Optimization of SARS-CoV-2 Mpro Inhibitors by a Structure-Based Multilevel Virtual Screening Method
Abstract
1. Introduction
2. Results
2.1. Fragment-Based Virtual Screening (FBVS)
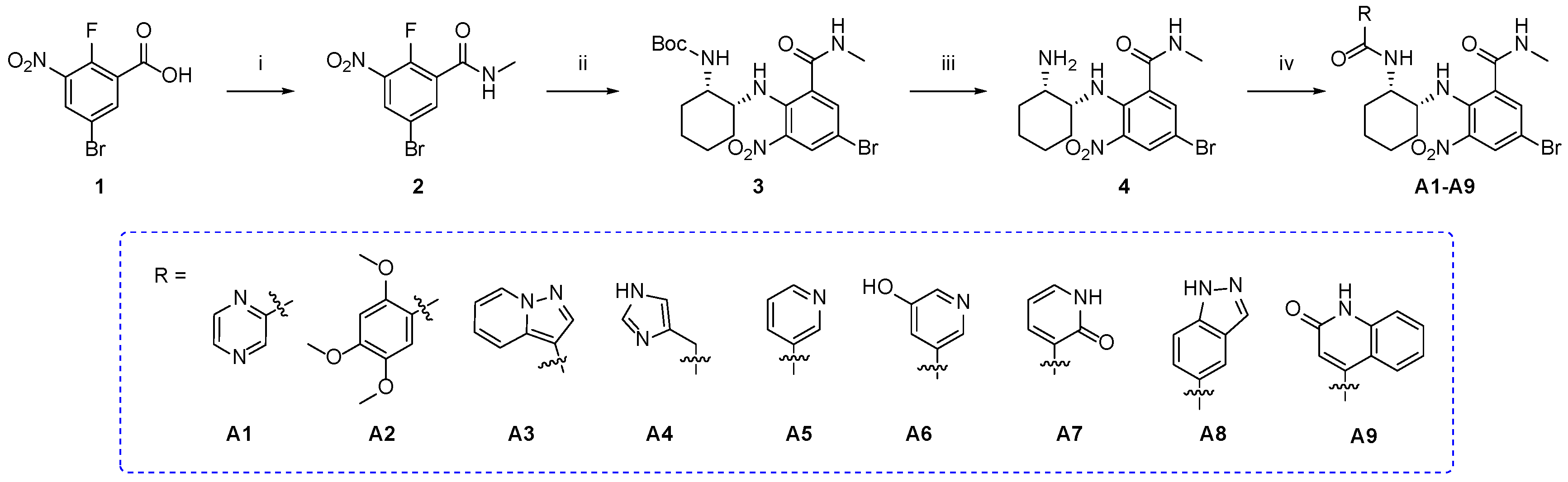
2.2. The Synthetic Route
2.3. Enzyme Inhibitory Activities
2.4. Anti-SARS-CoV-2 Activity
2.5. Molecular Modeling Analysis
3. Discussion
4. Materials and Methods
4.1. Construction of Compound Library and Virtual Screening
4.2. Chemistry
4.3. Enzymatic Assay of SARS-CoV-2 Main Protease
4.4. Anti-SARS-CoV-2 Assay
4.4.1. Cells and Virus
4.4.2. Antiviral Assay
4.5. Molecular Modeling Studies
5. Conclusions
Supplementary Materials
Author Contributions
Funding
Institutional Review Board Statement
Informed Consent Statement
Data Availability Statement
Acknowledgments
Conflicts of Interest
References
- Number of COVID-19 Cases Reported to WHO. Available online: https://data.who.int/dashboards/covid19/cases?n=o (accessed on 20 October 2024).
