Comparative Efficacy of Melatonin and Brassinolide in Mitigating the Adverse Effects of Cadmium on Wolffia arrhiza
Abstract
1. Introduction
2. Results
2.1. Melatonin and Brassinolide Increase the Biomass of W. arrhiza Exposed to Cadmium
2.2. Melatonin and Brassinolide Decrease the Cadmium Concentration in W. arrhiza
2.3. Melatonin and Brassinolide Enhance Pigment, Protein, and Monosaccharide Content in W. arrhiza Treated with Cadmium
2.4. Melatonin and Brassinolide Mitigate Oxidative Stress in W. arrhiza Exposed to Cadmium
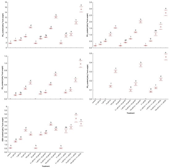
2.5. Melatonin and Brassinolide Enhance the Content of Glutathione and Phytochelatins in W. arrhiza Treated with Cadmium
2.6. Melatonin and Brassinolide Promote Antioxidant Activities in W. arrhiza Under Cadmium Stress
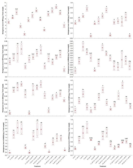
2.7. Melatonin and Brassinolide Affect Phytohormone Levels in W. arrhiza Treated with Cadmium
3. Discussion
4. Materials and Methods
4.1. Plant Growth Conditions
4.2. Chemicals
4.3. Determination of Cadmium Content
4.4. Determination of Photosynthetic Pigments
4.5. Determination of Soluble Proteins and Monosaccharides
4.6. Determination of Malondialdehyde and H2O2 Content
4.7. Determination of Glutathione and Phytochelatins
4.8. Determination of Antioxidants
4.9. Analysis of Phytohormones
4.10. Statistical Analysis
5. Conclusions
Author Contributions
Funding
Institutional Review Board Statement
Informed Consent Statement
Data Availability Statement
Conflicts of Interest
Abbreviations
| 6dTY | 6-deoxotyphasterol |
| ABA | abscisic acid |
| APX | ascorbate peroxidase |
| AX | auxin |
| BL | brassinolide |
| BR | brassinosteroid |
| CAT | catalase |
| Cd | cadmium |
| CK | cytokinin |
| CN | campestanol |
| CS | castasterone |
| CT | cathasterone |
| cZ | cis-zeatin |
| cZ9G | cis-zeatin-9-glucoside |
| DHZ | dihydrozeatin |
| DHZOG | dihydrozeatin-O-glucoside |
| DHZR | dihydrozeatin riboside |
| DTPA | diethylenetriaminepentaacetic acid |
| EBL | 24-epibrassinolide |
| ECS | 24-epicastasterone |
| GA3 | gibberellic acid |
| GR | glutathione reductase |
| GSH | glutathione |
| HBL | 28-homobrassinolide |
| IAA | indole-3-acetic acid |
| iP | N6-isopentenyladenine |
| iPR | N6-isopentenyladenosine |
| iPR7G | N6-isopentenyladenosine-7-glucoside |
| MDA | malondialdehyde |
| mT | meta-topolin |
| MT | melatonin |
| norBL | 28-norbrassinolide |
| oT | ortho-topolin |
| PAA | phenylacetic acid |
| PC | phytochelatin |
| SOD | superoxide dismutase |
| TBA | thiobarbituric acid |
| TCA | trichloroacetic acid |
| TY | typhasterol |
| tZ | trans-zeatin |
| tZ7G | trans-zeatin-7-glucoside |
| tZ9G | trans-zeatin-9-glucoside |
| tZR | trans-zeatin riboside |
| tZROG | trans-zeatin riboside-O-glucoside |
References
- Amjadi, Z.; Namdjoyan, S.; Soorki, A.A. Exogenous melatonin and salicylic acid alleviates cadmium toxicity in safflower (Carthamus tinctorius L.) seedlings. Ecotoxicology 2021, 30, 387–401. [Google Scholar] [CrossRef]
- Singh, P.; Siddiqui, H.; Sami, F.; Arif, Y.; Bajguz, A.; Hayat, S. Cadmium: A threatening agent for plants. In Plant Responses to Soil Pollution; Singh, P., Singh, S.K., Prasad, S.M., Eds.; Springer: Singapore, 2020; pp. 59–88. [Google Scholar] [CrossRef]
- Fan, P.; Wu, L.; Wang, Q.; Wang, Y.; Luo, H.; Song, J.; Yang, M.; Yao, H.; Chen, S. Physiological and molecular mechanisms of medicinal plants in response to cadmium stress: Current status and future perspective. J. Hazard. Mater. 2023, 450, 131008. [Google Scholar] [CrossRef] [PubMed]
- Chmur, M.; Bajguz, A. Melatonin involved in protective effects against cadmium stress in Wolffia arrhiza. Int. J. Mol. Sci. 2023, 24, 1178. [Google Scholar] [CrossRef]
- Liu, H.; Zhang, C.; Wang, J.; Zhou, C.; Feng, H.; Mahajan, M.D.; Han, X. Influence and interaction of iron and cadmium on photosynthesis and antioxidative enzymes in two rice cultivars. Chemosphere 2017, 171, 240–247. [Google Scholar] [CrossRef]
- Sharma, R.; Bhardwaj, R.; Handa, N.; Gautam, V.; Kohli, S.K.; Bali, S.; Kaur, P.; Thukral, A.K.; Arora, S.; Ohri, P.; et al. Responses of phytochelatins and metallothioneins in alleviation of heavy metal stress in plants: An overview. In Plant Metal Interaction; Ahmad, P., Ed.; Elsevier: Amsterdam, The Netherlands, 2016; pp. 263–283. [Google Scholar] [CrossRef]
- Song, Y.; Jin, L.; Wang, X. Cadmium absorption and transportation pathways in plants. Int. J. Phytoremediat. 2017, 19, 133–141. [Google Scholar] [CrossRef] [PubMed]
- Ahanger, M.A.; Ashraf, M.; Bajguz, A.; Ahmad, P. Brassinosteroids regulate growth in plants under stressful environments and crosstalk with other potential phytohormones. J. Plant Growth Regul. 2018, 37, 1007–1024. [Google Scholar] [CrossRef]
