Next Article in Journal
Identification of Anticancer Targets in Ovarian Cancer Using Genomic Drug Sensitivity Data
Previous Article in Journal
The Biomarker Profile of Alzheimer’s Disease for Disease-Modifying Treatment Eligibility: Questions and Debates
Previous Article in Special Issue
Biomarkers for Personalised Primary or Secondary Prevention in Cardiovascular Diseases: A Rapid Scoping Review
 
 
Font Type:
Arial Georgia Verdana
Font Size:
Aa Aa Aa
Line Spacing:
Column Width:
Background:
Article

Cytokine Networks and Heart Failure Outcomes: CA125 as a Bridge Between Congestion and Inflammation

by
Enrique Santas
1,2,†,
Arancha Martí-Martínez
3,†,
Sandra Villar
1,
Rafael de la Espriella
1,
Enrique Rodriguez-Borja
3,
Elena Revuelta-López
4,5,
Arantxa González-Miqueo
4,6,
Antoni Bayés-Genís
4,5,
Juan Sanchis
1,2,4 and
Julio Núñez
1,2,4,*
1
Cardiology Department, Hospital Clínico Universitario de Valencia, Instituto de Investigación Sanitaria (INCLIVA), 46010 Valencia, Spain
2
Faculty of Medicine and Dentistry, Universitat de València, 46010 Valencia, Spain
3
Clinical Biochemistry Department, Hospital Clinico Universitario de Valencia, 46010 Valencia, Spain
4
Centro de Investigación Biomédica en Red Enfermedades Cardiovasculares (CIBERCV), 28029 Madrid, Spain
5
Cardiology Department, Hospital Universitari Germans Trias i Pujol, Universitat Autònoma de Barcelona, 08916 Badalona, Spain
6
Program of Cardiovascular Disease, CIMA Universidad de Navarra, Department of Cardiology and Cardiac Surgery, Clínica Universidad de Navarra and IdiSNA, 31008 Pamplona, Spain
*
Author to whom correspondence should be addressed.
These authors contributed equally to this work.
Int. J. Mol. Sci. 2025, 26(19), 9527; https://doi.org/10.3390/ijms26199527
Submission received: 8 September 2025 / Revised: 25 September 2025 / Accepted: 26 September 2025 / Published: 29 September 2025

Abstract

Inflammation and congestion constitute fundamental mechanisms underlying heart failure (HF). Carbohydrate Antigen 125 (CA125) is a well-established biomarker in HF, primarily associated with congestion, but also it may act as a functional ligand amplifying the inflammatory response in HF. Our aim was to evaluate the potential modulatory effect of CA125 on inflammation, assessed by a set of cytokines (interleukin [IL]-6, IL-10, IL-1β, and tumor necrosis factor [TNF]). We prospectively included 284 patients admitted for acute HF in which cytokines and CA125 were assessed at admission. Study endpoints were all-cause mortality and total HF rehospitalizations. At a median follow-up of 4.2 years (interquartile range: 1.3–7.5), a total of 211 patients (74.3%) died, and 117 patients (41.2%) experienced 249 HF readmissions. In the multivariable analysis, a significant interaction between IL-6 and IL-10 and CA125 was observed for both outcomes (p-value for interactions < 0.05 for all comparisons). Among patients with CA125 > 35 U/mL, both IL-6 and IL-10 showed a positive, linear relationship with the risk of death or HF readmissions. In contrast, we did not find a significant association in patients with CA125 ≤ 35 U/mL. In conclusion, the association between IL-6 and IL-10 with long-term adverse events was significantly modulated by CA125 status, being significantly associated with poor prognosis only when CA125 was upregulated. These findings support a potential modulatory role for CA125 in the inflammatory response in HF.

1. Introduction

Inflammation plays a key role in the pathophysiology of heart failure (HF) [1,2]. Systemic inflammatory activation promotes HF progression by driving detrimental structural changes in the heart, impairing endothelial function, increasing oxidative stress, and contributing to volume overload [1,2,3,4,5]. The interleukin-1 (IL-1)-interleukin-6 (IL-6) signaling axis, together with broader cytokine-mediated pathways, has been linked to greater HF severity and adverse outcomes [6,7,8,9,10,11,12,13]. This inflammatory response is particularly pronounced during episodes of worsening HF and states of volume overload [3,9,10].
Carbohydrate antigen 125 (CA125), also known as mucin 16 (MUC16), has emerged as a valuable biomarker in HF, showing a strong association with interstitial and third space fluid accumulation, as well as with adverse clinical outcomes [14,15].
Structurally, CA125 possesses a heavily glycosylated extracellular domain capable of interacting with immune-related proteins [16]. CA125 expression by mesothelial cells is enhanced by inflammatory mediators such as tumor necrosis factor (TNF), interleukin-1β (IL-1β), and IL-6, underscoring its potential role in modulating immune pathways in HF [17], and suggesting that CA125 serves not merely as a biomarker but also plays a ligand-like role [18,19]. In line with this, the prognostic impact of other biomarkers linked to inflammation and fibrosis, such as galectin-3 (Gal-3) and soluble ST2 (sST2), appears to be accentuated in patients with higher circulating CA125 levels [20,21]. Recent studies also show CA125 expression in epicardial adipose tissue, colocalizing with inflammatory infiltrates and fibrosis markers, including TGF-β and collagen I [19]. These findings support the hypothesis that CA125 may actively participate in local inflammatory and fibrotic processes in HF and reinforce the interplay between inflammation and congestion. However, the potential interaction between CA125 and key pro-inflammatory cytokines in HF have not been previously evaluated.
In the current study we aimed to investigate whether CA125 status modifies the relationship between a set of key cytokines in HF (IL-1β, IL-6, IL-10, and TNF) and long-term adverse outcomes in patients with acute HF.

2. Results

The mean age of the cohort was 72.8 ± 11.4 years, 140 (49.3%) were women, and 157 (55.3%) had left ventricular ejection fraction (LVEF) ≥ 50%. Median (P25–P75) concentrations of cytokines were IL-6 = 13.8 pg/mL (5.8–42.0); IL-10 = 20.2 pg/mL (7.1–78.6); IL-1β = 0.4 pg/mL (0.1–2.4); and TNF = 7.6 pg/mL (3.7–19.9). Median CA125 was 69 U/mL (30–141) and the proportion of patients with CA125 > 35 U/mL was 68.3%. Baseline characteristics, overall and stratified by CA125 status, are summarized in Table 1 and Table A1. Compared with patients with CA125 ≤ 35 U/mL, those with higher CA125 levels presented with lower admission blood pressure, a greater prevalence of clinical signs of volume overload (e.g., peripheral edema, pleural effusion), and higher NT-proBNP concentrations. They also showed lower left and right ventricular systolic function. Cytokine concentrations did not differ significantly between CA125 groups.