- Carabelli, A.M.; Peacock, T.P.; Thorne, L.G.; Harvey, W.T.; Hughes, J.; Peacock, S.J.; Barclay, W.S.; de Silva, T.I.; Towers, G.J.; Robertson, D.L. SARS-CoV-2 variant biology: Immune escape, transmission and fitness. Nat. Rev. Microbiol. 2023, 21, 162–177. [Google Scholar] [CrossRef] [PubMed]
- Senevirathne, T.H.; Wekking, D.; Swain, J.W.R.; Solinas, C.; De Silva, P. COVID-19: From emerging variants to vaccination. Cytokine Growth Factor Rev. 2024, 76, 127–141. [Google Scholar] [CrossRef]
- Lokras, A.G.; Bobak, T.R.; Baghel, S.S.; Sebastiani, F.; Foged, C. Advances in the design and delivery of RNA vaccines for infectious diseases. Adv. Drug Deliv. Rev. 2024, 213, 115419. [Google Scholar] [CrossRef] [PubMed]
- Li, G.; Hilgenfeld, R.; Whitley, R.; De Clercq, E. Therapeutic strategies for COVID-19: Progress and lessons learned. Nat. Rev. Drug Discov. 2023, 22, 449–475. [Google Scholar] [CrossRef]
- Cao, Z.; Gao, W.; Bao, H.; Feng, H.; Mei, S.; Chen, P.; Gao, Y.; Cui, Z.; Zhang, Q.; Meng, X.; et al. VV116 Versus Nirmatrelvir-Ritonavir for Oral Treatment of COVID-19. N.Engl. J. Med. 2023, 388, 406–417. [Google Scholar] [CrossRef]
- Yao, H.; Song, Y.; Chen, Y.; Wu, N.; Xu, J.; Sun, C.; Zhang, J.; Weng, T.; Zhang, Z.; Wu, Z.; et al. Molecular Architecture of the SARS-CoV-2 Virus. Cell 2020, 183, 730–738.e13. [Google Scholar] [CrossRef] [PubMed]
- Weng, Y.L.; Naik, S.R.; Dingelstad, N.; Lugo, M.R.; Kalyaanamoorthy, S.; Ganesan, A. Molecular dynamics and in silico mutagenesis on the reversible inhibitor-bound SARS-CoV-2 main protease complexes reveal the role of lateral pocket in enhancing the ligand affinity. Sci. Rep. 2021, 11, 7429. [Google Scholar] [CrossRef]
- Zhuo, L.S.; Wang, M.S.; Yang, J.F.; Xu, H.C.; Huang, W.; Shang, L.Q.; Yang, G.F. Insights into SARS-CoV-2: Medicinal Chemistry Approaches to Combat Its Structural and Functional Biology. Top. Curr. Chem. 2021, 379, 23. [Google Scholar] [CrossRef] [PubMed]
- MacDonald, E.A.; Frey, G.; Namchuk, M.N.; Harrison, S.C.; Hinshaw, S.M.; Windsor, I.W. Recognition of Divergent Viral Substrates by the SARS-CoV-2 Main Protease. ACS Infect. Dis. 2021, 7, 2591–2595. [Google Scholar] [CrossRef]
- Kadam, S.B.; Sukhramani, G.S.; Bishnoi, P.; Pable, A.A.; Barvkar, V.T. SARS-CoV-2, the pandemic coronavirus: Molecular and structural insights. J. Basic Microbiol. 2021, 61, 180–202. [Google Scholar] [CrossRef]
- Kneller, D.W.; Phillips, G.; O’Neill, H.M.; Jedrzejczak, R.; Stols, L.; Langan, P.; Joachimiak, A.; Coates, L.; Kovalevsky, A. Structural plasticity of SARS-CoV-2 3CL M(pro) active site cavity revealed by room temperature X-ray crystallography. Nat. Commun. 2020, 11, 3202. [Google Scholar] [CrossRef] [PubMed]
