The Role of Chitosan-Based Materials in Interactions with Antibiotics: An Overview of In Vitro and In Silico Studies
Abstract
1. Introduction
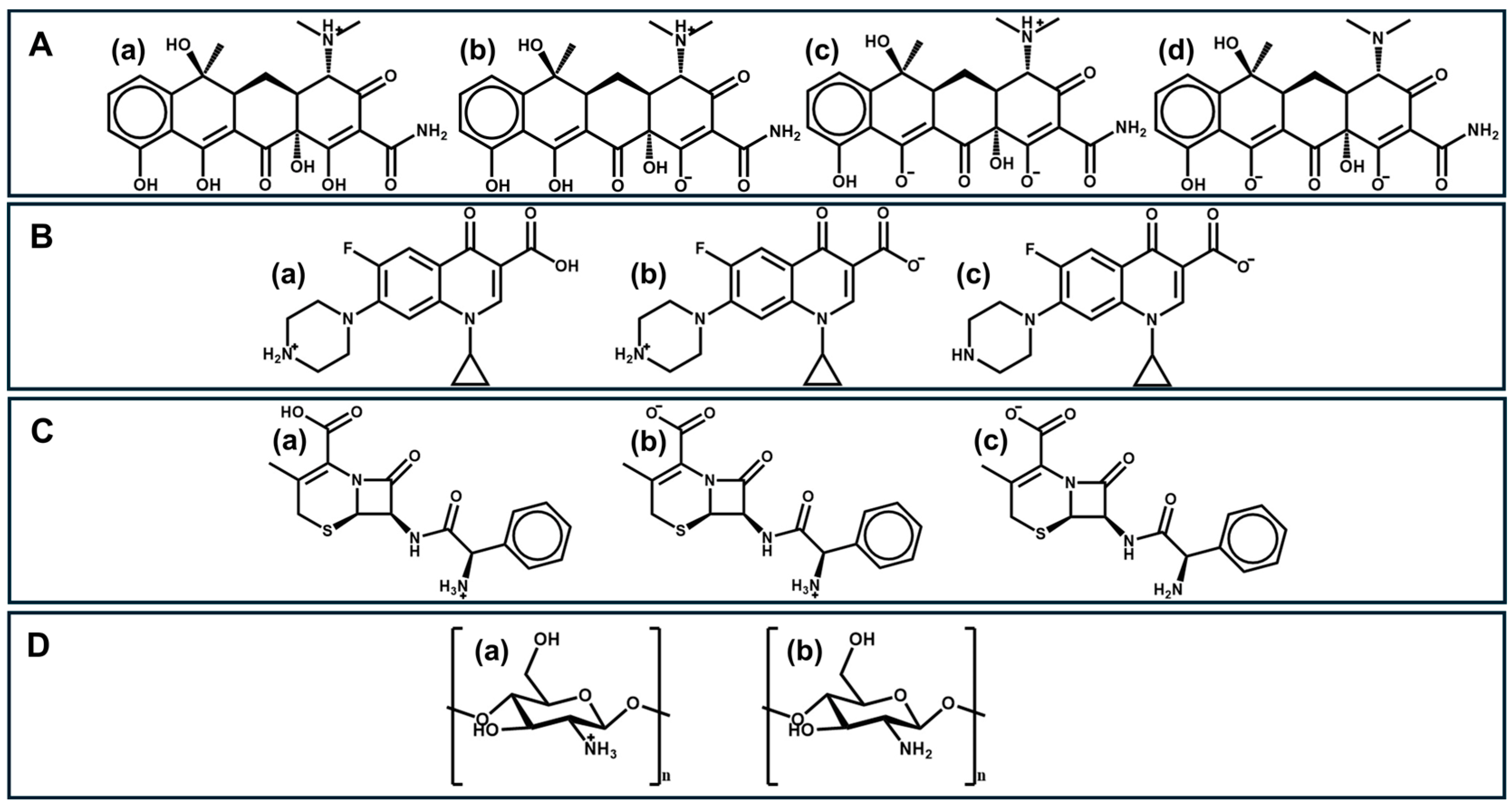
2. Antibiotics
| Classes | Antibiotics | Medical Uses |
|---|---|---|
| β-lactam | Penicillins amoxicillin, ampicillin, penicillin G, oxacillin, cloxacillin Cephalosporins First-generation: cefazolin, cephalothin, cephapirin, cephradine, cefadroxil, and cephalexin. Second-generation: cefuroxime, cefmetazole, cefotetan, and cefoxitin. Third-generation: cefotaxime, ceftazidime, cefdinir, ceftriaxone, cefpodoxime, and cefixime. Fourth-generation: cefepime, cefozopran, cefpirome, and ceftaroline. | Used in the prevention and treatment of bacterial infections, such as otitis media, prophylaxis, respiratory infections, and skin and urinary infections, caused by Gram-positive and Gram-negative bacteria [60]. |
| Sulfonamides | Sulfamethoxazole, sulfisoxazole, sulfacetamide, sulfadiazine, sulfadimethoxine, sulfaguanidine, sulfamerazine, sulfamethazine, sulfapyridine, and sulfathiazole. | Wide-spectrum drugs active against a range of bacterial species, both Gram-positive and Gram-negative. They work by interfering with the synthesis of folic acid in bacteria. They can be used to treat gastrointestinal and respiratory tract infections [61]. |
| Macrolides | Clarithromycin, erythromycin, roxithromycin, azithromycin, tylosin, and clindamycin | Used successfully in the treatment of infectious diseases in humans and animals involving the upper and lower respiratory tract, the skin, and skin structures. These antibiotics are active against aerobic and anaerobic Gram-positive bacteria [62,63]. |
| Tetracyclines | First-generation: tetracycline, oxytetracycline, and chlortetracycline. Second-generation: doxycycline and minocycline. Third-generation: tigecycline, omadacycline, and eravacycline | Activity against a wide range of microorganisms including Gram-positive and Gram-negative bacteria, chlamydiota, mycoplasmatota, rickettsiae, and protozoan parasites. Used to treat bacterial infections of skin, intestines, respiratory and urinary tracts, lymph nodes, etc. [48] |
| Quinolones | First-generation: Nalidixic acid and pipemidic acid. Second-generation: Ciprofloxacin, Ofloxacin, Norfoxacin, Lomefloxacin, Enoxacin, and Fleroxacin. Third-generation: levofloxacin, gatifloxacin, and sparfloxacin Fourth-generation: trovafloxacin, moxifloxacin, and gemifloxacin | Often used for genitourinary infections and are widely used in the treatment of hospital-acquired infections associated with urinary catheters and pneumonia [64]. |
3. Chitosan-Based Adsorbents
3.1. Chemical Modification of Chitosan for Adsorption Applications
3.2. Chitosan-Based Materials
| Adsorbent | Adsorption Interactions | qmax (mg/g) | pH | Ref. |
|---|---|---|---|---|
| Nitrilotriacetic acid-modified magnetic chitosan microspheres (NDMCMs) | π-π interactions, cation-π bond, hydrogen bond, and amidation reaction | 373.5 | 8 | [71] |
| Fe3O4@SiO2-Chitosan/GO (MSCG) | Electrostatic interactions and π-π interactions. Cu(II) also acts as a bridge | n.r. | 6–7 | [72] |
| Chitosan, thiobarbituric acid, malondialdehyde, and Fe3O4 nanoparticles (CTM@Fe3O4) | π-π and hydrogen-bonding interactions | 215.31 | 7 | [73] |
| CuCoFe2O4@Chitosan | Electrostatic interaction | n.r. | 3 | [66] |
| Carbon disulfide-modified magnetic ion-imprinted chitosan-Fe(III), (MMIC-Fe(III) composite) 1 | Electrostatic interactions and hydrogen bond interactions. Tetracycline or Cd(II) could act as a bridge | 516.29 | 8 | [74] |
| Functionalized zero-valent iron/walnut shell composite (CS-WS-NZVI) | n.r. | n.r. | 6 | [75] |
| Chitosan, diphenylurea, and formaldehyde with magnetic nanoparticles (MnFe2O4), (CDF@MF) | van der Waals forces, π–π stacking interactions, and hydrogen-bonding interactions | 168.24 | 6 | [76] |
| Biochar modified by Chitosan and Fe/S (BCFe/S) | Electrostatic attraction, π-π stacking, pore filling, silicate bonding, hydrogen-bonding, chelating, and ion exchange | 183.01 | 5 | [77] |
| Calcined chitosan (CS)-supported layered double hydroxides 2 | Electrostatic interactions | 195.31 | 9 | [78] |
| Magnetic chitosan-g-poly(2-acrylamide-2-methylpropanesulfonic acid) (CTS-g-AMPS) porous adsorbent 3 | Electrostatic attraction, hydrogen-bonding | 806.60 | 3 | [79] |
| Glutaraldehyde-cross-linked electrospun nanofibers of chitosan/poly(vinyl alcohol) (GCCPN) | Electrostatic interactions | 102 | 6 | [80] |
| Na-montmorillonite (Na-Mt) with carboxymethyl-chitosan (CMC) (CMC-Mt) 3 | Electrostatic interactions | 48.10 | 4–6 | [81] |
| NiFe2O4-COF-chitosan-terephthalaldehyde nanocomposites film (NCCT) 4 | Cation exchange, electrostatic attraction, hydrogen-bonding, and π–π interactions | 246.41 | 8 | [82] |
| Chitosan–kaolin (Cs-k-Fe3O4) | n.r. | 28.3 | 5–8 | [83] |
| Zinc ferrite/chitosan–curdlan (ZNF/CHT-CRD) | Electrostatic interactions, hydrogen bond, Yoshida, and dipole–dipole hydrogen and cation-π interactions | 371.42 | 6 | [84] |
| Magnetic chitosan (CS·Fe3O) | Hydrogen bonds and cation–π interactions | 211.21 | 7 | [85] |
| MIL101(Fe)/ZnO chitosan | π -π interactions | 31.12 | 6.55 | [86] |
| ZIF-8-chitosan composite | Electrostatic interaction, π-π stacking interaction, and hydrogen-bonding | 495.04 | 9 | [87] |
| Chitosan-supported layered double hydroxide calcined at 400 °C (CSLDO400) 2 | Electrostatic interactions | 195.31 | 9 | [88] |
| Magnetic nanocomposite (CS/N-zeolite/Fe3O4/MOF-808) | Electrostatic interaction, π-π stacking interactions and hydrogen-bonding, cationic-π interactions, and Lewis acid–base interactions | 31.69 | 7 | [89] |