2.1. Study Outcomes

At a median follow-up of 4.2 years (interquartile range: 1.3–7.5), a total of 211 patients (74.3%) died, and 117 patients (41.2%) experienced 249 HF readmissions. The annualized rates of all-cause mortality and HF rehospitalization were 17.7 and 28.8 events per 100 person-years, respectively. The distribution of HF readmissions per patient was as follows: 61 (21.5%) had one readmission, 22 (7.7%) had two, 15 (5.3%) had three, and 19 (6.7%) experienced four or more readmissions.

2.2. Cytokine Network and Risk of Adverse Clinical Events in the Whole Sample

In the whole sample, we did not observe significant differences in the incidence of all-cause mortality across quartiles of IL-6, IL-1β, or TNF levels (Figure 1). Regarding HF readmissions, only patients in the two upper quartiles of IL-10 exhibited increased readmission rates over time (Table 2). After multivariate adjustment, none of the cytokines analyzed (included as main terms) were independently associated with an increased risk of all-cause mortality and total HF readmissions (Table 3).

2.3. The Modifying Prognostic Role of Cytokine Network Across CA125: Long-Term Mortality

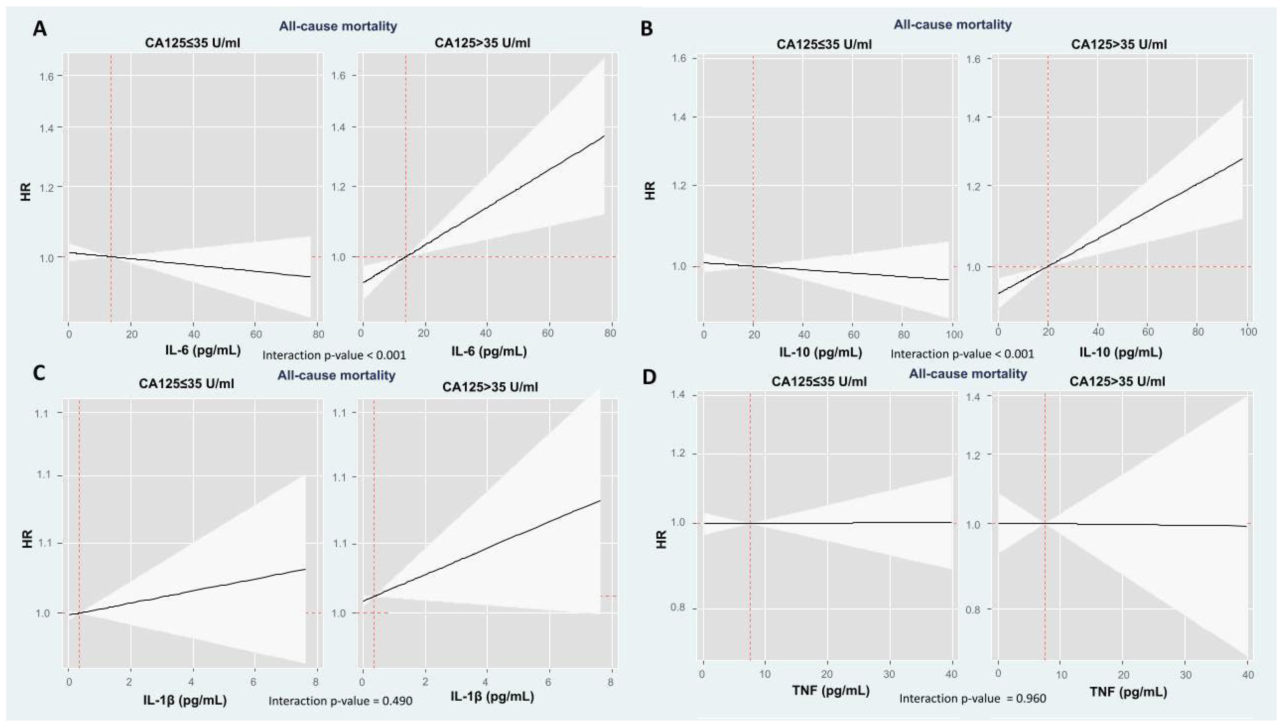
Multivariate analyses revealed that the associations of IL-6 and IL-10 with mortality risk were significantly modified by CA125 status (p-values for interactions < 0.001). Among patients with CA125 > 35 U/mL, both IL-6 and IL-10 showed a positive, linear relationship with the risk of death (Figure 2). Specifically, the hazard ratios (HR) per 10 pg/mL increase were 1.05 (95% confidence interval (CI): 1.02–1.09; p = 0.002) for IL-6 and 1.03 (95% CI: 1.01–1.05; p < 0.001) for IL-10. In contrast, no significant associations were found in patients with CA125 ≤ 35 U/mL (HR = 0.99; 95% CI: 0.96–1.01; p = 0.317 for IL-6, and HR = 0.99; 95% CI: 0.97–1.01; p = 0.220 for IL-10).
Conversely to IL-6 and IL-10, the associations for IL-1β and TNF with mortality were not significantly influenced by CA125 levels (p-values for interactions = 0.490 and 0.960, respectively).

