Microbial Selection and Functional Adaptation in Technical Snow: A Molecular Perspective from 16S rRNA Profiling
Abstract
1. Introduction
2. Results and Discussion
2.1. Abundance of Culturable Bacteria and OTU Richness Across the Snow Production Pipeline
2.2. Microbial Diversity and Richness
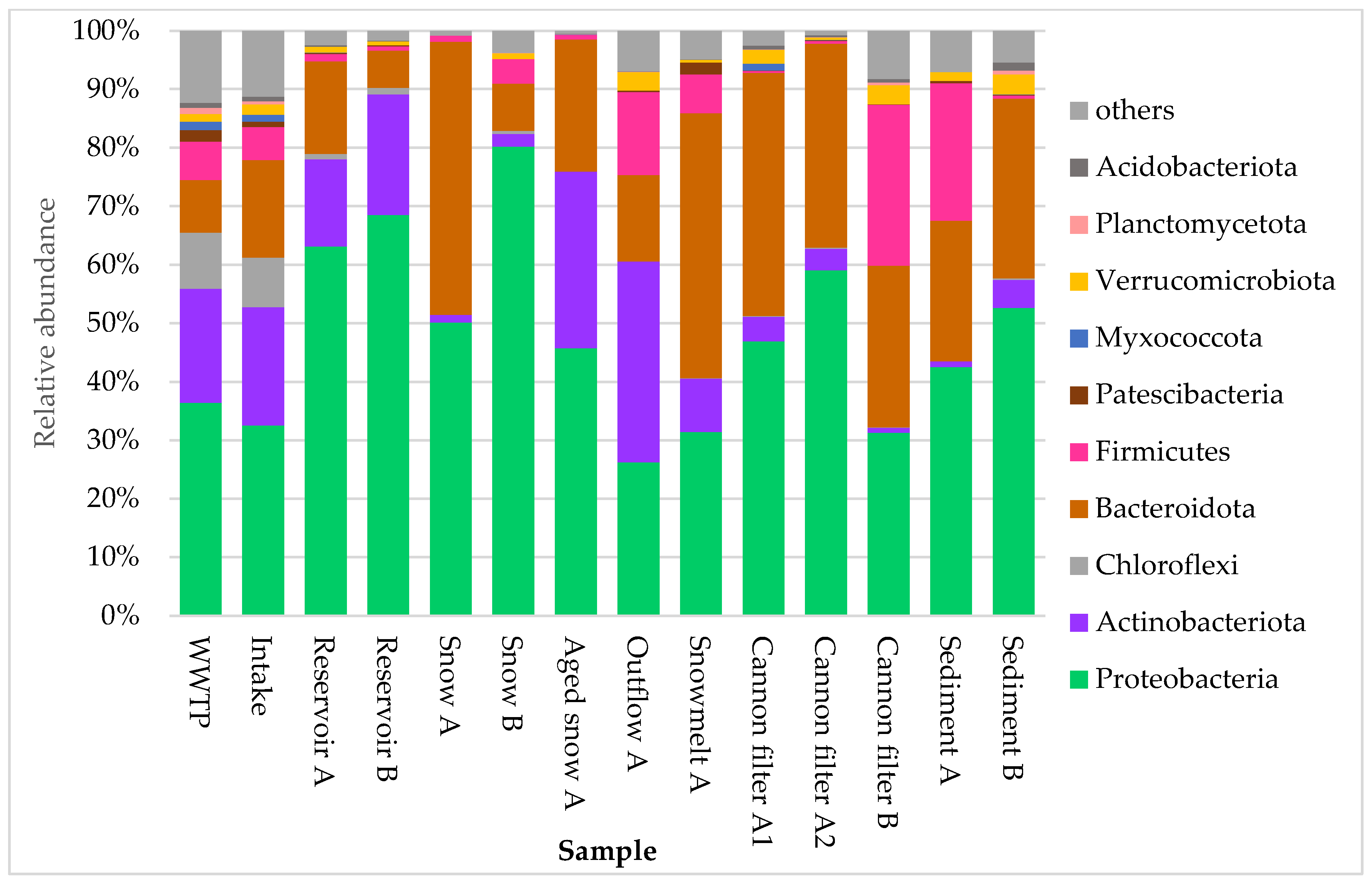
2.3. Bacterial Community Composition
2.4. Ecologically Distinct Taxa and Indicators Across Snow Production Stages
2.5. Functional Prediction of Bacterial Communities Inferred by FAPROTAX
2.6. Principal Component Analysis of Microbial Communities
3. Materials and Methods
3.1. Site Description and Sample Collection
3.2. Culture-Based Microbial Analysis of Samples
3.3. DNA Extraction and 16S rRNA Sequencing
3.4. Bioinformatics and Statistical Methods
4. Conclusions
Supplementary Materials
Author Contributions
Funding
Institutional Review Board Statement
Informed Consent Statement
Data Availability Statement
Acknowledgments
Conflicts of Interest
References
- François, H.; Samacoïts, R.; Bird, D.N.; Köberl, J.; Prettenthaler, F.; Morin, S. Climate Change Exacerbates Snow-Water-Energy Challenges for European Ski Tourism. Nat. Clim. Change 2023, 13, 935–942. [Google Scholar] [CrossRef]
- Lenart-Boroń, A.; Bojarczuk, A.; Żelazny, M. Impact of Construction and Functioning of a Newly Built Ski Slope on the Quality of Nearby Stream Water. Appl. Sci. 2023, 13, 763. [Google Scholar] [CrossRef]
- de Jong, C. Artificial Production of Snow. In Encyclopedia of Snow, Ice and Glaciers; Encyclopedia of Earth Sciences Series; Springer: Dordrecht, The Netherlands, 2011; Part 3; pp. 61–66. [Google Scholar] [CrossRef]
- Stankiewicz, K.; Boroń, P.; Prajsnar, J.; Żelazny, M.; Heliasz, M.; Hunter, W.; Lenart-Boroń, A. Second Life of Water and Wastewater in the Context of Circular Economy—Do the Membrane Bioreactor Technology and Storage Reservoirs Make the Recycled Water Safe for Further Use? Sci. Total Environ. 2024, 921, 170995. [Google Scholar] [CrossRef] [PubMed]
- Stankiewicz, K.; Boroń, P.; Prajsnar, J.; Lenart-Boroń, A. Is Our Winter Experience Safe? Micropollutant Risks for Artificial Snowing. Sci. Total Environ. 2025, 968, 178876. [Google Scholar] [CrossRef] [PubMed]
- Lagriffoul, A.; Boudenne, J.-L.; Absi, R.; Ballet, J.-J.; Berjeaud, J.-M.; Chevalier, S.; Creppy, E.E.; Gilli, E.; Gadonna, J.-P.; Gadonna-Widehem, P.; et al. Bacterial-Based Additives for the Production of Artificial Snow: What Are the Risks to Human Health? Sci. Total Environ. 2010, 408, 1659–1666. [Google Scholar] [CrossRef]
- Rixen, C.; Stoeckli, V.; Ammann, W. Does Artificial Snow Production Affect Soil and Vegetation of Ski Pistes? A Review. Perspect. Plant Ecol. Evol. Syst. 2003, 5, 219–230. [Google Scholar] [CrossRef]