- Ahmad, S.; Kamran, M.; Zhou, X.B.; Ahmad, I.; Meng, X.P.; Javed, T.; Iqbal, A.; Wang, G.Y.; Su, W.N.; Wu, X.R.; et al. Melatonin improves the seed filling rate and endogenous hormonal mechanism in grains of summer maize. Physiol. Plant. 2021, 172, 1059–1072. [Google Scholar] [CrossRef]
- Hayat, S.; Mori, M.; Fariduddin, Q.; Bajguz, A.; Ahmad, A. Physiological role of brassinosteroids: An update. Indian J. Plant Physiol. 2010, 15, 99–109. [Google Scholar]
- Rajewska, I.; Talarek, M.; Bajguz, A. Brassinosteroids and response of plants to heavy metals action. Front. Plant Sci. 2016, 7, 629. [Google Scholar] [CrossRef]
- Mir, A.R.; Faizan, M.; Bajguz, A.; Sami, F.; Siddiqui, H.; Hayat, S. Occurrence and biosynthesis of melatonin and its exogenous effect on plants. Acta Soc. Bot. Pol. 2020, 89, 8922. [Google Scholar] [CrossRef]
- Siddiqui, H.; Hayat, S.; Bajguz, A. Regulation of photosynthesis by brassinosteroids in plants. Acta Physiol. Plant. 2018, 40, 59. [Google Scholar] [CrossRef]
- Gu, Q.; Wang, C.; Xiao, Q.; Chen, Z.; Han, Y. Melatonin confers plant cadmium tolerance: An update. Int. J. Mol. Sci. 2021, 22, 11704. [Google Scholar] [CrossRef] [PubMed]
- Hoque, M.N.; Tahjib-Ul-Arif, M.; Hannan, A.; Sultana, N.; Akhter, S.; Hasanuzzaman, M.; Akter, F.; Hossain, M.S.; Sayed, M.A.; Hasan, M.T.; et al. Melatonin Modulates Plant Tolerance to Heavy Metal Stress: Morphological Responses to Molecular Mechanisms. Int. J. Mol. Sci. 2021, 22, 11445. [Google Scholar] [CrossRef] [PubMed]
- Arnao, M.B.; Cano, A.; Hernández-Ruiz, J. Phytomelatonin: An unexpected molecule with amazing performances in plants. J. Exp. Bot. 2022, 73, 5779–5800. [Google Scholar] [CrossRef] [PubMed]
- Hussain, M.A.; Fahad, S.; Sharif, R.; Jan, M.F.; Mujtaba, M.; Ali, Q.; Ahmad, A.; Ahmad, H.; Amin, N.; Ajayo, B.S.; et al. Multifunctional role of brassinosteroid and its analogues in plants. Plant Growth Regul. 2020, 92, 141–156. [Google Scholar] [CrossRef]
- Li, S.; Zheng, H.; Lin, L.; Wang, F.; Sui, N. Roles of brassinosteroids in plant growth and abiotic stress response. Plant Growth Regul. 2021, 93, 29–38. [Google Scholar] [CrossRef]
- Zeng, W.; Mostafa, S.; Lu, Z.G.; Jin, B. Melatonin-mediated abiotic stress tolerance in plants. Front. Plant Sci. 2022, 13, 847175. [Google Scholar] [CrossRef] [PubMed]
- Ferreira-Guerra, M.; Marquès-Bueno, M.; Mora-García, S.; Caño-Delgado, A.I. Delving into the evolutionary origin of steroid sensing in plants. Curr. Opin. Plant Biol. 2020, 57, 87–95. [Google Scholar] [CrossRef] [PubMed]
- Żeruń, J.; Bajguz, A. Around the brassinosteroids in algae. Algal Res. 2025, 85, 103881. [Google Scholar] [CrossRef]
- Murch, S.J.; Erland, L.A.E. A systematic review of melatonin in plants: An example of evolution of literature. Front. Plant Sci. 2021, 12, 683047. [Google Scholar] [CrossRef]
- Bajguz, A.; Piotrowska-Niczyporuk, A. Biosynthetic pathways of hormones in plants. Metabolites 2023, 13, 884. [Google Scholar] [CrossRef] [PubMed]
- Bajguz, A.; Chmur, M.; Gruszka, D. Comprehensive overview of the brassinosteroid biosynthesis pathways: Substrates, products, inhibitors, and connections. Front. Plant Sci. 2020, 11, 1034. [Google Scholar] [CrossRef]
- Bog, M.; Appenroth, K.J.; Sree, K.S. Key to the determination of taxa of Lemnaceae: An update. Nord. J. Bot. 2020, 38, 1–12. [Google Scholar] [CrossRef]
- Romano, L.E.; Aronne, G. The world smallest plants (Wolffia Sp.) as potential species for bioregenerative life support systems in space. Plants 2021, 10, 1896. [Google Scholar] [CrossRef]
- Kotowska, U.; Karpinska, J.; Kapelewska, J.; Kowejsza, E.M.; Piotrowska-Niczyporuk, A.; Piekutin, J.; Kotowski, A. Removal of phthalates and other contaminants from municipal wastewater during cultivation of Wolffia arrhiza. Process Saf. Environ. Prot. 2018, 120, 268–277. [Google Scholar] [CrossRef]
- Soda, S.; Kawahata, Y.; Takai, Y.; Mishima, D.; Fujita, M.; Ike, M. Kinetics of nutrient removal and biomass production by duckweed Wolffia arrhiza in continuous-flow mesocosms. Ecol. Eng. 2013, 57, 210–215. [Google Scholar] [CrossRef]
- Appenroth, K.-J.; Ziegler, P.; Sree, K.S. Accumulation of starch in duckweeds (Lemnaceae), potential energy plants. Physiol. Mol. Biol. Plants 2021, 27, 2621–2633. [Google Scholar] [CrossRef]
- Chmur, M.; Bajguz, A.; Piotrowska-Niczyporuk, A. Effect of cadmium on the level of isoprenoid-derived phytohormones in duckweed Wolffia arrhiza. J. Plant Growth Regul. 2020, 39, 1518–1530. [Google Scholar] [CrossRef]
- Sethi, S. Phytochelatins: Heavy metal detoxifiers in plants. In Advanced and Innovative Approaches of Environmental Biotechnology in Industrial Wastewater Treatment; Shah, M.P., Ed.; Springer Nature: Singapore, 2023; pp. 361–379. [Google Scholar] [CrossRef]