| Chitosan-functionalized MIL-101@CNM (Ch/MIL-101@CNM) composites | Electrostatic interaction, π-π stacking interactions, and hydrogen-bonding | 33.77 | 6.51 | [90] |
| Biochar derived from chitosan modified with ammonium persulfate (APS) and acetic acid (APS@CHI-1:3) 3,5 | Electrostatic interactions, π-π stacking interactions, hydrogen-bonding, and Lewis acid–base interactions | 851.5 | 5 | [91] |
| Adsorbent | Adsorption Interactions | qmax (mg/g) | pH | Ref. |
|---|---|---|---|---|
| Chitosan/biochar hydrogel beads (CBHB) | π-π electron donor–acceptor (EDA) interactions, hydrogen-bonding, and hydrophobic interactions | 76.00 | 3 | [92] |
| Chitosan–biochar beads (CH-BB) 1 | n.r. | 1.49 ± 0.06 | n.r. | [93] |
| Titanium-biochar/chitosan hydrogel beads (TBCB) | n.r. | 50.916 | 9 | [94] |
| Humic acid-biochar/chitosan hydrogel beads (HBCB) | Hydrogen-bonding, π-π electron donor–acceptor (EDA) interactions, and hydrophobic interactions | 154.89 | 8 | [95] |
| Chitosan-grafted SiO2/Fe3O4 (Chi-SiO2/Fe3O4) | n.r. | 100.74 | 12 | [96] |
| Sodium lignosulfonate/chitosan@ZIF-8 (SLS/CS@ZIF-8) | Electrostatic interactions, hydrogen-bonding interactions, and π-π interactions | 413 | 6–9 | [97] |
| Fe3O4@MIL101(Fe) chitosan composite beads 2 | π-π interactions, H-bonding, and electrostatic interaction | 31.30 | 9 | [98] |
| Magnetite-imprinted chitosan polymer nanocomposites (Fe-CS NCs) | Electrostatic interactions and hydrophobic interactions | 142 | 6.5 | [99] |
| Nanocomposites of hydroxyapatite (HAP), chitosan (CT), and magnetite (MNP) | n.r. | 0.517 | n.r. | [100] |
| Aluminosilicates-grafted chitosan (Al2O3@SiO2-chitosan) | n.r. | 31 | 5.77 | [101] |
| Magnesium oxide, chitosan, and graphene oxide (MgO/Chit/GO) nanosheets 3 | Electrostatic interactions and π-π interactions | 1111 | 7 | [102] |
| Zn(II)-impregnated chitosan/graphene oxide composite (Zn(II)-CS/GO) | Electrostatic interactions and π-π interactions | 210.96 | 6.5 | [103] |
| Superparamagnetic (Fe3O4-MoS2@CS) nanomaterials 5 | Electrostatic interactions and hydrophobic interactions | 190.7 | 7 | [104] |
| Granular hydrogel prepared from chitosan as the grafted backbone and acrylic acid as the polymerizable monomer (3D structured hydrogel CTS-PAA) 4 | Electrostatic interactions | 267.7 | 3 | [105] |
| Chitosan-derived carbon–smectite nanocomposite with cobalt (H_Co/C-S) | Electrostatic interactions, hydrogen-bonding, and π-π interactions | 72.3 | 6 | [106] |
| EDTA-functionalized β-cyclodextrin-chitosan (β-CD-CS-EDTA) composite) 6 | Chelation, electrostatic interactions, and host–guest inclusion interactions | 25.40 | 4.30 | [107] |
| Magnetic chitosan@Ag-MWCN nanocomposite | Electrostatic interactions, hydrogen-bonding, and π-π interactions | 31.26 | 9 | [108] |
| 5/Ag/BZO/Cht composites | n.r. | 95 | 9 | [109] |
| Magnetic selenium-based metal–organic framework (MSe-MOF) incorporated into chitosan/alginate biopolymer hydrogel beads (MSCA) | Electrostatic interactions, hydrogen-bonding, ion exchange, and pore filling | 440 | 8 | [110] |
3.2.1. Chitosan-Based Polymer Composites
3.2.2. Magnetic and Porous Composites
3.2.3. Biochar and Graphene Oxide
3.2.4. Regeneration and Reuse of Chitosan-Based Composites
4. Dependence of Adsorption on the Physical Chemistry Parameters
4.1. Tetracycline
4.2. Ciprofloxacin
5. Application of Computational Methods
6. Conclusions and Future Perspective
Author Contributions
Funding
Institutional Review Board Statement
Informed Consent Statement
Data Availability Statement
Conflicts of Interest
References
- Faghihinia, M.; Xu, Y.; Liu, D.; Wu, N. Freshwater Biodiversity at Different Habitats: Research Hotspots with Persistent and Emerging Themes. Ecol. Indic. 2021, 129, 107926. [Google Scholar] [CrossRef]
- Deblonde, T.; Cossu-Leguille, C.; Hartemann, P. Emerging Pollutants in Wastewater: A Review of the Literature. Int. J. Hyg. Environ. Health 2011, 214, 442–448. [Google Scholar] [CrossRef] [PubMed]
- Mishra, R.K.; Mentha, S.S.; Misra, Y.; Dwivedi, N. Emerging Pollutants of Severe Environmental Concern in Water and Wastewater: A Comprehensive Review on Current Developments and Future Research. Water-Energy Nexus 2023, 6, 74–95. [Google Scholar] [CrossRef]
- Bayabil, H.K.; Teshome, F.T.; Li, Y.C. Emerging Contaminants in Soil and Water. Front. Environ. Sci. 2022, 10, 873499. [Google Scholar] [CrossRef]
- Wilkinson, J.L.; Boxall, A.B.A.; Kolpin, D.W.; Leung, K.M.Y.; Lai, R.W.S.; Galban-Malag, C.; Adell, A.D.; Mondon, J.; Metian, M.; Marchant, R.A.; et al. Pharmaceutical Pollution of the World’s Rivers. Supplementary Material, S04. Proc. Natl. Acad. Sci. USA 2022, 119, 2113947119. [Google Scholar] [CrossRef]
- Valdez-Carrillo, M.; Abrell, L.; Ramírez-Hernández, J.; Reyes-López, J.A.; Carreón-Diazconti, C. Pharmaceuticals as Emerging Contaminants in the Aquatic Environment of Latin America: A Review. Environ. Sci. Pollut. Res. 2020, 27, 44863–44891. [Google Scholar] [CrossRef]
- Peña-Guzmán, C.; Ulloa-Sánchez, S.; Mora, K.; Helena-Bustos, R.; Lopez-Barrera, E.; Alvarez, J.; Rodriguez-Pinzón, M. Emerging Pollutants in the Urban Water Cycle in Latin America: A Review of the Current Literature. J. Environ. Manag. 2019, 237, 408–423. [Google Scholar] [CrossRef]
- Patel, N.; Khan, Z.A.; Shahane, S.; Rai, D.; Chauhan, D.; Kant, C.; Chaudhary, V.K. Emerging Pollutants in Aquatic Environment: Source, Effect, and Challenges in Biomonitoring and Bioremediation—A Review. Pollution 2020, 6, 99–113. [Google Scholar]
