A Comparative Kinetic and Thermodynamic Adsorption Study of Methylene Blue and Its Analogue Dye on Filter Paper
Abstract
1. Introduction
2. Results and Discussion
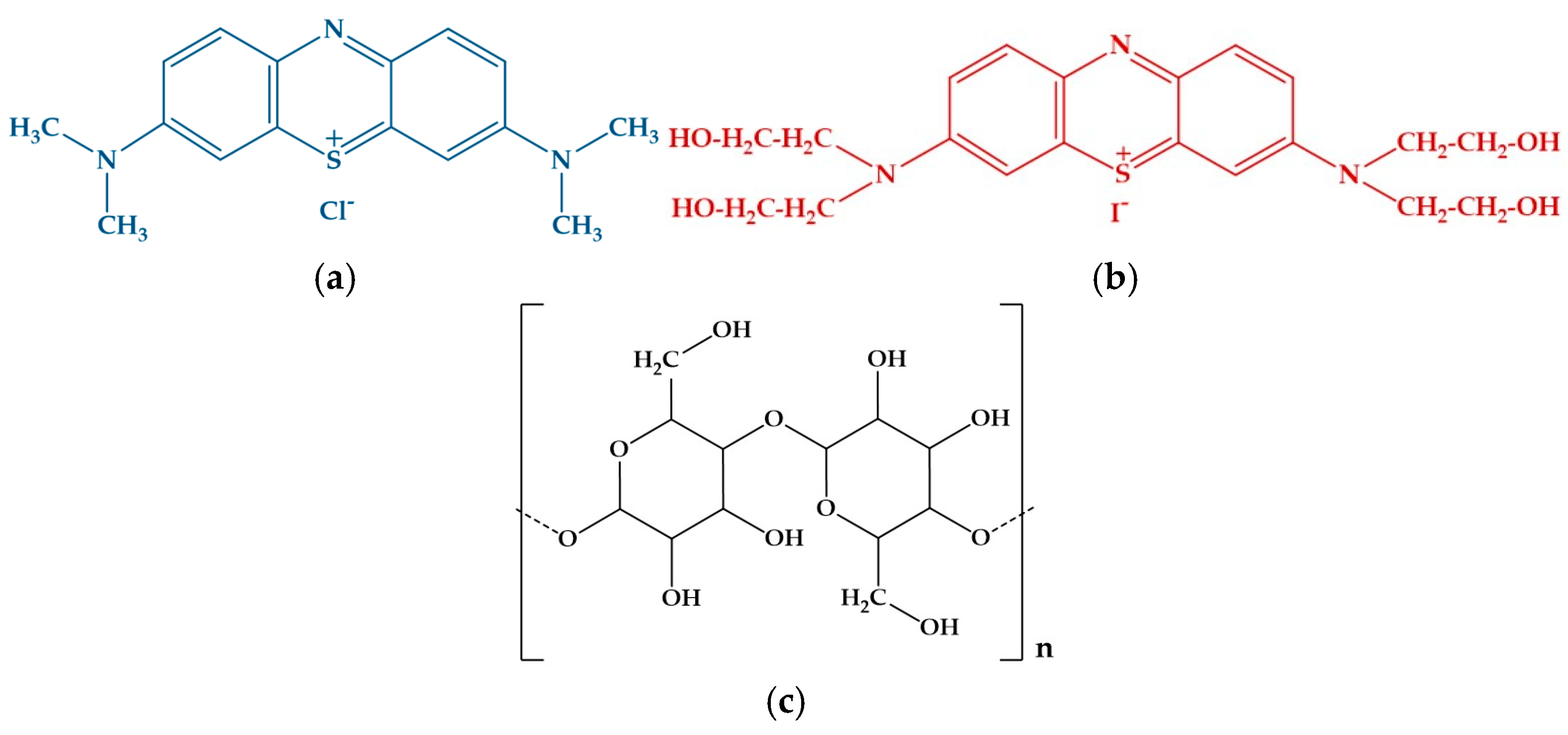
2.1. Characterization of the Adsorbent
- (i)
- It is obtained from the refined pulp of short-fibred seed hairs from cotton seeds, a low-cost, renewable, and environmentally friendly source;
- (ii)
- It is highly standardized (see Figure 1a);
- (iii)
- It consists of 95% α-cellulose;
- (iv)
- It is virtually ashless, with an average content of about 0.1% ash. Hence, the provider guarantees that no chemical species will be extracted or leaked from the paper during employment;
- (v)
- It is recommended for general laboratory use, in most cases as an alternative to another product with good absorptive capacity (MN 713).
