- ○
- Accuracy against spiked reference standards;
- ○
- Specificity in the presence of potential interferents;
- ○
- Precision (repeatability, intermediate precision, and reproducibility);
- ○
- Robustness, which was evaluated by deliberately varying system parameters to assess the assay’s reliability under routine conditions. This included assay components that may differ depending on the specific MAT system used. The following parameters were investigated:
- ▪
- Lot-to-lot comparability of the MAT kit;
- ▪
- Measurement of the read-out (e.g., IL-6) over time;
- ▪
- Stimulation time of the cell source;
- ▪
- Freezing and thawing of the cell culture plate after stimulation.
- ○
- MAT/RPT comparison
- Product-specific verificationThe verification is designed to confirm that the drug product does not interfere with pyrogen detection. The verification was performed according to Ph. Eur. 2.6.30 [16].
2. Results
2.1. Product-Specific Feasibility Study
2.2. Generic Method Validation
2.2.1. Range and Linearity
2.2.2. Detection Limit
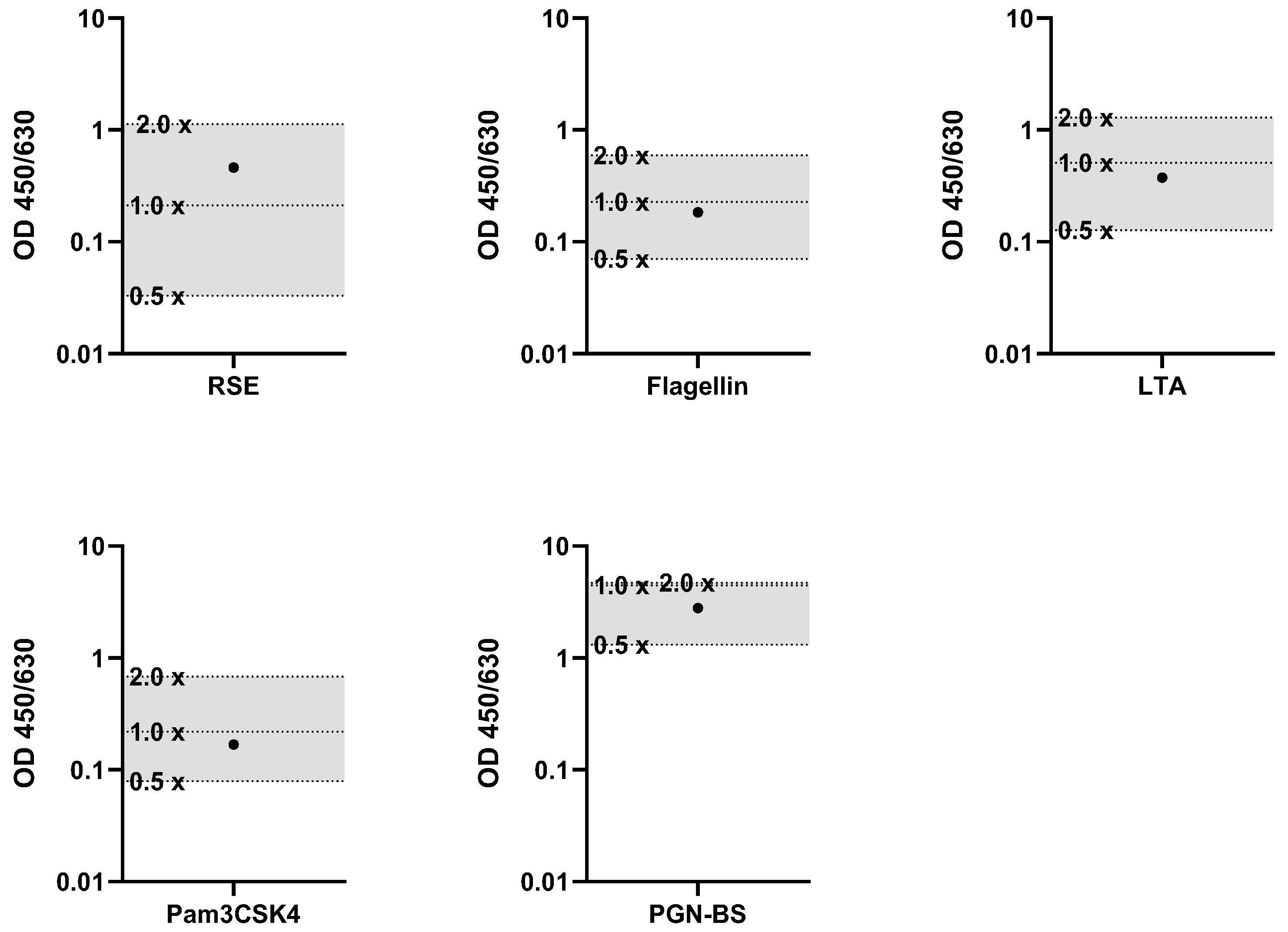
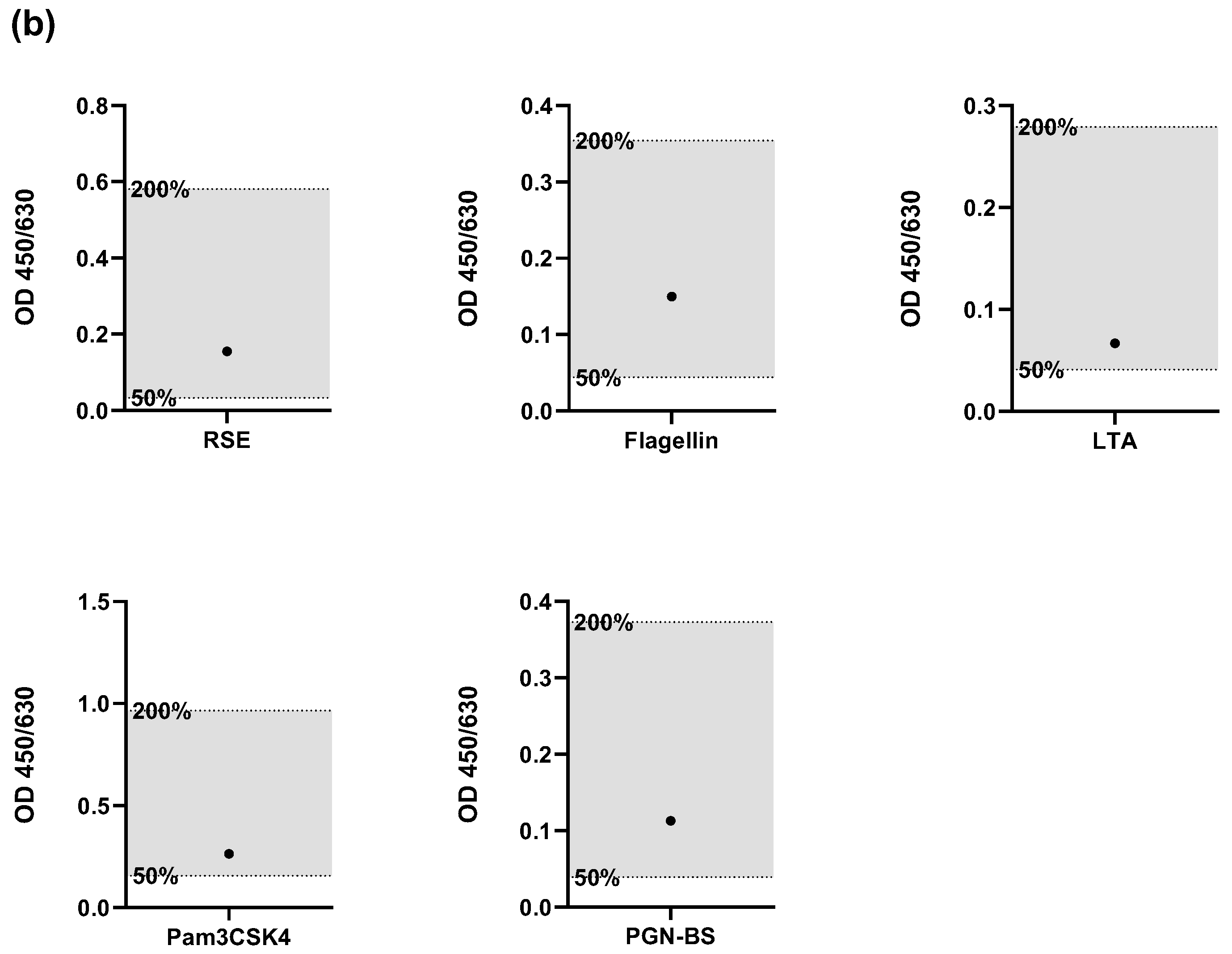
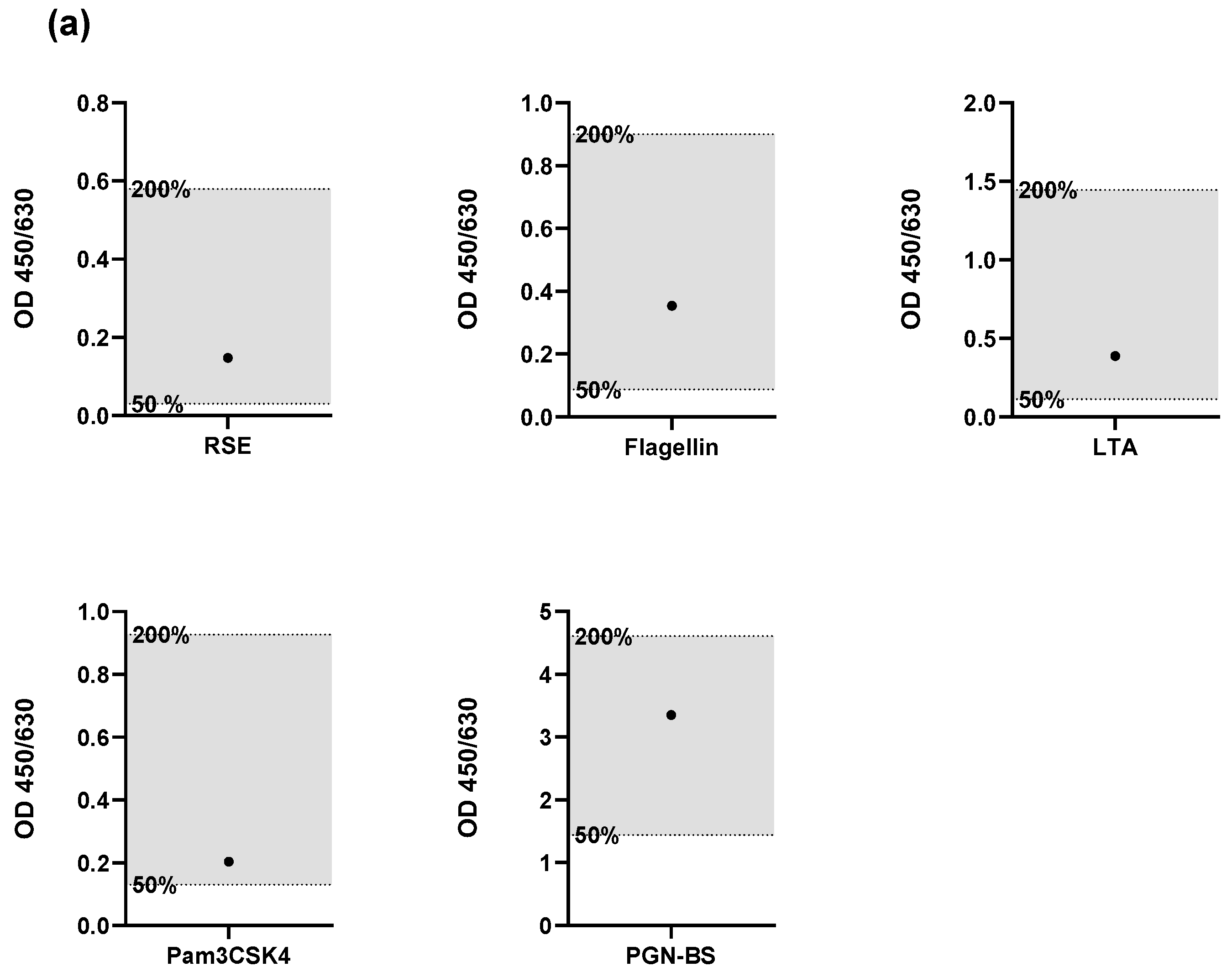
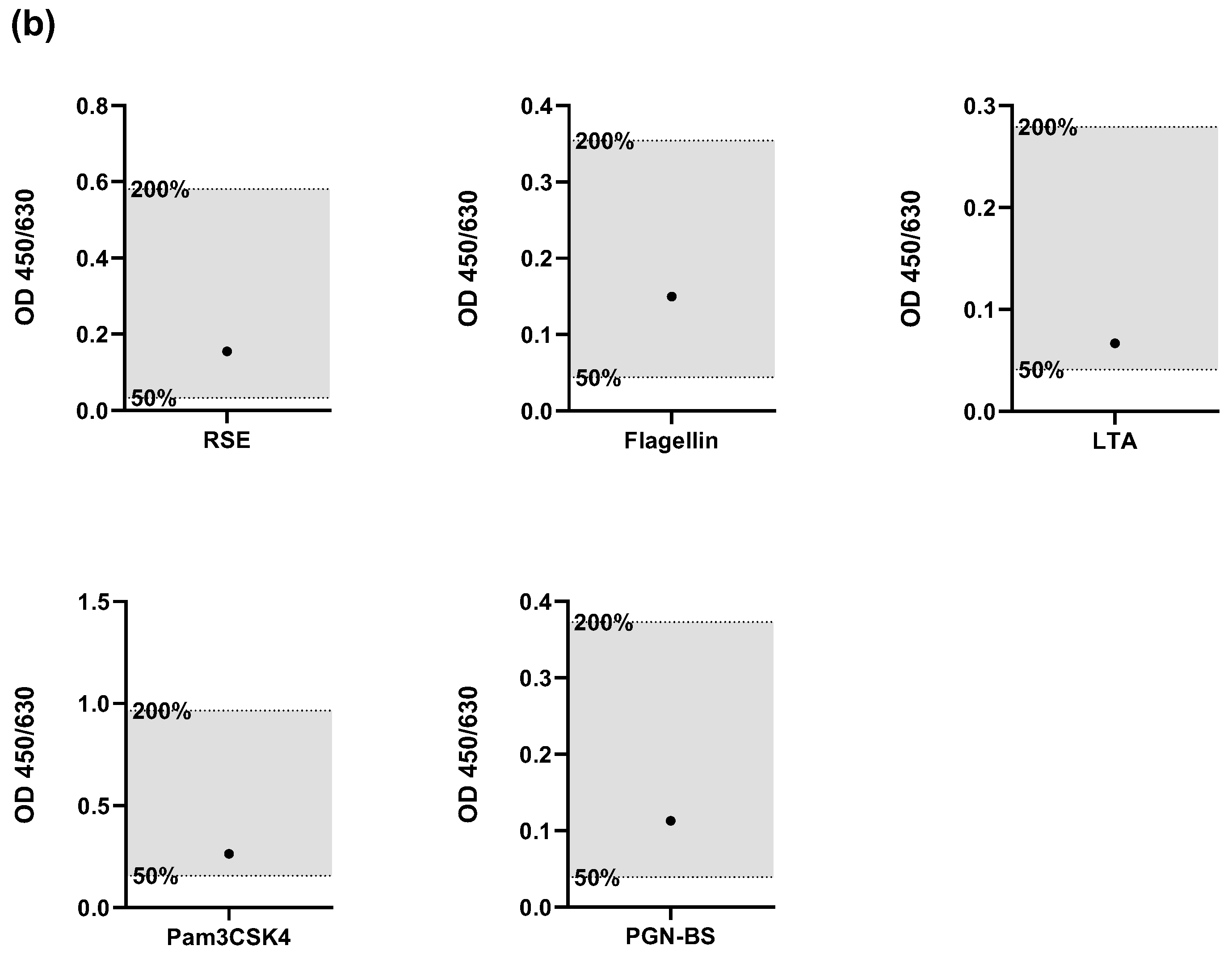
2.2.3. Correctness (Accuracy)
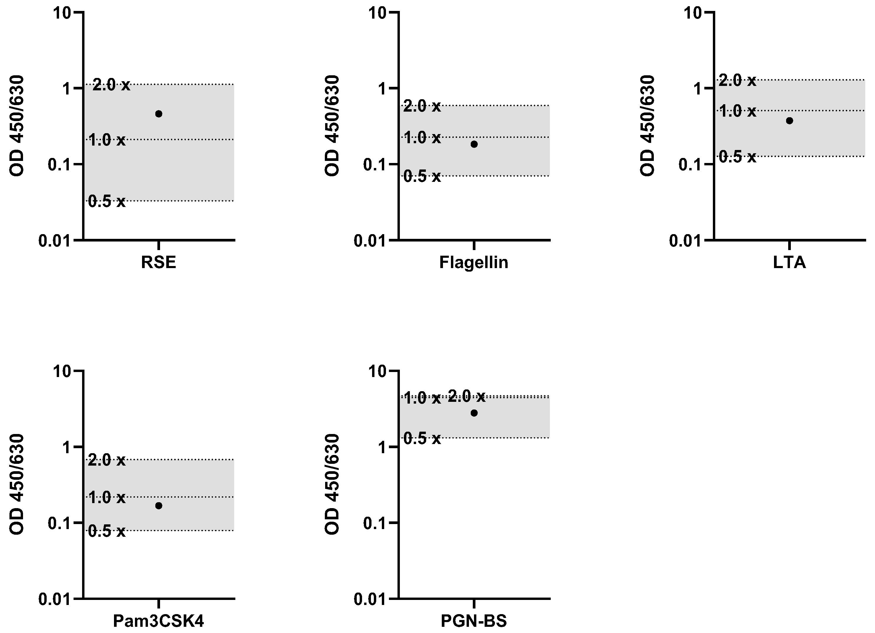
2.2.4. Specificity
2.2.5. Precision
- (i)
- Intra-assay Precision (Repeatability)
- (ii)
- Inter-assay Precision (ruggedness/intermediate Precision)
2.2.6. Robustness
- (i)
- Lot-to-Lot Comparability of the HaemoMAT® kit
- (ii)
- Robustness of the IL-6 measurement over time
- (iii)
- Robustness of thawing of PBMCs
- (iv)
- Robustness of stimulation time of PBMCs
- (v)
- Robustness of thawing of the cell culture plate
2.2.7. MAT–RPT Comparison
2.3. Product-Specific Verification
2.3.1. Test for Interfering Factors and Batch-to-Batch Comparability
2.3.2. Interference in the Detection System
2.4. Release Testing
3. Discussion