2.4. The Modifying Prognostic Role of Cytokine Network Across CA125: HF Readmissions

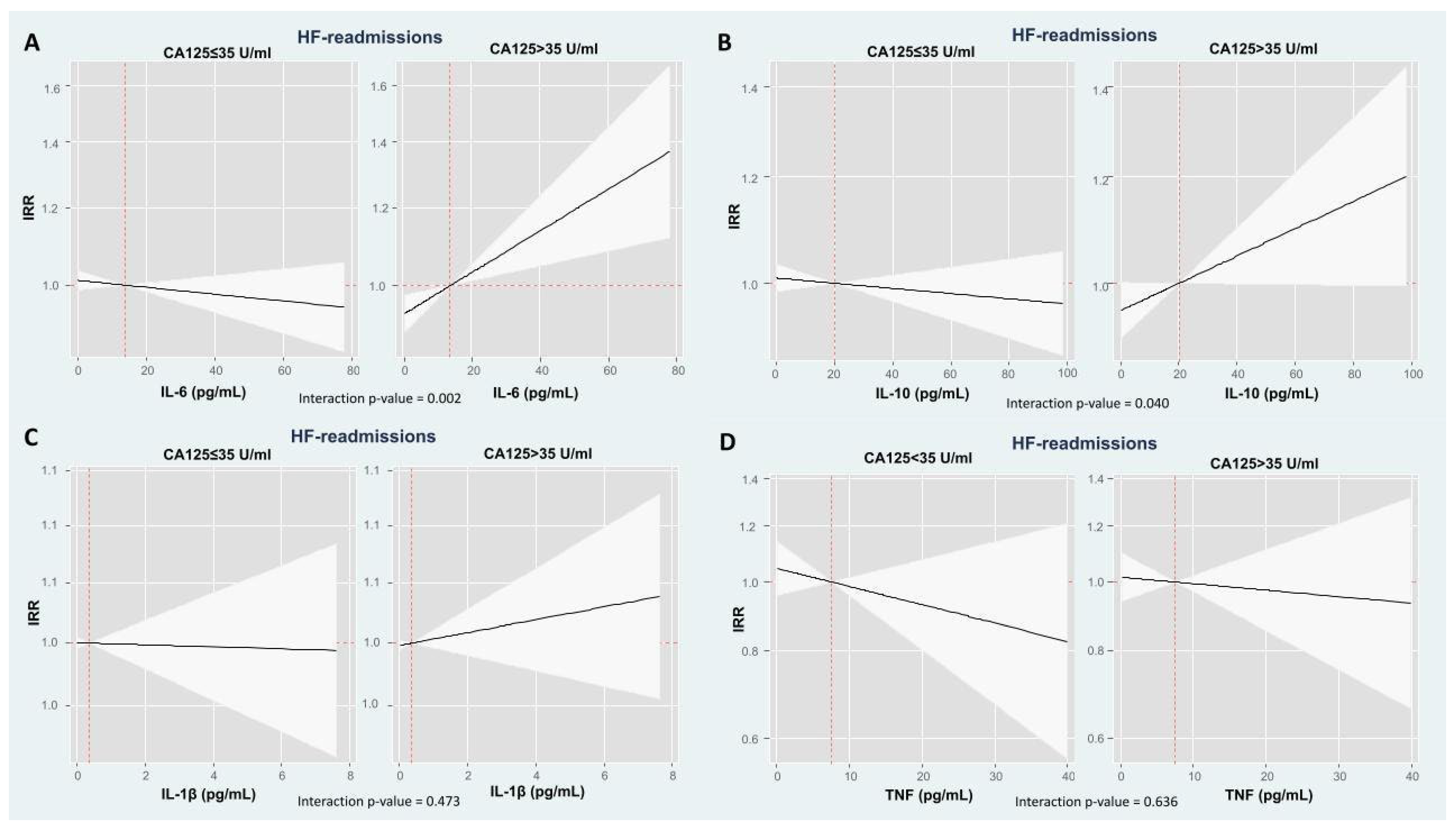
Similarly to the mortality endpoint, CA125 status modified the associations between IL-6 and IL-10 and the risk of total HF readmissions (p-values for interactions = 0.002 and 0.040, respectively). In patients with CA125 > 35 U/mL, IL-6 was significantly associated with a higher risk of HF rehospitalizations (Incidence rate ratios (IRR) = 1.05; 95% CI: 1.02–1.08; p = 0.002, per 10 pg/mL increase), while IL-10 showed a borderline positive association (IRR = 1.02; 95% CI: 1.00–1.05; p = 0.056) (Figure 3). On the contrary, in patients with CA125 ≤ 35 U/mL, neither IL-6 nor IL-10 were associated with HF readmission risk (IRR = 0.99; 95% CI: 0.98–1.01; p = 0.330, and IRR = 0.99; 95% CI: 0.98–1.01; p = 0.440, respectively). CA125 status did not modify the associations between IL-1β and TNF and the risk of HF readmissions (Figure 3).

3. Discussion

In this study, we found that the prognostic impact of systemic inflammatory cytokines, particularly IL-6 and IL-10, was significantly modified by circulating CA125 levels. Both cytokines showed an independent association with higher risk of all-cause mortality and total HF readmissions only among patients with increased CA125 concentrations (Figure 4). These findings are consistent with previous findings showing that the prognostic relevance of other fibrosis- and inflammation-related biomarkers—such as sST2 and Gal-3—appears to be influenced by CA125 status [20,21]. To our knowledge, this is the first study to show that CA125 modulates the prognostic role of inflammatory cytokines in acute HF, highlighting the convergence of two key pathophysiological axes, congestion and inflammation. These findings strengthen the emerging hypothesis that CA125 should not be regarded solely as a passive biomarker of fluid overload, but rather as an active biological modifier capable of amplifying inflammatory pathways and contributing to disease progression.

3.1. Prognostic Role of Inflammation in HF

Inflammation is a central pathophysiological mechanism in HF, contributing to disease progression through a complex interplay of cytokines, immune cells, and downstream molecular mediators [1,2]. Cytokines exert their effects in part through key intracellular signaling pathways, including MAPK and PI3K/Akt/mTOR, whose chronic activation regulates inflammation, apoptosis, and cell survival [22,23].
Persistent inflammatory activation promotes interstitial fibrosis, oxidative stress, endothelial dysfunction, and maladaptive cardiac remodeling, worsening congestion and multi-organ impairment [1,2]. Among pro-inflammatory pathways, the IL-1/IL-6/CRP axis has been most extensively studied. Experimental models have linked IL-1β and IL-6 to adverse ventricular remodeling and impaired cardiac function, while observational studies in clinical HF have reported associations between inflammatory cytokines, particularly IL-6, and worse functional status, higher congestion burden, renal dysfunction, anemia, and increased mortality risk [6,7,10,11,12,13,24,25]. Yet, prior data have been conflicting with respect to HF readmissions, and IL-6 has shown only modest additive value in some prognostic models [6,10].
IL-10, traditionally regarded as an anti-inflammatory cytokine, also exhibited a context-dependent association with prognosis. While generally considered protective, elevated IL-10 levels have been linked to increased cardiovascular risk in systemic inflammatory states [26], possibly indicating a maladaptive inflammatory milieu where compensatory anti-inflammatory responses are insufficient to counteract pro-inflammatory cytokine pathways.
As a novel finding, in the current study we only found such association (higher IL-6 and IL-10 with higher risk of adverse clinical outcomes) in patients with elevated CA125 levels, suggesting CA125 may be an active part of the inflammatory process in HF.
By contrast, we did not find that IL-1β and TNF were associated with long-term outcomes. Both cytokines are mechanistically involved in HF pathogenesis—IL-1β via inflammasome activation and myocardial remodeling [12], and TNF through apoptosis, oxidative stress, and contractile dysfunction [27,28]—but their prognostic role in contemporary populations remains uncertain. Prior studies have reported conflicting results, and therapeutic interventions targeting TNF have failed to improve outcomes [29]. Our findings reinforce the notion that the inflammatory network in HF is multifaceted and that prognostic implications may depend on the interplay of multiple mediators rather than isolated cytokine levels.

