Gene Expression Profile of Placenta and Adipose Tissue in Women with Gestational Diabetes Mellitus
Abstract
1. Introduction
2. Results
2.1. Maternal Characteristics
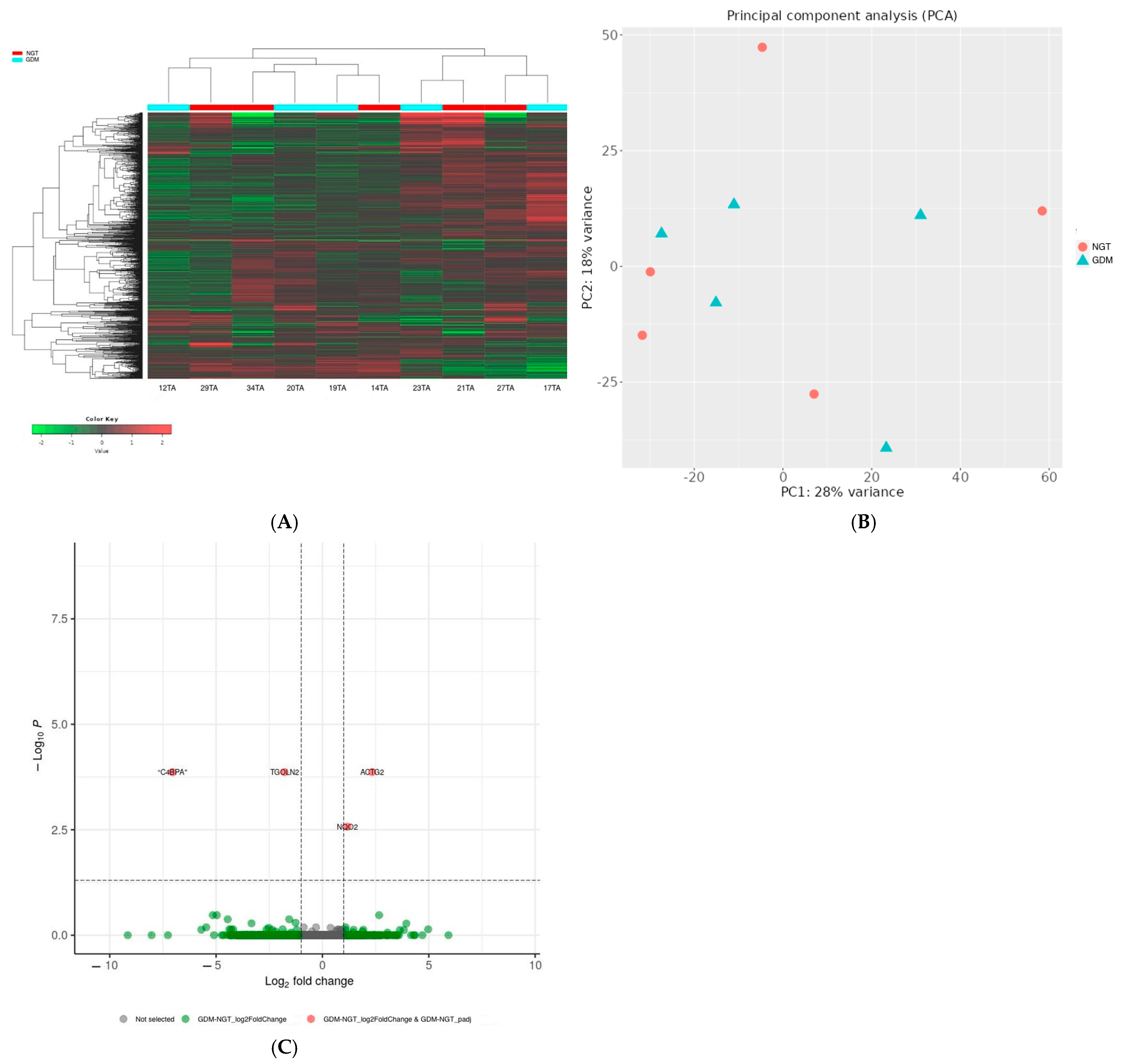
2.2. Differential Gene Expression Profiles of NGT and GDM Patients
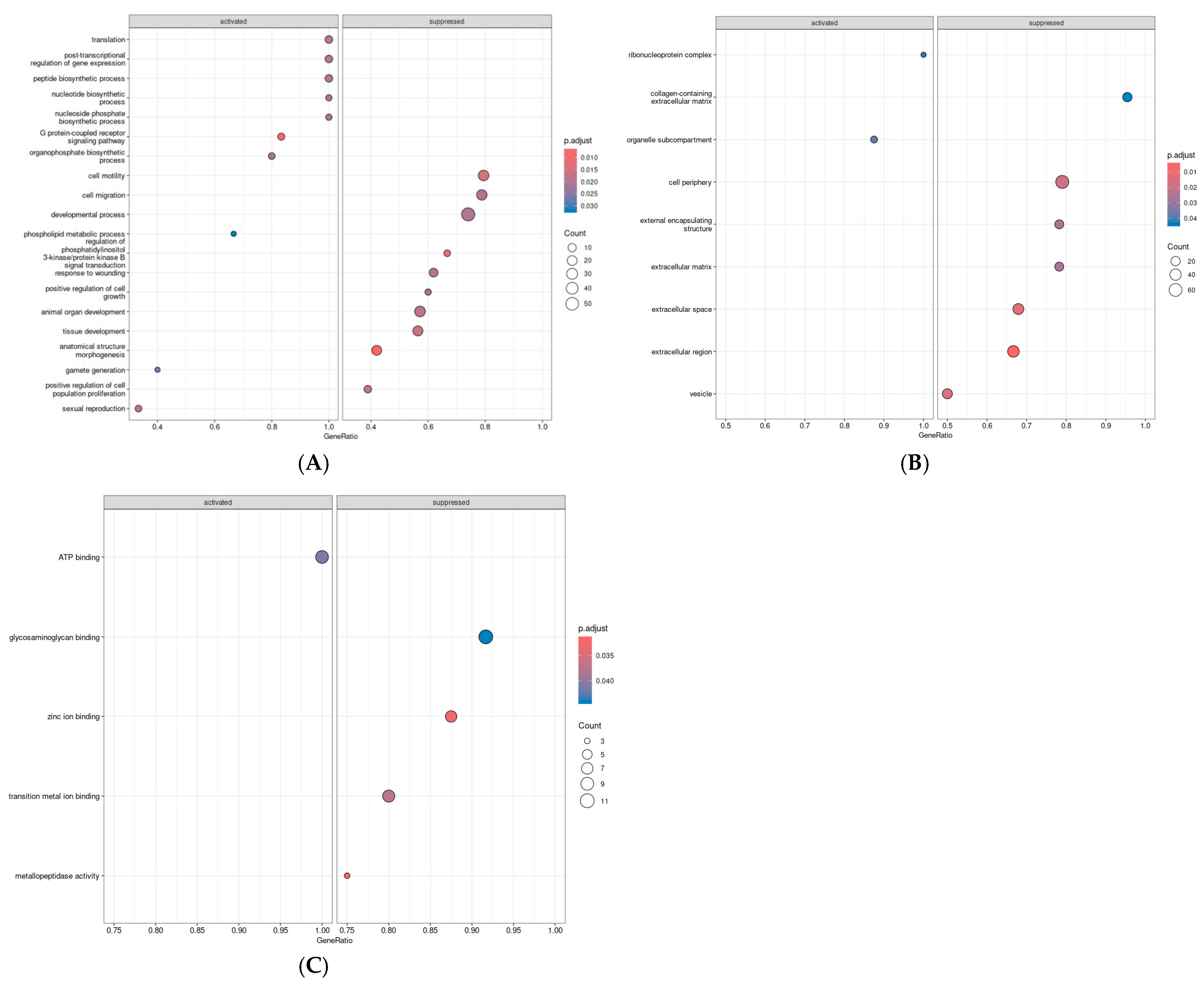
2.3. Gene Set Enrichment Analysis
3. Discussion
4. Materials and Methods
4.1. Patients and Sample Collection
4.2. RNA Extraction
4.3. RNA Library Sequencing
4.4. Read Quality Assessment
4.5. Alignment and Gene-Level Quantification of Expression
4.6. Differential Expression and Gene Set Enrichment Analysis
4.7. Validation of Gene Expression Sequencing Data Using qRT-PCR
4.8. Statistical Analyses
5. Conclusions
Supplementary Materials
Author Contributions
Funding
Institutional Review Board Statement
Informed Consent Statement
Data Availability Statement
Acknowledgments
Conflicts of Interest
References
- American Diabetes Association Professional Practice Committee. Introduction and methodology: Standards of care in diabetes-2025. Diabetes Care 2025, 48 (Suppl. S1), S1–S5. [Google Scholar] [CrossRef]
- Sweeting, A.; Hannah, W.; Backman, H.; Catalano, P.; Feghali, M.; Herman, W.H.; Hivert, M.-F.; Immanuel, J.; Meek, C.; Oppermann, M.L.; et al. Epidemiology and management of gestational diabetes. Lancet 2024, 404, 175–192. [Google Scholar] [CrossRef]
- Hivert, M.-F.; Backman, H.; Benhalima, K.; Catalano, P.; Desoye, G.; Immanuel, J.; McKinlay, C.J.D.; Meek, C.L.; Nolan, C.J.; Ram, U.; et al. Pathophysiology from preconception, during pregnancy, and beyond. Lancet 2024, 404, 158–174. [Google Scholar] [CrossRef]
- Olmos-Ortiz, A.; Flores-Espinosa, P.; Díaz, L.; Velázquez, P.; Ramírez-Isarraraz, C.; Zaga-Clavellina, V. Immunoendocrine dysregulation during gestational Diabetes Mellitus: The central role of the placenta. Int. J. Mol. Sci. 2021, 22, 8087. [Google Scholar] [CrossRef]
- Cristodoro, M.; Messa, M.; Tossetta, G.; Marzioni, D.; Dell’avanzo, M.; Inversetti, A.; Di Simone, N. First trimester placental biomarkers for pregnancy outcomes. Int. J. Mol. Sci. 2024, 25, 6136. [Google Scholar] [CrossRef] [PubMed]