2.2. Principle of Experiments
2.3. Statistical Parameters Used in Kinetic and Thermodynamic Model Quality Assessment
2.4. Kinetic Data and Models
2.4.1. Kinetic Data
- (i)
- The higher the initial dye concentration of the liquid, the less of the process advances within these first minutes,
- (ii)
- The fast initial process advance for 0.15 mg/g m0,dye/mpaper, corresponding to C0,dye of 1.5 mg/L, is due in the case of MB to adsorption both by the paper and the vessel’s inner surface (see the significant corresponding values in Figure 3). In the case of MBI, it is due solely to paper adsorption.
2.4.2. Employed Kinetic Models
2.4.3. Analysis of Kinetic Model Quality and Choice of Most Suitable Model(s)
- (i)
- the process being described again by a simple 2-parameter model, with α and β values being calculated from data describing at most the “remaining” 80% of process advance towards equilibrium, and
- (ii)
- the process not being a chemisorption (see Section 2.5.1 and Section 2.5.3) and not far from equilibrium, hence not following the model assumptions.
2.4.4. Process Kinetics and Kinetic Parameter Values
- (i)
- Obtained values have the same order of magnitude for both dyes.
- (ii)
- At the same temperature, k1,WM values are higher than k2,WM ones (Figure 11a–d resemble Figure 9a–d). This fact is supported by results given in Table 3, which exhibit lower B1 than B2 values. Since these are associated with S-L boundary layer thickness and film layer diffusion resistance, their evolution with varying experimental conditions ought to reflect the reverse tendency as followed by their corresponding kWM values.
- (iii)
- (iv)
- (v)
- (vi)
2.5. Equilibrium Data and Models
2.5.1. Equilibrium Data
2.5.2. Employed Adsorption Isotherm Models and Choice of Most Suitable Model
2.5.3. Adsorption Isotherm, Thermodynamic Parameters, and Adsorption Mechanism
3. Materials and Methods
4. Conclusions
Author Contributions
Funding
Institutional Review Board Statement
Informed Consent Statement
Data Availability Statement
Acknowledgments
Conflicts of Interest
Appendix A
- The adjusted coefficient of determination (R2adj) is one of the most often used such indicators [27]. Since it correlates the R2 determination coefficient with the number of model parameters (Npara), as well as the amount of data employed in their calculus (Nexp)—see Equation (A1), it enables fair comparison both between models with different Npara and experiments with unequal Nexp. Values close to 1 are ideal, yet models with R2adj above 0.9 are considered acceptable.
- Another widely used parameter is the root means square error (RMSE), also called root means square deviation (RMSD) [26,28]. Its use tests the superposition between the model predicted/calculated and the experimental values—see Equation (A2). Since it takes into consideration only Nexp, it may be used to compare various models having equal Npara. Very good models have close to zero RMSE values.qexp and qcalc stand for the experimental and model calculated values, respectively, of adsorption capacity q, for the data point “i”.
- To overcome the shortcomings of RMSE, which assumes that errors are unbiased, free from outliers, and follow normal distribution [26], some researchers used another error evaluation function, which balances absolute deviations against fractional error [26]. The hybrid fractional error deviation (Hybrid), described by Equation (A3), considers both Nexp and Npara. Hence, it is more suitable than RMSE for comparison of models with unequal Npara. Very good models have close to zero Hybrid values.
- Another method of assessing whether a certain model fits the entire experimental range of data, for example, in kinetic measurements of the entire evolution in time of the process, is the plot of error distribution of residuals as related to the corresponding mean experimental value—see Equation (A4), against/within the considered experimental range.It helps identifying undesired trends of just positive or negative, as well as continuously increasing or decreasing error series. Hence, symmetric distribution around zero value is desired. It must be mentioned that model error distribution diagrams ought to be used for the assessment of model prediction quality only if the errors in recording experimental data (values of qexp) do not exceed more than ±10% [26].