4. Materials and Methods
4.1. Materials and Reagents
4.2. Methods
4.2.1. Preparation of Endotoxin Standard Dilutions
4.2.2. Preparation of NEP Standard Dilutions
4.2.3. Preparation of Endotoxin and NEP for Spike Solutions
4.2.4. Preparation of NEP Samples (In-House NEPs)
4.2.5. Monocyte Activation Test
4.2.6. Statistical Analysis
- CLC = contaminant limit concentration: 2.5 EU/mL;
- C = concentration of test solution: 1;
- LOD = limit of detection.
Supplementary Materials
Author Contributions
Funding
Institutional Review Board Statement
Informed Consent Statement
Data Availability Statement
Acknowledgments
Conflicts of Interest
References
- Borton, L.K.; Coleman, K.P. Material-mediated pyrogens in medical devices: Applicability of the in vitro Monocyte Activation Test. ALTEX 2018, 35, 453–463. [Google Scholar] [CrossRef] [PubMed]
- Dinarello, C.A. Cytokines as endogenous pyrogens. J. Infect. Dis. 1999, 179 (Suppl. S2), S294–S304. [Google Scholar] [CrossRef] [PubMed]
- Kikkert, R.; de Groot, E.R.; Aarden, L.A. Cytokine induction by pyrogens: Comparison of whole blood, mononuclear cells, and TLR-transfectants. J. Immunol. Methods 2008, 336, 45–55. [Google Scholar] [CrossRef] [PubMed]
- Roslansky, P.F.; Novitsky, T.J. Sensitivity of Limulus amebocyte lysate (LAL) to LAL-reactive glucans. J. Clin. Microbiol. 1991, 29, 2477–2483. [Google Scholar] [CrossRef] [PubMed]
- Hartung, T. Comparison and validation of novel pyrogen tests based on the human fever reaction. Altern. Lab. Anim. ATLA 2002, 30 (Suppl. S2), 49–51. [Google Scholar] [CrossRef] [PubMed]
- Ochiai, M.; Yamamoto, A.; Naito, S.; Maeyama, J.-I.; Masumi, A.; Hamaguchi, I.; Horiuchi, Y.; Yamaguchi, K. Applicability of bacterial endotoxins test to various blood products by the use of endotoxin-specific lysates. Biologicals 2010, 38, 629–636. [Google Scholar] [CrossRef] [PubMed]