- Malard, L.A.; Šabacká, M.; Magiopoulos, I.; Mowlem, M.; Hodson, A.; Tranter, M.; Siegert, M.J.; Pearce, D.A. Spatial Variability of Antarctic Surface Snow Bacterial Communities. Front. Microbiol. 2019, 10, 461. [Google Scholar] [CrossRef]
- Wunderlin, T.; Ferrari, B.; Power, M. Global and Local-Scale Variation in Bacterial Community Structure of Snow from the Swiss and Australian Alps. FEMS Microbiol. Ecol. 2016, 92, fiw132. [Google Scholar] [CrossRef]
- Keuschnig, C.; Vogel, T.M.; Barbaro, E.; Spolaor, A.; Koziol, K.; Björkman, M.P.; Zdanowicz, C.; Gallet, J.-C.; Luks, B.; Layton, R.; et al. Selection Processes of Arctic Seasonal Glacier Snowpack Bacterial Communities. Microbiome 2023, 11, 35. [Google Scholar] [CrossRef]
- Tighe, S.W.; Vellone, D.L.; Tracy, K.M.; Lynch, D.B.; Finstad, K.H.; Mcllelan, M.C.; Dragon, J.A. Microbiome and Microbial Profiling of Arctic Snow Using Whole Genome Sequencing, Psychrophilic Culturing, and Novel Sampling Techniques. J. Biomol. Tech. JBT 2025, 36, 3fc1f5fe-0f37be73. [Google Scholar] [CrossRef]
- Baloh, P.; Els, N.; David, R.O.; Larose, C.; Whitmore, K.; Sattler, B.; Grothe, H. Assessment of Artificial and Natural Transport Mechanisms of Ice Nucleating Particles in an Alpine Ski Resort in Obergurgl, Austria. Front. Microbiol. 2019, 10, 2278. [Google Scholar] [CrossRef]
- Casagrande Bacchiocchi, S.; Zerbe, S.; Cavieres, L.A.; Wellstein, C. Impact of Ski Piste Management on Mountain Grassland Ecosystems in the Southern Alps. Sci. Total Environ. 2019, 665, 959–967. [Google Scholar] [CrossRef] [PubMed]
- Křenová, Z.; Bílek, O.; Zýval, V. Does Artificial Snow Fertilise the Soil of Mountain Meadows in the Krkonoše National Park? Eur. J. Environ. Sci. 2020, 10, 32–41. [Google Scholar] [CrossRef]
- Licata, A.G.; Marica, Z.; Chiara, D.; Federico, R.; Davide, R.; Manuela, M.; Giorgio, G.; Giacomo, M.; Simone, G.; Luca, B.; et al. QIIME2 Enhances Multi-Amplicon Sequencing Data Analysis: A Standardized and Validated Open-Source Pipeline for Comprehensive 16S RRNA Gene Profiling. Microbiol. Spectr. 2025, 13, e01673-25. [Google Scholar] [CrossRef] [PubMed]
- Louca, S.; Parfrey, L.W.; Doebeli, M. Decoupling Function and Taxonomy in the Global Ocean Microbiome. Science 2016, 353, 1272–1277. [Google Scholar] [CrossRef]
- Leho, T.; Mads, A.; Sten, A.; Benjamin, C. Perspectives and Benefits of High-Throughput Long-Read Sequencing in Microbial Ecology. Appl. Environ. Microbiol. 2021, 87, e00626-21. [Google Scholar] [CrossRef]
- Christner, B.C.; Mosley-Thompson, E.; Thompson, L.G.; Zagorodnov, V.; Sandman, K.; Reeve, J.N. Recovery and Identification of Viable Bacteria Immured in Glacial Ice. Icarus 2000, 144, 479–485. [Google Scholar] [CrossRef]