Appendix B
| (a) PFO | (b) PSO | ||||||
| T (K) | m0,dye/mpaper (mg/g) | R2 adj | RMSE | Hybrid | R2 adj | RMSE | Hybrid |
| 298 | 0.15 | 0.9375 | 0.0462 | 27.139 | 0.9996 | 0.0099 | 1.577 |
| 0.35 | 0.9059 | 0.0905 | 36.244 | 0.9985 | 0.0245 | 4.559 | |
| 0.50 | 0.9546 | 0.0952 | 35.992 | 0.9871 | 0.0362 | 4.900 | |
| 0.65 | 0.9768 | 0.0882 | 29.093 | 0.9432 | 0.0551 | 7.875 | |
| 318 | 0.50 | 0.9758 | 0.0640 | 16.973 | 0.9961 | 0.0208 | 2.326 |
| 338 | 0.50 | 0.8807 | 0.1013 | 24.539 | 0.9976 | 0.0181 | 1.059 |
| (c) Avrami | (d) Vermeulen | ||||||
| T (K) | m0,dye/mpaper (mg/g) | R2 adj | RMSE | Hybrid | R2 adj | RMSE | Hybrid |
| 298 | 0.15 | 0.9141 | 0.0501 | 24.238 | 0.9212 | 0.0203 | 5.490 |
| 0.35 | 0.9708 | 0.1627 | 72.775 | 0.9338 | 0.0310 | 4.970 | |
| 0.50 | 0.9627 | 0.2345 | 100.063 | 0.9749 | 0.0363 | 5.033 | |
| 0.65 | 0.9317 | 0.2411 | 97.948 | 0.9456 | 0.0485 | 6.529 | |
| 318 | 0.50 | 0.9567 | 0.1373 | 30.657 | 0.9575 | 0.0212 | 2.008 |
| 338 | 0.50 | 0.9191 | 0.1078 | 69.177 | 0.9291 | 0.0314 | 1.840 |
| (e) WM mono-linear | (f) Elovich | ||||||
| T (K) | m0,dye/mpaper (mg/g) | R2 adj | RMSE | Hybrid | R2 adj | RMSE | Hybrid |
| 298 | 0.15 | 0.6729 | 0.0945 | 77.736 | 0.9288 | 0.0055 | 0.285 |
| 0.35 | 0.8029 | 0.1463 | 57.292 | 0.9706 | 0.0129 | 0.509 | |
| 0.50 | 0.9395 | 0.1054 | 25.543 | 0.9323 | 0.0196 | 1.144 | |
| 0.65 | 0.9889 | 0.0671 | 12.309 | 0.8871 | 0.0345 | 2.083 | |
| 318 | 0.50 | 0.8797 | 0.1067 | 22.074 | 0.9707 | 0.0182 | 2.176 |
| 338 | 0.50 | 0.6978 | 0.1654 | 39.431 | 0.9206 | 0.0267 | 2.403 |
| (g) DE | |||||||
| T (K) | m0,dye/mpaper (mg/g) | 0.9538 | 0.0367 | 11.005 | |||
| 298 | 0.15 | 0.9799 | 0.0670 | 11.461 | |||
| 0.35 | 0.9765 | 0.0226 | 0.8578 | ||||
| 0.50 | 0.9745 | 0.0039 | 0.0242 | ||||
| 0.65 | 0.9894 | 0.0282 | 1.1906 | ||||
| 318 | 0.50 | 0.9918 | 0.0553 | 4.0473 | |||
| 338 | 0.50 | 0.9538 | 0.0367 | 11.005 | |||
References
- Khan, I.; Saeed, K.; Zekker, I.; Zhang, B.; Hendi, A.H.; Ahmad, A.; Ahmad, S.; Zada, N.; Ahmad, H.; Shah, L.A.; et al. Review on methylene blue: Its properties, uses, toxicity and photodegradation. Water 2022, 14, 242. [Google Scholar] [CrossRef]
- Santoso, E.; Ediati, R.; Kusumawati, Y.; Bahruji, H.; Sulistiono, D.O.; Prasetyoko, D. Review on recent advances of carbon-based adsorbent for methylene blue removal from waste water. Mater. Today Chem. 2020, 16, 100233. [Google Scholar] [CrossRef]
- Mashkoor, F.; Nasar, A. Magsorbents: Potential candidates in wastewater treatment technology-A review on the removal of methylene blue dye. J. Magn. Magn. Mater. 2020, 500, 166408. [Google Scholar] [CrossRef]
- Handayani, T.; Ramadhani, P.; Zein, R. Modelling studies of methylene blue dye removal using activated corn husk waste: Isotherm, kinetic and thermodynamic evaluation. S. Afr. J. Chem. Eng. 2024, 47, 15–27. [Google Scholar] [CrossRef]
- Padnya, P.L.; Khadieva, A.I.; Stoikov, I.I. Current achievements and perspectives in synthesis and applications of 3,7-disubstituted phenothiazines as methylene blue analogues. Dye. Pigm. 2023, 208, 110806. [Google Scholar] [CrossRef]
- Dimbo, D.; Abewaa, M.; Adino, E.; Mengistu, A.; Takele, T.; Oro, A.; Rangaraju, M. Methylene blue adsorption from aqueous solution using activated carbon of Spathodea campanulata. Results Eng. 2024, 21, 101910. [Google Scholar] [CrossRef]
- Hokkanen, S.; Bhatnagar, A.; Sillanpää, M. A review on modification methods to cellulose-based adsorbents to improve adsorption capacity. Water Res. 2016, 91, 156–173. [Google Scholar] [CrossRef] [PubMed]
- Lombardo, S.; Thielemans, W. Thermodynamics of adsorption on nanocellulose surfaces. Cellulose 2019, 26, 249–279. [Google Scholar] [CrossRef]
- ***, Filtration. Discover MN.; Instrument Solutions Benelux BV: Nieuwegein, The Netherlands, 2015.