- Kumar, A. Animal-Based Testing Methods and Their Alternatives in Quality Control Evaluation of Biologicals. In Quality Control and Regulatory Aspects for Biologicals: Regulations and Best Practices; Misra, G., Ed.; CRC Press: Boca Raton, FL, USA, 2024; p. 82. [Google Scholar]
- Spoladore, J.; Gimenes, I.; Bachinski, R.; Negherbon, J.P.; Hartung, T.; Granjeiro, J.M.; Alves, G.G. Standardized pyrogen testing of medical products with the bacterial endotoxin test (BET) as a substitute for rabbit Pyrogen testing (RPT): A scoping review. Toxicol. Vitr. Int. J. Publ. Assoc. BIBRA 2021, 74, 105160. [Google Scholar] [CrossRef] [PubMed]
- Atlantic States Marine Fisheries Commission. Species Profile: Horseshoe crab. ASMFC Fish. Focus 2018, 27. Available online: https://www.google.com/url?sa=t&source=web&rct=j&opi=89978449&url=https://archive.asmfc.org/uploads/file/63fd0342FishFocusAugSept2018.pdf&ved=2ahUKEwiv9_7W2viQAxVbQPEDHW9AO5MQFnoECBoQAQ&usg=AOvVaw0ePAmTHzkQNJUF0ehSZHkD (accessed on 22 August 2025).