- Monahan, C.; Nag, R.; Morris, D.; Cummins, E. Antibiotic Residues in the Aquatic Environment–Current Perspective and Risk Considerations. J. Environ. Sci. Health Part A 2021, 56, 733–751. [Google Scholar] [CrossRef]
- Rodriguez-Mozaz, S.; Vaz-Moreira, I.; Varela Della Giustina, S.; Llorca, M.; Barceló, D.; Schubert, S.; Berendonk, T.U.; Michael-Kordatou, I.; Fatta-Kassinos, D.; Martinez, J.L.; et al. Antibiotic Residues in Final Effluents of European Wastewater Treatment Plants and Their Impact on the Aquatic Environment. Environ. Int. 2020, 140, 105733. [Google Scholar] [CrossRef]
- Gulkowska, A.; Leung, H.W.; So, M.K.; Taniyasu, S.; Yamashita, N.; Yeung, L.W.Y.; Richardson, B.J.; Lei, A.P.; Giesy, J.P.; Lam, P.K.S. Removal of Antibiotics from Wastewater by Sewage Treatment Facilities in Hong Kong and Shenzhen, China. Water Res. 2008, 42, 395–403. [Google Scholar] [CrossRef]
- Mohapatra, S.; Huang, C.H.; Mukherji, S.; Padhye, L.P. Occurrence and Fate of Pharmaceuticals in WWTPs in India and Comparison with a Similar Study in the United States. Chemosphere 2016, 159, 526–535, Erratum in Chemosphere 2023, 322, 138161. [Google Scholar] [CrossRef]
- Watkinson, A.J.; Murby, E.J.; Costanzo, S.D. Removal of Antibiotics in Conventional and Advanced Wastewater Treatment: Implications for Environmental Discharge and Wastewater Recycling. Water Res. 2007, 41, 4164–4176. [Google Scholar] [CrossRef]
- Wang, J.; Mao, D.; Mu, Q.; Luo, Y. Fate and Proliferation of Typical Antibiotic Resistance Genes in Five Full-Scale Pharmaceutical Wastewater Treatment Plants. Sci. Total Environ. 2015, 526, 366–373. [Google Scholar] [CrossRef]
- ECDC. Antimicrobial Consumption in the EU/EEA (ESAC-Net) Annual Report 2021; European Centre for Disease Prevention and Control: Stockholm, Sweden, 2021; pp. 1–25.
- Xu, L.; Ceolotto, N.; Jagadeesan, K.; Standerwick, R.; Robertson, M.; Barden, R.; Lambert, H.; Kasprzyk-Hordern, B. Building Bridges to Operationalize One Health—A Longitudinal Two Years’ AMR Study in England Using Clinical and Wastewater-Based Surveillance Approaches. J. Glob. Antimicrob. Resist. 2025, 43, 256–263. [Google Scholar] [CrossRef]
- Robeco Institutional Asset Management B.V. Stewardship Report. 2021.; Verberk, V., Ed.; Robeco: Rotterdam, The Netherlands, 2021; pp. 1–87. Available online: https://www.robeco.com/files/docm/docu-202204-robeco-stewardship-report-2021.pdf (accessed on 2 October 2025).
- Zhang, Q.Q.; Ying, G.G.; Pan, C.G.; Liu, Y.S.; Zhao, J.L. Comprehensive Evaluation of Antibiotics Emission and Fate in the River Basins of China: Source Analysis, Multimedia Modeling, and Linkage to Bacterial Resistance. Environ. Sci. Technol. 2015, 49, 6772–6782. [Google Scholar] [CrossRef] [PubMed]
- Liu, N.; Jin, X.; Feng, C.; Wang, Z.; Wu, F.; Johnson, A.C.; Xiao, H.; Hollert, H.; Giesy, J.P. Ecological Risk Assessment of Fifty Pharmaceuticals and Personal Care Products (PPCPs) in Chinese Surface Waters: A Proposed Multiple-Level System. Environ. Int. 2020, 136, 105454. [Google Scholar] [CrossRef] [PubMed]
- Shigei, M.; Assayed, A.; Hazaymeh, A.; Dalahmeh, S.S. Pharmaceutical and Antibiotic Pollutant Levels in Wastewater and the Waters of the Zarqa River, Jordan. Appl. Sci. 2021, 11, 8638. [Google Scholar] [CrossRef]
- Malcom, H.B.; Bowes, D.A. Use of Wastewater to Monitor Antimicrobial Resistance Trends in Communities and Implications for Wastewater-Based Epidemiology: A Review of the Recent Literature. Microorganisms 2025, 13, 2073. [Google Scholar] [CrossRef] [PubMed]
- Odonkor, S.T.; Addo, K.K. Prevalence of Multidrug-Resistant Escherichia Coli Isolated from Drinking Water Sources. Int. J. Microbiol. 2018, 2018, 7. [Google Scholar] [CrossRef]
- Medina, E.; Pieper, D.H. Tackling Threats and Future Problems of Multidrug-Resistant Bacteria. In How to Overcome the Antibiotic Crisis; Springer International Publishing: Cham, Switzerland, 2016; Volume 338, pp. 3–33. [Google Scholar]
- Andersson, D.I.; Hughes, D. Microbiological Effects of Sublethal Levels of Antibiotics. Nat. Rev. Microbiol. 2014, 12, 465–478. [Google Scholar] [CrossRef]
- Huang, A.; Yan, M.; Lin, J.; Xu, L.; Gong, H.; Gong, H. A Review of Processes for Removing Antibiotics from Breeding Wastewater. Int. J. Environ. Res. Public Health 2021, 18, 4909. [Google Scholar] [CrossRef]
- Saha, D.; Barakat, S.; Van Bramer, S.E.; Nelson, K.A.; Hensley, D.K.; Chen, J. Noncompetitive and Competitive Adsorption of Heavy Metals in Sulfur-Functionalized Ordered Mesoporous Carbon. ACS Appl. Mater. Interfaces 2016, 8, 34132–34142. [Google Scholar] [CrossRef]
- Prasse, C.; Stalter, D.; Schulte-Oehlmann, U.; Oehlmann, J.; Ternes, T.A. Spoilt for Choice: A Critical Review on the Chemical and Biological Assessment of Current Wastewater Treatment Technologies. Water Res. 2015, 87, 237–270. [Google Scholar] [CrossRef]
- Rashid, R.; Shafiq, I.; Akhter, P.; Iqbal, M.J.; Hussain, M. A State-of-the-Art Review on Wastewater Treatment Techniques: The Effectiveness of Adsorption Method. Environ. Sci. Pollut. Res. 2021, 28, 9050–9066. [Google Scholar] [CrossRef] [PubMed]
- Chen, Q.; Zheng, J.; Xu, J.; Dang, Z.; Zhang, L. Insights into Sulfamethazine Adsorption Interfacial Interaction Mechanism on Mesoporous Cellulose Biochar: Coupling DFT/FOT Simulations with Experiments. Chem. Eng. J. 2019, 356, 341–349. [Google Scholar] [CrossRef]
- Das, S.; Sengupta, S. Sustainable Removal of Antibiotic Drugs from Wastewater Using Different Adsorbents—A Concise Review. Water Conserv. Sci. Eng. 2023, 8, 10. [Google Scholar] [CrossRef]
- Ahmed, M.J. Adsorption of Quinolone, Tetracycline, and Penicillin Antibiotics from Aqueous Solution Using Activated Carbons: Review. Environ. Toxicol. Pharmacol. 2017, 50, 1–10. [Google Scholar] [CrossRef]