- Siqueira, T.C.A.; da Silva, I.Z.; Rubio, A.J.; Bergamasco, R.; Gasparotto, F.; de Souza Paccola, E.A.; Yamaguchi, N.U. Sugarcane bagasse as an efficient biosorbent for methylene blue removal: Kinetics, isotherms and thermodynamics. Int. J. Environ. Res. Public Health 2020, 17, 526. [Google Scholar] [CrossRef] [PubMed]
- Mosoarca, G.; Popa, S.; Vancea, C.; Dan, M.; Boran, S. Modelling and optimization of methylene blue adsorption process on Leonurus cardiaca L. biomass powder. Processes 2023, 11, 3385. [Google Scholar] [CrossRef]
- Djama, C.; Bouguettoucha, A.; Chebli, D.; Amrane, A.; Tahraoui, H.; Zhang, J.; Mouni, L. Experimental and theoretical study of methylene blue adsorption on a new raw material, Cynara scolymus—A statistical physics assessment. Sustainability 2023, 15, 10364. [Google Scholar] [CrossRef]
- Mosoarca, G.; Popa, S.; Vancea, C.; Dan, M.; Boran, S. Removal of methylene blue from aqueous solutions using a new natural lignocellulosic adsorbent-Raspberry (Rubus idaeus) leaves powder. Polymers 2022, 14, 1966. [Google Scholar] [CrossRef] [PubMed]
- Abdus-Salam, N.; Ikudayisi-Ugbe, A.V.; Ugbe, F.A. Adsorptive removal of methylene blue from synthetic wastewater using palm seeds, goethite, and their composite. Acta Sci. Malays. 2021, 5, 27–35. [Google Scholar] [CrossRef]
- Gal, M.; Turza, A.; Stoean, B.; Gaina, L.; Cristea, C.; Lovász, T.; Porumb, D.; Silaghi-Dumitrescu, L. Alternative procedures for the green synthesis of 3,7-bis(N,N-(2-hydroxyethyl)amino)-phenothiazinium dye. Stud. Univ. Babes-Bolyai Chem. 2022, 67, 303–314. [Google Scholar] [CrossRef]
- Wainwright, M. Anti-infective dyes in the time of COVID. Dye. Pigm. 2021, 196, 109813. [Google Scholar] [CrossRef]
- Cwalinski, T.; Polom, W.; Marano, L.; Roviello, G.; D’Angelo, A.; Cwalina, N.; Matuszewski, M.; Roviello, F.; Jaskiewicz, J.; Polom, K. Methylene blue-current knowledge, fluorescent properties, and its future use. J. Clin. Med. 2020, 9, 3538. [Google Scholar] [CrossRef]
- Kumar, G.L.; Kiernan, J.A. (Eds.) Education Guide. Special stains and H & E, 2nd ed.; Dako North America: Carpinteria, CA, USA, 2010; p. 3. [Google Scholar]
- Stoean, B.; Lupan, I.; Cristea, C.; Silion, M.; Silaghi-Dumitrescu, L.; Silaghi-Dumitrescu, R.; Gaina, L.I. Outcomes of folic acid esterification upon the properties of hydrophilic phenothiazinium dyes: New photosensitizers for antimicrobial photodynamic therapy. J. Photochem. Photobiol. A Chem. 2024, 451, 115500. [Google Scholar] [CrossRef]
- Stoean, B.; Lehene, M.; Zagrean-Tuza, C.; Silaghi-Dumitrescu, R.; Cristea, C.; Gaina, L. Transient radical species and oxygen colorimetric indicators grounded on phenothiazinium dyes. Spectrochim. Acta A Mol. Biomol. Spectrosc. 2024, 320, 124602. [Google Scholar] [CrossRef] [PubMed]
- Stoean, B.; Gaina, K.; Cristea, C.; Silaghi-Dumitrescu, R.; Branzanic, A.M.V.; Focsan, M.; Fischer-Fodor, E.; Tigu, B.; Moldovan, C.; Cecan, A.D.; et al. New methylene blue analogues with N-piperidinyl-carbinol units: Synthesis, optical properties, and in vitro internalization in human ovarian cancer cells. Dye. Pigm. 2022, 205, 110460. [Google Scholar] [CrossRef]