3.2. CA125 as a Potential Inflammatory Modulator in HF

CA125 is now an established biomarker in HF, with substantial prognostic value largely attributable to its strong correlation with signs of volume overload [15,30,31,32]. Recent evidence suggests that CA125 may exert additional mechanistic functions beyond being just a surrogate of congestion. CA125 is a large transmembrane mucin containing multiple potential cleavage sites [33]. Proteolytic processing releases its N-terminal fragment into the circulation, whereas the C-terminal domain (CTD) remains either membrane-bound or translocates to the nucleus, where it may function as a transcriptional co-regulator [34]. In malignancies such as ovarian cancer, nuclear translocation of the CTD activates invasion-related genes, thereby facilitating disease progression. The heavily glycosylated extracellular region of MUC16 enables protein–protein interactions that can activate intracellular signaling pathways. Evidence further indicates that the CA125 CTD can participate in an N-glycan–dependent complex with EGFR, β1 integrin, and Gal-3 on the cell surface [35,36]. These interactions promote epithelial-to-mesenchymal transition, a process implicated in cancer metastasis, organ fibrosis, and tissue remodeling, and are linked to soluble inflammatory mediators such as TNF, IL-6, and IL-1β [37]. This provides a plausible mechanistic framework through which inflammation and CA125 may converge to drive pathological effects in HF.
Epicardial adipose tissue is a relevant source of cytokines, including IL-6 and IL-1β, which contribute to fibroblast proliferation, collagen deposition, and myofibroblast activation—key processes in adverse cardiac remodeling [38]. Recently, MUC16 expression has been identified in epicardial adipose tissue from HF patients, where it correlates with pro-fibrotic and inflammatory markers, further reinforcing the biological link between CA125 expression to local myocardial inflammatory activity and extracellular matrix remodeling [19]. Moreover, experimental data suggest that CA125 can promote epithelial-to-mesenchymal transition (EMT), whereby mesothelial cells acquire a fibroblast-like phenotype, leading to excessive matrix deposition and fibrosis [39]. This mechanism may create a self-reinforcing cycle of inflammation, congestion, and structural damage. Alternatively, a simpler and pragmatic explanation is rooted in the extended half-life of CA125 (approximately 7–12 days) [15,16]. Within this framework, elevated CA125 levels, particularly when accompanied by a heightened cytokine milieu, may indicate persistent or chronic inflammatory activation rather than transient cytokine increase. This property underscores the potential of CA125 to capture cumulative inflammatory burden, thereby providing mechanistic insights beyond those afforded by rapidly fluctuating, short-lived inflammatory mediators.
In clinical research, prior studies have reinforced this concept by showing a significant interaction and potential modulatory effect of CA125 on other important inflammatory/fibrosis biomarkers. For example, the prognostic association of Gal-3 with adverse clinical outcomes in HF appeared dependent on CA125 levels, with deleterious effects observed only in patients with elevated CA125 values [20]. A similar interaction was reported with sST2, a biomarker representative of fibrotic and inflammatory processes in HF: in a subanalysis of the IMPROVE-HF trial, high sST2 levels were associated with a higher risk of cardiovascular and renal readmissions exclusively in patients with CA125 > 35 U/mL, but not in those with lower CA125 [21]. These findings suggest that CA125 could influence both the biological activity and the prognostic relevance of inflammatory pathways in HF. Our results extend this concept by directly evaluating systemic inflammatory cytokines, identifying a significant interaction for IL-6 and IL-10, whereby its association with long-term mortality and recurrent HF admissions was restricted to patients with CA125 > 35 U/mL.

3.3. Clinical Implications

From a clinical perspective, our findings suggest that CA125 may serve not only as a biomarker of congestion but also as a tool for refined risk stratification in patients with acute HF and heightened inflammatory burden.
Pro-inflammatory cytokines such as IL-6 and TNF impair endothelial barrier integrity, enhancing vascular permeability and promoting transudation of fluid into the interstitial space, thereby driving interstitial congestion and exacerbating volume overload [3,40]. Conversely, congestion itself serves as a potent trigger of inflammation. Experimental studies have shown that venous congestion can directly promote maladaptive inflammatory pathways [3,41]. Together, these mechanisms establish a self-reinforcing cycle: inflammation increases vascular leakage and fluid retention, intensifying congestion, while congestion further stimulates inflammatory signaling, leading to progressive extravascular fluid accumulation and interstitial expansion. Clinically, this phenotype manifests tissue inflammation and extravascular volume overload, which may remain undetected by conventional clinical evaluation or hemodynamic measurements [40,42,43].
The combination of elevated cytokines such as IL-6 and increased CA125 concentrations may identify a high-risk “congestive-inflammatory” phenotype, warranting a more comprehensive, multiparametric assessment of congestion and potentially differential therapeutic strategies. Conversely, cytokine elevation in the setting of low CA125 levels may reflect a transient or lower-grade secondary inflammatory response, with no prognostic implications.
Further studies are warranted to determine whether targeted anti-inflammatory therapies are of particular benefit in patients with elevated CA125 concentrations. This hypothesis is particularly relevant given ongoing trials, such as the HERMES trial (NCT05636176), which are evaluating IL-6 blockade in patients with HFpEF. Our findings may help guide patient selection for such therapies and inform the design of future biomarker-guided interventional studies.

3.4. Limitations

This study has several limitations. First, it was an observational study subject to potential biases. Second, although we adjusted for numerous clinical variables, residual confounding cannot be excluded. Third, biomarker measurements were performed at a single time point; thus, dynamic changes in cytokines or CA125 over time could not be assessed. Fourth, the study was conducted in a single center, which may limit the generalizability of our findings. Fifth, we did not assess biomarkers of oxidative stress, which may help disentangle the complex interplay between inflammation and congestion. Finally, with the current data we cannot unravel the exact biological meaning of the current associations.

4. Materials and Methods

4.1. Study Group and Protocol

We prospectively included a cohort of 284 patients admitted for acute HF in a tertiary hospital (Hospital Clínico Universitario de Valencia, Valencia, Spain) from 11 November 2010 to 1 August 2012. Patients with in-hospital death (n  = 13) and patients with a clinical diagnosis of infection on admission (n  =  21) were excluded. A comprehensive dataset of demographics, medical history, standard laboratory, echocardiographic parameters, and treatments at discharge was routinely recorded using pre-established registry questionnaires during the index hospitalization. Either patients with new-onset or worsening HF were enrolled in the registry. Acute HF was defined according to the running European Society of Cardiology Clinical Practice Guidelines though the study timeline. Treatment strategies were individualized following established guidelines operating when patients were included in the registry. The study was conformed to the principles outlined in the 1975 Declaration of Helsinki and was approved by the institutional, local review ethical committees. All patients gave informed consent.