- Zhang, L.; Lin, D.; Sun, X.; Curth, U.; Drosten, C.; Sauerhering, L.; Becker, S.; Rox, K.; Hilgenfeld, R. Crystal structure of SARS-CoV-2 main protease provides a basis for design of improved α-ketoamide inhibitors. Science 2020, 368, 409–412. [Google Scholar] [CrossRef]
- Dai, W.; Zhang, B.; Jiang, X.M.; Su, H.; Li, J.; Zhao, Y.; Xie, X.; Jin, Z.; Peng, J.; Liu, F.; et al. Structure-based design of antiviral drug candidates targeting the SARS-CoV-2 main protease. Science 2020, 368, 1331–1335. [Google Scholar] [CrossRef] [PubMed]
- Owen, D.R.; Allerton, C.M.N.; Anderson, A.S.; Aschenbrenner, L.; Avery, M.; Berritt, S.; Boras, B.; Cardin, R.D.; Carlo, A.; Coffman, K.J.; et al. An oral SARS-CoV-2 M(pro) inhibitor clinical candidate for the treatment of COVID-19. Science 2021, 374, 1586–1593. [Google Scholar] [CrossRef]
- Wang, F.; Xiao, W.; Tang, Y.; Cao, M.; Shu, D.; Asakawa, T.; Xu, Y.; Jiang, X.; Zhang, L.; Wang, W.; et al. Efficacy and safety of SIM0417 (SSD8432) plus ritonavir for COVID-19 treatment: A randomised, double-blind, placebo-controlled, phase 1b trial. Lancet Reg. Health. West. Pac. 2023, 38, 100835. [Google Scholar] [CrossRef] [PubMed]
- Wang, B.; Li, H.J.; Cai, M.M.; Lin, Z.X.; Ou, X.F.; Wu, S.H.; Cai, R.H.; Wei, Y.N.; Yang, F.; Zhu, Y.M.; et al. Antiviral efficacy of RAY1216 monotherapy and combination therapy with ritonavir in patients with COVID-19: A phase 2, single centre, randomised, double-blind, placebo-controlled trial. eClinicalMedicine 2023, 63, 102189. [Google Scholar] [CrossRef] [PubMed]
- Chen, X.; Huang, X.; Ma, Q.; Kuzmič, P.; Zhou, B.; Zhang, S.; Chen, J.; Xu, J.; Liu, B.; Jiang, H.; et al. Preclinical evaluation of the SARS-CoV-2 M(pro) inhibitor RAY1216 shows improved pharmacokinetics compared with nirmatrelvir. Nat. Microbiol. 2024, 9, 1075–1088. [Google Scholar] [CrossRef]
- Shang, W.; Dai, W.; Yao, C.; Xu, L.; Tao, X.; Su, H.; Li, J.; Xie, X.; Xu, Y.; Hu, M.; et al. In vitro and in vivo evaluation of the main protease inhibitor FB2001 against SARS-CoV-2. Antivir. Res. 2022, 208, 105450. [Google Scholar] [CrossRef]
- Sasaki, M.; Tabata, K.; Kishimoto, M.; Itakura, Y.; Kobayashi, H.; Ariizumi, T.; Uemura, K.; Toba, S.; Kusakabe, S.; Maruyama, Y.; et al. S-217622, a SARS-CoV-2 main protease inhibitor, decreases viral load and ameliorates COVID-19 severity in hamsters. Sci. Transl. Med. 2023, 15, eabq4064. [Google Scholar] [CrossRef] [PubMed]
- Hou, N.; Shuai, L.; Zhang, L.; Xie, X.; Tang, K.; Zhu, Y.; Yu, Y.; Zhang, W.; Tan, Q.; Zhong, G.; et al. Development of Highly Potent Noncovalent Inhibitors of SARS-CoV-2 3CLpro. ACS Cent. Sci. 2023, 9, 217–227. [Google Scholar] [CrossRef]
- Ma, C.; Xia, Z.; Sacco, M.D.; Hu, Y.; Townsend, J.A.; Meng, X.; Choza, J.; Tan, H.; Jang, J.; Gongora, M.V.; et al. Discovery of Di- and Trihaloacetamides as Covalent SARS-CoV-2 Main Protease Inhibitors with High Target Specificity. J. Am. Chem. Soc. 2021, 143, 20697–20709. [Google Scholar] [CrossRef] [PubMed]