- Gal, M.; Gaina, L.; Lovasz, T.; Gal, E.; Craciun, A.-M.; Focsan, M.; Turza, A.; Rugina, D.; Brânzanic, A.M.V.; Pesek, S.; et al. Sonochemical synthesis, optical properties and DFT studies on novel (N-arylamino)phenothiazinium dyes suitable for fluorescence cells imaging. Spectrochim. Acta A Mol. Biomol. Spectrosc. 2024, 322, 124768. [Google Scholar] [CrossRef]
- Penshovska, V.; Atanaskova, E.; Cholakova, I.; Stojanovska, N.A.; Angelovska, V.; Mojsovska, M. Selection of filter for sterilization using process of membrane filtration based on potential adsorption of benzalkonium chloride on Filter membranes. In Proceedings of the 7th Conference on Pharmacy (Modern Trends in Pharmacy, Opportunities and Challenges), Ohrid, Macedonia, 5–9 October 2022. [Google Scholar]
- Gurung, M.; Adhikari, B.B.; Gao, X.; Alam, S.; Inoue, K. Sustainability in the metallurgical industry: Chemically modified cellulose for selective biosorption of gold from mixtures of base metals in chloride media. Ind. Eng. Chem. Res. 2014, 53, 8565–8576. [Google Scholar] [CrossRef]
- Ganjoo, R.; Sharma, S.; Kumar, A.; Daouda, M.M.A. Activated carbon: Fundamentals, classification and proprieties. In Activated Carbon: Progress and Applications; Verma, C., Quraishi, M.A., Eds.; The Royal Society of Chemistry/CPI Group Ltd.: Croydon, UK, 2023; pp. 1–22. [Google Scholar]
- Rahman, M.M.; Muttakin, M.; Pal, A.; Shafiullah, A.Z.; Saha, B.B. A statistical approach to determine optimal models for IUPAC-classified adsorption isotherms. Energies 2019, 12, 4565. [Google Scholar] [CrossRef]
- Wang, J.; Guo, X. Adsorption kinetic models: Physical meaning, applications, and solving methods. J. Hazard. Mater. 2020, 390, 122156. [Google Scholar] [CrossRef] [PubMed]
- Tan, K.L.; Hameed, B.H. Insight into the adsorption kinetics models for the removal of contaminants from aqueous solutions. J. Taiwan Inst. Chem. Eng. 2017, 74, 25–48. [Google Scholar] [CrossRef]
- Yagub, M.T.; Sen, T.K.; Afroze, S.; Ang, H.M. Dye and its removal from aqueous solution by adsorption: A review. Adv. Colloid Interface Sci. 2014, 209, 172–174. [Google Scholar] [CrossRef] [PubMed]
- McKay, G.; Otterburn, M.S.; Sweeney, A.G. The removal of color from effluent using various adsorbents-III. Silica: Rate Process. Water Res. 1980, 14, 15–20. [Google Scholar] [CrossRef]
- Wu, F.C.; Tseng, R.L.; Juang, R.S. Initial behavior of intraparticle diffusion model used in the description of adsorption kinetics. Chem. Eng. J. 2009, 153, 1–8. [Google Scholar] [CrossRef]
- Qiu, H.; Lv, L.; Pan, B.C.; Zhang, Q.J.; Zhang, W.M.; Zhang, Q.X. Critical review in adsorption kinetic models. J. Zhejiang Univ. Sci. A 2009, 10, 716–724. [Google Scholar] [CrossRef]
- Csavdari, A.A. Detailed kinetics of a diffusion driven adsorption process. Stud. Univ. Babes-Bolyai Chem. 2023, 68, 179–189. [Google Scholar] [CrossRef]