- Cobbett, C.; Goldsbrough, P. Phytochelatins and metallothioneins: Roles in heavy metal detoxification and homeostasis. Annu. Rev. Plant Biol. 2002, 53, 159–182. [Google Scholar] [CrossRef] [PubMed]
- Mushtaq, N.U.; Saleem, S.; Rasool, A.; Shah, W.H.; Tahir, I.; Hakeem, K.R.; Rehman, R.U. Functional characterization of the antioxidant enzymes in plants exposed to environmental stresses. In Antioxidant Defense in Plants: Molecular Basis of Regulation; Aftab, T., Hakeem, K.R., Eds.; Springer Nature: Singapore, 2022; pp. 15–30. [Google Scholar] [CrossRef]
- Dumanović, J.; Nepovimova, E.; Natić, M.; Kuča, K.; Jaćević, V. The significance of reactive oxygen species and antioxidant defense system in plants: A concise overview. Front. Plant Sci. 2021, 11, 552969. [Google Scholar] [CrossRef]
- Sytar, O.; Kumari, P.; Yadav, S.; Brestic, M.; Rastogi, A. Phytohormone priming: Regulator for heavy metal stress in plants. J. Plant Growth Regul. 2019, 38, 739–752. [Google Scholar] [CrossRef]
- Xu, L.; Zhang, F.; Tang, M.J.; Wang, Y.; Dong, J.H.; Ying, J.L.; Chen, Y.L.; Hu, B.; Li, C.; Liu, L.W. Melatonin confers cadmium tolerance by modulating critical heavy metal chelators and transporters in radish plants. J. Pineal Res. 2020, 69, e12659. [Google Scholar] [CrossRef] [PubMed]
- Gu, Q.; Chen, Z.; Yu, X.; Cui, W.; Pan, J.; Zhao, G.; Xu, S.; Wang, R.; Shen, W. Melatonin confers plant tolerance against cadmium stress via the decrease of cadmium accumulation and reestablishment of microRNA-mediated redox homeostasis. Plant Sci. 2017, 261, 28–37. [Google Scholar] [CrossRef]
- Awan, S.A.; Khan, I.; Rizwan, M.; Irshad, M.A.; Xiaosan, W.; Zhang, X.Q.; Huang, L.K. Reduction in the cadmium (Cd) accumulation and toxicity in pearl millet (Pennisetum glaucum L.) by regulating physio-biochemical and antioxidant defense system via soil and foliar application of melatonin. Environ. Pollut. 2023, 328, 121658. [Google Scholar] [CrossRef]
- Chen, J.Q.; Qin, H.; Zhang, B.F.; Mao, W.H.; Lou, L.P.; Shen, C.F.; Mao, J.D.; Lin, Q. Development of melatonin nano-delivery systems to reduce cadmium accumulation in rice (Oryza sativa L.) seedlings: Insights from photosynthetic efficiency, antioxidative response and gene expression. Environ. Exp. Bot. 2022, 196, 104822. [Google Scholar] [CrossRef]
- Tang, W.; Xiao, L.; Peng, X.; Liu, H.; Zhu, Y.; Zheng, Y. Effects of brassinolide on cadmium accumulation and growth of emerged accumulator plant Nasturtium officinale. Chem. Ecol. 2022, 38, 301–311. [Google Scholar] [CrossRef]
- Niu, K.J.; Zhu, R.T.; Wang, Y.; Zhao, C.X.; Ma, H.L. 24-epibrassinolide improves cadmium tolerance and lateral root growth associated with regulating endogenous auxin and ethylene in Kentucky bluegrass. Ecotoxicol. Environ. Saf. 2023, 249, 114460. [Google Scholar] [CrossRef]
- Simkin, A.J.; Kapoor, L.; Doss, C.G.P.; Hofmann, T.A.; Lawson, T.; Ramamoorthy, S. The role of photosynthesis related pigments in light harvesting, photoprotection and enhancement of photosynthetic yield in planta. Photosynth. Res. 2022, 152, 23–42. [Google Scholar] [CrossRef] [PubMed]
- Gillet, S.; Decottignies, P.; Chardonnet, S.; Le Marechal, P. Cadmium response and redoxin targets in Chlamydomonas reinhardtii: A proteomic approach. Photosynth. Res. 2006, 89, 201–211. [Google Scholar] [CrossRef] [PubMed]
- Bajguz, A. Suppression of Chlorella vulgaris growth by cadmium, lead, and copper stress and Its restoration by endogenous brassinolide. Arch. Environ. Contam. Toxicol. 2011, 60, 406–416. [Google Scholar] [CrossRef]
- Eskling, M.; Emanuelsson, A.; Åkerlund, H.-E. Enzymes and mechanisms for violaxanthin-zeaxanthin conversion. In Regulation of Photosynthesis; Aro, E.-M., Andersson, B., Eds.; Springer: Dordrecht, The Netherlands, 2001; pp. 433–452. [Google Scholar] [CrossRef]
- Demmig-Adams, B.; López-Pozo, M.; Stewart, J.J.; Adams, W.W. Zeaxanthin and lutein: Photoprotectors, anti-inflammatories, and brain food. Molecules 2020, 25, 3607. [Google Scholar] [CrossRef] [PubMed]
- Rizzardi, N.; Pezzolesi, L.; Samorì, C.; Senese, F.; Zalambani, C.; Pitacco, W.; Calonghi, N.; Bergamini, C.; Prata, C.; Fato, R. Natural astaxanthin is a green antioxidant able to counteract lipid peroxidation and ferroptotic cell death. Int. J. Mol. Sci. 2022, 23, 15137. [Google Scholar] [CrossRef] [PubMed]
- Eckstein, A.; Zięba, P.; Gabryś, H. Sugar and light effects on the condition of the photosynthetic apparatus of Arabidopsis thaliana cultured in vitro. J. Plant Growth Regul. 2012, 31, 90–101. [Google Scholar] [CrossRef]
- Sobkowiak, R.; Deckert, J. The effect of cadmium on cell cycle control in suspension culture cells of soybean. Acta Physiol. Plant. 2004, 26, 335–344. [Google Scholar] [CrossRef]
- Zhang, N.; Sun, Q.; Zhang, H.; Cao, Y.; Weeda, S.; Ren, S.; Guo, Y.-D. Roles of melatonin in abiotic stress resistance in plants. J. Exp. Bot. 2015, 66, 647–656. [Google Scholar] [CrossRef]
