Predicting the Anti-SARS-CoV-2 Potential of Isoquinoline Alkaloids from Brazilian Siparunaceae Species Using Chemometric Tools
Abstract
1. Introduction
2. Results and Discussion
2.1. Siparuna spp. Extracts Against SARS-CoV-2 Targets
2.1.1. Siparuna Extracts Inhibit Spike Protein-ACE2 Interaction
2.1.2. Siparuna Extracts Inhibit 3CLpro Activity
2.1.3. Siparuna Extracts Inhibit PLpro Activity
2.2. Chemometric Analyses Using PLS Regression Model
2.3. Annotated Compounds Using Custom Library
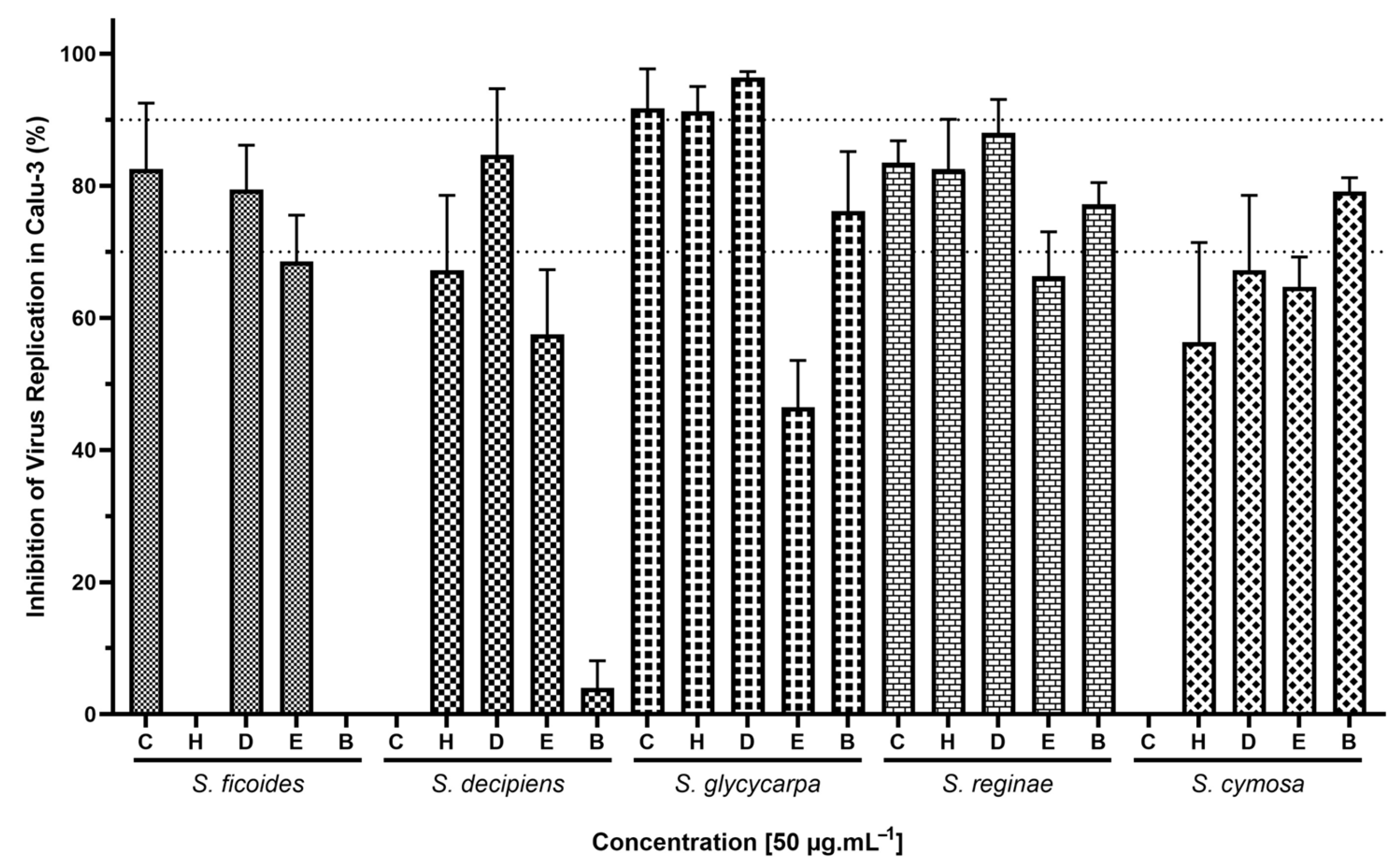
2.4. Siparunaceae Extracts Inhibit SARS-CoV-2 Replication in Human Infected Lung Cell Model
2.5. Results from ADMET Predictions
2.6. Docking Analysis
Docking in Different Targets of SARS-CoV-2
2.7. Molecular Dynamics Analysis
3. Materials and Methods
3.1. Plant Material
3.2. Functional Biological Assays
3.2.1. Lumit™ RBD:ACE2 Interaction ASSAYS
3.2.2. FRET Protease Assays with SARS-CoV-2 r3CLpro and rPLpro
3.3. UHPLC-MS/MS Analysis
3.4. Computational Analysis and Annotation of Molecules
3.5. In Vitro Studies in Calu-3 Cells
3.5.1. Cytotoxicity ASSAY
3.5.2. Anti-SARS-CoV-2 Assay
3.6. In Silico Studies
3.6.1. ADMET Predictions
3.6.2. Molecular Docking
3.6.3. Docking Consensus
3.6.4. Molecular Dynamics
4. Conclusions
Supplementary Materials
Author Contributions
Funding
Institutional Review Board Statement
Informed Consent Statement
Data Availability Statement
Acknowledgments
Conflicts of Interest
Correction Statement
References
- Chaves, O.A.; Lima, C.R.; Fintelman-Rodrigues, N.; Sacramento, C.Q.; De Freitas, C.S.; Vazquez, L.; Temerozo, J.R.; Rocha, M.E.N.; Dias, S.S.G.; Carels, N.; et al. Agathisflavone, a Natural Biflavonoid That Inhibits SARS-CoV-2 Replication by Targeting Its Proteases. Int. J. Biol. Macromol. 2022, 222, 1015–1026. [Google Scholar] [CrossRef] [PubMed]
- Bayani, F.; Hashkavaei, N.S.; Arjmand, S.; Rezaei, S.; Uskoković, V.; Alijanianzadeh, M.; Uversky, V.N.; Ranaei Siadat, S.O.; Mozaffari-Jovin, S.; Sefidbakht, Y. An Overview of the Vaccine Platforms to Combat COVID-19 with a Focus on the Subunit Vaccines. Prog. Biophys. Mol. Biol. 2023, 178, 32–49. [Google Scholar] [CrossRef] [PubMed]
- World Health Organization Coronavirus (COVID-19) Dashboard. Available online: http://covid19.who.int (accessed on 2 May 2024).