- Shehata, F.A.; Attallah, M.F.; Borai, E.H.; Hilal, M.A.; Abo-Aly, M.M. Sorption reaction mechanism of some hazardous radionuclides from mixed waste by impregnated crown ether onto polymeric resin. Appl. Radiat. Isot. 2010, 68, 239–249. [Google Scholar] [CrossRef]
- Sen, T.K.; Afroze, S.; Ang, H.M. Equilibrium, kinetics and mechanism of removal of methylene blue from aqueous solution by adsorption onto pine cone biomass of Pinus radiata. Water Air Soil Pollut. 2011, 218, 499–515. [Google Scholar] [CrossRef]
- Du, Z.; Zhang, Y.; Li, Z.; Chen, H.; Wang, Y.; Wang, G.; Zou, P.; Chen, H.; Zhang, Y. Facile one-pot fabrication of nano-Fe3O4/carboxyl-functionalized baker’s yeast composites and their application in methylene blue dye adsorption. Appl. Surf. Sci. 2017, 392, 312–320. [Google Scholar] [CrossRef]
- Yadav, M.; Thakore, S.; Jadeja, R. Removal of organic dyes using Fucus vesiculosus seaweed bioadsorbent an ecofriendly approach: Equilibrium, kinetics and thermodynamic studies. J. Environ. Chem. Ecotoxicol. 2022, 4, 67–77. [Google Scholar] [CrossRef]
- Thi, H.T.; Le Hoang, A.; Huu, T.P.; Dinh, T.N.; Chang, S.W.; Chung, W.J.; Nguyen, D.D. Adsorption isotherms and kinetic modeling of methylene blue dye onto a carbonaceous hydrochar adsorbent derived from coffee husk waste. Sci. Total Environ. 2020, 725, 138325. [Google Scholar]
- Mohammed, N.; Grishkewich, N.; Berry, R.M.; Tam, K.C. Cellulose nanocrystal-alginate hydrogel beads as novel adsorbents for organic dyes in aqueous solutions. Cellulose 2015, 22, 3725–3738. [Google Scholar] [CrossRef]
- Zou, W.; Bai, H.; Gao, S.; Li, K. Characterization of modified sawdust, kinetic and equilibrium study about methylene blue adsorption in batch mode. Korean J. Chem. Eng. 2013, 30, 111–122. [Google Scholar] [CrossRef]
- Maruthapandi, M.; Kumar, V.B.; Luong, J.H.T.; Gedanken, A. Kinetics, isotherm, and thermodynamic studies of methylene blue adsorption on polyaniline and polypyrrole nano–nanoparticles synthesized by C-Dot-initiated polymerization. ACS Omega 2018, 3, 7196–7203. [Google Scholar] [CrossRef] [PubMed]
- Batmaz, R.; Mohammed, N.; Zaman, M.; Minhas, G.; Berry, R.M.; Tam, K.C. Cellulose nanocrystals as promising adsorbents for the removal of cationic dyes. Cellulose 2014, 21, 1655–1665. [Google Scholar] [CrossRef]
- Vargas, A.M.; Cazetta, A.L.; Kunita, M.H.; Silva, T.L.; Almeida, V.C. Adsorption of methylene blue on activated carbon produced from flamboyant pods (Delonix regia): Study of adsorption isotherms and kinetic models. Chem. Eng. J. 2011, 168, 722–730. [Google Scholar] [CrossRef]
- Majd, M.M.; Kordzadeh-Kermani, V.; Ghalandari, V.; Askari, A.; Sillanpää, M. Adsorption isotherm models: A comprehensive and systematic review (2010−2020). Sci. Total Environ. 2022, 812, 151334. [Google Scholar] [CrossRef]
- Wang, J.; Guo, X. Adsorption isotherm models: Classification, physical meaning, application and solving method. Chemosphere 2020, 258, 127279. [Google Scholar] [CrossRef] [PubMed]
- Ayawei, N.; Ebelegi, A.N.; Wankasi, D. Modelling and interpretation of adsorption isotherms. J. Chem. 2017, 2017, 3039817. [Google Scholar] [CrossRef]
