- Wang, M.; Duan, S.H.; Zhou, Z.C.; Chen, S.B.; Wang, D. Foliar spraying of melatonin confers cadmium tolerance in Nicotiana tabacum L. Ecotoxicol. Environ. Saf. 2019, 170, 68–76. [Google Scholar] [CrossRef] [PubMed]
- Sami, A.; Shah, F.A.; Abdullah, M.; Zhou, X.; Yan, Y.; Zhu, Z.; Zhou, K. Melatonin mitigates cadmium and aluminium toxicity through modulation of antioxidant potential in Brassica napus. Plant Biol. 2020, 22, 679–690. [Google Scholar] [CrossRef] [PubMed]
- Tousi, S.; Zoufan, P.; Ghahfarrokhie, A.R. Alleviation of cadmium-induced phytotoxicity and growth improvement by exogenous melatonin pretreatment in mallow (Malva parviflora) plants. Ecotoxicol. Environ. Saf. 2020, 206, 111403. [Google Scholar] [CrossRef]
- Ahmed, S.; Mudassar, S.; Sardar, R.; Yasin, N.A. 28-homo-brassinolide confers cadmium tolerance in vigna radiate l. Through modulating minerals uptake, antioxidant system and gas exchange attributes. J. Plant Growth Regul. 2023, 42, 7500–7514. [Google Scholar] [CrossRef]
- Khan, A.; Jie, Z.; Xiangjun, K.; Ullah, N.; Short, A.W.; Diao, Y.; Zhou, R.Y.; Xiong, Y.C. Pre treatment of melatonin rescues cotton seedlings from cadmium toxicity by regulating key physio-biochemical and molecular pathways. J. Hazard. Mater. 2023, 445, 130530. [Google Scholar] [CrossRef]
- Siddiqui, H.; Ahmed, K.B.M.; Alam, P.; Hayat, S. 24-epibrassinolide-mediated mitigation of cd-induced toxicity in hyperaccumulator—Brassica juncea: Influence on photosynthesis, cell death, redox, and elemental status. J. Plant Growth Regul. 2023, 42, 2646–2661. [Google Scholar] [CrossRef]
- Figueira, E.; Freitas, R.; Guasch, H.; Almeida, S.F.P. Efficiency of cadmium chelation by phytochelatins in Nitzschia palea (Kutzing) W. Smith. Ecotoxicology 2014, 23, 285–292. [Google Scholar] [CrossRef]
- Bellini, E.; Maresca, V.; Betti, C.; Castiglione, M.R.; Fontanini, D.; Capocchi, A.; Sorce, C.; Borso, M.; Bruno, L.; Sorbo, S.; et al. The moss Leptodictyum riparium counteracts severe cadmium stress by activation of glutathione transferase and phytochelatin synthase, but slightly by phytochelatins. Int. J. Mol. Sci. 2020, 21, 1583. [Google Scholar] [CrossRef]
- Talarek-Karwel, M.; Bajguz, A.; Piotrowska-Niczyporuk, A. 24-Epibrassinolide modulates primary metabolites, antioxidants, and phytochelatins in Acutodesmus obliquus exposed to lead stress. J. Appl. Phycol. 2020, 32, 263–276. [Google Scholar] [CrossRef]
- Zhang, T.; Wang, J.; Sun, Y.; Zhang, L.; Zheng, S. Versatile roles of melatonin in growth and stress tolerance in plants. J. Plant Growth Regul. 2022, 41, 507–523. [Google Scholar] [CrossRef]
- Arnao, M.B.; Hernandez-Ruiz, J. Melatonin as a regulatory hub of plant hormone levels and action in stress situations. Plant Biol. 2021, 23, 7–19. [Google Scholar] [CrossRef] [PubMed]
- Kour, J.; Kohli, S.K.; Khanna, K.; Bakshi, P.; Sharma, P.; Singh, A.D.; Ibrahim, M.; Devi, K.; Sharma, N.; Ohri, P.; et al. Brassinosteroid signaling, crosstalk and, physiological functions in plants under heavy metal stress. Front. Plant Sci. 2021, 12, 608061. [Google Scholar] [CrossRef]
- Olds, C.L.; Glennon, E.K.K.; Luckhart, S. Abscisic acid: New perspectives on an ancient universal stress signaling molecule. Microbes Infect. 2018, 20, 484–492. [Google Scholar] [CrossRef]
- Zhou, M.; Ghnaya, T.; Dailly, H.; Cui, G.; Vanpee, B.; Han, R.; Lutts, S. The cytokinin trans-zeatine riboside increased resistance to heavy metals in the halophyte plant species Kosteletzkya pentacarpos in the absence but not in the presence of NaCl. Chemosphere 2019, 233, 954–965. [Google Scholar] [CrossRef]
- Chen, X.; Tang, Y.; Sun, X.; Zhang, H.; Xu, N. Transcriptome analysis reveals ABA involved in the detoxification mechanism of macroalga Gracilariopsis lemaneiformis to cadmium toxicity. Front. Mar. Sci. 2024, 11, 1352529. [Google Scholar] [CrossRef]
- Singh, A.; Roychoudhury, A. Abscisic acid in plants under abiotic stress: Crosstalk with major phytohormones. Plant Cell Rep. 2023, 42, 961–974. [Google Scholar] [CrossRef]
- Zhang, J.; Shi, Y.; Zhang, X.; Du, H.; Xu, B.; Huang, B. Melatonin suppression of heat-induced leaf senescence involves changes in abscisic acid and cytokinin biosynthesis and signaling pathways in perennial ryegrass (Lolium perenne L.). Environ. Exp. Bot. 2017, 138, 36–45. [Google Scholar] [CrossRef]
- Ha, Y.M.; Shang, Y.; Yang, D.; Nam, K.H. Brassinosteroid reduces ABA accumulation leading to the inhibition of ABA-induced stomatal closure. Biochem. Biophys. Res. Commun. 2018, 504, 143–148. [Google Scholar] [CrossRef] [PubMed]
- Li, C.; Tan, D.X.; Liang, D.; Chang, C.; Jia, D.F.; Ma, F.W. Melatonin mediates the regulation of ABA metabolism, free-radical scavenging, and stomatal behaviour in two Malus species under drought stress. J. Exp. Bot. 2015, 66, 669–680. [Google Scholar] [CrossRef]