- Yu, F.; Li, Y.; Han, S.; Ma, J. Adsorptive Removal of Antibiotics from Aqueous Solution Using Carbon Materials. Chemosphere 2016, 153, 365–385. [Google Scholar] [CrossRef] [PubMed]
- Yu, R.; Yu, X.; Xue, B.; Liao, J.; Zhu, W.; Tian, S. Adsorption of Chlortetracycline from Aquaculture Wastewater Using Modified Zeolites. J. Environ. Sci. Health Part A 2020, 55, 573–584. [Google Scholar] [CrossRef] [PubMed]
- de Sousa, D.N.R.; Insa, S.; Mozeto, A.A.; Petrovic, M.; Chaves, T.F.; Fadini, P.S. Equilibrium and Kinetic Studies of the Adsorption of Antibiotics from Aqueous Solutions onto Powdered Zeolites. Chemosphere 2018, 205, 137–146. [Google Scholar] [CrossRef] [PubMed]
- Fernández, A.M.L.; Rendueles, M.; Díaz, M. Sulfamethazine Retention from Water Solutions by Ion Exchange with a Strong Anionic Resin in Fixed Bed. Sep. Sci. Technol. 2014, 49, 1366–1378. [Google Scholar] [CrossRef]
- Hacıosmanoğlu, G.G.; Mejías, C.; Martín, J.; Santos, J.L.; Aparicio, I.; Alonso, E. Antibiotic Adsorption by Natural and Modified Clay Minerals as Designer Adsorbents for Wastewater Treatment: A Comprehensive Review. J. Environ. Manag. 2022, 317, 115397. [Google Scholar] [CrossRef]
- Qi, X.; Tong, X.; Pan, W.; Zeng, Q.; You, S.; Shen, J. Recent Advances in Polysaccharide-Based Adsorbents for Wastewater Treatment. J. Clean. Prod. 2021, 315, 128221. [Google Scholar] [CrossRef]
- Na, Y.; Lee, J.; Lee, S.H.; Kumar, P.; Kim, J.H.; Patel, R. Removal of Heavy Metals by Polysaccharide: A Review. Polym. Technol. Mater. 2020, 59, 1770–1790. [Google Scholar] [CrossRef]
- Vakili, M.; Rafatullah, M.; Salamatinia, B.; Abdullah, A.Z.; Ibrahim, M.H.; Tan, K.B.; Gholami, Z.; Amouzgar, P. Application of Chitosan and Its Derivatives as Adsorbents for Dye Removal from Water and Wastewater: A Review. Carbohydr. Polym. 2014, 113, 115–130. [Google Scholar] [CrossRef]
- Wang, B.; Zhang, W.; Li, L.; Guo, W.; Xing, J.; Wang, H.; Hu, X.; Lyu, W.; Chen, R.; Song, J.; et al. Novel Talc Encapsulated Lanthanum Alginate Hydrogel for Efficient Phosphate Adsorption and Fixation. Chemosphere 2020, 256, 127124. [Google Scholar] [CrossRef]
- Ramakrishnan, R.K.; Padil, V.V.T.; Škodová, M.; Wacławek, S.; Černík, M.; Agarwal, S. Hierarchically Porous Bio-Based Sustainable Conjugate Sponge for Highly Selective Oil/Organic Solvent Absorption. Adv. Funct. Mater. 2021, 31, 2100640. [Google Scholar] [CrossRef]
- Ghiorghita, C.A.; Dinu, M.V.; Lazar, M.M.; Dragan, E.S. Polysaccharide-Based Composite Hydrogels as Sustainable Materials for Removal of Pollutants from Wastewater. Molecules 2022, 27, 8574. [Google Scholar] [CrossRef]
- Ilurdoz, M.S.D.; Sadhwani, J.J.; Reboso, J.V. Antibiotic Removal Processes from Water & Wastewater for the Protection of the Aquatic Environment—A Review. J. Water Process Eng. 2022, 45, 102474. [Google Scholar]
- Browne, A.J.; Chipeta, M.G.; Haines-woodhouse, G.; Kumaran, E.P.A.; Hamadani, B.H.K.; Zaraa, S.; Hay, S.I.; Dolecek, C. Global Antibiotic Consumption and Usage in Humans, 2000–18: A Spatial Modelling Study. Lancet Planet. Health 2000, 5, e893–e904. [Google Scholar] [CrossRef] [PubMed]
- Versporten, A.; Bruyndonckx, R.; Adriaenssens, N.; Hens, N.; Monnet, D.L.; Molenberghs, G.; Goossens, H.; Weist, K.; Coenen, S. Consumption of Tetracyclines, Sulphonamides and Trimethoprim, and Other Antibacterials in the Community, European Union/European Economic Area, 1997–2017. J. Antimicrob. Chemother. 2021, 76, ii45–ii59. [Google Scholar] [CrossRef]
- Carvalho, I.T.; Santos, L. Antibiotics in the Aquatic Environments: A Review of the European Scenario. Environ. Int. 2016, 94, 736–757. [Google Scholar] [CrossRef]
- Versporten, A.; Bruyndonckx, R.; Adriaenssens, N.; Hens, N.; Monnet, D.L.; Molenberghs, G.; Goossens, H.; Weist, K.; Coenen, S. Consumption of Cephalosporins in the Community, European Union/European Economic Area, 1997–2017. J. Antimicrob. Chemother. 2021, 76, ii22–ii29. [Google Scholar] [CrossRef]
- Ahmad, F.; Zhu, D.; Sun, J. Environmental Fate of Tetracycline Antibiotics: Degradation Pathway Mechanisms, Challenges, and Perspectives. Environ. Sci. Eur. 2021, 33, 64, Correction in Environ. Sci. Eur. 2021, 33, 71. [Google Scholar]
- Stezowski, J.J. Chemical-Structural Properties of Tetracycline Derivatives. 1. Molecular Structure and Conformation of the Free Base Derivatives. J. Am. Chem. Soc. 1976, 98, 6012–6018. [Google Scholar] [CrossRef]
- Pham, T.D.M.; Ziora, Z.M.; Blaskovich, M.A.T. Quinolone Antibiotics. MedChemComm 2019, 10, 1719–1739. [Google Scholar] [CrossRef] [PubMed]
- Adaobi, C.; Oba, S.N.; Aniagor, C.O.; George, A.; Ighalo, J.O. Adsorption of Ciprofloxacin from Water: A Comprehensive Review. J. Ind. Eng. Chem. 2021, 93, 57–77. [Google Scholar] [CrossRef]
- Sharma, P.C.; Jain, A.; Jain, S.; Pahwa, R.; Yar, M.S. Ciprofloxacin: Review on Developments in Synthetic, Analytical, and Medicinal Aspects Ciprofloxacin: Review on Developments in Synthetic, Analytical, and Medicinal Aspects. J. Enzym. Inhib. Med. Chem. 2010, 25, 577–589. [Google Scholar] [CrossRef] [PubMed]
- Bush, N.G.; Diez-Santos, I.; Abbott, L.R.; Maxwell, A. Quinolones: Mechanism, Lethality and Their Contributions to Antibiotic Resistance. Molecules 2020, 25, 5662. [Google Scholar] [CrossRef]
- Shariati, A.; Arshadi, M.; Khosrojerdi, M.A. The Resistance Mechanisms of Bacteria against Ciprofloxacin and New Approaches for Enhancing the e Cacy of This Antibiotic. Front. Public Health 2022, 10, 1025633. [Google Scholar] [CrossRef] [PubMed]