- European Directorate for the Quality of Medicines & HealthCare (Ed.) Ph. Eur.: Chapter 2.6.32: Test for Bacterial Endotoxins Using Recombinant Factor C, 10th ed.; Supplement 10.3; Council of Europe: Strasbourg, France, 2021. [Google Scholar]
- Di Paolo, A.; Liberti, R.; Anzalone, L.; Colabella, C.; Felici, A.; Severi, G.; Cagiola, M. Recombinant Factor C as an In Vitro Assay for the Residual Pathogenicity Evaluation of Veterinary Autogenous Vaccines. Vet. Sci. 2024, 11, 673. [Google Scholar] [CrossRef] [PubMed]
- European Directorate for the Quality of Medicines & HealthCare (Ed.) Ph. Eur.: Chapter 2.6.30 Monocyte-Activation Test, 11th ed.; Supplement 11.5; Council of Europe: Strasbourg, France, 2024. [Google Scholar]
- Hasiwa, N.; Daneshian, M.; Bruegger, P.; Fennrich, S.; Hochadel, A.; Hoffmann, S.; Rivera-Mariani, F.E.; Rockel, C.; Schindler, S.; Spreitzer, I.; et al. Evidence for the detection of non-endotoxin pyrogens by the whole blood monocyte activation test. ALTEX 2013, 30, 169–208. [Google Scholar] [CrossRef] [PubMed]
- European Directorate for the Quality of Medicines & HealthCare (Ed.) Ph. Eur.: General Chapter 5.1.13 Pyrogenicity, 11th ed.; Supplement 11.8; Council of Europe: Strasbourg, France, 2025. [Google Scholar]
- United States Pharmacopeial Convention. USP <1225> Validation of Compendial Procedures. Available online: https://www.ofnisystems.com/wp-content/uploads/2013/12/USP36_1225.pdf (accessed on 22 August 2025).
- European Directorate for the Quality of Medicines & HealthCare (Ed.) Ph. Eur.: Chapter 2.6.30 Monocyte-Activation Test, 10th ed.; Council of Europe: Strasbourg, France, 2020. [Google Scholar]
- International Council for Harmonisation of Technical Requirements for Pharmaceuticals for Human Use. ICH Q2(R2) Guideline on Validation of Analytical Procedures; ICH: Geneva, Switzerland, 2023. [Google Scholar]
- Kim, J.-H.; Jung, K.; Kim, J.; Lee, J.; Kim, H.; Song, H.; Han, K.; Park, S.; Ahn, C.; Kim, C.W. Development of a rabbit monocyte activation test as an alternative to the rabbit pyrogen test and its application in the analysis of plasma-derived products. Biologicals 2021, 71, 20–30. [Google Scholar] [CrossRef] [PubMed]
- Gimenes, I.; Caldeira, C.; Presgrave, O.A.F.; de Moura, W.C.; Boas, M.H.S.V. Assessment of pyrogenic response of lipoteichoic acid by the monocyte activation test and the rabbit pyrogen test. Regul. Toxicol. Pharmacol. 2015, 73, 356–360. [Google Scholar] [CrossRef] [PubMed]
- Diehl, K.H.; Hull, R.; Morton, D.; Pfister, R.; Rabemampianina, Y.; Smith, D.; Vidal, J.; Van De Vorstenbosch, C. A good practice guide to the administration of substances and removal of blood, including routes and volumes. J. Appl. Toxicol. 2001, 21, 15–23. [Google Scholar] [CrossRef] [PubMed]
- European Directorate for the Quality of Medicines & HealthCare (Ed.) Ph. Eur.: Chapter 2.6.40. Monocyte-Activation Test for Vaccines Containing Inherently Pyrogenic Components, 11th ed.; Supplement 11.5; Council of Europe: Strasbourg, France, 2024. [Google Scholar]
- Daniels, R.; Van der Elst, W.; Dieltjens, N.; Appels, T.; So, C.K.; Nys, T.; Voeten, L.; Breugelmans, P.; Molenaar-de Backer, M.W.A.; Gitz, E.; et al. Validation of the monocyte activation test with three therapeutic monoclonal antibodies. ALTEX 2022, 39, 621–635. [Google Scholar] [CrossRef] [PubMed]