- Alcantara, L.C.J.; Nogueira, E.; Shuab, G.; Tosta, S.; Fristch, H.; Pimentel, V.; Souza-Neto, J.A.; Coutinho, L.L.; Fukumasu, H.; Sampaio, S.C.; et al. SARS-CoV-2 Epidemic in Brazil: How the Displacement of Variants Has Driven Distinct Epidemic Waves. Virus Res. 2022, 315, 198785. [Google Scholar] [CrossRef] [PubMed]
- World Health Organization Coronavirus (COVID-19) Dashboard: Brazil. Available online: https://covid19.who.int/region/amro/country/br (accessed on 2 May 2024).
- Kabir, M.T.; Uddin, M.S.; Hossain, M.F.; Abdulhakim, J.A.; Alam, M.A.; Ashraf, G.M.; Bungau, S.G.; Bin-Jumah, M.N.; Abdel-Daim, M.M.; Aleya, L. nCOVID-19 Pandemic: From Molecular Pathogenesis to Potential Investigational Therapeutics. Front. Cell Dev. Biol. 2020, 8, 616. [Google Scholar] [CrossRef] [PubMed]
- Huang, Y.; Yang, C.; Xu, X.; Xu, W.; Liu, S. Structural and Functional Properties of SARS-CoV-2 Spike Protein: Potential Antivirus Drug Development for COVID-19. Acta Pharmacol. Sin. 2020, 41, 1141–1149. [Google Scholar] [CrossRef]
- Jantan, I.; Arshad, L.; Septama, A.W.; Haque, M.A.; Mohamed-Hussein, Z.; Govender, N.T. Antiviral Effects of Phytochemicals against Severe Acute Respiratory Syndrome Coronavirus 2 and Their Mechanisms of Action: A Review. Phytother. Res. 2023, 37, 1036–1056. [Google Scholar] [CrossRef]
- Costa, R.; Martins, R.; De Lima, G.; Stamford, T.; Tadei, W.; Maciel, M.A.; Do Rêgo, A.; Xavier-Júnior, F. Molecular Docking in Silico. Analysis of Brazilian Essential Oils Against Host Targets and SARS-CoV-2 Proteins. J. Braz. Chem. Soc. 2022, 33, 1219–1235. [Google Scholar] [CrossRef]
- Tito, A.; Colantuono, A.; Pirone, L.; Pedone, E.; Intartaglia, D.; Giamundo, G.; Conte, I.; Vitaglione, P.; Apone, F. Pomegranate Peel Extract as an Inhibitor of SARS-CoV-2 Spike Binding to Human ACE2 Receptor (In Vitro): A Promising Source of Novel Antiviral Drugs. Front. Chem. 2021, 9, 638187. [Google Scholar] [CrossRef]
- Guijarro-Real, C.; Plazas, M.; Rodríguez-Burruezo, A.; Prohens, J.; Fita, A. Potential In Vitro Inhibition of Selected Plant Extracts against SARS-CoV-2 Chymotripsin-Like Protease (3CLPro) Activity. Foods 2021, 10, 1503. [Google Scholar] [CrossRef]
- Brown, A.S.; Ackerley, D.F.; Calcott, M.J. High-Throughput Screening for Inhibitors of the SARS-CoV-2 Protease Using a FRET-Biosensor. Molecules 2020, 25, 4666. [Google Scholar] [CrossRef]
- Cheohen, C.F.D.A.R.; Esteves, M.E.A.; Da Fonseca, T.S.; Leal, C.M.; Assis, F.D.L.F.; Campos, M.F.; Rebelo, R.S.; Allonso, D.; Leitão, G.G.; Da Silva, M.L.; et al. In Silico Screening of Phenylethanoid Glycosides, a Class of Pharmacologically Active Compounds as Natural Inhibitors of SARS-CoV-2 Proteases. Comput. Struct. Biotechnol. J. 2023, 21, 1461–1472. [Google Scholar] [CrossRef] [PubMed]
- He, Z.; Yuan, J.; Zhang, Y.; Li, R.; Mo, M.; Wang, Y.; Ti, H. Recent Advances towards Natural Plants as Potential Inhibitors of SARS-Cov-2 Targets. Pharm. Biol. 2023, 61, 1186–1210. [Google Scholar] [CrossRef]
- Klemm, T.; Ebert, G.; Calleja, D.J.; Allison, C.C.; Richardson, L.W.; Bernardini, J.P.; Lu, B.G.; Kuchel, N.W.; Grohmann, C.; Shibata, Y.; et al. Mechanism and Inhibition of the Papain-like Protease, PLpro, of SARS-CoV-2. EMBO J. 2020, 39, e106275. [Google Scholar] [CrossRef]
- Jin, Z.; Du, X.; Xu, Y.; Deng, Y.; Liu, M.; Zhao, Y.; Zhang, B.; Li, X.; Zhang, L.; Peng, C.; et al. Structure of Mpro from SARS-CoV-2 and Discovery of Its Inhibitors. Nature 2020, 582, 289–293. [Google Scholar] [CrossRef]
- Iacopetta, D.; Ceramella, J.; Catalano, A.; Saturnino, C.; Pellegrino, M.; Mariconda, A.; Longo, P.; Sinicropi, M.S.; Aquaro, S. COVID-19 at a Glance: An Up-to-Date Overview on Variants, Drug Design and Therapies. Viruses 2022, 14, 573. [Google Scholar] [CrossRef]
- Pérez-Vargas, J.; Shapira, T.; Olmstead, A.D.; Villanueva, I.; Thompson, C.A.H.; Ennis, S.; Gao, G.; De Guzman, J.; Williams, D.E.; Wang, M.; et al. Discovery of Lead Natural Products for Developing Pan-SARS-CoV-2 Therapeutics. Antivir. Res. 2023, 209, 105484. [Google Scholar] [CrossRef]
- Mukherjee, P.K.; Efferth, T.; Das, B.; Kar, A.; Ghosh, S.; Singha, S.; Debnath, P.; Sharma, N.; Bhardwaj, P.K.; Haldar, P.K. Role of Medicinal Plants in Inhibiting SARS-CoV-2 and in the Management of Post-COVID-19 Complications. Phytomedicine 2022, 98, 153930. [Google Scholar] [CrossRef]
- Aleem, A.; Samad, A.B.A.; Vaqar, S. Emerging Variants of SARS-CoV-2 and Novel Therapeutics Against Coronavirus (COVID-19). Available online: https://www.ncbi.nlm.nih.gov/books/NBK570580/ (accessed on 8 May 2024).