- Ribeiro, A.R.; Schmidt, T.C. Determination of Acid Dissociation Constants (pKa) of Cephalosporin Antibiotics: Computational and Experimental Approaches. Chemosphere 2017, 169, 524–533. [Google Scholar] [CrossRef]
- Ali, E.; Al-gheethi, A.; Maya, R.; Radin, S.; Talip, B.A.; Hossain, S.; Ali, W.; Altowayti, H.; Ismail, N. Sustainable Approaches for Removal of Cephalexin Antibiotic from Non-Clinical Environments: A Critical Review. J. Hazard. Mater. 2021, 417, 126040. [Google Scholar] [CrossRef]
- Plöger, G.F.; Quizon, P.M.; Abrahamsson, B.; Cristofoletti, R.; Groot, D.W.; Parr, A.; Langguth, P.; Polli, J.E.; Shah, V.P.; Tajiri, T.; et al. Biowaiver Monographs for Immediate Release Solid Oral Dosage Forms: Cephalexin Monohydrate. J. Pharm. Sci. 2020, 109, 1846–1862. [Google Scholar] [CrossRef] [PubMed]
- Stigliani, M.; Haghi, M.; Russo, P.; Young, P.M.; Traini, D. European Journal of Pharmaceutical Sciences Antibiotic Transport across Bronchial Epithelial Cells: Effects of Molecular Weight, LogP and Apparent Permeability. Eur. J. Pharm. Sci. 2016, 83, 45–51. [Google Scholar] [CrossRef] [PubMed]
- Parnham, M.J.; Haber, V.E.; Giamarellos-Bourboulis, E.J.; Perletti, G.; Verleden, G.M.; Vos, R. Azithromycin: Mechanisms of Action and Their Relevance for Clinical Applications. Pharmacol. Ther. 2014, 143, 225–245. [Google Scholar] [CrossRef]
- Das, N.; Madhavan, J.; Selvi, A.; Das, D. An Overview of Cephalosporin Antibiotics as Emerging Contaminants: A Serious Environmental Concern. 3 Biotech 2019, 9, 231. [Google Scholar] [CrossRef]
- Bambeke, F.V.; Mingeot-Leclercq, M.-P.; Glupczynski, Y.; Tulkens, P.M. Mechanisms of Action. In Infectious Diseases; Elsevier: Amsterdam, The Netherlands, 2017; pp. 1162–1180.e1. [Google Scholar]
- Blondeau, J.M.; Decarolis, E.; Metzler, K.L.; Hansen, G.T. The Macrolides. Expert Opin. Investig. Drugs 2002, 11, 189–215. [Google Scholar] [CrossRef]
- Taherpour, A.A.; Maleki, M. Theoretical Study of Structural Relationships and Electrochemical Properties of Supramolecular [ 14- MR Macrolides ]@ C n Complexes. Anal. Lett. 2010, 2719, 658–673. [Google Scholar] [CrossRef]
- Oliphant, C.M.; Pharm, D.; Hershey, M.S. Quinolones: A Comprehensive Review. Clin. Pharmacol. 2002, 65, 455–464. [Google Scholar]
- Kaczorowska, M.A.; Bożejewicz, D. The Application of Chitosan-Based Adsorbents for the Removal of Hazardous Pollutants from Aqueous Solutions—A Review. Sustainability 2024, 16, 2615. [Google Scholar] [CrossRef]
- Nasiri, A.; Rajabi, S.; Amiri, A.; Fattahizade, M. Adsorption of Tetracycline Using CuCoFe2O4@Chitosan as a New and Green Magnetic Nanohybrid Adsorbent from Aqueous Solutions: Isotherm, Kinetic and Thermodynamic Study. Arab. J. Chem. 2022, 15, 104014. [Google Scholar] [CrossRef]
- Afra, S.; Samadi, A.; Asadi, P.; Bordbar, M.; Iloukhani, M.; Rai, A.; Aghajanpour, M. Chitosan Crosslinkers and Their Functionality in 3D Bioprinting to Produce Chitosan-Based Bioinks. Inorg. Chem. Commun. 2024, 168, 112842. [Google Scholar] [CrossRef]
- Gabriele, F.; Donnadio, A.; Casciola, M.; Germani, R.; Spreti, N. Ionic and Covalent Crosslinking in Chitosan-Succinic Acid Membranes: Effect on Physicochemical Properties. Carbohydr. Polym. 2021, 251, 117106. [Google Scholar] [CrossRef] [PubMed]
- Sethi, S.; Thakur, S.; Sharma, D.; Singh, G.; Sharma, N.; Kaith, B.S.; Khullar, S. Malic Acid Cross-Linked Chitosan Based Hydrogel for Highly Effective Removal of Chromium (VI) Ions from Aqueous Environment. React. Funct. Polym. 2022, 177, 105318. [Google Scholar] [CrossRef]
- Kumar, D.; Gihar, S.; Shrivash, M.K.; Kumar, P.; Kundu, P.P. A Review on the Synthesis of Graft Copolymers of Chitosan and Their Potential Applications. Int. J. Biol. Macromol. 2020, 163, 2097–2112. [Google Scholar] [CrossRef]
- Tang, X.; Huang, Y.; He, Q.; Wang, Y.; Zheng, H. Adsorption of Tetracycline Antibiotics by Nitrilotriacetic Acid Modified Magnetic Chitosan-Based Microspheres from Aqueous Solutions. Environ. Technol. Innov. 2021, 24, 101895. [Google Scholar] [CrossRef]
- Huang, B.; Liu, Y.; Li, B.; Liu, S.; Zeng, G. Effect of Cu(II) Ions on the Enhancement of Tetracycline Adsorption by Fe3O4@SiO2-Chitosan/Graphene Oxide Nanocomposite. Carbohydr. Polym. 2017, 157, 576–585. [Google Scholar] [CrossRef]
- Ahamad, T.; Naushad, M.; Al-shahrani, T.; Al-hokbany, N.; Alshehri, S.M. Preparation of Chitosan Based Magnetic Nanocomposite for Tetracycline Adsorption: Kinetic and Thermodynamic Studies. Int. J. Biol. Macromol. 2020, 147, 258–267. [Google Scholar] [CrossRef]
- Chen, A.; Shang, C.; Shao, J.; Lin, Y.; Luo, S.; Zhang, J.; Huang, H. Carbon Disulfide-Modified Magnetic Ion-Imprinted Chitosan-Fe (III): A Novel Adsorbent for Simultaneous Removal of Tetracycline and Cadmium. Carbohydr. Polym. 2017, 155, 19–27. [Google Scholar] [CrossRef]
- Wang, X.; Zhang, B.; Ma, J.; Ning, P. Chitosan Modifying Nanoscale Zero Valent Iron for Tetracycline Removal from Aqueous Solutions: Proposed Pathway. Environ. Eng. Sci. 2018, 36, 273–282. [Google Scholar] [CrossRef]
- Ahamad, T.; Ahmad, A.; Naushad, M.; Alshehri, S.M. Fabrication OfMnFe2O4 Nanoparticles Embedded Chitosan-Diphenylureaformaldehyde Resin for the Removal of Tetracycline from Aqueous Solution. Int. J. Biol. Macromol. 2019, 134, 180–188. [Google Scholar] [CrossRef]
- Liu, J.; Zhou, B.; Zhang, H.; Ma, J.; Mu, B.; Zhang, W. A Novel Biochar Modi Fi Ed by Chitosan-Fe/S for Tetracycline Adsorption and Studies on Site Energy Distribution. Bioresour. Technol. 2019, 294, 122152. [Google Scholar] [CrossRef] [PubMed]
- Double, C.C.L.; Adsorbent, R.; Solution, A. Calcined Chitosan-Supported Layered Double Hydroxides: An Efficient and Recyclable Adsorbent for the Removal of Fluoride from an Aqueous Solution. Materials 2017, 10, 1320. [Google Scholar] [CrossRef] [PubMed]