- Altaf, M.A.; Shahid, R.; Kumar, R.; Altaf, M.M.; Kumar, A.; Khan, L.U.; Saqib, M.; Nawaz, M.A.; Saddiq, B.; Bahadur, S.; et al. Phytohormones mediated modulation of abiotic stress tolerance and potential crosstalk in horticultural crops. J. Plant Growth Regul. 2022, 42, 4724–4750. [Google Scholar] [CrossRef]
- Elobeid, M.; Göbel, C.; Feussner, I.; Polle, A. Cadmium interferes with auxin physiology and lignification in poplar. J. Exp. Bot. 2012, 63, 1413–1421. [Google Scholar] [CrossRef]
- Kanwar, M.K.; Yu, J.Q.; Zhou, J. Phytomelatonin: Recent advances and future prospects. J. Pineal Res. 2018, 65, e12526. [Google Scholar] [CrossRef]
- Wen, D.; Gong, B.; Sun, S.; Liu, S.; Wang, X.; Wei, M.; Yang, F.; Li, Y.; Shi, Q. Promoting roles of melatonin in adventitious root development of Solanum lycopersicum L. by regulating auxin and nitric oxide signaling. Front. Plant Sci. 2016, 7, 718. [Google Scholar] [CrossRef]
- Lee, K.; Choi, G.-H.; Back, K. Cadmium-induced melatonin synthesis in rice requires light, hydrogen peroxide, and nitric oxide: Key regulatory roles for tryptophan decarboxylase and caffeic acid O-methyltransferase. J. Pineal Res. 2017, 63, e12441. [Google Scholar] [CrossRef]
- Hwang, O.J.; Back, K. Molecular regulation of antioxidant melatonin biosynthesis by brassinosteroid acting as an endogenous elicitor of melatonin induction in rice seedlings. Antioxidants 2022, 11, 918. [Google Scholar] [CrossRef] [PubMed]
- Hwang, O.J.; Back, K. Melatonin is involved in skotomorphogenesis by regulating brassinosteroid biosynthesis in rice plants. J. Pineal Res. 2018, 65, e12495. [Google Scholar] [CrossRef] [PubMed]
- Lee, K.; Back, K. Melatonin-deficient rice plants show a common semidwarf phenotype either dependent or independent of brassinosteroid biosynthesis. J. Pineal Res. 2019, 66, e12537. [Google Scholar] [CrossRef] [PubMed]
- Bajguz, A.; Orczyk, W.; Golebiewska, A.; Chmur, M.; Piotrowska-Niczyporuk, A. Occurrence of brassinosteroids and influence of 24-epibrassinolide with brassinazole on their content in the leaves and roots of Hordeum vulgare L. cv. Golden Promise. Planta 2019, 249, 123–137. [Google Scholar] [CrossRef] [PubMed]
- Hönig, M.; Plíhalová, L.; Husičková, A.; Nisler, J.; Doležal, K. Role of cytokinins in senescence, antioxidant defence and photosynthesis. Int. J. Mol. Sci. 2018, 19, 4045. [Google Scholar] [CrossRef] [PubMed]
- Schäfer, M.; Brütting, C.; Meza-Canales, I.D.; Großkinsky, D.K.; Vankova, R.; Baldwin, I.T.; Meldau, S. The role of cis-zeatin-type cytokinins in plant growth regulation and mediating responses to environmental interactions. J. Exp. Bot. 2015, 66, 4873–4884. [Google Scholar] [CrossRef]
- Sosnowski, J.; Malinowska, E.; Jankowski, K.; Król, J.; Redzik, P. An estimation of the effects of synthetic auxin and cytokinin and the time of their application on some morphological and physiological characteristics of Medicago x varia T. Martyn. Saudi J. Biol. Sci. 2019, 26, 66–73. [Google Scholar] [CrossRef]
- Ördög, V.; Stirk, W.A.; Van Staden, J.; Novák, O.; Strnad, M. Endogenous cytokinins in three genera of microalgae from the Chlorophyta. J. Phycol. 2004, 40, 88–95. [Google Scholar] [CrossRef]
- Bajguz, A.; Piotrowska, A. Conjugates of auxin and cytokinin. Phytochemistry 2009, 70, 957–969. [Google Scholar] [CrossRef] [PubMed]
- Piotrowska-Niczyporuk, A.; Bonda-Ostaszewska, E.; Bajguz, A. Mitigating effect of trans-zeatin on cadmium toxicity in Desmodesmus armatus. Cells 2024, 13, 686. [Google Scholar] [CrossRef] [PubMed]
- Hashem, H.A. Cadmium toxicity induces lipid peroxidation and alters cytokinin content and antioxidant enzyme activities in soybean. Botany 2014, 92, 1–7. [Google Scholar] [CrossRef]
- Guo, J.; Qin, S.; Rengel, Z.; Gao, W.; Nie, Z.; Liu, H.; Li, C.; Zhao, P. Cadmium stress increases antioxidant enzyme activities and decreases endogenous hormone concentrations more in Cd-tolerant than Cd-sensitive wheat varieties. Ecotoxicol. Environ. Saf. 2019, 172, 380–387. [Google Scholar] [CrossRef] [PubMed]
- Kudryakova, N.V.; Efimova, M.V.; Danilova, M.N.; Zubkova, N.K.; Khripach, V.A.; Kusnetsov, V.V.; Kulaeva, O.N. Exogenous brassinosteroids activate cytokinin signalling pathway gene expression in transgenic Arabidopsis thaliana. Plant Growth Regul. 2013, 70, 61–69. [Google Scholar] [CrossRef]
- Yuldashev, R.; Avalbaev, A.; Bezrukova, M.; Vysotskaya, L.; Khripach, V.; Shakirova, F. Cytokinin oxidase is involved in the regulation of cytokinin content by 24-epibrassinolide in wheat seedlings. Plant Physiol. Biochem. 2012, 55, 1–6. [Google Scholar] [CrossRef]