- De Loera, D. The Role of Traditional Medicine in the Fight against SARS-CoV-2. In Biomedical Innovations to Combat COVID-19; Elsevier: Amsterdam, The Netherlands, 2022; pp. 339–385. ISBN 978-0-323-90248-9. [Google Scholar]
- Abou Baker, D.H.; Hassan, E.M.; El Gengaihi, S. An Overview on Medicinal Plants Used for Combating Coronavirus: Current Potentials and Challenges. J. Agric. Food Res. 2023, 13, 100632. [Google Scholar] [CrossRef]
- Campos, M.F.; Mendonça, S.C.; Peñaloza, E.M.C.; De Oliveira, B.A.C.; Rosa, A.S.; Leitão, G.G.; Tucci, A.R.; Ferreira, V.N.S.; Oliveira, T.K.F.; Miranda, M.D.; et al. Anti-SARS-CoV-2 Activity of Ampelozizyphus amazonicus (Saracura-Mirá): Focus on the Modulation of the Spike-ACE2 Interaction by Chemically Characterized Bark Extracts by LC-DAD-APCI-MS/MS. Molecules 2023, 28, 3159. [Google Scholar] [CrossRef]
- Mendonça, S.C.; Gomes, B.A.; Campos, M.F.; da Fonseca, T.S.; Esteves, M.E.A.; Andriolo, B.V.; Cheohen, C.F.d.A.R.; Constant, L.E.C.; da Silva Costa, S.; Calil, P.T.; et al. Myrtucommulones and Related Acylphloroglucinols from Myrtaceae as a Promising Source of Multitarget SARS-CoV-2 Cycle Inhibitors. Pharmaceuticals 2024, 17, 436. [Google Scholar] [CrossRef]
- Filardi, F.L.R.; de Barros, F.; Baumgratz, J.F.A.; Bicudo, C.E.; Cavalcanti, T.B.; Coelho, M.A.N.; Costa, A.F.; Costa, D.P.; Goldenberg, R.; Labiak, P.H.; et al. The Brazil Flora Group Brazilian Flora 2020: Innovation and Collaboration to Meet Target 1 of the Global Strategy for Plant Conservation (GSPC). Rodriguésia 2018, 69, 1513–1527. [Google Scholar] [CrossRef]
- Melo, C.M.L.D.; Silva, G.A.S.; Melo, A.R.S.; Freitas, A.C.D. COVID-19 Pandemic Outbreak: The Brazilian Reality from the First Case to the Collapse of Health Services. An. Acad. Bras. Ciênc. 2020, 92, e20200709. [Google Scholar] [CrossRef] [PubMed]
- Silva, E.D.D.; Matias, S.M.S.; Barros, B.G.A.; Oliveira, F.J.V.D. A Importância Do Uso Das Plantas Medicinais, Frente Ao Cenário Atual Da Pandemia Causada Pelo SARS-CoV-2. Res. Soc. Dev. 2021, 10, e399101119834. [Google Scholar] [CrossRef]
- Leitão, G.G.; Simas, N.K.; Soares, S.S.V.; De Brito, A.P.P.; Claros, B.M.G.; Brito, T.B.M.; Delle Monache, F. Chemistry and Pharmacology of Monimiaceae: A Special Focus on Siparuna and Mollinedia. J. Ethnopharmacol. 1999, 65, 87–102. [Google Scholar] [CrossRef]
- Leitão, G.G.; Soares, S.S.V.; Brito, M.; Delle Monache, F.; De Barros, T. Kaempferol Glycosides from Siparuna apiosyce. Phytochemistry 2000, 55, 679–682. [Google Scholar] [CrossRef]
- Silva, I.; Oliveira, F.; Oliveira, R. Siparuna Aublet Genus (Siparunaceae): From Folk Medicine to Chemical Composition and Biological Activity. Trends Phytochem. Res. 2021, 5, 168–189. [Google Scholar] [CrossRef]
- Leal, C.M.; Simas, R.C.; Miranda, M.; Campos, M.F.; Gomes, B.A.; Siqueira, M.M.; Vale, G.D.; Gomes De Almeida, C.V.; Leitão, S.G.; Leitão, G.G. Amazonian Siparuna Extracts as Potential Anti-Influenza Agents: Metabolic Fingerprinting. J. Ethnopharmacol. 2021, 270, 113788. [Google Scholar] [CrossRef]
- Instituto Nacional de Pesquisas da Amazônia Herbário INPA. Available online: https://specieslink.net/search/ (accessed on 10 April 2024).