- Carrasco-Wong, I.; Moller, A.; Giachini, F.R.; Lima, V.V.; Toledo, F.; Stojanova, J.; Sobrevia, L.; Martín, S.S. Placental structure in gestational diabetes mellitus. Biochim. Biophys. Acta Mol. Basis Dis. 2020, 1866, 165535. [Google Scholar] [CrossRef]
- McElwain, C.J.; Manna, S.; Musumeci, A.; Sylvester, I.; Rouchon, C.; O’Callaghan, A.M.; Ebad, M.A.B.; McCarthy, F.P.; McCarthy, C.M. Defective visceral adipose tissue adaptation in gestational diabetes mellitus. J. Clin. Endocrinol. Metab. 2023, 109, 1275–1284. [Google Scholar] [CrossRef]
- Tao, J.; Xia, L.-Z.; Chen, J.-J.; Zeng, J.-F.; Meng, J.; Wu, S.; Wang, Z. High glucose condition inhibits trophoblast proliferation, migration and invasion by downregulating placental growth factor expression. J. Obstet. Gynaecol. Res. 2020, 46, 1690–1701. [Google Scholar] [CrossRef]
- Calvo, M.J.; Parra, H.; Santeliz, R.; Bautista, J.; Luzardo, E.; Villasmil, N.; Martínez, M.S.; Chacín, M.; Cano, C.; Checa-Ros, A.; et al. The placental role in gestational diabetes mellitus: A molecular perspective. TouchREV. Endocrinol. 2024, 20, 10–18. [Google Scholar] [CrossRef] [PubMed]
- Molitierno, R.; Imparato, A.; Iavazzo, N.; Salzillo, C.; Marzullo, A.; Laganà, A.S.; Etrusco, A.; Agrifoglio, V.; D’aMato, A.; Renata, E.; et al. Microscopic changes and gross morphology of placenta in women affected by gestational diabetes mellitus in dietary treatment: A systematic review. Open Med. 2025, 20, 20251142. [Google Scholar] [CrossRef] [PubMed]
- Bari, M.F.; Ngo, S.; Bastie, C.C.; Sheppard, A.M.; Vatish, M. Gestational diabetic transcriptomic profiling of microdissected human trophoblast. J. Endocrinol. 2016, 229, 47–59. [Google Scholar] [CrossRef]
- Ding, R.; Guo, F.; Zhang, Y.; Liu, X.-M.; Xiang, Y.-Q.; Zhang, C.; Liu, Z.-W.; Sheng, J.-Z.; Huang, H.-F.; Zhang, J.-Y.; et al. Integrated transcriptome sequencing analysis reveals role of miR-138-5p/ TBL1X in placenta from gestational diabetes mellitus. Cell. Physiol. Biochem. 2018, 51, 630–646. [Google Scholar] [CrossRef]