- Carpenter, E.J.; Lin, S.; Capone, D.G. Bacterial Activity in South Pole Snow. Appl. Environ. Microbiol. 2000, 66, 4514–4517. [Google Scholar] [CrossRef]
- Amann, R.I.; Ludwig, W.; Schleifer, K.H. Phylogenetic Identification and in Situ Detection of Individual Microbial Cells without Cultivation. Microbiol. Rev. 1995, 59, 143–169. [Google Scholar] [CrossRef]
- Martiny, A.C. High Proportions of Bacteria Are Culturable across Major Biomes. ISME J. 2019, 13, 2125–2128. [Google Scholar] [CrossRef]
- Kumar, S.; Deep Chandra, S.; Mamta, B.; Goel, R. Plant Growth Promoting Potential of Psychrotolerant Dyadobacter sp. for Pulses and Finger Millet and Impact of Inoculation on Soil Chemical Properties and Diazotrophic Abundance. J. Plant Nutr. 2018, 41, 1035–1046. [Google Scholar] [CrossRef]
- Meziti, A.; Tsementzi, D.; Ar. Kormas, K.; Karayanni, H.; Konstantinidis, K.T. Anthropogenic Effects on Bacterial Diversity and Function along a River-to-Estuary Gradient in Northwest Greece Revealed by Metagenomics. Environ. Microbiol. 2016, 18, 4640–4652. [Google Scholar] [CrossRef] [PubMed]
- Ríos-Castillo, A.G.; Thompson, K.D.; Adams, A.; de Mateo, M.; Rodríguez-Jerez, J.J. Biofilm Formation of Flavobacterium psychrophilum on Various Substrates. Aquac. Res. 2018, 49, 3830–3837. [Google Scholar] [CrossRef]
- Monaco, P.; Divino, F.; Naclerio, G.; Bucci, A. Microbial Community Analysis with a Specific Statistical Approach after a Record Breaking Snowfall in Southern Italy. Ann. Microbiol. 2020, 70, 63. [Google Scholar] [CrossRef]
- Sorensen, P.O.; Beller, H.R.; Bill, M.; Bouskill, N.J.; Hubbard, S.S.; Karaoz, U.; Polussa, A.; Steltzer, H.; Wang, S.; Williams, K.H.; et al. The Snowmelt Niche Differentiates Three Microbial Life Strategies That Influence Soil Nitrogen Availability During and After Winter. Front. Microbiol. 2020, 11, 871. [Google Scholar] [CrossRef]
- Maccario, L.; Carpenter, S.D.; Deming, J.W.; Vogel, T.M.; Larose, C. Sources and Selection of Snow-Specific Microbial Communities in a Greenlandic Sea Ice Snow Cover. Sci. Rep. 2019, 9, 2290. [Google Scholar] [CrossRef]
- Zhao, Z.; Sun, W.; Ke, Y.; Zhang, Y.; Wang, X. Microbial Dynamics at Different Stages of Drinking Water Treatment Systems. Environ. Sci. Water Res. Technol. 2025, 11, 1401–1427. [Google Scholar] [CrossRef]
- Kauser, I.; Ciesielski, M.; Poretsky, R.S. Ultraviolet Disinfection Impacts the Microbial Community Composition and Function of Treated Wastewater Effluent and the Receiving Urban River. PeerJ 2019, 7, e7455. [Google Scholar] [CrossRef]
- Harding, T.; Jungblut, A.D.; Lovejoy, C.; Vincent, W.F. Microbes in High Arctic Snow and Implications for the Cold Biosphere. Appl. Environ. Microbiol. 2011, 77, 3234–3243. [Google Scholar] [CrossRef]