4.2. Biomarker Measurements

Blood samples were collected within the first 24 h of admission. Plasma concentrations of CA125 were measured using immunoassay with the Elecsys CA125 II assay (Roche Diagnostics®, International, Rotkreuz, Switzerland), and IL-1β, IL-6, IL-10, and TNF-α were quantified with the multiplex immunoassay MILLIPLEX® MAP (HSCYTMAG-60SK, Merck Millipore®, Burlington, MA, USA), based on the Luminex® xMAP® technology, following the manufacturer’s instructions. CA125 was categorized according to the established cut-off of 35 U/mL. Cytokines were analyzed both as continuous variables and stratified by quartiles.

4.3. Follow-Up and Endpoints

The endpoints were all-cause mortality and total HF rehospitalizations during the entire follow-up. For the readmission endpoint, only unplanned readmissions were considered. The assessment of endpoints was performed by verifying the patient’s survival status or occurrence of readmission by reviewing electronic medical records of the public health care system, by paired investigators who were blinded to the biomarkers value. This assessment utilized data from the SIA-GAIA and Orion Clinics electronic databases, which comprehensively record all medical interactions occurring in the public health care system.

4.4. Statistical Analysis

Continuous variables are presented as mean ± standard deviation (SD) or median (P25 to P75), as appropriate. Discrete variables are expressed as percentages.
The association between biomarkers and all-cause mortality was evaluated using a Cox regression analysis, and results are reported as HR with 95% CI. For the readmission endpoint, negative binomial regression models were employed to simultaneously analyze the number of HF readmissions (as counts) and all-cause mortality (as a terminal event). Regression estimates for the readmission endpoint outcomes were mutually adjusted by means of shared frailty (accounting for the positive correlation between readmission and death). Risk estimates for HF-readmissions are expressed as IRR with 95% CI. Models for both endpoints were adjusted for clinically relevant prognosticators: age, sex, Charlson index, prior HF admissions, blood pressure, heart rate, hemoglobin, estimated glomerular filtration rate, NT-proBNP, LVEF, previous diuretic use, and HF medical therapies. Interaction terms were introduced to test whether associations between cytokines and outcomes varied according to CA125 status. The functional form of continuous variables, particularly the exposure of interest, was assessed using fractional polynomials, and appropriate transformations were applied where necessary to account for potential non-linear associations.
A 2-sided p-value of <0.05 was considered statistically significant for all analyses. All survival analyses were performed using STATA 17.1 (StataCorp. 2018. Stata Statistical Software: Release 14.1. College Station, TX, USA: StataCorp LP).

5. Conclusions

In patients with acute HF, the prognostic value of circulating inflammatory cytokines appears to be significantly influenced by CA125 levels. IL-6 and IL-10 were independently associated with long-term mortality and recurrent HF rehospitalizations only in those patients with elevated CA125 concentrations. These findings support the role of CA125 not only as a marker of congestion but also as a potential modulator of the inflammatory response in HF. Incorporating CA125 in the interpretation of inflammatory biomarkers may help identify high-risk subgroups and guide future personalized therapeutic strategies.

Author Contributions

E.S. and A.M.-M. contributed equally; E.S., A.M.-M. and J.N. designed the overall study; E.S. and A.M.-M. collected data, completed the data analysis and manuscript preparation; S.V. and R.d.l.E. collected data and reviewed the manuscript; E.R.-B. supervised laboratory analysis; E.R.-L., A.G.-M., A.B.-G. and J.S. provided scientific advice and revised the study and manuscript; J.N. designed the study, conducted the statistical analysis and reviewed the manuscript. All authors have read and agreed to the published version of the manuscript.

Funding

This work was supported by CIBER CV (Madrid, Spain) [grant numbers 16/11/00403, 16/11/00420, and 17/11/00483].

Institutional Review Board Statement

The study was conducted in accordance with the principles of the Declaration of Helsinki and was approved by the local Hospital Clinico Research Ethics Committee (2024/371, 3 March 2025).

Informed Consent Statement

Informed consent was obtained from all subjects involved in the study.

Data Availability Statement

Data is available through a request directed to the corresponding author upon reasonable request.

Conflicts of Interest

J. Núñez received board speaker fees and travel expenses from Novartis, Roche Diagnostics, Abbott, Rovi, Vifor Pharma, Daiichi Sankyo, Boehringer Ingelheim, and Astra Zeneca (modest). J. Sanchis received speaker fees from Astra Zeneca, Abbott, and Edwards Lifesciences (modest). A. Bayés-Genís received board membership fees and travel expenses from Novartis, Roche Diagnostics, Vifor Pharma, and Critical Diagnostics (modest). The remaining authors have no disclosures to report.

Abbreviations

HFHeart failure
CA125Carbohydrate Antigen 125
IL-6Interleukin 6
IL-10Interleukin 10
IL-1βInterleukin 1β
TNFTumor necrosis factor
MUC16Mucin 16
Gal-3Galectin-3
sST2Soluble ST2
SDStandard deviation
HRHazard ratio
CIConfidence interval
IRRIncidence rate ratios
LVEFLeft ventricular ejection fraction
CTDC-terminal domain
EMTEpithelial-to-mesenchymal transition

Appendix A

Table A1. Supplementary table of baseline characteristics across CA125 status.
Table A1. Supplementary table of baseline characteristics across CA125 status.
Total Population
(n = 284)
CA125 ≤ 35 U/mL
(n = 90)
CA125 > 35 U/mL
(n = 194)
p-Value
Epidemiology and clinical findings
Current smoker, n (%)24 (8.5)6 (6.7)18 (9.3)0.462
PAD, n (%)19 (6.7)6 (6.7)13 (6.7)0.991
Charlson index2.2 ± 1.92.0 ± 1.72.3 ± 1.90.267
Circulating Biomarkers
Hematocrit (%)37.5 ± 5.438.1 ± 5.537.2 ± 5.40.205
WBC count, 109/L9.4 ± 3.710.6 ± 4.08.9 ± 3.4<0.001
Neutrophiles, 109/L6.9 ± 2.97.7 ± 3.16.5 ± 2.70.002
Iron, µg/dL49.6 ± 15.954.7 ± 14.447.3 ± 16<0.001
Electrocardiography
QRS > 120 ms, n (%)96 (33.8)31 (34.4)65 (33.5)0.876