- Jiang, Y.; Du, Y.; Su, R.; Wei, L.; Gao, P.; Zhang, J.; Zhou, X.; Zhu, S.; Zhang, H.; Chen, Y.; et al. Analysis, validation, and discussion of key genes in placenta of patients with gestational diabetes mellitus. Exp. Biol. Med. 2023, 248, 1806–1817. [Google Scholar] [CrossRef]
- Yang, Y.; Guo, F.; Peng, Y.; Chen, R.; Zhou, W.; Wang, H.; OuYang, J.; Yu, B.; Xu, Z. Transcriptomic profiling of human placenta in gestational diabetes mellitus at the single-cell level. Front. Endocrinol. 2021, 12, 679582. [Google Scholar] [CrossRef]
- Tao, J.; Xia, L.-Z.; Liang, L.; Chen, Y.; Wei, D.; Meng, J.; Wu, S.; Wang, Z. MiR-124-3p promotes trophoblast cell HTR-8/SVneo pyroptosis by targeting placental growth factor. Placenta 2020, 101, 176–184. [Google Scholar] [CrossRef]
- Heim, K.R.; Mulla, M.J.; Potter, J.A.; Han, C.S.; Guller, S.; Abrahams, V.M. Excess glucose induce trophoblast inflammation and limit cell migration through HMGB1 activation of Toll-Like receptor 4. Am. J. Reprod. Immunol. 2018, 80, e13044. [Google Scholar] [CrossRef] [PubMed]
- Belkacemi, L.; Lash, G.E.; Macdonald-Goodfellow, S.K.; Caldwell, J.D.; Graham, C.H. Inhibition of human trophoblast invasiveness by high glucose concentrations. J. Clin. Endocrinol. Metab. 2005, 90, 4846–4851. [Google Scholar] [CrossRef] [PubMed]
- Yakovleva, N.; Saprykina, D.; Vasiljeva, E.; Bettikher, O.; Godzoeva, A.; Kazantseva, T.; Zazerskaya, I. Matrix metalloproteinase −12: A marker of preeclampsia? Placenta 2022, 129, 36–42. [Google Scholar] [CrossRef] [PubMed]
- Zhang, Y.; Liu, Y.; Shi, Y.; Bai, C.; Wang, T.; Ruan, F.; Hu, C. Upregulation of MMPs in placentas of patients with gestational diabetes mellitus: Involvement of the PI3K/Akt pathway. Heliyon 2024, 10, e32518. [Google Scholar] [CrossRef]
- Radaelli, T.; Varastehpour, A.; Catalano, P.; Hauguel-de Mouzon, S. Gestational diabetes induces placental genes for chronic stress and inflammatory pathways. Diabetes 2003, 52, 2951–2958. [Google Scholar] [CrossRef]