- Volkert, M.; Ananta, E.; Luscher, C.; Knorr, D. Effect of Air Freezing, Spray Freezing, and Pressure Shift Freezing on Membrane Integrity and Viability of Lactobacillus Rhamnosus GG. J. Food Eng. 2008, 87, 532–540. [Google Scholar] [CrossRef]
- Zhang, D.-C.; Busse, H.-J.; Liu, H.-C.; Zhou, Y.-G.; Schinner, F.; Margesin, R. Sphingomonas Glacialis Sp. Nov., a Psychrophilic Bacterium Isolated from Alpine Glacier Cryoconite. Int. J. Syst. Evol. Microbiol. 2011, 61, 587–591. [Google Scholar] [CrossRef] [PubMed]
- Bowers, R.M.; McLetchie, S.; Knight, R.; Fierer, N. Spatial Variability in Airborne Bacterial Communities across Land-Use Types and Their Relationship to the Bacterial Communities of Potential Source Environments. ISME J. 2011, 5, 601–612. [Google Scholar] [CrossRef] [PubMed]
- Moncada, C.; Hassenrück, C.; Gärdes, A.; Conaco, C. Microbial Community Composition of Sediments Influenced by Intensive Mariculture Activity. FEMS Microbiol. Ecol. 2019, 95, fiz006. [Google Scholar] [CrossRef] [PubMed]
- Górniak, D.; Świątecki, A.; Kowalik, J.; Grzesiak, J.; Jastrzębski, J.; Zdanowski, M.K. High Antagonistic Activity and Antibiotic Resistance of Flavobacteria of Polar Microbial Freshwater Mats on King George Island in Maritime Antarctica. Sci. Rep. 2025, 15, 13615. [Google Scholar] [CrossRef]
- Liu, Q.; Liu, H.-C.; Zhou, Y.-G.; Xin, Y.-H. Microevolution and Adaptive Strategy of Psychrophilic Species Flavobacterium Bomense Sp. Nov. Isolated From Glaciers. Front. Microbiol. 2019, 10, 1069. [Google Scholar] [CrossRef]
- Kragh, K.N.; Tolker-Nielsen, T.; Lichtenberg, M. The Non-Attached Biofilm Aggregate. Commun. Biol. 2023, 6, 898. [Google Scholar] [CrossRef]
- Hervé, V.; Morelle, J.; Lambourdière, J.; Lopez, P.J.; Claquin, P. Together throughout the Year: Seasonal Patterns of Bacterial and Eukaryotic Microbial Communities in a Macrotidal Estuary. Environ. Microbiome 2025, 20, 8. [Google Scholar] [CrossRef]
- Villeneuve, K.; Turcotte-Blais, V.; Lazar, C.S. Effect of Snowmelt on Groundwater Bacterial Community Composition and Potential Role of Surface Environments as Microbial Seed Bank in Two Distinct Aquifers from the Region of Quebec, Canada. Microorganisms 2023, 11, 1526. [Google Scholar] [CrossRef]
- Guo, B.; Liu, Y.; Gu, Z.; Shen, L.; Liu, K.; Wang, N.; Xing, T.; Liu, H.; Zhou, Y.; Li, J. Massilia Psychrophila Sp. Nov., Isolated from an Ice Core. Int. J. Syst. Evol. Microbiol. 2016, 66, 4088–4093. [Google Scholar] [CrossRef]
- Sanyal, A.; Antony, R.; Samui, G.; Thamban, M. Microbial Communities and Their Potential for Degradation of Dissolved Organic Carbon in Cryoconite Hole Environments of Himalaya and Antarctica. Microbiol. Res. 2018, 208, 32–42. [Google Scholar] [CrossRef]