References

  1. Murphy, S.P.; Kakkar, R.; McMarthy, C.P.; Januzzi, J.L. Inflammation in heart failure. J. Am. Coll. Cardiol. 2020, 75, 1324–1340. [Google Scholar] [CrossRef] [PubMed]
  2. Adamo, L.; Rocha-Resende, C.; Prabhu, S.D.; Mann, D.L. Reappraising the role of inflammation in heart failure. Nat. Rev. Cardiol. 2020, 17, 269–286. [Google Scholar] [CrossRef]
  3. Colombo, P.C.; Castagna, F.; Onat, D.; Wong, K.Y.; Harxhi, A.; Hayashi, Y.; Friedman, R.A.; Pinsino, A.; Ladanyi, A.; Mebazaa, A.; et al. Experimentally induced peripheral venous congestion exacerbates inflammation, oxidative stress, and neurohormonal and endothelial cell activation in patients with systolic heart failure. J. Card Fail. 2023, 23, 580–591. [Google Scholar] [CrossRef]
  4. Kittipibul, V.; Fudim, M.; Sobotka, P.A. Congestion and inflammation in heart failure: Beyond the chicken or the egg. J. Card Fail. 2023, 30, 592–595. [Google Scholar] [CrossRef]
  5. Dick, S.A.; Epelman, S. Chronic heart failure and inflammation: What do we really know? Circ. Res. 2016, 119, 159–171. [Google Scholar] [CrossRef]
  6. Michou, E.; Wussler, D.; Belkin, M.; Simmen, C.; Strebel, I.; Nowak, A.; Kozhuharov, N.; Shrestha, S.; Lopez-Ayala, P.; Sabti, Z.; et al. Quantifying inflammation using interleukin-6 for improved phenotyping and risk stratification in acute heart failure. Eur. J. Heart Fail. 2023, 25, 174–184. [Google Scholar] [CrossRef] [PubMed]
  7. Markousis-Mavrogenis, G.; Tromp, J.; Ouwerkerk, W.; Devalaraja, M.; Anker, S.D.; Cleland, J.G.; Dickstein, K.; Filippatos, G.S.; van der Harst, P.; Lang, C.C.; et al. The clinical significance of interleukin-6 in heart failure: Results from the BIOSTAT-CHF study. Eur. J. Heart Fail. 2019, 21, 965–973. [Google Scholar] [CrossRef]
  8. Santas, E.; Villar, S.; Palau, P.; Llàcer, P.; de la Espriella, R.; Miñana, G.; Lorenzo, M.; Núñez-Marín, G.; Górriz, J.L.; Carratalá, A.; et al. High-sensitivity C-reactive protein and risk of clinical outcomes in patients with acute heart failure. Sci Rep 2024, 14, 21672. [Google Scholar] [CrossRef]
  9. Kalogeropoulos, A.P.; Tang, W.H.; Hsu, A.; Felker, G.M.; Hernandez, A.F.; Troughton, R.W.; Voors, A.A.; Anker, S.D.; Metra, M.; McMurray, J.J.; et al. High-sensitivity C-reactive protein in acute heart failure: Insights from the ASCEND-HF trial. J. Cardiac Fail. 2014, 20, 319–326. [Google Scholar] [CrossRef]
  10. Mooney, L.; Jackson, C.E.; Adamson, C.; McConnachie, A.; Welsh, P.; Myles, R.C.; McMurray, J.J.V.; Jhund, P.S.; Petrie, M.C.; Lang, N.N. Adverse outcomes associated with interleukin-6 in patients recently hospitalized for heart failure with preserved ejection fraction. Circ. Heart Fail. 2023, 16, e010051. [Google Scholar] [CrossRef] [PubMed]
  11. Docherty, K.F.; McDowell, K.; Welsh, P.; Petrie, M.C.; Anand, I.; Berg, D.D.; de Boer, R.A.; Køber, L.; Kosiborod, M.N.; Martinez, F.A.; et al. Interleukin-6 in Heart Failure With Reduced Ejection Fraction and the Effect of Dapagliflozin An Exploratory Analysis of the Dapagliflozin and Prevention of Adverse Outcomes in Heart Failure Trial. J. Am. Coll. Cardiol. Heart Fail. 2025, 13, 102393. [Google Scholar] [CrossRef]
  12. Pascual-Figal, D.A.; Bayes-Genis, A.; Asensio-Lopez, M.C.; Hernández-Vicente, A.; Garrido-Bravo, I.; Pastor-Perez, F.; Díez, J.; Ibáñez, B.; Lax, A. The Interleukin-1 Axis and Risk of Death in Patients With Acutely Decompensated Heart Failure. J. Am. Coll. Cardiol. 2019, 73, 1016–1025. [Google Scholar] [CrossRef] [PubMed]
  13. Alogna, A.; Koepp, K.E.; Sabbah, M.; Espindola Netto, J.M.; Jensen, M.D.; Kirkland, J.L.; Lam, C.S.P.; Obokata, M.; Petrie, M.C.; Ridker, P.M.; et al. Interleukin-6 in Patients With Heart Failure and Preserved Ejection Fraction. J. Am. Coll. Cardiol. Heart Fail. 2023, 11, 1549–1561. [Google Scholar] [CrossRef] [PubMed]
  14. Núñez, J.; de la Espriella, R.; Rossignol, P.; Voors, A.A.; Mullens, W.; Metra, M.; Chioncel, O.; Januzzi, J.L.; Mueller, C.; Richards, A.M.; et al. Congestion in heart failure: A circulating biomarker-based perspective. A review from the Biomarkers Working Group of the Heart Failure Association, European Society of Cardiology. Eur. J. Heart Fail. 2022, 24, 1751–1766, Erratum in Eur. J. Heart Fail. 2023, 25, 443; Corrigendum to Eur. J. Heart Fail. 2024, 26, 193; Corrigendum to Eur. J. Heart Fail. 2024, 26, 529.. [Google Scholar] [CrossRef]
  15. Núñez, J.; de la Espriella, R.; Miñana, G.; Santas, E.; Llácer, P.; Núñez, E.; Palau, P.; Bodí, V.; Chorro, F.J.; Sanchis, J.; et al. Antigen carbohydrate 125 as a biomarker in heart failure. A narrative review. Eur. J. Heart Fail. 2021, 23, 1445–1457. [Google Scholar] [CrossRef]
  16. O’Brien, T.J.; Beard, J.B.; Underwood, L.J.; Dennis, R.A.; Santin, A.D.; York, L. The CA 125 gene: An extracellular superstructure dominated by repeat sequences. Tumour. Biol. 2001, 22, 348–366. [Google Scholar] [CrossRef]
  17. Zeillemaker, A.M.; Verbrugh, H.A.; Hoynck van Papendrecht, A.A.; Leguit, P. CA 125 secretion by peritoneal mesothelial cells. J. Clin. Pathol. 1994, 47, 263–265. [Google Scholar] [CrossRef]
  18. Giamougiannis, P.; Martin-Hirsch, P.L.; Martin, F.L. The evolving role of MUC16 (CA125) in the transformation of ovarian cells and the progression of neoplasia. Carcinogenesis 2021, 42, 327–343. [Google Scholar] [CrossRef]