- Lu, T.; Zhu, Y.; Qi, Y.; Wang, W.; Wang, A. Magnetic Chitosan–Based Adsorbent Prepared via Pickering High Internal Phase Emulsion for High-Efficient Removal of Antibiotics. Int. J. Biol. Macromol. 2018, 106, 870–877. [Google Scholar] [CrossRef]
- Zilouei, H.; Khorasani, S.N.; Zargoosh, K. Adsorption of Tetracycline from Water Using Glutaraldehyde-Crosslinked Electrospun Nanofibers of Chitosan/Poly (Vinyl Alcohol). Water Sci. Technol. 2018, 77, 1324–1335. [Google Scholar]
- Ma, J.; Lei, Y.; Khan, M.A.; Wang, F.; Chu, Y.; Lei, W.; Xia, M.; Zhu, S. Adsorption Properties, Kinetics & Thermodynamics of Tetracycline on Carboxymethyl-Chitosan Reformed Montmorillonite. Int. J. Biol. Macromol. 2019, 124, 557–567. [Google Scholar] [CrossRef]
- Li, Z.; Liu, Y.; Zou, S.; Lu, C.; Bai, H.; Mu, H.; Duan, J. Removal and Adsorption Mechanism of Tetracycline and Cefotaxime Contaminants in Water by NiFe2O4-COF-Chitosan-Terephthalaldehyde Nanocomposites Film. Chem. Eng. J. 2020, 382, 123008. [Google Scholar] [CrossRef]
- Lefatle, M.C.; Matong, J.M.; Mpupa, A.; Munonde, T.S.; Waleng, N.J. Preparation, Characterization, and Application of Chitosan–Kaolin-Based Nanocomposite in Magnetic Solid—Phase Extraction of Tetracycline in Aqueous Samples. Chem. Pap. 2023, 77, 1601–1618. [Google Scholar] [CrossRef]
- Valizadeh, K.; Bateni, A.; Sojoodi, N.; Rafiei, R.; Hossein, A.; Maleki, A. Preparation and Characterization of Chitosan-Curdlan Composite Magnetized by Zinc Ferrite for Efficient Adsorption of Tetracycline Antibiotics in Water. Int. J. Biol. Macromol. 2023, 235, 123826. [Google Scholar] [CrossRef]
- Adsorbent, C.M.; Bruckmann, S.; Schnorr, C.E.; Salles, R.; Nunes, F.B.; Baumann, L.; Müller, E.I.; Silva, L.F.O.; Dotto, G.L.; Rodrigo, C.; et al. Highly Efficient Adsorption of Tetracycline Using Chitosan-Based Magnetic Adsorbent. Polymers 2022, 14, 4854. [Google Scholar] [CrossRef]
- Patel, R.V.; Yadav, A. Photocatalytic MIL101(Fe)/ZnO Chitosan Composites for Adsorptive Removal of Tetracycline Antibiotics from the Aqueous Stream. J. Mol. Struct. 2022, 1252, 132128. [Google Scholar]
- Miao, M.; Mu, L.; Cao, S.; Yang, Y.; Feng, X. Dual-Functional CDs@ZIF-8/Chitosan Luminescent Film Sensors for Simultaneous Detection and Adsorption of Tetracycline. Carbohydr. Polym. 2022, 291, 119587. [Google Scholar] [CrossRef]
- Wu, H.; Gao, H.; Yang, Q.; Zhang, H.; Wang, D.; Zhang, W.; Yang, X. Removal of Typical Organic Contaminants with a Recyclable Calcined Chitosan-Supported Layered Double Hydroxide Adsorbent: Kinetics and Equilibrium Isotherms. J. Chem. Eng. Data 2018, 63, 159–168. [Google Scholar] [CrossRef]
- Babaei, F.; Foroutan, R.; Tutunchi, A.; Ahmadi, M. Efficient Removal of Tetracycline from Wastewater Using Chitosan-Based Aerogels Functionalized with Natural Zeolite, Fe3O4, and MOF-808. Carbohydr. Polym. Technol. Appl. 2025, 11, 100961. [Google Scholar] [CrossRef]
- Mülazımo, E. Cross-Linked Chitosan and Iron-Based Metal-Organic Framework Decoration on Waste Cellulosic Biomass for Pharmaceutical Pollutant Removal. Process Saf. Environ. Prot. 2025, 196, 106948. [Google Scholar]
- Wu, H.; Lv, H.; Yu, Y.; Du, Y.; Du, D. Ammonium Persulfate-Triggered Modified Chitosan Biochar for Co-Adsorption of Cr (VI) and Tetracycline Antibiotics: Behavior and Mechanisms. Int. J. Biol. Macromol. 2025, 311, 143432. [Google Scholar] [CrossRef] [PubMed]
- Zaheer, M.; Sun, X.; Liu, J.; Song, C.; Wang, S.; Javed, A. Enhancement of Ciprofloxacin Sorption on Chitosan/Biochar Hydrogel Beads. Sci. Total Environ. 2018, 639, 560–569. [Google Scholar] [CrossRef]
- Metals, H.; Functionalized, U.; Cuprys, A.; Maletskyi, Z.; Rouissi, T.; Ratnaweera, H.; Brar, S.K. Insights into the Simultaneous Sorption of Ciprofloxacin and Heavy Metals Using Functionalized Biochar. Water 2021, 13, 2768. [Google Scholar] [CrossRef]
- Zaheer, M.; Zu, P.; Zhang, C.; Guan, J.; Song, C. Sonocatalytic Degradation of Ciprofloxacin Using Hydrogel Beads of TiO2 Incorporated Biochar and Chitosan. J. Hazard. Mater. 2022, 434, 128879. [Google Scholar] [CrossRef]
- Zaheer, M.; Yue, R.; Sun, X.; Song, C.; Wang, S. Enhanced Removal of Ciprofloxacin Using Humic Acid Modified Hydrogel Beads. J. Colloid Interface Sci. 2019, 543, 76–83. [Google Scholar] [CrossRef] [PubMed]
- Tu, S.; Kuyumcu, Ö.K.; Salam, M.A.; Bayazit, Ş.S. Chitosan Grafted SiO2–Fe3O4 Nanoparticles for Removal of Antibiotics from Water. Environ. Sci. Pollut. Res. 2018, 25, 36661–36670. [Google Scholar]
- Wang, P.; Chen, C.; Shen, H.; Wei, J.; Lan, Y. In Situ Immobilization of ZIF-8 on Sodium Lignosulfonate/Chitosan Foams for the Efficient Removal of Ciprofloxacin from Water. Cellulose 2023, 30, 4353–4371. [Google Scholar] [CrossRef]
- Yadav, P.; Yadav, A.; Labhasetwar, P.K. Sustainable Adsorptive Removal of Antibiotics from Aqueous Streams Using Fe3O4-Functionalized MIL101(Fe) Chitosan Composite Beads. Environ. Sci. Pollut. Res. 2022, 29, 37204–37217. [Google Scholar] [CrossRef]
- Rasoulzadeh, H.; Mohseni-Bandpei, A.; Hosseini, M.; Safari, M. Mechanistic Investigation of Ciprofloxacin Recovery by Magnetite–Imprinted Chitosan Nanocomposite: Isotherm, Kinetic, Thermodynamic and Reusability Studies. Int. J. Biol. Macromol. 2019, 133, 712–721. [Google Scholar] [CrossRef]
- Bhushan, B.; Kotnala, S.; Nayak, A. Fabrication of a Biogenic Inorganic-Organic Hybrid Composite Adsorbent: Optimization and Physico-Chemical Studies. Mater. Today Proc. 2022, 62, 4419–4423. [Google Scholar] [CrossRef]