| [EE/mL] | 1 × Spike | |
|---|---|---|
| RSE | 0.099 | 100% |
| LTA | 0.093 | 100% |
| Flagellin | 0.133 | 100% |
| Dilution | 1:37.5 (0.25 × MVD) | 1:75 (0.5 × MVD) | 1:150 (1 × MVD) |
|---|---|---|---|
| RSE | 73% | 80% | 81% |
| LTA | 128% | 117% | 119% |
| Flagellin | 115% | 116% | 117% |
| Status | Valid | Valid | Valid |
| OD (450–630 nm) | 0.5 × Spike (=50% Recovery) | 2 × Spike (=200% Recovery) |
|---|---|---|
| RSE | 0.029 | 3.305 |
| LTA | 0.051 | 0.707 |
| Flagellin | 0.15 | 1.26 |
| Dilution | 1:37.5 (0.25 × MVD) | 1:75 (0.5 × MVD) | 1:150 (1 × MVD) |
|---|---|---|---|
| Sample (without spike) | 0.02 | 0.015 | 0.015 |
| RSE | 0.08 | 0.11 | 0.11 |
| LTA | 0.33 | 0.26 | 0.28 |
| Flagellin | 0.64 | 0.66 | 0.67 |
| Status | Valid | Valid | Valid |
| RSE Standard Concentration | OD |
|---|---|
| 0.40 EU/mL | 2.663 |
| 0.20 EU/mL | 0.629 |
| 0.10 EU/mL | 0.128 |
| 0.050 EU/mL | 0.065 |
| 0.025 EU/mL | 0.062 |
| Lot Assay | A 1 | A 2 | B 1 | B 2 |
|---|---|---|---|---|
| LOQ (OD (RSE 0.050 EU/mL)) | 0.096 | 0.085 | 0.065 | 0.073 |
| Cut-off (OD (Blank) + 3 × SD OD (Blank)) | 0.080 | 0.064 | 0.037 | 0.052 |
| Specific acceptance criterion (Pass/ Fail) | Pass | Pass | Pass | Pass |
| Pyrogen | Intra-Assay CV [%] | ||
|---|---|---|---|
| 0.5× Dilution | 1× Dilution | 2× Dilution | |
| RSE | 6 | 7 | 12 |
| Flagellin | 6 | 3 | 6 |
| LTA | 8 | 8 | 11 |
| Pam3CSK4 | 9 | 7 | 10 |
| PGN-BS | 15 | 6 | 10 |
| Pyrogen | Inter-Assay CV [%] | ||
|---|---|---|---|
| 0.5× Dilution | 1× Dilution | 2× Dilution | |
| RSE | 32 | 29 | 31 |
| Flagellin | 27 | 18 | 30 |
| LTA | 26 | 29 | 40 |
| PGN-BS | 13 | 9 | 32 |
| Pyrogen | Exposure Dose Leading to Fever in Rabbits | Corresponding Concentration in the MAT a | NEP Concentrations Tested Using the HaemoMAT® | |||
|---|---|---|---|---|---|---|
| Conc. 1 | Conc. 2 | Conc. 3 | Conc. 4 | |||
| Reference Standard Endotoxin [18] | Administered: 10 EU/kg rabbit bodyweight Normalized: 0.18 mg/mL rabbit blood a | ≤0.18 EU/mL (corresponds to ≤0.0000216 mg/mL) | 0.1 EU/mL b | 0.05 EU/mL c | 0.025 EU/mL c | 0.0125 EU/mL c |
| LTA [18,19] | Administered: 20 mg/kg rabbit bodyweight Normalized: 0.35 mg/mL rabbit blood a | ≤0.35 mg/mL | 0.350 mg/mL b | 0.030 mg/mL d | 0.015 mg/mL d | 0.0075 mg/mL d |
| Administered: 75 mg/kg rabbit bodyweight Normalized: 1.315 mg/mL rabbit blood a | ||||||
| PGN [18] | Administered: 35 mg/kg rabbit bodyweight Normalized: 0.61 mg/mL rabbit blood a | ≤0.61 mg/mL | 0.610 mg/mL b | 0.122 mg/mL d | 0.061 mg/mL d | 0.0305 mg/mL d |
| Zymosan [16] | Administered: 14 mg/kg rabbit bodyweight Normalized: 0.25 mg/mL rabbit blood a | ≤0.25 mg/mL | 0.250 mg/mL b | 0.125 mg/mL d | 0.0625 mg/mL d | 0.0313 mg/mL d |
| Pyrogen | Conc. 1 | Conc. 2 | Conc. 3 | Conc. 4 |
|---|---|---|---|---|
| RSE | 3.250 | 0.560 | 0.132 | 0.067 |
| LTA | 4.603 | 0.110 | 0.052 | 0.041 |
| LTA (in-house) | 4.536 | 0.190 | 0.093 | 0.053 |
| PGN | 4.427 | 0.767 | 0.301 | 0.138 |
| PGN (in-house) | 4.066 | 0.322 | 0.131 | 0.060 |
| Zymosan | 4.464 | 2.926 | 1.054 | 0.322 |
| IL-6 [pg/mL] | OD (IL-6 Standard Concentration) | OD (IL-6 in Pre-Diluted Test Item) | Recovery in Pre-Diluted Test Item [%] |