  19. Eiras, S.; de la Espriella, R.; Fu, X.; Iglesias-Álvarez, D.; Basdas, R.; Núñez-Caamaño, J.R.; Martínez-Cereijo, J.M.; Reija, L.; Fernández, A.L.; Sánchez-López, D.; et al. Carbohydrate antigen 125 on epicardial fat and its association with local inflammation and fibrosis-related markers. J. Transl. Med. 2024, 22, 619. [Google Scholar] [CrossRef]
  20. Núñez, J.; Rabinovich, G.A.; Sandino, J.; Mainar, L.; Palau, P.; Santas, E.; Villanueva, M.P.; Núñez, E.; Bodí, V.; Chorro, F.J.; et al. Prognostic Value of the Interaction between Galectin-3 and Antigen Carbohydrate 125 in Acute Heart Failure. PLoS ONE 2015, 10, e0122360. [Google Scholar] [CrossRef]
  21. Revuelta-López, E.; de la Espriella, R.; Miñana, G.; Santas, E.; Villar, S.; Sanchis, J.; Bayés-Genís, A.; Núñez, J. The modulating effect of circulating carbohydrate antigen 125 on ST2 and long-term recurrent morbidity burden. Sci. Rep. 2025, 15, 1905. [Google Scholar] [CrossRef]
  22. Saggini, R.; Pellegrino, R. MAPK is implicated in sepsis, immunity, and inflammation. Int. J. Infect. 2024, 8, 100–104. [Google Scholar]
  23. Avivar-Valderas, A. Inhibition of PI3Kβ and mTOR influence the immune response and the defense mechanism against pathogens. Int. J. Infect. 2023, 7, 46–49. [Google Scholar]
  24. Sims, J.; Smith, D. The IL-1 family: Regulators of immunity. Nat. Rev. Immunol. 2010, 10, 89–102. [Google Scholar] [CrossRef]
  25. Van Tassell, B.W.; Seropian, I.M.; Toldo, S.; Mezzaroma, E.; Abbate, A. Interleukin-1β induces a reversible cardiomyopathy in the mouse. Inflamm. Res. 2013, 62, 637–640. [Google Scholar] [CrossRef] [PubMed]
  26. Welsh, P.; Murray, H.M.; Ford, I.; Trompet, S.; de Craen, A.J.; Jukema, J.W.; Stott, D.J.; McInnes, I.B.; Packard, C.J.; Westendorp, R.G.; et al. Circulating Interleukin-10 and Risk of Cardiovascular Events. A Prospective Study in the Elderly at Risk. Arterioscler. Thromb. Vasc. Biol. 2011, 31, 2338–2344. [Google Scholar] [CrossRef]
  27. Vilcek, J.; Lee, T.H. Tumor necrosis factor: New insights into the molecular mechanisms of its multiple actions. J. Biol. Chem. 1991, 266, 7313–7316. [Google Scholar] [CrossRef]
  28. Dunlay, S.M.; Weston, S.A.; Redfield, M.M.; Killian, J.M.; Roger, V.L. Tumor Necrosis Factor-α and Mortality in Heart Failure. A Community Study. Circulation 2008, 118, 625–631. [Google Scholar] [CrossRef] [PubMed]
  29. Mann, D.L.; McMurray, J.J.; Packer, M.; Swedberg, K.; Borer, J.S.; Colucci, W.S.; Djian, J.; Drexler, H.; Feldman, A.; Kober, L.; et al. Targeted anticytokine therapy in patients with chronic heart failure: Results of the randomized etanercept worldwide evaluation (RENEWAL). Circulation 2024, 109, 1594–1602. [Google Scholar] [CrossRef]
  30. Núñez, J.; Bayés-Genís, A.; Revuelta-López, E.; Ter Maaten, J.M.; Miñana, G.; Barallat, J.; Cserkóová, A.; Bodi, V.; Fernández-Cisnal, A.; Núñez, E.; et al. Clinical role of CA125 in worsening heart failure. A BIOSTAT-CHF study subanalysis. J. Am. Coll. Cardiol. Heart Fail. 2020, 8, 386–397. [Google Scholar] [CrossRef]
  31. Docherty, K.F.; McDowell, K.; Welsh, P.; Osmanska, J.; Anand, I.; de Boer, R.A.; Køber, L.; Kosiborod, M.N.; Martinez, F.A.; O’Meara, E.; et al. Association of Carbohydrate Antigen 125 on the Response to Dapagliflozin in Patients With Heart Failure. J. Am. Coll. Cardiol. 2023, 82, 142–157. [Google Scholar] [CrossRef]
  32. Ferreira, J.P.; Packer, M.; Sattar, N.; Butler, J.; Pocock, S.J.; Anker, S.D.; Maldonado, S.G.; Panova-Noeva, M.; Sumin, M.; Masson, S.; et al. Carbohydrate antigen 125 concentrations across the ejection fraction spectrum in chronic heart failure: The EMPEROR programme. Eur. J. Heart Fail. 2024, 26, 788–802. [Google Scholar] [CrossRef]
  33. Das, S.; Majhi, P.D.; Al-Mugotir, M.H.; Rachagani, S.; Sorgen, P.; Batra, S.K. Membrane proximal ectodomain cleavage of MUC16 occurs in the acidifyingGolgi/post-Golgi compartments. Sci. Rep. 2015, 5, 9759. [Google Scholar] [CrossRef]
  34. Gubbels, J.A.; Felder, M.; Horibata, S.; Belisle, J.A.; Kapur, A.; Holden, H.; Petrie, S.; Migneault, M.; Rancourt, C.; Connor, J.P.; et al. MUC16 provides immune protection by inhibiting synapse formation between NK and ovarian tumor cells. Mol. Cancer 2010, 9, 11. [Google Scholar] [CrossRef] [PubMed]
  35. Das, S.; Rachagani, S.; Torres-Gonzalez, M.P.; Lakshmanan, I.; Majhi, P.D.; Smith, L.M.; Wagner, K.U.; Batra, S.K. Carboxyl-terminal domain of MUC16 imparts tumorigenic and metastatic functions through nuclear translocation of JAK2 to pancreatic cancer cells. Oncotarget 2015, 6, 5772–5787. [Google Scholar] [CrossRef] [PubMed]
  36. Ballester, B.; Milara, J.; Montero, P.; Cortijo, J. MUC16 Is Overexpressed in Idiopathic Pulmonary Fibrosis and Induces Fibrotic Responses Mediated by Transforming Growth Factor-β1 Canonical Pathway. Int. J. Mol. Sci. 2021, 22, 6502. [Google Scholar] [CrossRef] [PubMed]
  37. Suarez-Carmona, M.; Lesage, J.; Cataldo, D.; Gilles, C. EMT and inflammation: Inseparable actors of cancer progression. Mol. Oncol. 2017, 11, 805–823. [Google Scholar] [CrossRef]
  38. Goldman, S.A.; Requena-Ibanez, J.A.; Devesa, A.; Santos-Gallego, C.G.; Badimon, J.J.; Fuster, V. Uncovering the Role of EpicardialAdipose Tissue in Heart Failure With Preserved Ejection Fraction. JACC Adv. 2023, 2, 100657. [Google Scholar] [CrossRef]
  39. Ponnusamy, M.P.; Seshacharyulu, P.; Lakshmanan, I.; Vaz, A.P.; Chugh, S.; Batra, S.K. Emerging role of mucins in epithelial to mesenchymal transition. Curr. Cancer Drug Targets 2013, 9, 945–956. [Google Scholar] [CrossRef]