- Huangfu, L.X.; Chen, R.J.; Lu, Y.; Zhang, E.Y.; Miao, J.; Zuo, Z.H.; Zhao, Y.; Zhu, M.Y.; Zhang, Z.H.; Li, P.C.; et al. OsCOMT, encoding a caffeic acid O-methyltransferase in melatonin biosynthesis, increases rice grain yield through dual regulation of leaf senescence and vascular development. Plant Biotechnol. J. 2022, 20, 1122–1139. [Google Scholar] [CrossRef]
- Davière, J.-M.; Achard, P. Gibberellin signaling in plants. Development 2013, 140, 1147–1151. [Google Scholar] [CrossRef] [PubMed]
- Tan, X.; Long, W.; Zeng, L.; Ding, X.; Cheng, Y.; Zhang, X.; Zou, X. Melatonin-induced transcriptome variation of rapeseed seedlings under salt stress. Int. J. Mol. Sci. 2019, 20, 5355. [Google Scholar] [CrossRef] [PubMed]
- Zong, X.-f.; Yang, A.-j.; Ahmad Anjum, S.; Lv, J.; Li, N.-j.; He, X.-j.; Xu, Y.; Wu, X.; Wang, S.-g. Effect of brassinolide application on antioxidant characteristics and endogenous hormones of Leymus chinensis (Trin.) Tzvelev under different light intensity regimes. Chil. J. Agric. Res. 2018, 78, 539–548. [Google Scholar] [CrossRef]
- Chmur, M.; Bajguz, A. Brassinolide enhances the level of brassinosteroids, protein, pigments, and monosaccharides in Wolffia arrhiza treated with brassinazole. Plants 2021, 10, 1311. [Google Scholar] [CrossRef] [PubMed]
- Hutner, S.H. Comparative physiology of heterotrophic growth in plants. In Growth and Differentiation in Plants; Loomis, W.E., Ed.; Iowa State College Press: Ames, IA, USA, 1953; pp. 417–446. [Google Scholar]
- Malejko, J.; Deoniziak, K.; Tomczuk, M.; Długokencka, J.; Godlewska-Żyłkiewicz, B. Puparial cases as toxicological indicators: Bioaccumulation of cadmium and thallium in the forensically important blowfly Lucilia sericata. Front. Chem. 2020, 8, 586067. [Google Scholar] [CrossRef] [PubMed]
- Zapata, M.; Rodríguez, F.; Garrido, J.L. Separation of chlorophylls and carotenoids from marine phytoplankton: A new HPLC method using a reversed phase C8 column and pyridine-containing mobile phases. Mar. Ecol. Prog. Ser. 2000, 195, 29–45. [Google Scholar] [CrossRef]
- Bradford, M.M. A rapid and sensitive method for the quantitation of microgram quantities of protein utilizing the principle of protein-dye binding. Anal. Biochem. 1976, 72, 248–254. [Google Scholar] [CrossRef] [PubMed]
- Nelson, N. A photometric adaptation of the Somogyi method for the determination of glucose. J. Biol. Chem. 1944, 153, 375–380. [Google Scholar] [CrossRef]
- Somogyi, M. Notes on sugar determination. J. Biol. Chem. 1952, 195, 19–23. [Google Scholar] [CrossRef]
- Cakmak, I.; Horst, W.J. Effect of aluminium on lipid peroxidation, superoxide dismutase, catalase, and peroxidase activities in root tips of soybean (Glycine max). Physiol. Plant. 1991, 83, 463–468. [Google Scholar] [CrossRef]
- Junglee, S.; Urban, L.; Sallanon, H.; Lopez-Lauri, F. Optimized assay for hydrogen peroxide determination in plant tissue using potassium iodide. Am. J. Anal. Chem. 2014, 5, 730–736. [Google Scholar] [CrossRef]
- Scheidegger, C.; Behra, R.; Sigg, L. Phytochelatin formation kinetics and toxic effects in the freshwater alga Chlamydomonas reinhardtii upon short- and long-term exposure to lead(II). Aquat. Toxicol. 2011, 101, 423–429. [Google Scholar] [CrossRef] [PubMed]
- Nakano, Y.; Asada, K. Hydrogen peroxide is scavenged by ascorbate-specific peroxidase in spinach chloroplasts. Plant Cell Physiol. 1981, 22, 867–880. [Google Scholar] [CrossRef]
- Aebi, H. Catalase in vitro. Methods Enzymol. 1984, 105, 121–126. [Google Scholar] [CrossRef] [PubMed]
- Schaedle, M.; Bassham, J.A. Chloroplast glutathione reductase. Plant Physiol. 1977, 59, 1011–1012. [Google Scholar] [CrossRef]
- Beauchamp, C.; Fridovich, I. Superoxide dismutase: Improved assays and an assay applicable to acrylamide gels. Anal. Biochem. 1971, 44, 276–287. [Google Scholar] [CrossRef]
- Xin, P.Y.; Yan, J.J.; Fan, J.S.; Chu, J.F.; Yan, C.Y. An improved simplified high-sensitivity quantification method for determining brassinosteroids in different tissues of rice and Arabidopsis. Plant Physiol. 2013, 162, 2056–2066. [Google Scholar] [CrossRef] [PubMed]
- Šimura, J.; Antoniadi, I.; Široká, J.; Tarkowská, D.; Strnad, M.; Ljung, K.; Novák, O. Plant hormonomics: Multiple phytohormone profiling by targeted metabolomics. Plant Physiol. 2018, 177, 476–489. [Google Scholar] [CrossRef]








| Treatment | Cd Concentration in W. arrhiza | Cd Concentration in Medium (1 Day) | Cd Concentration in Medium (7 Day) |
|---|---|---|---|
| Control | 0 | 0 | 0 |
| 0.1 µM Cd | 0.026 ± 0.002 d | 0.007 ± 0.001 c | 0.005 ± 0.001 e |
| 1 µM Cd | 0.31 ± 0.016 d | 0.101 ± 0.002 c | 0.088 ± 0.004 e |
| 10 µM Cd | 4.088 ± 0.068 c | 1.435 ± 0.008 b | 1.155 ± 0.049 d |
| 100 µM Cd | 42.076 ± 1.695 a | 11.652 ± 0.308 a | 10.299 ± 0.019 c |
| 0.1 µM Cd + 25 µM MT | 0.021 ± 0.002 d | 0.007 ± 0.001 c | 0.007 ± 0.001 e |
| 1 µM Cd + 25 µM MT | 0.28 ± 0.008 d | 0.103 ± 0.004 c | 0.094 ± 0.002 e |