- Iketani, S.; Mohri, H.; Culbertson, B.; Hong, S.J.; Duan, Y.; Luck, M.I.; Annavajhala, M.K.; Guo, Y.; Sheng, Z.; Uhlemann, A.C.; et al. Multiple pathways for SARS-CoV-2 resistance to nirmatrelvir. Nature 2023, 613, 558–564. [Google Scholar] [CrossRef]
- Duan, Y.; Zhou, H.; Liu, X.; Iketani, S.; Lin, M.; Zhang, X.; Bian, Q.; Wang, H.; Sun, H.; Hong, S.J.; et al. Molecular mechanisms of SARS-CoV-2 resistance to nirmatrelvir. Nature 2023, 622, 376–382. [Google Scholar] [CrossRef]
- Zhang, L.; Xie, X.; Luo, H.; Qian, R.; Yang, Y.; Yu, H.; Huang, J.; Shi, P.Y.; Hu, Q. Resistance mechanisms of SARS-CoV-2 3CLpro to the non-covalent inhibitor WU-04. Cell Discov. 2024, 10, 40. [Google Scholar] [CrossRef] [PubMed]
- Jiang, Z.; Feng, B.; Chen, L.; Nie, T.; Chen, S.; Wang, L.; Liu, H.; Yu, T.; Zhang, Y.; Zheng, M.; et al. Discovery of Novel Nonpeptidic and Noncovalent Small Molecule 3CL(pro) Inhibitors as anti-SARS-CoV-2 Drug Candidate. J. Med. Chem. 2024, 67, 12760–12783. [Google Scholar] [CrossRef] [PubMed]
- Tanaka, N.; Ohno, K.; Niimi, T.; Moritomo, A.; Mori, K.; Orita, M. Small-world phenomena in chemical library networks: Application to fragment-based drug discovery. J. Chem. Inf. Model. 2009, 49, 2677–2686. [Google Scholar] [CrossRef] [PubMed]
- Jhoti, H.; Williams, G.; Rees, D.C.; Murray, C.W. The ‘rule of three’ for fragment-based drug discovery: Where are we now? Nat. Rev. Drug Discov. 2013, 12, 644–645. [Google Scholar] [CrossRef]
- Boudewijns, R.; Thibaut, H.J.; Kaptein, S.J.F.; Li, R.; Vergote, V.; Seldeslachts, L.; Van Weyenbergh, J.; De Keyzer, C.; Bervoets, L.; Sharma, S.; et al. STAT2 signaling restricts viral dissemination but drives severe pneumonia in SARS-CoV-2 infected hamsters. Nat. Commun. 2020, 11, 5838. [Google Scholar] [CrossRef] [PubMed]
- Jochmans, D.; Leyssen, P.; Neyts, J. A novel method for high-throughput screening to quantify antiviral activity against viruses that induce limited CPE. J. Virol. Methods 2012, 183, 176–179. [Google Scholar] [CrossRef] [PubMed]
- Vangeel, L.; Chiu, W.; De Jonghe, S.; Maes, P.; Slechten, B.; Raymenants, J.; André, E.; Leyssen, P.; Neyts, J.; Jochmans, D. Remdesivir, Molnupiravir and Nirmatrelvir remain active against SARS-CoV-2 Omicron and other variants of concern. Antivir. Res. 2022, 198, 105252. [Google Scholar] [CrossRef]
- Zhao, F.; Zhang, H.; Xie, M.; Meng, B.; Liu, N.; Dun, C.; Qin, Y.; Gao, S.; De Clercq, E.; Pannecouque, C.; et al. Structure-Based Optimization of 2,4,5-Trisubstituted Pyrimidines as Potent HIV-1 Non-Nucleoside Reverse Transcriptase Inhibitors: Exploiting the Tolerant Regions of the Non-Nucleoside Reverse Transcriptase Inhibitors’ Binding Pocket. J. Med. Chem. 2023, 66, 2102–2115. [Google Scholar] [CrossRef]