- Slobodkin, A.I.; Tourova, T.P.; Kostrikina, N.A.; Chernyh, N.A.; Bonch-Osmolovskaya, E.A.; Jeanthon, C.; Jones, B.E. Tepidibacter Thalassicus Gen. Nov., Sp. Nov., a Novel Moderately Thermophilic, Anaerobic, Fermentative Bacterium from a Deep-Sea Hydrothermal Vent. Int. J. Syst. Evol. Microbiol. 2003, 53, 1131–1134. [Google Scholar] [CrossRef]
- Pulschen, A.A.; Bendia, A.G.; Fricker, A.D.; Pellizari, V.H.; Galante, D.; Rodrigues, F. Isolation of Uncultured Bacteria from Antarctica Using Long Incubation Periods and Low Nutritional Media. Front. Microbiol. 2017, 8, 1346. [Google Scholar] [CrossRef]
- Ray, A.E.; Connon, S.A.; Neal, A.L.; Fujita, Y.; Cummings, D.E.; Ingram, J.C.; Magnuson, T.S. Metal Transformation by a Novel Pelosinus Isolate From a Subsurface Environment. Front. Microbiol. 2018, 9, 1689. [Google Scholar] [CrossRef]
- Lenart-Boroń, A.; Boroń, P.; Kulik, K.; Prajsnar, J.; Żelazny, M.; Chmiel, M.J. Anthropogenic Pollution Gradient along a Mountain River Affects Bacterial Community Composition and Genera with Potential Pathogenic Species. Sci. Rep. 2022, 12, 18140. [Google Scholar] [CrossRef]
- Harb, M.; Hong, P.Y. Molecular-Based Detection of Potentially Pathogenic Bacteria in Membrane Bioreactor (MBR) Systems Treating Municipal Wastewater: A Case Study. Environ. Sci. Pollut. Res. 2017, 24, 5370–5380. [Google Scholar] [CrossRef]
- Ryan, M.P.; Sevjahova, L.; Gorman, R.; White, S. The Emergence of the Genus Comamonas as Important Opportunistic Pathogens. Pathogens 2022, 11, 1032. [Google Scholar] [CrossRef] [PubMed]
- Ryan, M.P.; Pembroke, J.T. Brevundimonas Spp: Emerging Global Opportunistic Pathogens. Virulence 2018, 9, 480–493. [Google Scholar] [CrossRef] [PubMed]
- Hugouvieux-Cotte-Pattat, N.; Condemine, G.; Gueguen, E.; Shevchik, V.E. Dickeya Plant Pathogens. In eLS; Wiley: New York, NY, USA, 2020; pp. 1–10. ISBN 9780470015902. [Google Scholar]
- Zaheen, Z.; War, A.F.; Ali, S.; Yatoo, A.M.; Ali, M.N.; Ahmad, S.B.; Rehman, M.U.; Paray, B.A. Chapter 7—Common Bacterial Infections Affecting Freshwater Fish Fauna and Impact of Pollution and Water Quality Characteristics on Bacterial Pathogenicity. In Bacterial Fish Diseases; Dar, G.H., Bhat, R.A., Qadri, H., Al-Ghamdy, K.M., Hakeem, K.R.B.T.-B.F.D., Eds.; Academic Press: Cambridge, MA, USA, 2022; pp. 133–154. ISBN 978-0-323-85624-9. [Google Scholar]
- Loch, T.P.; Faisal, M. Emerging Flavobacterial Infections in Fish: A Review. J. Adv. Res. 2015, 6, 283–300. [Google Scholar] [CrossRef]