| Kinetic Model | Rate Law 4 | Kinetic Parameters | Plot Coordinates |
|---|---|---|---|
| 2-parameter models | |||
| PFO 1,3 | -Rate coefficient kPFO (1/min) -Calculated qe (mg/g) | ||
| PSO 1,3 | -Rate coefficient kPSO (g/mg·min) -Calculated qe (mg/g) | ||
| Avrami 1,3 | -Rate coefficient kAvrami (1/minn) -Model constant n (dimensionless) | ||
| Vermeulen 2,3 | -Intraparticle diffusion rate coefficient kVermeulen (1/min). -Intercept (dimensionless) | ||
| Weber–Morris 2,3 | -Intraparticle diffusion rate coefficient kWM (mg/g·min0.5) -Model constant B (mg/g) | ||
| Elovich 2,3 | -Initial adsorption rate α (mg/g·min) -Model constant β (g/mg) | ||
| 4-parameter model | |||
| DE 1,2 | -Rate coefficient of rapid first step at process initiation k1,DE (1/min) -Rate coefficient of slow second, near equilibrium, step k2,DE (1/min) -Model constants A1, A2 (mg/g) |
| PSO Rate Law | Elovich Rate Law | ||||||
|---|---|---|---|---|---|---|---|
| kPSO (g/mg·min) | α (mg/g·min) | β (g/mg) | |||||
| T (K) | m0,dye/mpaper (mg/g) | MB | MBI | MB | MBI | MB | MBI |
| 298 | 0.35 | 0.140 | 0.434 | 0.094 | 1.021 | 18.87 | 57.80 |
| 0.50 | 0.075 | 0.236 | 0.050 | 1.042 | 13.51 | 44.82 | |
| 0.65 | 0.062 | no data | 0.063 | 1.046 | 11.05 | 31.06 | |
| 318 | 0.50 | 0.139 | 0.441 | 0.077 | 1.081 | 12.81 | 37.88 |
| 338 | 0.50 | 0.328 | 0.782 | 0.152 | 1.114 | 14.43 | 40.49 |
| WB Model Constant B | MB | MBI |
|---|---|---|
| B1 (mg/g) | 0.036 ± 0.007 | 0.041 ± 0.009 |
| B2 (mg/g) | 0.211 ± 0.068 | 0.069 ± 0.005 |
| Kinetic Model | Adsorption Mechanism/Rate-Controlling Stage | Apparent Activation Energy (KJ/mole) | |
|---|---|---|---|
| MB | MBI | ||
| PSO | Overall process/Not specified | 30.74 ± 3.89 (R2adj = 0.9661) | 25.12 ± 0.28 (R2adj = 0.9999) |
| DE | Rapid debut stage/External and internal diffusion | 16.32 ± 7.53 (R2adj = 0.8342) | 16.36 ± 1.71 (R2adj = 0.9799) |
| Slow stage near equilibrium/Internal diffusion | (−22.27 ± 7.68) * (R2adj = 0.8000) | (−41.91 ± 9.18) * (R2adj = 0.9144) | |
| WM bi-linear | Rapid debut stage/Interstitial space diffusion control (stands for intraparticle diffusion) | 14.16 ± 0.69 (R2adj = 0.9956) | 12.92 ± 0.15 (R2adj = 0.9997) |
| Slow stage near equilibrium/S-L boundary layer film diffusion control | (−22.87 ± 0.22) * (R2adj = 0.9998) | (−20.79 ± 3.36) * (R2adj = 0.9524) | |
| Isotherm Model | Equation and Model Parameters 4,5 | Parameters 4 | R2adj & Hybrid | ||
|---|---|---|---|---|---|
| MB | MBI | MB | MBI | ||
| 1. Henry 1 | KHN = 0.475 | KHN = 0.054 | 0.9468 1.0573 | 0.9911 0.1650 | |
| 2. Langmuir 2 | KL = 2.308 qSL = 0.850 | KL = 0.048 qSL = 1.197 | 0.9540 5.130 | 0.9870 0.1885 | |
| 3. Freundlich 2 | KF = 0.665 1/n = 0.679 | KF = 0.055 1/n = 0.962 | 0.9621 2.7976 | 0.9942 0.1584 | |
| 4. Redlich–Peterson 3 | KR = 6143.6 qsR = 9603.3 βR = 0.3732 | no fit for 0 < βR < 1 | 0.7759 22.8531 | No data | |
| 5. Sips 3 | KS = 0.0051 qsS = 129.85 nS = 0.7240 | KS = 0.528 qsS = 0.178 nS = 1.258 | 0.9199 6.6168 | 0.9939 0.1473 | |
| 6. Toth 3 | KT = 2.3160 qsT = 1.26 × 10−14 t = 0.2824 | KT = 9.0780 qsT = 0.7093 t = 0.7751 | 0.9200 2.9978 | 0.9907 0.3007 | |