- Leal, C.M.; Leitão, S.G.; Sausset, R.; Mendonça, S.C.; Nascimento, P.H.A.; Cheohen, C.F.; Esteves, M.E.A.; Leal Da Silva, M.; Gondim, T.S.; Monteiro, M.E.S.; et al. Flavonoids from Siparuna cristata as Potential Inhibitors of SARS-CoV-2 Replication. Rev. Bras. Farmacogn. 2021, 31, 658–666. [Google Scholar] [CrossRef]
- Ouassaf, M.; Belaidi, S.; Chtita, S.; Lanez, T.; Abul Qais, F.; Md Amiruddin, H. Combined Molecular Docking and Dynamics Simulations Studies of Natural Compounds as Potent Inhibitors against SARS-CoV-2 Main Protease. J. Biomol. Struct. Dyn. 2022, 40, 11264–11273. [Google Scholar] [CrossRef]
- Elattar, M.M.; Hammoda, H.M.; Ghareeb, D.A.; El-Hosseny, M.F.; Seadawy, M.G.; Celik, I.; Darwish, R.S.; Dawood, H.M. An Integrated Strategy Combining UPLC-MS/MS, Chemometrics, Molecular Docking, and Molecular Dynamics Simulation for Metabolic Profiling of Onion (Allium cepa L.) Cultivars and Unravelling Potential Anti-COVID-19 Metabolites. S. Afr. J. Bot. 2023, 162, 885–900. [Google Scholar] [CrossRef]
- Darwish, R.S.; El-Banna, A.A.; Ghareeb, D.A.; El-Hosseny, M.F.; Seadawy, M.G.; Dawood, H.M. Chemical Profiling and Unraveling of Anti-COVID-19 Biomarkers of Red Sage (Lantana camara L.) Cultivars Using UPLC-MS/MS Coupled to Chemometric Analysis, In Vitro Study and Molecular Docking. J. Ethnopharmacol. 2022, 291, 115038. [Google Scholar] [CrossRef] [PubMed]
- Sweilam, S.H.; Alqarni, M.H.; Youssef, F.S. Antimicrobial Alkaloids from Marine-Derived Fungi as Drug Leads versus COVID-19 Infection: A Computational Approach to Explore Their Anti-COVID-19 Activity and ADMET Properties. Evid. Based Complement. Alternat. Med. 2022, 2022, 5403757. [Google Scholar] [CrossRef] [PubMed]
- Junior, A.G.; Tolouei, S.E.L.; Dos Reis Lívero, F.A.; Gasparotto, F.; Boeing, T.; De Souza, P. Natural Agents Modulating ACE-2: A Review of Compounds with Potential against SARS-CoV-2 Infections. Curr. Pharm. Des. 2021, 27, 1588–1596. [Google Scholar] [CrossRef] [PubMed]
- Sharma, D.; Sharma, N.; Manchanda, N.; Prasad, S.K.; Sharma, P.C.; Thakur, V.K.; Rahman, M.M.; Dhobi, M. Bioactivity and In Silico Studies of Isoquinoline and Related Alkaloids as Promising Antiviral Agents: An Insight. Biomolecules 2023, 13, 17. [Google Scholar] [CrossRef]
- Leal, C.M.; Leitão, S.G.; De Mello, L.L.O.; Rangel, I.D.C.; Da Silva, C.V.A.; Miranda, M.D.; Tucci, A.R.; De Assis, C.B.; Sacramento, C.D.Q.; Fintelman-Rodrigues, N.; et al. Bioassay-Guided Fractionation of Siparuna glycycarpa n-Butanol Extract with Inhibitory Activity against Influenza A(H1N1)Pdm09 Virus by Centrifugal Partition Chromatography (CPC). Molecules 2022, 27, 399. [Google Scholar] [CrossRef]
- Haider, M.; Anand, V.; Enayathullah, M.G.; Parekh, Y.; Ram, S.; Kumari, S.; Anmol; Panda, G.; Shukla, M.; Dholakia, D.; et al. Anti-SARS-CoV-2 Potential of Cissampelos Pareira L. Identified by Connectivity Map-Based Analysis and In Vitro Studies. BMC Complement. Med. Ther. 2022, 22, 114. [Google Scholar] [CrossRef]
- Abdallah, H.M.; El-Halawany, A.M.; Darwish, K.M.; Algandaby, M.M.; Mohamed, G.A.; Ibrahim, S.R.M.; Koshak, A.E.; Elhady, S.S.; Fadil, S.A.; Alqarni, A.A.; et al. Bio-Guided Isolation of SARS-CoV-2 Main Protease Inhibitors from Medicinal Plants: In Vitro Assay and Molecular Dynamics. Plants 2022, 11, 1914. [Google Scholar] [CrossRef]
- Lopez, J.; Laurito, J.; Lin, F.-T.; Duah, F.; Sharaf, M.; Aly, Y.; Wong, L.; Schiff, P. Alkaloids of Siparuna tonduziana. Planta Med. 1990, 56, 492. [Google Scholar] [CrossRef]
- Marti, G.; Eparvier, V.; Morleo, B.; Ven, J.; Apel, C.; Bodo, B.; Amand, S.; Dumontet, V.; Lozach, O.; Meijer, L.; et al. Natural Aristolactams and Aporphine Alkaloids as Inhibitors of CDK1/Cyclin B and DYRK1A. Molecules 2013, 18, 3018–3027. [Google Scholar] [CrossRef]
- Stévigny, C.; Jiwan, J.H.; Rozenberg, R.; De Hoffmann, E.; Quetin-Leclercq, J. Key Fragmentation Patterns of Aporphine Alkaloids by Electrospray Ionization with Multistage Mass Spectrometry. Rapid Commun. Mass Spectrom. 2004, 18, 523–528. [Google Scholar] [CrossRef]
- Torres Castañeda, H.G.; Colmenares Dulcey, A.J.; Isaza Martínez, J.H. Flavonoid Glycosides from Siparuna gigantotepala Leaves and Their Antioxidant Activity. Chem. Pharm. Bull. 2016, 64, 502–506. [Google Scholar] [CrossRef] [PubMed][Green Version]
- Fielding, B.C.; Da Silva Maia Bezerra Filho, C.; Ismail, N.S.M.; Sousa, D.P.D. Alkaloids: Therapeutic Potential against Human Coronaviruses. Molecules 2020, 25, 5496. [Google Scholar] [CrossRef] [PubMed]
- Lima, N.; Andrade, T.; Acquah, K.; Oliveira, M.; Gois, K.; Medeiros, L. Phytochemicals as Potential Antiviral Agents in SARS-COV-2 Therapy: An Update. Quím. Nova 2021, 44, 667–672. [Google Scholar] [CrossRef]
- Abookleesh, F.L.; Al-Anzi, B.S.; Ullah, A. Potential Antiviral Action of Alkaloids. Molecules 2022, 27, 903. [Google Scholar] [CrossRef] [PubMed]
- Mohanty, S.S.; Sahoo, C.R.; Paidesetty, S.K.; Padhy, R.N. Role of Phytocompounds as the Potential Anti-Viral Agent: An Overview. Naunyn. Schmiedebergs Arch. Pharmacol. 2023, 396, 2311–2329. [Google Scholar] [CrossRef]