- Lawson, P.A.; Citron, D.M.; Tyrrell, K.L.; Finegold, S.M. Reclassification of Clostridium Difficile as Clostridioides Difficile (Hall and O’Toole 1935) Prévot 1938. Anaerobe 2016, 40, 95–99. [Google Scholar] [CrossRef] [PubMed]
- Mikkelsen, D.; McGowan, A.M.; Gibson, J.S.; Lanyon, J.M.; Horsman, S.; Seddon, J.M. Faecal Bacterial Communities Differ amongst Discrete Foraging Populations of Dugongs along the East Australian Coast. FEMS Microbiol. Ecol. 2024, 100, fiae051. [Google Scholar] [CrossRef]
- Morris, B.E.L.; Henneberger, R.; Huber, H.; Moissl-Eichinger, C. Microbial Syntrophy: Interaction for the Common Good. FEMS Microbiol. Rev. 2013, 37, 384–406. [Google Scholar] [CrossRef]
- Wörner, S.; Pester, M. Microbial Succession of Anaerobic Chitin Degradation in Freshwater Sediments. Appl. Environ. Microbiol. 2019, 85, e00963-19. [Google Scholar] [CrossRef]
- Fang, H.; Chen, Y.; Huang, L.; He, G. Analysis of Biofilm Bacterial Communities under Different Shear Stresses Using Size-Fractionated Sediment. Sci. Rep. 2017, 7, 1299. [Google Scholar] [CrossRef]
- Wanger, A.; Chavez, V.; Huang, R.S.P.; Wahed, A.; Actor, J.K.; Dasgupta, A. Chapter 6—Overview of Bacteria. In Microbiology and Molecular Diagnosis in Pathology: A Comprehensive Review for Board Preparation, Certification and Clinical Practice; Elsevier: Amsterdam, The Netherlands, 2017; pp. 75–117. ISBN 978-0-12-805351-5. [Google Scholar]
- Grady, E.N.; MacDonald, J.; Liu, L.; Richman, A.; Yuan, Z.-C. Current Knowledge and Perspectives of Paenibacillus: A Review. Microb. Cell Factories 2016, 15, 203. [Google Scholar] [CrossRef]
- Dahal, R.H.; Chaudhary, D.K.; Kim, D.-U.; Kim, J. Nine Novel Psychrotolerant Species of the Genus Pedobacter Isolated from Arctic Soil with Potential Antioxidant Activities. Int. J. Syst. Evol. Microbiol. 2020, 70, 2537–2553. [Google Scholar] [CrossRef] [PubMed]
- Osman, J.R.; Dubow, M.S. Bacterial Communities on the Surface of Oligotrophic (Nutrient-Poor) Soils. Curr. Top. Biotechnol. 2019, 9, hal-02067677. [Google Scholar]
- Saini, S.; Tewari, S.; Dwivedi, J.; Sharma, V. Biofilm-Mediated Wastewater Treatment: A Comprehensive Review. Mater. Adv. 2023, 4, 1415–1443. [Google Scholar] [CrossRef]
- Klindworth, A.; Pruesse, E.; Schweer, T.; Peplies, J.; Quast, C.; Horn, M.; Glöckner, F.O. Evaluation of General 16S Ribosomal RNA Gene PCR Primers for Classical and Next-Generation Sequencing-Based Diversity Studies. Nucleic Acids Res. 2013, 41, e1. [Google Scholar] [CrossRef] [PubMed]
- Oksanen, J.; Simpson, G.L.; Blanchet, F.G.; Kindt, R.; Legendre, P.; Minchin, P.R.; O’Hara, R.B.; Solymos, P.; Stevens, M.H.H.; Szoecs, E.; et al. Vegan: Community Ecology Package; R Package Version 2.6-4, 2023. Available online: https://CRAN.R-project.org/package=vegan (accessed on 10 June 2025).