- Ferrah, N.; Merghache, D.; Lebar, G. Al2O3@SiO2 -Chitosan Synthesis via Sol–Gel Process and Its Application for Ciprofloxacin Adsorption. Desalin. Water Treat. 2022, 255, 136–144. [Google Scholar] [CrossRef]
- Nazraz, M.; Yamini, Y.; Asiabi, H. Chitosan-Based Sorbent for Efficient Removal and Extraction of Ciprofloxacin and Norfloxacin from Aqueous Solutions. Microchim. Acta 2019, 186, 459. [Google Scholar] [CrossRef] [PubMed]
- Rahman, N.; Varshney, P. Facile Synthesis and Characterization of Zn(II)-Impregnated Chitosan/Graphene Oxide: Evaluation of Its Efficiency for Removal of Ciprofloxacin from Aqueous Solution. J. Inorg. Organomet. Polym. Mater. 2021, 31, 3595–3612. [Google Scholar] [CrossRef]
- Ahmad, A.; Mumtaz, A.; Kadaf, Y.; Singh, M. Facile Synthesis of Layered Superparamagnetic Fe3O4-MoS2 Nanosheets on Chitosan for Efficient Removal of Chromium and Ciprofloxacin from Aqueous Solutions. J. Water Process Eng. 2023, 51, 103340. [Google Scholar]
- Wang, N.; Xiao, W.; Niu, B.; Duan, W.; Zhou, L.; Zheng, Y. Highly Efficient Adsorption of Fluoroquinolone Antibiotics Using Chitosan Derived Granular Hydrogel with 3D Structure. J. Mol. Liq. 2019, 281, 307–314. [Google Scholar] [CrossRef]
- Ajdukovi, M.; Stevanović, G.; Marinović, S.; Mojović, Z.; Banković, P.; Radulović, K.; Jović-Jovičić, N. Ciprofloxacin Adsorption onto a Smectite–Chitosan-Derived Nanocomposite Obtained by Hydrothermal Synthesis. Water 2023, 15, 2608. [Google Scholar] [CrossRef]
- Adsorbent, A.C.; Verma, M.; Lee, I.; Sharma, S.; Kumar, R.; Kumar, V.; Kim, H. Simultaneous Removal of Heavy Metals and Ciprofloxacin Micropollutants from Wastewater Using Ethylenediaminetetraacetic Acid-Functionalized Β-Cyclodextrin-Chitosan Adsorbent. ACS Omega 2021, 6, 34624–34634. [Google Scholar]
- Sistanizadeh Aghdam, M.; Cheraghi, M.; Sobhanardakani, S.; Mohammadi, A.A.; Lorestani, B. Facile Fabrication of Novel Magnetic Chitosan@Ag-MWCN Nanocomposite for the Adsorptive Removal of Ciprofloxacin from Aqueous Solutions. Sci. Rep. 2025, 15, 5112. [Google Scholar] [CrossRef]
- Karadirek, S.; Turan, B.; Demircivi, P. Construction of BaZrO3/Chitosan Composite for Sufficient Antibiotic Adsorptive Removal: Central Composite Design Analysis and Antimicrobial Performance. J. Indian Chem. Soc. 2025, 102, 101813. [Google Scholar] [CrossRef]
- Guesmi, A.; Hamadi, N.B.; El-Fattah, W.A.; Subaihi, A.; Alluhaybi, A.A.; El-Desouky, M.G.; El-Bindary, A.A. Efficient Removal of Ciprofloxacin in Aqueous Solutions by Magnetic Se-MOF Embedded within a Biopolymer (Chitosan/Alginate): Adsorptive Behavior, Mechanism Study, and Optimization Using Box-Behnken Design. Int. J. Biol. Macromol. 2025, 314, 144274. [Google Scholar] [CrossRef]
- Lei, C.; Bian, Y.; Zhi, F.; Hou, X.; Lv, C.; Hu, Q. Enhanced Adsorption Capacity of Cellulose Hydrogel Based on Corn Stalk for Pollutants Removal and Mechanism Exploration. J. Clean. Prod. J. 2022, 375, 134130. [Google Scholar] [CrossRef]
- Kriegel, C.; Kit, K.M.; Mcclements, D.J.; Weiss, J. Electrospinning of Chitosan–Poly (Ethylene Oxide) Blend Nanofibers in the Presence of Micellar Surfactant Solutions. Polymer 2009, 50, 189–200. [Google Scholar] [CrossRef]
- Li, N.; Yang, H. Construction of Natural Polymeric Imprinted Materials and Their Applications in Water Treatment: A Review. J. Hazard. Mater. J. 2021, 403, 123643. [Google Scholar] [CrossRef] [PubMed]
- Oladoja, N.A.; Adelagun, R.O.A.; Ahmad, A.L.; Unuabonah, E.I.; Bello, H.A. Preparation of Magnetic, Macro-Reticulated Cross-Linked Chitosan for Tetracycline Removal from Aquatic Systems. Colloids Surf. B Biointerfaces 2014, 117, 51–59. [Google Scholar] [CrossRef] [PubMed]
- Manohar, M.; Kim, D. Synergistic Effect of 2-Acrylamido-2-Methyl- 1-Propanesulfonic Acid on the Enhanced Conductivity for Fuel Cell at Low Temperature. Membranes 2020, 10, 426. [Google Scholar] [CrossRef] [PubMed]
- Mosaffa, E.; Oroujzadeh, M.; Ramsheh, N.A.; Jamshidi, E.; Patel, H.; Parekh, K.; Manteghi, F.; Banerjee, A. Bioinspired Chitosan/PVA Beads Cross-Linked with LTH-Doped Bacterial Cellulose Hydrochar for High-Efficiency Removal of Antibiotics. Int. J. Biol. Macromol. 2025, 306, 141522. [Google Scholar] [CrossRef]
- Leudjo, A.; Klink, M.J.; Yangkou, X.; Bobby, E. Chitosan Nanocomposites for Water Treatment by Fixed-Bed Continuous Flow Column Adsorption: A Review. Carbohydr. Polym. 2021, 255, 117398. [Google Scholar] [CrossRef]
- Zhu, Y.; Zheng, Y.; Wang, F.; Wang, A. Monolithic Supermacroporous Hydrogel Prepared from High Internal Phase Emulsions (HIPEs) for Fast Removal of Cu2+ and Pb2+. Chem. Eng. J. 2016, 284, 422–430. [Google Scholar] [CrossRef]
- Pan, J.; Zeng, J.; Cao, Q.; Gao, H.; Gen, Y.; Peng, Y.; Dai, X. Hierarchical Macro and Mesoporous Foams Synthesized by HIPEs Template and Interface Grafted Route for Simultaneous Removal of k-Cyhalothrin and Copper Ions. Chem. Eng. J. 2016, 284, 1361–1372. [Google Scholar] [CrossRef]
- Zhu, Y.; Wang, W.; Zheng, Y.; Wang, F.; Wang, A. Rapid Enrichment of Rare-Earth Metals by Carboxymethyl Cellulose-Based Open-Cellular Hydrogel Adsorbent from HIPEs Template. Carbohydr. Polym. 2016, 140, 51–58. [Google Scholar] [CrossRef]
- Azari, A.; Malakoutian, M.; Yaghmaeain, K.; Jaafarzadeh, N.; Shariatifar, N.; Mohammadi, G.; Masoudi, M.R.; Sadeghi, R.; Hamzeh, S.; Kamani, H. Magnetic NH2-MIL-101(Al)/Chitosan Nanocomposite as a Novel Adsorbent for the Removal of Azithromycin: Modeling and Process Optimization. Sci. Rep. 2022, 12, 18990, Correction in Sci. Rep. 2023, 13, 11536. [Google Scholar] [CrossRef]