- Sadeghi, M.; Miroliaei, M. Inhibitory Effects of Selected Isoquinoline Alkaloids against Main Protease (Mpro) of SARS-CoV-2, in Silico Study. Silico Pharmacol. 2022, 10, 5. [Google Scholar] [CrossRef]
- Ti, H.; Zhuang, Z.; Yu, Q.; Wang, S. Progress of Plant Medicine Derived Extracts and Alkaloids on Modulating Viral Infections and Inflammation. Drug Des. Dev. Ther. 2021, 15, 1385–1408. [Google Scholar] [CrossRef]
- Kumar, N.; Singh, A.; Gulati, H.K.; Bhagat, K.; Kaur, K.; Kaur, J.; Dudhal, S.; Duggal, A.; Gulati, P.; Singh, H.; et al. Phytoconstituents from Ten Natural Herbs as Potent Inhibitors of Main Protease Enzyme of SARS-COV-2: In Silico Study. Phytomedicine Plus 2021, 1, 100083. [Google Scholar] [CrossRef]
- Özçelik, B.; Kartal, M.; Orhan, I. Cytotoxicity, Antiviral and Antimicrobial Activities of Alkaloids, Flavonoids, and Phenolic Acids. Pharm. Biol. 2011, 49, 396–402. [Google Scholar] [CrossRef]
- Al-Zahrani, M.H.; Alghamdi, R.A. In Silico Molecular Docking Analysis of the Potential Role of Reticuline and Coclaurine as Anti-Colorectal Cancer Alkaloids. J. Pharm. Res. Int. 2022, 34, 33–42. [Google Scholar] [CrossRef]
- Rajan, M.; Prabhakaran, S.; Prusty, J.S.; Chauhan, N.; Gupta, P.; Kumar, A. Phytochemicals of Cocculus hirsutus Deciphered SARS-CoV-2 Inhibition by Targeting Main Proteases in Molecular Docking, Simulation, and Pharmacological Analyses. J. Biomol. Struct. Dyn. 2023, 41, 7406–7420. [Google Scholar] [CrossRef] [PubMed]
- Dinda, B.; Dinda, M.; Dinda, S.; Chakraborty, M. Some Natural Compounds and Their Analogues Having Potent Anti-SARS-CoV-2 and Anti-Proteases Activities as Lead Molecules in Drug Discovery for COVID-19. Eur. J. Med. Chem. Rep. 2022, 6, 100079. [Google Scholar] [CrossRef] [PubMed]
- Faisal, S.; Badshah, S.L.; Kubra, B.; Emwas, A.-H.; Jaremko, M. Alkaloids as Potential Antivirals. A Comprehensive Review. Nat. Prod. Bioprospecting 2023, 13, 4. [Google Scholar] [CrossRef] [PubMed]
- Ellinger, B.; Bojkova, D.; Zaliani, A.; Cinatl, J.; Claussen, C.; Westhaus, S.; Keminer, O.; Reinshagen, J.; Kuzikov, M.; Wolf, M.; et al. A SARS-CoV-2 Cytopathicity Dataset Generated by High-Content Screening of a Large Drug Repurposing Collection. Sci. Data 2021, 8, 70. [Google Scholar] [CrossRef] [PubMed]
- Wang, Z.; Li, K.; Maskey, A.R.; Huang, W.; Toutov, A.A.; Yang, N.; Srivastava, K.; Geliebter, J.; Tiwari, R.; Miao, M.; et al. A Small Molecule Compound Berberine as an Orally Active Therapeutic Candidate against COVID-19 and SARS: A Computational and Mechanistic Study. FASEB J. 2021, 35, e21360. [Google Scholar] [CrossRef]
- Heister, P.M.; Poston, R.N. Pharmacological Hypothesis: TPC2 Antagonist Tetrandrine as a Potential Therapeutic Agent for COVID-19. Pharmacol. Res. Perspect. 2020, 8, e00653. [Google Scholar] [CrossRef]
- Huang, S.-T.; Chen, Y.; Chang, W.-C.; Chen, H.-F.; Lai, H.-C.; Lin, Y.-C.; Wang, W.-J.; Wang, Y.-C.; Yang, C.-S.; Wang, S.-C.; et al. Scutellaria barbata D. Don Inhibits the Main Proteases (Mpro and TMPRSS2) of Severe Acute Respiratory Syndrome Coronavirus 2 (SARS-CoV-2) Infection. Viruses 2021, 13, 826. [Google Scholar] [CrossRef]
- Xia, B.; Shen, X.; He, Y.; Pan, X.; Liu, F.-L.; Wang, Y.; Yang, F.; Fang, S.; Wu, Y.; Duan, Z.; et al. SARS-CoV-2 Envelope Protein Causes Acute Respiratory Distress Syndrome (ARDS)-like Pathological Damages and Constitutes an Antiviral Target. Cell Res. 2021, 31, 847–860. [Google Scholar] [CrossRef]
- He, C.-L.; Huang, L.-Y.; Wang, K.; Gu, C.-J.; Hu, J.; Zhang, G.-J.; Xu, W.; Xie, Y.-H.; Tang, N.; Huang, A.-L. Identification of Bis-Benzylisoquinoline Alkaloids as SARS-CoV-2 Entry Inhibitors from a Library of Natural Products. Signal Transduct. Target. Ther. 2021, 6, 131. [Google Scholar] [CrossRef]
- Ghareeb, D.A.; Saleh, S.R.; Seadawy, M.G.; Nofal, M.S.; Abdulmalek, S.A.; Hassan, S.F.; Khedr, S.M.; AbdElwahab, M.G.; Sobhy, A.A.; Abdel-Hamid, A.S.A.; et al. Nanoparticles of ZnO/Berberine Complex Contract COVID-19 and Respiratory Co-Bacterial Infection in Addition to Elimination of Hydroxychloroquine Toxicity. J. Pharm. Investig. 2021, 51, 735–757. [Google Scholar] [CrossRef]
- Varghese, F.; Van Woudenbergh, E.; Overheul, G.; Eleveld, M.; Kurver, L.; Van Heerbeek, N.; Van Laarhoven, A.; Miesen, P.; Den Hartog, G.; De Jonge, M.; et al. Berberine and Obatoclax Inhibit SARS-Cov-2 Replication in Primary Human Nasal Epithelial Cells In Vitro. Viruses 2021, 13, 282. [Google Scholar] [CrossRef] [PubMed]
- Kanimozhi, G.; Pradhapsingh, B.; Singh Pawar, C.; Khan, H.A.; Alrokayan, S.H.; Prasad, N.R. SARS-CoV-2: Pathogenesis, Molecular Targets and Experimental Models. Front. Pharmacol. 2021, 12, 638334. [Google Scholar] [CrossRef] [PubMed]
- Mahoney, M.; Damalanka, V.C.; Tartell, M.A.; Chung, D.H.; Lourenço, A.L.; Pwee, D.; Mayer Bridwell, A.E.; Hoffmann, M.; Voss, J.; Karmakar, P.; et al. A Novel Class of TMPRSS2 Inhibitors Potently Block SARS-CoV-2 and MERS-CoV Viral Entry and Protect Human Epithelial Lung Cells. Proc. Natl. Acad. Sci. USA 2021, 118, e2108728118. [Google Scholar] [CrossRef]