|---|---|---|---|
| 13 | 0.492 | 0.479 | 97 |
| 6.3 | 0.273 | 0.257 | 94 |
| 3.1 | 0.169 | 0.167 | 99 |
| 0 | 0.072 | 0.069 | - |
| Batch | Results | RSE PPC |
|---|---|---|
| 1 | OD < LOQ | Pass |
| 2 | OD < LOQ | Pass |
| 3 | OD < LOQ | Pass |
| Endotoxin Standard Dilutions [EU/mL] | PPC Concentration [EU/mL] |
|---|---|
| 0.40 (=8× LOQ), 0.20 (=4× LOQ), 0.10 (=2× LOQ), 0.05 (=1× LOQ), 0.025 (=0.5× LOQ) | 0.10 |
| Type | Run Acceptance Criteria |
|---|---|
| Endotoxin standard dilution | The signals of the endotoxin standard dilutions must decrease gradually with increased dilution 1 |
| Blank | The signal of the blank must be equal to or below OD 0.10 1 |
| Cut-off value of the blank | The cut-off value of the blank (corresponding to LOD) must be below the signal of the LOQ (=OD (0.05 EU/mL)) 1 |
| NEP controls | The signals of the NEP controls must be above the signal of the 2× LOQ endotoxin standard dilution (0.10 EU/mL) 2 |
| IL-6 control | The signal of the IL-6 control must be above OD 1.8 2 |
| Signal to noise | The signal-to-noise ratio of the 2× LOQ endotoxin standard dilution (0.10 EU/mL) must be below 100 2 |
| CV | The CV of standards and controls must be ≤30% |
| Type | Sample Acceptance Criteria |
|---|---|
| CV | The CV of samples and PPC must be ≤30% |
| Spike recovery | OD of samples spiked with endotoxins or non-endotoxin pyrogens must be 50% to 200% of the respective standard dilution. |
Disclaimer/Publisher’s Note: The statements, opinions and data contained in all publications are solely those of the individual author(s) and contributor(s) and not of MDPI and/or the editor(s). MDPI and/or the editor(s) disclaim responsibility for any injury to people or property resulting from any ideas, methods, instructions or products referred to in the content. |
© 2025 by the authors. Licensee MDPI, Basel, Switzerland. This article is an open access article distributed under the terms and conditions of the Creative Commons Attribution (CC BY) license (https://creativecommons.org/licenses/by/4.0/).
Share and Cite
Burgmaier, L.; van den Berg, J.; Gajewi, M.; Röder, R.; Reich, J.; Deutschmann, S.M. Validation of the Monocyte Activation Test Demonstrating Equivalence to the Rabbit Pyrogen Test. Int. J. Mol. Sci. 2025, 26, 11136. https://doi.org/10.3390/ijms262211136
Burgmaier L, van den Berg J, Gajewi M, Röder R, Reich J, Deutschmann SM. Validation of the Monocyte Activation Test Demonstrating Equivalence to the Rabbit Pyrogen Test. International Journal of Molecular Sciences. 2025; 26(22):11136. https://doi.org/10.3390/ijms262211136
Chicago/Turabian StyleBurgmaier, Luisa, Jonas van den Berg, Maria Gajewi, Ruth Röder, Johannes Reich, and Sven M. Deutschmann. 2025. "Validation of the Monocyte Activation Test Demonstrating Equivalence to the Rabbit Pyrogen Test" International Journal of Molecular Sciences 26, no. 22: 11136. https://doi.org/10.3390/ijms262211136
APA StyleBurgmaier, L., van den Berg, J., Gajewi, M., Röder, R., Reich, J., & Deutschmann, S. M. (2025). Validation of the Monocyte Activation Test Demonstrating Equivalence to the Rabbit Pyrogen Test. International Journal of Molecular Sciences, 26(22), 11136. https://doi.org/10.3390/ijms262211136