| 7. Kahn 3 | KK = 367.63 qsK = 0.0093 nK = 0.2807 | KK = 0.0102 qsK = 0.5722 nK = 0.7021 | 0.9199 3.0198 | 0.9911 112.00 | |
| 8. Radke–Prausnitz 3 | KRP = 1.06 × 1020 qsRP = 0.650 βRP = 0.2963 | KRP = 0.1389 qsRP = 0.6012 βRP = 0.4454 | 0.9087 2.8878 | 0.9905 0.2903 | |
| 9. Hill 3 | KH = 77,040 qsH = 50,023 nH = 0.7038 | KH = 1.9309 qsH = 0.1608 nH = 1.2890 | 0.9087 2.8878 | 0.9934 0.1676 | |
| 10. Temkin 2 | KTm = 6.883 b = 7197.7 | KTm = 5.015 b = 73,923.6 | 0.7871 22.920 | 0.9713 1.6214 | |
| 11. Dubinin–Radushkevich 2 | KDR = 5.02 × 10−8 qsDR = 0.740 | KDR = 1.19 × 10−7 qsDR = 0.075 | 0.7404 64.130 | 0.9694 118.58 | |
| T (K) | KF (mg/L)(1−1/n) | 1/n (Dimensionless) | R2adj | |||
|---|---|---|---|---|---|---|
| MB | MBI | MB | MBI | MB | MBI | |
| 298 | 6.54 ± 0.28 | (5.50 ± 0.03) × 10−1 | 0.679 ± 0.025 | 0.962 ± 0.020 | 0.9621 | 0.9947 |
| 318 | 3.40 ± 0.09 | (4.37 ± 0.06) × 10−1 | 0.759 ± 0.031 | 0.831 ± 0.061 | 0.9772 | 0.9687 |
| 338 | 3.37 ± 0.13 | (4.86 ± 0.06) × 10−1 | 0.603 ± 0.043 | 0.971 ± 0.065 | 0.9331 | 0.9199 |
| T (K) | ΔG0 (KJ/mole) | ΔH0 (KJ/mole) | ΔS0 (J/mole·K) | |||
|---|---|---|---|---|---|---|
| MB | MBI | MB | MBI | MB | MBI | |
| 298 | −4.65 | 1.48 | ||||
| 318 | −3.24 | 2.19 | −14.16 | −2.74 | −32.68 | −14.59 |
| 338 | −3.41 | 2.03 | ||||
Disclaimer/Publisher’s Note: The statements, opinions and data contained in all publications are solely those of the individual author(s) and contributor(s) and not of MDPI and/or the editor(s). MDPI and/or the editor(s) disclaim responsibility for any injury to people or property resulting from any ideas, methods, instructions or products referred to in the content. |
© 2025 by the authors. Licensee MDPI, Basel, Switzerland. This article is an open access article distributed under the terms and conditions of the Creative Commons Attribution (CC BY) license (https://creativecommons.org/licenses/by/4.0/).
Share and Cite
Bogyor, A.; Csavdari, A.A.; Lovász, T.; Bitay, E. A Comparative Kinetic and Thermodynamic Adsorption Study of Methylene Blue and Its Analogue Dye on Filter Paper. Int. J. Mol. Sci. 2025, 26, 516. https://doi.org/10.3390/ijms26020516
Bogyor A, Csavdari AA, Lovász T, Bitay E. A Comparative Kinetic and Thermodynamic Adsorption Study of Methylene Blue and Its Analogue Dye on Filter Paper. International Journal of Molecular Sciences. 2025; 26(2):516. https://doi.org/10.3390/ijms26020516
Chicago/Turabian StyleBogyor, Andrea, Alexandra Ana Csavdari, Tamás Lovász, and Enikő Bitay. 2025. "A Comparative Kinetic and Thermodynamic Adsorption Study of Methylene Blue and Its Analogue Dye on Filter Paper" International Journal of Molecular Sciences 26, no. 2: 516. https://doi.org/10.3390/ijms26020516
APA StyleBogyor, A., Csavdari, A. A., Lovász, T., & Bitay, E. (2025). A Comparative Kinetic and Thermodynamic Adsorption Study of Methylene Blue and Its Analogue Dye on Filter Paper. International Journal of Molecular Sciences, 26(2), 516. https://doi.org/10.3390/ijms26020516