- White, J.M.; Schiffer, J.T.; Bender Ignacio, R.A.; Xu, S.; Kainov, D.; Ianevski, A.; Aittokallio, T.; Frieman, M.; Olinger, G.G.; Polyak, S.J. Drug Combinations as a First Line of Defense against Coronaviruses and Other Emerging Viruses. mBio 2021, 12, e03347-21. [Google Scholar] [CrossRef]
- Andrade, M.A.; Cardoso, M.G.; Gomes, M.S.; Brown, L. Biological Activity of Siparuna guianensis Essential Oils: A Potential Source in the Antiviral Therapy. Braz. J. Microbiol. 2015, 56, 457–464. [Google Scholar]
- Hung, L.-H.; Guerquin, M.; Samudrala, R. GPU-Q-J, a Fast Method for Calculating Root Mean Square Deviation (RMSD) after Optimal Superposition. BMC Res. Notes 2011, 4, 97. [Google Scholar] [CrossRef]
- Wu, K.; Peng, G.; Wilken, M.; Geraghty, R.J.; Li, F. Mechanisms of Host Receptor Adaptation by Severe Acute Respiratory Syndrome Coronavirus. J. Biol. Chem. 2012, 287, 8904–8911. [Google Scholar] [CrossRef]
- Lan, J.; Ge, J.; Yu, J.; Shan, S.; Zhou, H.; Fan, S.; Zhang, Q.; Shi, X.; Wang, Q.; Zhang, L.; et al. Structure of the SARS-CoV-2 Spike Receptor-Binding Domain Bound to the ACE2 Receptor. Nature 2020, 581, 215–220. [Google Scholar] [CrossRef]
- Su, H.; Yao, S.; Zhao, W.; Li, M.; Liu, J.; Shang, W.; Xie, H.; Ke, C.; Hu, H.; Gao, M.; et al. Anti-SARS-CoV-2 Activities In Vitro of Shuanghuanglian Preparations and Bioactive Ingredients. Acta Pharmacol. Sin. 2020, 41, 1167–1177. [Google Scholar] [CrossRef]
- Kuzikov, M.; Costanzi, E.; Reinshagen, J.; Esposito, F.; Vangeel, L.; Wolf, M.; Ellinger, B.; Claussen, C.; Geisslinger, G.; Corona, A.; et al. Identification of Inhibitors of SARS-CoV-2 3CL-Pro Enzymatic Activity Using a Small Molecule In Vitro Repurposing Screen. ACS Pharmacol. Transl. Sci. 2021, 4, 1096–1110. [Google Scholar] [CrossRef]
- Shen, Z.; Ratia, K.; Cooper, L.; Kong, D.; Lee, H.; Kwon, Y.; Li, Y.; Alqarni, S.; Huang, F.; Dubrovskyi, O.; et al. Design of SARS-CoV-2 PLpro Inhibitors for COVID-19 Antiviral Therapy Leveraging Binding Cooperativity. J. Med. Chem. 2022, 65, 2940–2955. [Google Scholar] [CrossRef] [PubMed]
- Calleja, D.J.; Kuchel, N.; Lu, B.G.C.; Birkinshaw, R.W.; Klemm, T.; Doerflinger, M.; Cooney, J.P.; Mackiewicz, L.; Au, A.E.; Yap, Y.Q.; et al. Insights Into Drug Repurposing, as Well as Specificity and Compound Properties of Piperidine-Based SARS-CoV-2 PLpro Inhibitors. Front. Chem. 2022, 10, 861209. [Google Scholar] [CrossRef]
- Skoltech iMolecule. Available online: https://sites.skoltech.ru/imolecule/tools/bitenet (accessed on 4 April 2024).
- Eweas, A.F.; Alhossary, A.A.; Abdel-Moneim, A.S. Molecular Docking Reveals Ivermectin and Remdesivir as Potential Repurposed Drugs Against SARS-CoV-2. Front. Microbiol. 2021, 11, 592908. [Google Scholar] [CrossRef] [PubMed]
- Ministério da Saúde. Medicamentos para COVID-19. Available online: https://www.gov.br/anvisa/pt-br/assuntos/paf/coronavirus/medicamentos (accessed on 3 July 2023).
- European Medicines Agency. COVID-19 Medicines. Available online: https://www.ema.europa.eu/en/human-regulatory/overview/public-health-threats/coronavirus-disease-covid-19/covid-19-medicines#authorised-covid-19-treatments-section (accessed on 3 July 2023).
- Food & Drug Administration. Coronavirus Drugs. Available online: https://www.fda.gov/drugs/emergency-preparedness-drugs/coronavirus-covid-19-drugs (accessed on 3 July 2023).
- Pinto, A.M.; Ribeiro, R.J.; Alencar, J.D.C.; Barbosa, A.P. Fenologia de Simarouba Amara Aubl. Na Reserva Florestal Adolpho Ducke, Manaus, AM. Acta Amaz. 2005, 35, 347–352. [Google Scholar] [CrossRef]
- Dludla, P.V.; Jack, B.; Viraragavan, A.; Pheiffer, C.; Johnson, R.; Louw, J.; Muller, C.J.F. A Dose-Dependent Effect of Dimethyl Sulfoxide on Lipid Content, Cell Viability and Oxidative Stress in 3T3-L1 Adipocytes. Toxicol. Rep. 2018, 5, 1014–1020. [Google Scholar] [CrossRef]
- World Health Organization. Laboratory Biosafety Guidance Related to SARS-CoV-2 (COVID-19): Interim Guidance (Update). Available online: https://policycommons.net/artifacts/11487640/laboratory-biosafety-guidance-related-to-sars-cov-2-covid-19/12378871/ (accessed on 2 May 2024).
- Daina, A.; Michielin, O.; Zoete, V. SwissADME: A Free Web Tool to Evaluate Pharmacokinetics, Drug-Likeness and Medicinal Chemistry Friendliness of Small Molecules. Sci. Rep. 2017, 7, 42717. [Google Scholar] [CrossRef]
- Molecular Modeling Group of the Swiss Institute of Bioinformatics. SwissADME: SwissDrugDesign. Available online: http://www.swissadme.ch (accessed on 4 April 2024).
- Sander, T.; Freyss, J.; Von Korff, M.; Rufener, C. DataWarrior: An Open-Source Program For Chemistry Aware Data Visualization And Analysis. J. Chem. Inf. Model. 2015, 55, 460–473. [Google Scholar] [CrossRef]
- Sander, T. Openmolecules.Org. Available online: https://openmolecules.org/about.html (accessed on 1 January 2024).