- Wickham, H. Ggplot2: Elegant Graphics for Data Analysis, 2nd ed.; Springer International Publishing: Cham, Switzerland, 2016. [Google Scholar]
- Kolde, R. Pheatmap: Pretty Heatmaps; R Package Version 1.0.12, 2019. Available online: https://CRAN.R-project.org/package=pheatmap (accessed on 2 June 2025).








| H | Ds | λ | PIE | J | Dm | Species Richness | |
|---|---|---|---|---|---|---|---|
| WWTP | 1.753 | 0.961 | 0.039 | 0.961 | 0.709 | 62.682 | 296 |
| Intake | 1.833 | 0.967 | 0.033 | 0.967 | 0.731 | 68.267 | 321 |
| Reservoir A | 1.402 | 0.927 | 0.073 | 0.927 | 0.646 | 31.775 | 148 |
| Reservoir B | 1.211 | 0.851 | 0.149 | 0.851 | 0.592 | 24.424 | 111 |
| Fresh snow A | 1.086 | 0.804 | 0.196 | 0.804 | 0.603 | 13.755 | 63 |
| Fresh snow B | 0.878 | 0.598 | 0.402 | 0.598 | 0.399 | 33.808 | 159 |
| Old snow A | 1.367 | 0.926 | 0.074 | 0.926 | 0.690 | 21.013 | 96 |
| Outflow | 1.403 | 0.886 | 0.114 | 0.886 | 0.649 | 31.197 | 145 |
| Snowmelt | 1.300 | 0.856 | 0.144 | 0.856 | 0.597 | 32.467 | 151 |
| Cannon filter A1 | 1.415 | 0.887 | 0.113 | 0.887 | 0.628 | 38.265 | 179 |
| Cannon filter A2 | 1.288 | 0.883 | 0.117 | 0.883 | 0.599 | 29.954 | 141 |
| Cannon filter B | 1.831 | 0.974 | 0.026 | 0.974 | 0.792 | 43.557 | 205 |
| Sediment A | 1.688 | 0.959 | 0.041 | 0.959 | 0.757 | 36.213 | 169 |
| sediment B | 1.592 | 0.934 | 0.066 | 0.934 | 0.667 | 50.499 | 243 |
| Genus | Typical Habitat | Ecological/Functional Remarks | Sampling Site of Highest Relative Abundance | Max. Observed Abundance |
|---|---|---|---|---|
| Candidatus Microthrix | activated sludge systems; wastewater treatment plants | associated with sludge bulking and foaming issues | WWTP | 1.67 |
| Enterobacteriaceae | wastewater, wastewater treatment plants | typical indicators of wastewater contamination | WWTP | 1.58 |
| Nocardia | soil, water, nutrient-poor environments | survives nutrient-poor conditions, opportunistic pathogens | Outflow Reservoir A | 31.05 |
| Acinetobacter | various environments | includes potential pathogens, biofilm forming | Sediment A | 7.43 |
| Dickeya | wastewater, wastewater treatment plants | environmental bacterium, frequent plant pathogen | WWTP | 7.95 |
| Comamonas | carbon-poor aquitard sediments | adaptability to nutrient-limited environments, opportunistic pathogen | Sediment A | 13.51 |
| Massilia | glacial meltwater | early colonizers in the rhizosphere | Snow cannon filter A2 | 5.80 |
| Rhizobium | agricultural runoff, plants | biofilm formation, nitrogen fixing | Snow B | 62.91 |
| Brevundimonas | oligotrophic environments | biofilm formation, opportunistic pathogen | Snow cannon filter A2 | 4.51 |
| Lapillicoccus | harsh, nutrient-poor, extreme environments | isolated from stone surfaces; aerobic and mesophilic organisms | Aged snow A | 2.14 |
| Sphingomonas | glacier cryoconite, Arctic environments | psychrophilic, cold-adapted, increases plant resistance to pathogens | Aged snow A | 5.61 |
| Rudanella | activated sludge systems | potentially involved in organic matter degradation | Outflow reservoir A | 2.74 |
| Pelosinus | subsurface and sedimentary environments | anaerobic | Snowmelt A | 2.02 |
| Xanthomonadaceae | biofilm, contaminated source water | biofilm formation | Snow cannon filter A1 | 4.99 |
| Tepidibacter | anaerobic conditions | anaerobic | Snow cannon filter B | 6.08 |
| Bacteroides | wildlife feces | fecal indicator | Sediment reservoir A | 6.18 |
| Macellibacteroides | wildlife feces | fecal indicator | Sediment reservoir A | 3.88 |