- Purohit, A.; Sadanandam, A.; Myneni, P.; Singh, R.K. Semaphorin 5A mediated cellular navigation: Connecting nervous system and cancer. Biochim. Biophys. Acta 2014, 1846, 485–493. [Google Scholar] [CrossRef]
- Xiao, J.-B.; Li, X.-L.; Liu, L.; Wang, G.; Hao, S.-N.; Dong, H.-J.; Wang, X.-M.; Zhang, Y.-F.; Liu, H.-D. The association of semaphorin 5A with lymph node metastasis and adverse prognosis in cervical cancer. Cancer Cell Int. 2018, 18, 87. [Google Scholar] [CrossRef]
- Hou, T.; Zhang, P.; Tian, H.; Luo, Y.; Li, J.; Zhang, K.; Li, Y. Semaphorin 4A maintains trophoblastic function via activating the STAT3 pathway. Biomolecules 2024, 14, 826. [Google Scholar] [CrossRef]
- Xu, L.; Li, Y.-H.; Zhao, W.-J.; Sang, Y.-F.; Chen, J.-J.; Li, D.-J.; Du, M.-R. RhoB promotes endometrial stromal cells decidualization via Semaphorin3A/PlexinA4 signaling in early pregnancy. Endocrinology 2022, 163, bqac134. [Google Scholar] [CrossRef]
- Samara, T.D.; Liem, I.K.; Prijanti, A.R.; Andrijono. SEMA3B but not CUL1 as marker for pre-eclampsia progression. Malays. J. Med. Sci. 2019, 26, 66–72. [Google Scholar] [CrossRef] [PubMed]
- Liu, Q.; Yan, X.; Li, Y.; Zhang, Y.; Zhao, X.; Shen, Y. Pre-eclampsia is associated with the failure of melanoma cell adhesion molecule (MCAM/CD146) expression by intermediate trophoblast. Lab. Investig. 2004, 84, 221–228. [Google Scholar] [CrossRef]
- Lin, R.; Yuan, Z.; Zhang, C.; Ju, H.; Sun, Y.; Huang, N.; Chen, L.; Jin, L.; Petry, C.J. Common genetic variants in ADCY5 and gestational glycemic traits. PLoS ONE 2020, 15, e0230032. [Google Scholar] [CrossRef]
- Evans, J.; Hutchison, J.; Salamonsen, L.A.; Greening, D.W. Proteomic insights into endometrial receptivity and embryo-endometrial epithelium interaction for implantation reveal critical determinants of fertility. Proteomics 2020, 20, e1900250. [Google Scholar] [CrossRef] [PubMed]
- Xiang, K.-M.; Li, X.-R. MiR-133b acts as a tumor suppressor and negatively regulates TBPL1 in colorectal cancer cells. Asian Pac J. Cancer Prev. 2014, 15, 3767–3772. [Google Scholar] [CrossRef] [PubMed]