- Li, X.; Pan, J.; Dai, J.; Dai, X.; Xu, L.; Wei, X.; Hang, H. Surface Molecular Imprinting onto Magnetic Yeast Composites via Atom Transfer Radical Polymerization for Selective Recognition of Cefalexin. Chem. Eng. J. 2012, 198–199, 503–511. [Google Scholar] [CrossRef]
- Yusuf, V.F.; Malek, N.I.; Kailasa, S.K. Review on Metal−Organic Framework Classification, Synthetic Approaches, and Influencing Factors: Applications in Energy, Drug Delivery, and Wastewater Treatment. ACS Omega 2022, 7, 44507–44531, Correction in ACS Omega 2024, 9, 29947–29950. [Google Scholar] [CrossRef]
- Zhao, R.; Ma, T.; Zhao, S.; Rong, H.; Tian, Y.; Zhu, G. Uniform and Stable Immobilization of Metal-Organic Frameworks into Chitosan Matrix for Enhanced Tetracycline Removal from Water. Chem. Eng. J. 2020, 382, 122893. [Google Scholar] [CrossRef]
- Huang, X.; Liu, L.; Zhou, S.; Zhao, J. Physical Properties and Device Applications of Graphene Oxide. Front. Phys. 2020, 15, 33301. [Google Scholar] [CrossRef]
- Zhao, F.; Repo, E.; Yin, D.; Chen, L.; Kalliola, S.; Tang, J. One-Pot Synthesis of Trifunctional Polymer for Simultaneous Removal of Metals and Organic Micropollutants. Sci. Rep. 2017, 7, 15811. [Google Scholar]
- Luo, Q.; Liu, P.; Bi, L.; Shi, L.; Zhou, J.; Fang, F.; Lv, Q. Selective and Efficient Removal of Ciprofloxacin from Water by Bimetallic MOF Beads: Mechanism Quantitative Analysis and Dynamic Adsorption. Sep. Purif. Technol. 2024, 332, 125832. [Google Scholar] [CrossRef]
- Sousa, J.F.M.; Murtinho, D.; Valente, A.J.M.; Marques, J.M.C. On the Mechanism of Interactions Between Tetracycline and New Chitosan- Based Materials: Experimental Development Guided by Computational Methods. J. Polym. Sci. 2025, 63, 3137–3150. [Google Scholar] [CrossRef]
- Esquivel, S.E.; Aranda, F.L.; Vellojin, J.P.; David, P.; Montoya-rodriguez, D.; Villegas-escobar, N.; Mel, M.; Julio, S.; Palacio, D.A. Combining Experimental and Molecular Computational Approaches for Enhanced Removal of Organic and Inorganic Pollutants via Diafiltration Using Chitosan with Permanent Cationic Charges. Int. J. Biol. Macromol. 2025, 320, 145738. [Google Scholar] [CrossRef] [PubMed]
- Palacio, D.A.; Muñoz, C.; Mel, M.; Rabanal-le, W.A.; Murillo-l, J.A.; Palencia, M.; Rivas, B.L. Comparative Study of the Removal Efficiency of Nalidixic Acid N-Alkylated Chitosan through the Ultrafiltration Technique and Its Approximation through Theoretical Calculations. Polymers 2023, 15, 3185. [Google Scholar] [CrossRef] [PubMed]
- Hobday, C.L.; Woodall, C.H.; Lennox, M.J.; Düren, T.; Morrison, C.A.; Moggach, S.A. Understanding the Adsorption Process in ZIF-8 Using High Pressure Crystallography and Computational Modelling. Nat. Commun. 2018, 9, 1429. [Google Scholar] [CrossRef]
- Manuscript, A. AutoDock Vina: Improving the Speed and Accuracy of Docking with a New Scoring Function, Efficient Optimization and Multithreading. J. Comput. Chem. 2011, 31, 455–461. [Google Scholar]
- Marenich, A.V.; Cramer, C.J.; Truhlar, D.G. Universal Solvation Model Based on Solute Electron Density and on a Continuum Model of the Solvent Defined by the Bulk Dielectric Constant and Atomic Surface Tensions. J. Phys. Chem. B 2009, 113, 6378–6396. [Google Scholar] [CrossRef]
- Grimme, S.; Antony, J.; Ehrlich, S.; Krieg, H. A Consistent and Accurate Ab Initio Parametrization of Density Functional Dispersion Correction (DFT-D) for the 94 Elements H-Pu. J. Chem. Phys. 2013, 132, 154104. [Google Scholar]
- Miertus, S.; Tomasi, J.; Scrocco, E. Electrostatic Interaction of a Solute with a Continuum. A Direct Utilization of AB Initio Molecular Potentials for the Prevision of Solvent Effects. Chem. Phys. 1981, 55, 117–129. [Google Scholar] [CrossRef]
- Shagdarova, B.; Zhuikova, Y.; Il, A. Adsorbent Materials Based on Modified Chitosan for Purification of Aqueous Media from Pharmaceutical Residues, Primarily Antibiotics. Polymers 2025, 17, 2601. [Google Scholar] [CrossRef] [PubMed]


Disclaimer/Publisher’s Note: The statements, opinions and data contained in all publications are solely those of the individual author(s) and contributor(s) and not of MDPI and/or the editor(s). MDPI and/or the editor(s) disclaim responsibility for any injury to people or property resulting from any ideas, methods, instructions or products referred to in the content. |
© 2025 by the authors. Licensee MDPI, Basel, Switzerland. This article is an open access article distributed under the terms and conditions of the Creative Commons Attribution (CC BY) license (https://creativecommons.org/licenses/by/4.0/).
Share and Cite
Sousa, J.F.M.; Murtinho, D.; Valente, A.J.M.; Marques, J.M.C. The Role of Chitosan-Based Materials in Interactions with Antibiotics: An Overview of In Vitro and In Silico Studies. Int. J. Mol. Sci. 2025, 26, 11070. https://doi.org/10.3390/ijms262211070
Sousa JFM, Murtinho D, Valente AJM, Marques JMC. The Role of Chitosan-Based Materials in Interactions with Antibiotics: An Overview of In Vitro and In Silico Studies. International Journal of Molecular Sciences. 2025; 26(22):11070. https://doi.org/10.3390/ijms262211070
Chicago/Turabian StyleSousa, Joana F. M., Dina Murtinho, Artur J. M. Valente, and Jorge M. C. Marques. 2025. "The Role of Chitosan-Based Materials in Interactions with Antibiotics: An Overview of In Vitro and In Silico Studies" International Journal of Molecular Sciences 26, no. 22: 11070. https://doi.org/10.3390/ijms262211070
APA StyleSousa, J. F. M., Murtinho, D., Valente, A. J. M., & Marques, J. M. C. (2025). The Role of Chitosan-Based Materials in Interactions with Antibiotics: An Overview of In Vitro and In Silico Studies. International Journal of Molecular Sciences, 26(22), 11070. https://doi.org/10.3390/ijms262211070