| Clostridium sensu stricto 1 and 13 | soils, organic rich sediments, | spore-forming, can survive disinfection, includes pathogens | Snowmelt/Sediment reservoir A | 1.21/2.4 |
| Methylophilaceae | stratified water bodies | methylotrophic bacteria | Sediment reservoir B | 3.84 |
| Flavobacterium | environments rich in organic substrates; water | biofilm formation, fish pathogen, algicidal, biopolymer decomposer, opportunistic pathogen | Snow A | 41.55 |
| Polymorphobacter | cold, oligotrophic environments | adaptability to extreme conditions | Sediment A | 2.00 |
| No | Sample Characteristics | Sample Code |
|---|---|---|
| Water sources | ||
| 1 | Treated wastewater outflow from a local municipal treatment plant | WWTP |
| 2 | River water from the main snowmaking intake | Intake |
| 3 | Water from two technical reservoirs used to store water prior to snow production; Reservoirs are equipped with water aeration and UV light disinfection systems | Reservoir A |
| 4 | Reservoir B | |
| Snow production system | ||
| 5 | Biofilm or debris from three snow cannon filters | Cannon A1 |
| 6 | Cannon A2 | |
| 7 | Cannon B | |
| 8 | Two samples of freshly produced technical snow | Fresh snow A |
| 9 | Fresh snow B | |
| Post-deposition samples | ||
| 10 | Aged snow collected from the ski slope A c.a. 2 months post deposition (February) | Aged snow A |
| 11 | Snowmelt water from aged snow patches, collected in April | Snowmelt |
| 12 | Reservoir (A) water outflow collected at the end of the snowmaking season (April) | Outflow A |
| 13 | Sediments from the bottom of both technical reservoirs, exposed after post-season drainage of water | Sediment A |
| 14 | Sediment B | |
Disclaimer/Publisher’s Note: The statements, opinions and data contained in all publications are solely those of the individual author(s) and contributor(s) and not of MDPI and/or the editor(s). MDPI and/or the editor(s) disclaim responsibility for any injury to people or property resulting from any ideas, methods, instructions or products referred to in the content. |
© 2025 by the authors. Licensee MDPI, Basel, Switzerland. This article is an open access article distributed under the terms and conditions of the Creative Commons Attribution (CC BY) license (https://creativecommons.org/licenses/by/4.0/).
Share and Cite
Lenart-Boroń, A.; Boroń, P.; Grad, B.; Bulanda, K.; Czernecka-Borchowiec, N.; Ratajewicz, A.; Stankiewicz, K. Microbial Selection and Functional Adaptation in Technical Snow: A Molecular Perspective from 16S rRNA Profiling. Int. J. Mol. Sci. 2025, 26, 9712. https://doi.org/10.3390/ijms26199712
Lenart-Boroń A, Boroń P, Grad B, Bulanda K, Czernecka-Borchowiec N, Ratajewicz A, Stankiewicz K. Microbial Selection and Functional Adaptation in Technical Snow: A Molecular Perspective from 16S rRNA Profiling. International Journal of Molecular Sciences. 2025; 26(19):9712. https://doi.org/10.3390/ijms26199712
Chicago/Turabian StyleLenart-Boroń, Anna, Piotr Boroń, Bartłomiej Grad, Klaudia Bulanda, Natalia Czernecka-Borchowiec, Anna Ratajewicz, and Klaudia Stankiewicz. 2025. "Microbial Selection and Functional Adaptation in Technical Snow: A Molecular Perspective from 16S rRNA Profiling" International Journal of Molecular Sciences 26, no. 19: 9712. https://doi.org/10.3390/ijms26199712
APA StyleLenart-Boroń, A., Boroń, P., Grad, B., Bulanda, K., Czernecka-Borchowiec, N., Ratajewicz, A., & Stankiewicz, K. (2025). Microbial Selection and Functional Adaptation in Technical Snow: A Molecular Perspective from 16S rRNA Profiling. International Journal of Molecular Sciences, 26(19), 9712. https://doi.org/10.3390/ijms26199712