- Huopio, H.; Cederberg, H.; Vangipurapu, J.; Hakkarainen, H.; Pääkkönen, M.; Kuulasmaa, T.; Heinonen, S.; Laakso, M. Association of risk variants for type 2 diabetes and hyperglycemia with gestational diabetes. Eur. J. Endocrinol. 2013, 169, 291–297. [Google Scholar] [CrossRef]
- Ustianowski, P.; Malinowski, D.; Kopytko, P.; Czerewaty, M.; Tarnowski, M.; Dziedziejko, V.; Safranow, K.; Pawlik, A. ADCY5, CAPN10 and JAZF1 gene polymorphisms and placental expression in women with gestational diabetes. Life 2021, 11, 806. [Google Scholar] [CrossRef]
- Zhang, Y.; Zhang, T.; Chen, Y. Comprehensive analysis of gene expression profiles and DNA methylome reveals Oas1, Ppie, Polr2g as pathogenic target genes of gestational Diabetes Mellitus. Sci. Rep. 2018, 8, 16244. [Google Scholar] [CrossRef]
- Binder, A.M.; LaRocca, J.; Lesseur, C.; Marsit, C.J.; Michels, K.B. Epigenome-wide and transcriptome-wide analyses reveal gestational diabetes is associated with alterations in the human leukocyte antigen complex. Clin. Epigenetics 2015, 7, 79. [Google Scholar] [CrossRef]
- Bernea, E.G.; Suica, V.I.; Uyy, E.; Cerveanu-Hogas, A.; Boteanu, R.M.; Ivan, L.; Ceausu, I.; Mihai, D.A.; Ionescu-Tîrgoviște, C.; Antohe, F. Exosome proteomics reveals the deregulation of coagulation, complement and lipid metabolism proteins in gestational diabetes mellitus. Molecules 2022, 27, 5502. [Google Scholar] [CrossRef]
- Sriboonvorakul, N.; Hu, J.; Boriboonhirunsarn, D.; Ng, L.L.; Tan, B.K. Proteomics studies in gestational Diabetes Mellitus: A systematic review and meta-analysis. J. Clin. Med. 2022, 11, 2737. [Google Scholar] [CrossRef]
- Gerashchenko, T.; Skitchenko, R.; Korobeynikova, A.; Kuanysheva, K.; Khozyainova, A.; Vorobiev, R.; Rodionov, E.; Miller, S.; Topolnitsky, E.; Shefer, N.; et al. Whole-exome sequencing reveals an association of rs112065068 in TGOLN2 gene with distant metastasis of non-small cell lung cancer. Gene 2024, 920, 148507. [Google Scholar] [CrossRef] [PubMed]