| Compounds | IC50 (μM) 1 |
|---|---|
| A5 | 1.05 ± 0.067 |
| A6 | 1.08 ± 0.023 |
| A9 | 0.154 ± 0.006 |
| WU-04 | 0.125 ± 0.002 |
| Nirmatrelvir | 0.103 ± 0.001 |
| Ensitrelvir | 0.113 ± 0.002 |
| Compounds | EC50 (μM) 1 | CC50 (μM) | SI 3 |
|---|---|---|---|
| A5 | 2.01 ± 0.34 | >100 | >49.7 |
| A6 | 6.05 ± 0.16 | >100 | >16.5 |
| A9 | 0.18 ± 0.02 | >100 | >555 |
| WU-04 | 0.042 ± 0.022 | >100 | >2381 |
| Nirmatrelvir | 0.123 ± 0.034 2 | >100 2 | >813 |
| Compounds | IC50 (μM) | MM/GBSA (kcal/mol) | ||||
|---|---|---|---|---|---|---|
| Coulomb | Hbond | Lipo | vdW | Total | ||
| A5 | 1.05 | −18.76 | −1.54 | −13.08 | −57.70 | −67.45 |
| A6 | 1.08 | −24.44 | −1.65 | −9.7 | −56.7 | −64.15 |
| A9 | 0.154 | −26.04 | −2.43 | −13.98 | −61.38 | −73.97 |
Disclaimer/Publisher’s Note: The statements, opinions and data contained in all publications are solely those of the individual author(s) and contributor(s) and not of MDPI and/or the editor(s). MDPI and/or the editor(s) disclaim responsibility for any injury to people or property resulting from any ideas, methods, instructions or products referred to in the content. |
© 2025 by the authors. Licensee MDPI, Basel, Switzerland. This article is an open access article distributed under the terms and conditions of the Creative Commons Attribution (CC BY) license (https://creativecommons.org/licenses/by/4.0/).
Share and Cite
Jing, L.; Zhao, F.; Zheng, L.; Meng, B.; Gao, S.; Laporte, M.; Jochmans, D.; De Jonghe, S.; Neyts, J.; Zhan, P.; et al. Optimization of SARS-CoV-2 Mpro Inhibitors by a Structure-Based Multilevel Virtual Screening Method. Int. J. Mol. Sci. 2025, 26, 670. https://doi.org/10.3390/ijms26020670
Jing L, Zhao F, Zheng L, Meng B, Gao S, Laporte M, Jochmans D, De Jonghe S, Neyts J, Zhan P, et al. Optimization of SARS-CoV-2 Mpro Inhibitors by a Structure-Based Multilevel Virtual Screening Method. International Journal of Molecular Sciences. 2025; 26(2):670. https://doi.org/10.3390/ijms26020670
Chicago/Turabian StyleJing, Lanlan, Fabao Zhao, Lin Zheng, Bairu Meng, Shenghua Gao, Manon Laporte, Dirk Jochmans, Steven De Jonghe, Johan Neyts, Peng Zhan, and et al. 2025. "Optimization of SARS-CoV-2 Mpro Inhibitors by a Structure-Based Multilevel Virtual Screening Method" International Journal of Molecular Sciences 26, no. 2: 670. https://doi.org/10.3390/ijms26020670
APA StyleJing, L., Zhao, F., Zheng, L., Meng, B., Gao, S., Laporte, M., Jochmans, D., De Jonghe, S., Neyts, J., Zhan, P., Kang, D., & Liu, X. (2025). Optimization of SARS-CoV-2 Mpro Inhibitors by a Structure-Based Multilevel Virtual Screening Method. International Journal of Molecular Sciences, 26(2), 670. https://doi.org/10.3390/ijms26020670