- Berman, H.M.; Bhat, T.N.; Bourne, P.E.; Feng, Z.; Gilliland, G.; Weissig, H.; Westbrook, J. The Protein Data Bank and the Challenge of Structural Genomics. Nat. Struct. Mol. Biol. 2000, 7, 957–959. [Google Scholar] [CrossRef]
- RCSB Protein Data Bank (RCSB PDB). Available online: https://www.rcsb.org/ (accessed on 3 April 2024).
- wwPDB consortium; Burley, S.K.; Berman, H.M.; Bhikadiya, C.; Bi, C.; Chen, L.; Costanzo, L.D.; Christie, C.; Duarte, J.M.; Dutta, S.; et al. Protein Data Bank: The Single Global Archive for 3D Macromolecular Structure Data. Nucleic Acids Res. 2019, 47, D520–D528. [Google Scholar] [CrossRef]
- Kozlovskii, I.; Popov, P. Spatiotemporal Identification of Druggable Binding Sites Using Deep Learning. Commun. Biol. 2020, 3, 618. [Google Scholar] [CrossRef]
- Kozlovskii, I.; Popov, P. Protein–Peptide Binding Site Detection Using 3D Convolutional Neural Networks. J. Chem. Inf. Model. 2021, 61, 3814–3823. [Google Scholar] [CrossRef] [PubMed]
- Kozlovskii, I.; Popov, P. Structure-Based Deep Learning for Binding Site Detection in Nucleic Acid Macromolecules. NAR Genom. Bioinform. 2021, 3, lqab111. [Google Scholar] [CrossRef] [PubMed]
- De Azevedo, W., Jr. MolDock Applied to Structure-Based Virtual Screening. Curr. Drug Targets 2010, 11, 327–334. [Google Scholar] [CrossRef]
- Thomsen, R.; Christensen, M.H. MolDock: A New Technique for High-Accuracy Molecular Docking. J. Med. Chem. 2006, 49, 3315–3321. [Google Scholar] [CrossRef]
- Damayanti; Prakoeswa, C.R.S.; Purwanto, D.A.; Endaryanto, A.; Siswandono. Molecullar Docking of Epigallocatechin-3-Gallate (EGCG) on Keap1-Nrf2 Complex Protein in Photoaging Prevention. Medico-Leg. Update 2020, 20, 305–311. [Google Scholar] [CrossRef]
- Dassault Systemes Biovia. Discovery Studio visualizer v20.1; Dassault Systemes BIOVIA: San Diego, CA, USA, 2019; Available online: https://discover.3ds.com/discovery-studio-visualizer-download (accessed on 1 January 2025).
- Palacio-Rodríguez, K.; Lans, I.; Cavasotto, C.N.; Cossio, P. Exponential Consensus Ranking Improves the Outcome in Docking and Receptor Ensemble Docking. Sci. Rep. 2019, 9, 5142. [Google Scholar] [CrossRef]
- Blanes-Mira, C.; Fernández-Aguado, P.; De Andrés-López, J.; Fernández-Carvajal, A.; Ferrer-Montiel, A.; Fernández-Ballester, G. Comprehensive Survey of Consensus Docking for High-Throughput Virtual Screening. Molecules 2022, 28, 175. [Google Scholar] [CrossRef]
- Rishton, G.M. Nonleadlikeness and Leadlikeness in Biochemical Screening. Drug Discov. Today 2003, 8, 86–96. [Google Scholar] [CrossRef]
- Veber, D.F.; Johnson, S.R.; Cheng, H.-Y.; Smith, B.R.; Ward, K.W.; Kopple, K.D. Molecular Properties That Influence the Oral Bioavailability of Drug Candidates. J. Med. Chem. 2002, 45, 2615–2623. [Google Scholar] [CrossRef]
- Wahyuni, T.S.; Utsubo, C.A.; Hotta, H. Promising Anti-Hepatitis C Virus Compounds from Natural Resources. Nat. Prod. Commun. 2016, 11, 1193–1200. [Google Scholar] [CrossRef]
- Koutsoudakis, G.; Romero-Brey, I.; Berger, C.; Pérez-Vilaró, G.; Monteiro Perin, P.; Vondran, F.W.R.; Kalesse, M.; Harmrolfs, K.; Müller, R.; Martinez, J.P.; et al. Soraphen A: A Broad-Spectrum Antiviral Natural Product with Potent Anti-Hepatitis C Virus Activity. J. Hepatol. 2015, 63, 813–821. [Google Scholar] [CrossRef]
- GRACE. Available online: https://plasma-gate.weizmann.ac.il/Grace/ (accessed on 2 May 2024).
- Elsebai, M.F.; Koutsoudakis, G.; Saludes, V.; Pérez-Vilaró, G.; Turpeinen, A.; Mattila, S.; Pirttilä, A.M.; Fontaine-Vive, F.; Mehiri, M.; Meyerhans, A.; et al. Pan-Genotypic Hepatitis C Virus Inhibition by Natural Products Derived from the Wild Egyptian Artichoke. J. Virol. 2016, 90, 1918–1930. [Google Scholar] [CrossRef]
















| ID | Rt (min) | Molecular Formula | [M + H]+ m/z | Source | MS/MS (MS2) | Proposed Compound | Ref. |
|---|---|---|---|---|---|---|---|
| 1 | 9.0 | C17H19NO3 | 286 | ESI | 269 (-NH3), 237 (-NH3-CH3OH), 209 (-NH3-CH3OH-CO), 191 (-NH3-CH3OH-CO-H2O) | coclaurine | [31,40] |
| 2 | 10.1 | C19H23NO4 | 330 | APCI | 299 (-CH3NH2), 281 (-CH3NH2-H2O), 267 (-CH3NH2-CH3OH), 235 (-CH3NH2-2xCH3OH), 207 (-CH3NH2-2xCH3OH-CO) | reticuline | [31,40] |
| 3 | 10.3 | C19H21NO4 | 328 | ESI/APCI | 297 (-CH3NH2), 282 (-CH3NH2-CH3), 265 (-CH3NH2-CH3OH), 237 (-CH3NH2-CH3OH-CO) | boldine | [40] |
| 4 | 10.6 | C18H19NO4 | 314 | APCI | 297 (-NH3), 282 (-CH3OH), 265 (-NH3-CH3OH) | laurolitsine | [31] |
| 5 | 10.8 | C17H17NO2 | 268 | ESI | 251 (-NH3), 219 (-NH3-CH3OH), 191 (-NH3-CH3OH-CO) | asimilobine | [43] |