- Zou, J.; Chen, Y.; Ji, Z.; Liu, D.; Chen, X.; Chen, M.; Chen, K.; Lin, H.; Chen, Y.; Li, Z. Identification of C4BPA as biomarker associated with immune infiltration and prognosis in breast cancer. Transl. Cancer Res. 2024, 13, 25–45. [Google Scholar] [CrossRef] [PubMed]
- Li, W.; Yang, S.; Liu, H.; Cao, Z.; Xu, F.; Ning, C.; Zhang, Q.; Wang, D.; Tang, H. Identification of key LncRNAs and mRNAs associated with intramuscular fat in pig via WGCNA. BMC Genom. 2025, 26, 233. [Google Scholar] [CrossRef] [PubMed]
- Islam, F.; Shilton, B. Insights into the cellular function and mechanism of action of quinone reductase 2 (NQO2). Biochem. J. 2025, 482, 309–324. [Google Scholar] [CrossRef]
- Janda, E.; Boutin, J.A.; De Lorenzo, C.; Arbitrio, M. Polymorphisms and pharmacogenomics of NQO2: The past and the future. Genes 2024, 15, 87. [Google Scholar] [CrossRef]
- Suresh, R.; Diaz, R.J. The remodelling of actin composition as a hallmark of cancer. Transl. Oncol. 2021, 14, 101051. [Google Scholar] [CrossRef] [PubMed]
- Huang, C.; Huang, B.-B.; Niu, J.-M.; Yu, Y.; Qin, X.-Y.; Yang, Y.-L.; Xiao, T.-X.; Chen, J.; Ren, L.-R.; Zhang, J.V. Global mRNA and long non-coding RNA expression in the placenta and white adipose tissue of mice fed a high-fat diet during pregnancy. Cell. Physiol. Biochem. 2018, 50, 2260–2271. [Google Scholar] [CrossRef]
- Lewis, K.A.; Chang, L.; Cheung, J.; Aouizerat, B.E.; Jelliffe-Pawlowski, L.L.; McLemore, M.R.; Piening, B.; Rand, L.; Ryckman, K.K.; Flowers, E. Systematic review of transcriptome and microRNAome associations with gestational diabetes mellitus. Front. Endocrinol. 2023, 13, 971354. [Google Scholar] [CrossRef]
- ElSayed, N.A.; Aleppo, G.; Aroda, V.R.; Bannuru, R.R.; Brown, F.M.; Bruemmer, D.; Collins, B.S.; Hilliard, M.E.; Isaacs, D.; Johnson, E.L.; et al. Addendum. 2. Classification and diagnosis of diabetes: Standards of care in diabetes-2023. Diabetes Care 2023, 46 (Suppl. S1), S19–S40, Erratum in Diabetes Care 2023, 46, 1715. [Google Scholar] [CrossRef]
- Obesity: Preventing and managing the global epidemic. Report of a WHO Consultation. World Health Organ. Tech. Rep. Ser. 2000, 894, i–xii, 1–253.