| 10 µM Cd + 25 µM MT | 3.232 ± 0.118 c | 1.447 ± 0.008 b | 1.225 ± 0.004 d |
| 100 µM Cd + 25 µM MT | 38.342 ± 0.565 b | 11.556 ± 0.25 a | 10.906 ± 0.085 a |
| 0.1 µM Cd + 0.1 µM BL | 0.024 ± 0.002 d | 0.007 ± 0.001 c | 0.006 ± 0.001 e |
| 1 µM Cd + 0.1 µM BL | 0.284 ± 0.007 d | 0.103 ± 0.001 c | 0.091 ± 0.002 e |
| 10 µM Cd + 0.1 µM BL | 3.495 ± 0.073 c | 1.442 ± 0.007 b | 1.191 ± 0.062 d |
| 100 µM Cd + 0.1 µM BL | 39.403 ± 0.515 b | 11.538 ± 0.095 a | 10.785 ± 0.056 b |
| Treatment | Chlorophyll a | Chlorophyll b | α-Carotene | β-Carotene | Neoxanthin |
|---|---|---|---|---|---|
| Control | 162.155 ± 2.69 e | 42.194 ± 2.2 e | 1.289 ± 0.01 de | 1.78 ± 0.07 c | 0.917 ± 0.04 e |
| 0.1 µM Cd | 159.030 ± 1.13 e | 40.155 ± 0.73 e | 1.235 ± 0.01 ef | 1.701 ± 0.07 cd | 0.906 ± 0.02 e |
| 1 µM Cd | 153.193 ± 1.15 e | 39.324 ± 0.56 ef | 1.095 ± 0.03 fg | 1.619 ± 0.03 cd | 0.864 ± 0.02 e |
| 10 µM Cd | 140.7 ± 0.97 f | 33.991 ± 0.38 fg | 0.944 ± 0.02 gh | 1.411 ± 0.03 de | 0.739 ± 0.02 f |
| 100 µM Cd | 65.017 ± 1.83 h | 18.041 ± 0.82 i | 0.591 ± 0.02 i | 0.895 ± 0.02 f | 0.473 ± 0.01 h |
| 25 µM MT | 237.154 ± 1.76 a | 67.216 ± 1.26 a | 1.794 ± 0.02 bc | 2.911 ± 0.04 a | 1.442 ± 0.03 b |
| 0.1 µM Cd + 25 µM MT | 228.022 ± 1.53 ab | 65.336 ± 0.95 a | 1.722 ± 0.07 c | 2.807 ± 0.03 ab | 1.389 ± 0.04 bc |
| 1 µM Cd + 25 µM MT | 219.783 ± 0.92 bc | 63.692 ± 0.55 ab | 1.7 ± 0.01 c | 2.596 ± 0.06 ab | 1.286 ± 0.02 c |
| 10 µM Cd + 25 µM MT | 160.743 ± 1.51 e | 48.853 ± 0.9 d | 1.415 ± 0.05 d | 1.705 ± 0.03 cd | 1.076 ± 0.04 d |
| 100 µM Cd + 25 µM MT | 93.883 ± 2.69 g | 29.073 ± 1.0 gh | 0.791 ± 0.02 h | 1.155 ± 0.02 ef | 0.586 ± 0.02 g |
| 0.1 µM BL | 222.803 ± 1.73 bc | 61.643 ± 1.23 ab | 2.399 ± 0.05 a | 2.793 ± 0.12 ab | 1.591 ± 0.04 a |
| 0.1 µM Cd + 0.1 µM BL | 214.806 ± 7.35 cd | 58.608 ± 6.21 bc | 2.279 ± 0.13 a | 2.751 ± 0.28 ab | 1.453 ± 0.03 b |
| 1 µM Cd + 0.1 µM BL | 205.117 ± 9.76 d | 54.036 ± 4.84 cd | 1.955 ± 0.17 b | 2.582 ± 0.31 b | 1.343 ± 0.03 bc |
| 10 µM Cd + 0.1 µM BL | 158.028 ± 12.04 e | 42.560 ± 3.92 e | 1.673 ± 0.15 c | 1.635 ± 0.24 cd | 1.150 ± 0.16 d |
| 100 µM Cd + 0.1 µM BL | 84.656 ± 5.31 g | 24.965 ± 3.34 h | 0.855 ± 0.08 h | 1.224 ± 0.19 e | 0.723 ± 0.02 f |
| Violaxanthin | Astaxanthin | Zeaxanthin | Cryptoxanthin | Lutein | |
| Control | 0.7 ± 0.01 f | 0.352 ± 0.02 e | 3.208 ± 0.06 d | 4.237 ± 0.08 d | 0.473 ± 0.01 e |
| 0.1 µM Cd | 0.653 ± 0.03 fg | 0.328 ± 0.01 e | 3.143 ± 0.01 d | 4.141 ± 0.05 d | 0.422 ± 0.01 f |
| 1 µM Cd | 0.625 ± 0.01 g | 0.317 ± 0.01 e | 3.079 ± 0.01 d | 4.061 ± 0.02 d | 0.392 ± 0.01 fg |
| 10 µM Cd | 0.526 ± 0.01 h | 0.265 ± 0.01 f | 2.770 ± 0.02 e | 3.521 ± 0.02 e | 0.349 ± 0.02 h |
| 100 µM Cd | 0.356 ± 0.02 l j | 0.147 ± 0.01 h | 1.853 ± 0.05 g | 2.634 ± 0.05 f | 0.242 ± 0.01 j |
| 25 µM MT | 1.146 ± 0.04 a | 0.622 ± 0.03 a | 4.693 ± 0.03 a | 6.490 ± 0.03 a | 0.772 ± 0.01 a |
| 0.1 µM Cd + 25 µM MT | 1.077 ± 0.03 b | 0.558 ± 0.02 bc | 4.577 ± 0.09 ab | 6.389 ± 0.07 a | 0.736 ± 0.03 ab |
| 1 µM Cd + 2 5 µM MT | 0.966 ± 0.02 c | 0.472 ± 0.02 d | 4.442 ± 0.04 ab | 5.95 ± 0.07 bc | 0.605 ± 0.02 c |
| 10 µM Cd + 25 µM MT | 0.702 ± 0.03 f | 0.346 ± 0.02 e | 3.764 ± 0.04 c | 4.325 ± 0.08 d | 0.405 ± 0.02 fg |
| 100 µM Cd + 25 µM MT | 0.516 ± 0.01 h | 0.21 ± 0.02 g | 2.230 ± 0.03 f | 3.177 ± 0.03 e | 0.297 ± 0.02 i |
| 0.1 µM BL | 0.961 ± 0.01 c | 0.582 ± 0.01 ab | 4.609 ± 0.09 ab | 6.253 ± 0.08 ab | 0.718 ± 0.01 b |
| 0.1 µM Cd + 0.1 µM BL | 0.877 ± 0.03 d | 0.517 ± 0.03 c | 4.492 ± 0.26 ab | 6.116 ± 0.36 abc | 0.643 ± 0.03 c |
| 1 µM Cd + 0.1 µM BL | 0.811 ± 0.04 e | 0.443 ± 0.02 d | 4.380 ± 0.2 b | 5.752 ± 0.26 c | 0.521 ± 0.03 d |
| 10 µM Cd + 0.1 µM BL | 0.646 ± 0.03 fg | 0.313 ± 0.03 e | 3.568 ± 0.25 c | 3.965 ± 0.45 d | 0.376 ± 0.01 gh |
| 100 µM Cd + 0.1 µM BL | 0.456 ± 0.02 i | 0.208 ± 0.02 g | 2.108 ± 0.11 fg | 3.291 ± 0.13 e | 0.276 ± 0.02 ij |
| Control | 0.1 µM Cd | 1 µM Cd | 10 µM Cd | 100 µM Cd | 25 µM MT | 0.1 µM Cd + 25 µM MT | 1 µM Cd + 25 µM MT | 10 µM Cd + 25 µM MT | 100 µM Cd + 25 µM MT | 0.1 µM BL | 0.1 µM Cd + 0.1 µM BL | 1 µM Cd + 0.1 µM BL | 10 µM Cd + 0.1 µM BL | 100 µM Cd + 0.1 µM BL | |
|---|---|---|---|---|---|---|---|---|---|---|---|---|---|---|---|
| PAA | 4.07 | 3.899 | 3.63 | 2.939 | 2.762 | 5.787 | 5.509 | 4.992 | 4.2 | 3.814 | 6.328 | 6.157 | 5.91 | 4.301 | 3.477 |
| ±0.35 de | ±0.2 def | ±0.19 ef | ±0.24 gh | ±0.19 h | ±0.38 ab | ±0.24 bc | ±0.26 c | ±0.25 d | ±0.2 def | ±0.21 a | ±0.26 a | ±0.22 ab | ±0.21 d | ±0.23 fg | |
| EBL | 0.167 | 0.182 | 0.206 | 0.242 | 0.26 | 0.195 | 0.212 | 0.231 | 0.274 | 0.294 | 16.081 | 16.705 | 17.145 | 17.495 | 17.86 |
| ±0.04 b | ±0.01 b | ±0.02 b | ±0.02 b | ±0.02 b | ±0.01 b | ±0.01 b | ±0.01 b | ±0.01 b | ±0.02 b | ±3.2 a | ±1.18 a | ±0.68 a | ±0.45 a | ±0.41 a | |