| 6 | 11.2 | C18H17NO4 | 312 | ESI | 295 (-NH3), 280 (-CH3OH), 263 (-NH3-CH3OH), 254 (-CH2O-CO) | actinodaphnine | [31,44] |
| 7 | 11.6 | C19H19NO4 | 326 | ESI | 295 (-CH3NH2), 280 (-CH3NH2-CH3), 263 (-CH3NH2-CH3OH), 235 (-CH3NH2-CH3OH-CO) | bulbocapnine | [31] |
| ID | CYP | ||||
|---|---|---|---|---|---|
| CYP1A2 | CYP2C19 | CYP2C9 | CYP2D6 | CYP3A4 | |
| 1 | No | No | No | Yes | No |
| 2 | No | No | No | Yes | No |
| 3 | Yes | No | No | Yes | Yes |
| 4 | Yes | No | No | Yes | Yes |
| 5 | Yes | No | No | Yes | Yes |
| 6 | Yes | No | No | Yes | Yes |
| 7 | Yes | Yes | Yes | Yes | Yes |
| Protein ID | Ligand | Redocking, RMSD Value (Å) | Reference |
|---|---|---|---|
| 3CLpro (6M2N) | 5,6,7-trihydroxy-2-phenyl-4H-chromen-4one | 0.1019 | [74] |
| 3CLpro (7B3E) | 3,5,7-trihydroxy-2-(3,4,5-trihydroxyphenyl)-4H-chr- romen-4-one | 0.1583 | [75] |
| PLpro (7LBR) | 5-[(azetidine-3-yl)amino]-N-[(1R)-1-{3-[5-({[(1S,3R)-3-hydroxycyclopentyl]amino}methyl)thiophe-n-2-yl]phenyl}ethyl]-2-methylbenzamide | 1.1780 | [76] |
| PLpro (7TZJ) | –[(3-fluorophenyl)methyl]-1-[(1R)-1-naphtalen-1-ylethyl]piperidine-4-carboxamide | 1.2253 | [77] |
| ID | Spike Protein | 3CLpro | PLpro | ||||||
|---|---|---|---|---|---|---|---|---|---|
| p Total (3SCI) | p Total (6M0J) | (p) Enzyme | p Total (6M2N) | p Total (7B3E) | (p) Enzyme | p Total (7LBR) | p Total (7TZJ) | (p) enzyme | |
| 1 | 0.68 | 0.76 | 0.72 | 0.87 | 0.72 | 0.80 | 0.62 * | 0.76 | 0.69 * |
| 2 | 0.73 | 0.66 | 0.69 | 0.89 | 0.89 * | 0.89 * | 0.54 | 0.66 | 0.60 |
| 3 | 0.72 | 0.69 | 0.71 | 0.89 | 0.79 | 0.84 | 0.57 | 0.64 | 0.61 |
| 4 | 0.64 | 0.63 | 0.64 | 0.71 | 0.45 | 0.58 | 0.54 | 0.65 | 0.60 |
| 5 | 0.77 * | 0.69 | 0.73 * | 0.85 | 0.88 | 0.87 | 0.61 | 0.72 | 0.66 * |
| 6 | 0.74 | 0.69 | 0.72 | 0.89 | 0.72 | 0.81 | 0.56 | 0.76 | 0.65 |
| 7 | 0.75 | 0.78 * | 0.77 * | 0.94 * | 0.87 | 0.90 * | 0.45 | 0.84 * | 0.65 |
| PDB/PC | 1.0 | 0.97 | 0.98 | 0.85 | 0.60 | 0.72 | 1.0 | 0.99 | 0.99 |
Disclaimer/Publisher’s Note: The statements, opinions and data contained in all publications are solely those of the individual author(s) and contributor(s) and not of MDPI and/or the editor(s). MDPI and/or the editor(s) disclaim responsibility for any injury to people or property resulting from any ideas, methods, instructions or products referred to in the content. |
© 2025 by the authors. Licensee MDPI, Basel, Switzerland. This article is an open access article distributed under the terms and conditions of the Creative Commons Attribution (CC BY) license (https://creativecommons.org/licenses/by/4.0/).
Share and Cite
Gomes, B.A.; Fernandes, D.A.; Mendonça, S.C.; Campos, M.F.; da Fonseca, T.S.; Constant, L.E.C.; de Sousa, N.F.; Priscila Barros de Menezes, R.; de Oliveira, B.A.C.; da Silva Costa, S.; et al. Predicting the Anti-SARS-CoV-2 Potential of Isoquinoline Alkaloids from Brazilian Siparunaceae Species Using Chemometric Tools. Int. J. Mol. Sci. 2025, 26, 633. https://doi.org/10.3390/ijms26020633
Gomes BA, Fernandes DA, Mendonça SC, Campos MF, da Fonseca TS, Constant LEC, de Sousa NF, Priscila Barros de Menezes R, de Oliveira BAC, da Silva Costa S, et al. Predicting the Anti-SARS-CoV-2 Potential of Isoquinoline Alkaloids from Brazilian Siparunaceae Species Using Chemometric Tools. International Journal of Molecular Sciences. 2025; 26(2):633. https://doi.org/10.3390/ijms26020633
Chicago/Turabian StyleGomes, Brendo Araujo, Diégina Araújo Fernandes, Simony Carvalho Mendonça, Mariana Freire Campos, Thamirys Silva da Fonseca, Larissa Esteves Carvalho Constant, Natalia Ferreira de Sousa, Renata Priscila Barros de Menezes, Beatriz Albuquerque Custódio de Oliveira, Stephany da Silva Costa, and et al. 2025. "Predicting the Anti-SARS-CoV-2 Potential of Isoquinoline Alkaloids from Brazilian Siparunaceae Species Using Chemometric Tools" International Journal of Molecular Sciences 26, no. 2: 633. https://doi.org/10.3390/ijms26020633
APA StyleGomes, B. A., Fernandes, D. A., Mendonça, S. C., Campos, M. F., da Fonseca, T. S., Constant, L. E. C., de Sousa, N. F., Priscila Barros de Menezes, R., de Oliveira, B. A. C., da Silva Costa, S., Frensel, G. B., Rosa, A. S., Oliveira, T. K. F., Tucci, A. R., Lima, J. N. H., Ferreira, V. N. S., Miranda, M. D., Allonso, D., Scotti, M. T., ... Leitão, G. G. (2025). Predicting the Anti-SARS-CoV-2 Potential of Isoquinoline Alkaloids from Brazilian Siparunaceae Species Using Chemometric Tools. International Journal of Molecular Sciences, 26(2), 633. https://doi.org/10.3390/ijms26020633