- Dobin, A.; Davis, C.A.; Schlesinger, F.; Drenkow, J.; Zaleski, C.; Jha, S.; Batut, P.; Chaisson, M.; Gingeras, T.R. STAR: Ultrafast universal RNA-seq aligner. Bioinformatics 2013, 29, 15–21. [Google Scholar] [CrossRef]
- Anders, S.; Pyl, P.T.; Huber, W. HTSeq–A Python framework to work with high-throughput sequencing data. bioRxiv 2014. [Google Scholar] [CrossRef]
- Love, M.I.; Huber, W.; Anders, S. Moderated estimation of fold change and dispersion for RNA-seq data with DESeq2. Genome Biol. 2014, 15, 550. [Google Scholar] [CrossRef] [PubMed]
- Ge, S.X.; Son, E.W.; Yao, R. iDEP: An integrated web application for differential expression and pathway analysis of RNA-Seq data. BMC Bioinform. 2018, 19, 534. [Google Scholar] [CrossRef] [PubMed]
- Ashburner, M.; Ball, C.A.; Blake, J.A.; Botstein, D.; Butler, H.; Cherry, J.M.; Davis, A.P.; Dolinski, K.; Dwight, S.S.; Eppig, J.T.; et al. Gene ontology: Tool for the unification of biology. The Gene Ontology Consortium. Nat. Genet. 2000, 25, 25–29. [Google Scholar] [CrossRef]
- Yu, G.; Wang, L.-G.; Han, Y.; He, Q.-Y. clusterProfiler: An R package for comparing biological themes among gene clusters. OMICS 2012, 16, 284–287. [Google Scholar] [CrossRef] [PubMed]




| NGT (n = 5) | GDM (n = 5) | p | |
|---|---|---|---|
| Age (years) | 29.8 ± 6.3 | 31.0 ± 5.0 | 0.748 | 
| Pre-gestational weight (kg) | 68.4 ± 13.0 | 77.5 ± 8.7 | 0.236 | 
| Pre-pregnancy BMI (kg/m2) | 28.2 ± 3.4 | 31.0 ± 3.9 | 0.254 | 
| Pre-pregnancy BMI (n) | |||
| Normal weight | 1 | 0 | 0.333 | 
| Overweight | 3 | 2 | |
| Obesity | 1 | 3 | |
| Current BMI (kg/m2) | 33.4 ± 4.0 | 33.2 ± 3.7 | 0.961 | 
| Gestational age at delivery (weeks) | 37.9 ± 0.9 | 38.3 ± 0.9 | 0.447 | 
| Fasting glucose at delivery (mmol/L) | 4.45 ± 0.63 | 4.12 ± 0.43 | 0.374 | 
| Birthweight of newborn (g) | 3070 ± 419.2 | 3330 ± 286.4 | 0.289 | 
| Fetal sex (n) | |||
| Female | 1 | 1 | 0.778 | 
| Male | 4 | 4 | 
| Disclaimer/Publisher’s Note: The statements, opinions and data contained in all publications are solely those of the individual author(s) and contributor(s) and not of MDPI and/or the editor(s). MDPI and/or the editor(s) disclaim responsibility for any injury to people or property resulting from any ideas, methods, instructions or products referred to in the content. | 
© 2025 by the authors. Licensee MDPI, Basel, Switzerland. This article is an open access article distributed under the terms and conditions of the Creative Commons Attribution (CC BY) license (https://creativecommons.org/licenses/by/4.0/).
Share and Cite
Saucedo, R.; Magallón-Gayón, E.; Chavez-Santoscoy, R.A.; Díaz-Velázquez, M.F.; Ferreira-Hermosillo, A.; Ojeda-López, D.; Porras-Marcial, W.; López-Sánchez, D.; Valencia-Ortega, J. Gene Expression Profile of Placenta and Adipose Tissue in Women with Gestational Diabetes Mellitus. Int. J. Mol. Sci. 2025, 26, 9595. https://doi.org/10.3390/ijms26199595
Saucedo R, Magallón-Gayón E, Chavez-Santoscoy RA, Díaz-Velázquez MF, Ferreira-Hermosillo A, Ojeda-López D, Porras-Marcial W, López-Sánchez D, Valencia-Ortega J. Gene Expression Profile of Placenta and Adipose Tissue in Women with Gestational Diabetes Mellitus. International Journal of Molecular Sciences. 2025; 26(19):9595. https://doi.org/10.3390/ijms26199595
Chicago/Turabian StyleSaucedo, Renata, Erika Magallón-Gayón, Rocio Alejandra Chavez-Santoscoy, Mary Flor Díaz-Velázquez, Aldo Ferreira-Hermosillo, Diana Ojeda-López, Wendy Porras-Marcial, Debbie López-Sánchez, and Jorge Valencia-Ortega. 2025. "Gene Expression Profile of Placenta and Adipose Tissue in Women with Gestational Diabetes Mellitus" International Journal of Molecular Sciences 26, no. 19: 9595. https://doi.org/10.3390/ijms26199595
APA StyleSaucedo, R., Magallón-Gayón, E., Chavez-Santoscoy, R. A., Díaz-Velázquez, M. F., Ferreira-Hermosillo, A., Ojeda-López, D., Porras-Marcial, W., López-Sánchez, D., & Valencia-Ortega, J. (2025). Gene Expression Profile of Placenta and Adipose Tissue in Women with Gestational Diabetes Mellitus. International Journal of Molecular Sciences, 26(19), 9595. https://doi.org/10.3390/ijms26199595
 
        






 
       