| HBL | 0.633 | 0.77 | 0.841 | 1.132 | 1.318 | 0.635 | 0.775 | 0.839 | 1.228 | 1.322 | 1.720 | 2.016 | 2.195 | 2.633 | 3.014 |
| ±0.15 f | ±0.05 f | ±0.02 f | ±0.06 e | ±0.05 e | ±0.12 f | ±0.04 f | ±0.04 f | ±0.18 e | ±0.07 e | ±0.3 d | ±0.09 c | ±0.08 c | ±0.04 b | ±0.1 a | |
| norBL | 0.121 | 0.108 | 0.097 | 0.07 | 0.061 | 0.127 | 0.109 | 0.098 | 0.071 | 0.06 | 0.494 | 0.414 | 0.332 | 0.23 | 0.199 |
| ±0.04 f | ±0.01 f | ±0.01 f | ±0.01 f | ±0.01 f | ±0.04 ef | ±0.01 f | ±0.01 f | ±0.01 f | ±0.01 f | ±0.11 a | ±0.01 b | ±0.01 c | ±0.01 d | ±0.01 de | |
| CT | 1.956 | 3.292 | 4.346 | 4.171 | 3.41 | 2.778 | 3.597 | 4.879 | 4.567 | 3.861 | 3.47 | 3.703 | 5.148 | 4.788 | 4.198 |
| ±0.61 h | ±0.14 fg | ±0.23 bcd | ±0.11 cde | ±0.16 fg | ±0.28 g | ±0.3 ef | ±0.38 ab | ±0.2 abc | ±0.32 def | ±0.56 f | ±0.17 def | ±0.24 a | ±0.16 abc | ±0.13 cde | |
| ECS | 0.028 | 0.022 | 0.017 | 0.013 | 0.011 | 0.034 | 0.027 | 0.022 | 0.018 | 0.015 | 0.053 | 0.043 | 0.039 | 0.035 | 0.028 |
| ±0.007 cd | ±0.003 de | ±0.002 ef | ±0.002 ef | ±0.002 f | ±0.005 bc | ±0.004 cd | ±0.003 de | ±0.003 ef | ±0.002 ef | ±0.007 a | ±0.003 b | ±0.006 b | ±0.002 bc | ±0.002 cd | |
| TY | 0.184 | 0.184 | 0.205 | 0.278 | 0.21 | 0.24 | 0.244 | 0.251 | 0.323 | 0.242 | 0.571 | 0.597 | 0.62 | 0.675 | 0.589 |
| ±0.05 e | ±0.01 e | ±0.01 de | ±0.01 cd | ±0.02 de | ±0.02 de | ±0.02 cde | ±0.02 cde | ±0.02 c | ±0.02 cde | ±0.12 b | ±0.01 ab | ±0.02 ab | ±0.03 a | ±0.02 b | |
| 6 dTY | 0.032 | 0.04 | 0.044 | 0.049 | 0.025 | 0.032 | 0.04 | 0.045 | 0.049 | 0.025 | 0.064 | 0.068 | 0.071 | 0.096 | 0.056 |
| ±0.01 gh | ±0.01 efg | ±0.01 ef | ±0.01 de | ±0.01 h | ±0.01 fgh | ±0.01 efg | ±0.01 de | ±0.01 de | ±0.01 h | ±0.01 bc | ±0.01 bc | ±0.01 b | ±0.01 a | ±0.01 cd | |
| DHZ | 0.386 | 0.417 | 0.415 | 0.312 | 0.253 | 0.394 | 0.426 | 0.462 | 0.379 | 0.323 | 0.452 | 0.481 | 0.488 | 0.396 | 0.35 |
| ±0.03 ef | ±0.02 cde | ±0.03 cde | ±0.02 hi | ±0.02 i | ±0.02 def | ±0.01 bcde | ±0.02 abc | ±0.04 efg | ±0.01 gh | ±0.02 abcd | ±0.02 ab | ±0.05 a | ±0.03 def | ±0.03 fgh | |
| iP | 0.408 | 0.41 | 0.458 | 0.356 | 0.075 | 0.467 | 0.488 | 0.597 | 0.484 | 0.124 | 0.63 | 0.645 | 0.718 | 0.596 | 0.162 |
| ±0.02 de | ±0.01 de | ±0.03 cd | ±0.03 e | ±0.01 g | ±0.04 cd | ±0.04 c | ±0.03 b | ±0.05 c | ±0.03 fg | ±0.01 b | ±0.02 b | ±0.02 a | ±0.03 b | ±0.02 f | |
| iPR | 0.351 | 0.372 | 0.452 | 0.791 | 0.539 | 0.361 | 0.369 | 0.456 | 0.761 | 0.536 | 0.496 | 0.512 | 0.65 | 1.186 | 0.701 |
| ±0.02 g | ±0.03 g | ±0.02 f | ±0.02 b | ±0.03 e | ±0.01 g | ±0.02 g | ±0.01 f | ±0.02 bc | ±0.02 e | ±0.02 ef | ±0.03 ef | ±0.02 d | ±0.1 a | ±0.03 cd | |
| oT | 0.23 | 0.441 | 0.458 | 0.657 | 0.751 | 0.215 | 0.428 | 0.454 | 0.631 | 0.711 | 0.25 | 0.482 | 0.502 | 0.68 | 0.827 |
| ±0.01 g | ±0.02 f | ±0.02 ef | ±0.04 cd | ±0.03 b | ±0.01 g | ±0.02 f | ±0.02 ef | ±0.03 d | ±0.03 bc | ±0.02 g | ±0.02 ef | ±0.03 e | ±0.03 cd | ±0.03 a | |
| mT | 0.015 | 0.022 | 0.054 | 0.079 | 0.111 | 0.019 | 0.022 | 0.053 | 0.073 | 0.013 | 0.016 | 0.028 | 0.064 | 0.085 | 0.152 |
| ±0.001 e | ±0.003 e | ±0.01 d | ±0.01 c | ±0.03 b | ±0.003 e | ±0.004 e | ±0.01 d | ±0.01 cd | ±0.002 e | ±0.001 e | ±0.003 e | ±0.004 cd | ±0.01 c | ±0.01 a |
Disclaimer/Publisher’s Note: The statements, opinions and data contained in all publications are solely those of the individual author(s) and contributor(s) and not of MDPI and/or the editor(s). MDPI and/or the editor(s) disclaim responsibility for any injury to people or property resulting from any ideas, methods, instructions or products referred to in the content. |
© 2025 by the authors. Licensee MDPI, Basel, Switzerland. This article is an open access article distributed under the terms and conditions of the Creative Commons Attribution (CC BY) license (https://creativecommons.org/licenses/by/4.0/).
Share and Cite
Chmur, M.; Bajguz, A. Comparative Efficacy of Melatonin and Brassinolide in Mitigating the Adverse Effects of Cadmium on Wolffia arrhiza. Int. J. Mol. Sci. 2025, 26, 692. https://doi.org/10.3390/ijms26020692
Chmur M, Bajguz A. Comparative Efficacy of Melatonin and Brassinolide in Mitigating the Adverse Effects of Cadmium on Wolffia arrhiza. International Journal of Molecular Sciences. 2025; 26(2):692. https://doi.org/10.3390/ijms26020692
Chicago/Turabian StyleChmur, Magdalena, and Andrzej Bajguz. 2025. "Comparative Efficacy of Melatonin and Brassinolide in Mitigating the Adverse Effects of Cadmium on Wolffia arrhiza" International Journal of Molecular Sciences 26, no. 2: 692. https://doi.org/10.3390/ijms26020692
APA StyleChmur, M., & Bajguz, A. (2025). Comparative Efficacy of Melatonin and Brassinolide in Mitigating the Adverse Effects of Cadmium on Wolffia arrhiza. International Journal of Molecular Sciences, 26(2), 692. https://doi.org/10.3390/ijms26020692