  40. Pandhi, P.; Ter Maaten, J.M.; Anker, S.D.; Ng, L.L.; Metra, M.; Samani, N.J.; Lang, C.C.; Dickstein, K.; de Boer, R.A.; van Veldhuisen, D.J.; et al. Pathophysiologic processes and novel biomarkers associated with congestion in heart failure. J. Am. Coll. Cardiol. Heart Fail. 2022, 10, 623–632. [Google Scholar] [CrossRef]
  41. Colombo, P.C.; Onat, D.; Harxhi, A.; Demmer, R.T.; Hayashi, Y.; Jelic, S.; LeJemtel, T.H.; Bucciarelli, L.; Kebschull, M.; Papapanou, P.; et al. Peripheral venous congestion causes inflammation, neurohormonal, and endothelial cell activation. Eur. Heart J. 2014, 35, 448–454. [Google Scholar] [CrossRef] [PubMed]
  42. De la Espriella, R.; Cobo, M.; Santas, E.; Verbrugge, F.H.; Fudim, M.; Girerd, N.; Miñana, G.; Górriz, J.L.; Bayés-Genís, A.; Núñez, J. Assessment of filling pressures and fluid overload in heart failure: An updated perspective. Rev. Esp. Cardiol. 2023, 76, 47–57. [Google Scholar] [CrossRef] [PubMed]
  43. Llàcer, P.; Romero, G.; Trullàs, J.C.; de la Espriella, R.; Cobo, M.; Quiroga, B.; Casado, J.; Slon-Roblero, M.F.; Morales-Rull, J.L.; Morgado, J.I.; et al. Consensus on the approach to hydrosaline overload in acute heart failure. SEMI/SEC/S.E.N. recommendations. Rev. Esp. Cardiol. 2024, 77, 556–565. [Google Scholar] [CrossRef] [PubMed]
Figure 1. Kaplan–Meier curves for mortality across quartiles of cytokines. Cumulative all-cause mortality over 10 years is shown for patients stratified by quartiles (Q1–Q4) of (A) Interleukin-6, (B) Interleukin-10, (C) Interleukin-1β, and (D) Tumor necrosis factor. Patients at risk and number of events for each time point are displayed below each panel. IL: interleukin, TNF: tumor necrosis factor.
Figure 1. Kaplan–Meier curves for mortality across quartiles of cytokines. Cumulative all-cause mortality over 10 years is shown for patients stratified by quartiles (Q1–Q4) of (A) Interleukin-6, (B) Interleukin-10, (C) Interleukin-1β, and (D) Tumor necrosis factor. Patients at risk and number of events for each time point are displayed below each panel. IL: interleukin, TNF: tumor necrosis factor.
Ijms 26 09527 g001
Figure 2. Hazard ratio depiction for mortality risk along the continuum of cytokines across CA125 status (CA125 ≤ 35 or >35 U/mL) in the multivariable model. Associations of IL-6 and IL-10 with mortality risk were modified by CA125 status, showing a positive relationship in patients with CA125 > 35 U/mL, but no significant association in those with CA125 ≤ 35 U/mL. IL-1β and TNF associations with mortality were not affected by CA125 levels. Solid black lines represent HR estimates, with shaded areas indicating 95% confidence intervals. The p for interaction tests whether the prognostic effect of cytokines on mortality risk differs according to CA125 levels. (A) Interleukin-6: p for interaction < 0.001; (B) Interleukin-10: p for interaction < 0.001; (C) Interleukin-1β: p for interaction = 0.490; and (D) Tumor necrosis factor-α: p for interaction = 0.960. CA125: antigen carbohydrate 125, HR: hazard ratio, IL: interleukin, TNF: tumor necrosis factor.
Figure 2. Hazard ratio depiction for mortality risk along the continuum of cytokines across CA125 status (CA125 ≤ 35 or >35 U/mL) in the multivariable model. Associations of IL-6 and IL-10 with mortality risk were modified by CA125 status, showing a positive relationship in patients with CA125 > 35 U/mL, but no significant association in those with CA125 ≤ 35 U/mL. IL-1β and TNF associations with mortality were not affected by CA125 levels. Solid black lines represent HR estimates, with shaded areas indicating 95% confidence intervals. The p for interaction tests whether the prognostic effect of cytokines on mortality risk differs according to CA125 levels. (A) Interleukin-6: p for interaction < 0.001; (B) Interleukin-10: p for interaction < 0.001; (C) Interleukin-1β: p for interaction = 0.490; and (D) Tumor necrosis factor-α: p for interaction = 0.960. CA125: antigen carbohydrate 125, HR: hazard ratio, IL: interleukin, TNF: tumor necrosis factor.
Ijms 26 09527 g002
Figure 3. Risk of total heart failure admissions along the continuum of cytokines across CA125 status (CA125 ≤ 35 or >35 U/mL) in the multivariable model. Associations of IL-6 and IL-10 with HF readmission risk were modified by CA125 status, showing a positive relationship in patients with CA125 > 35 U/mL, but no significant association in those with CA125 ≤ 35 U/mL. IL-1β and TNF associations with HF readmissions were not affected by CA125 levels. Solid black lines represent IRR estimates, with shaded areas indicating 95% confidence intervals. The p for interaction tests whether the prognostic effect of cytokines on the risk of heart failure readmissions differs according to CA125 levels. (A) Interleukin-6: p for interaction = 0.002; (B) Interleukin-10: p for interaction = 0.040; (C) Interleukin-1β: p for interaction = 0.473; and (D) Tumor necrosis factor-α: p for interaction = 0.636. CA125: antigen carbohydrate 125, HF: heart failure; IL: interleukin, IRR: incidence rate ratio; TNF: tumor necrosis factor.
Figure 3. Risk of total heart failure admissions along the continuum of cytokines across CA125 status (CA125 ≤ 35 or >35 U/mL) in the multivariable model. Associations of IL-6 and IL-10 with HF readmission risk were modified by CA125 status, showing a positive relationship in patients with CA125 > 35 U/mL, but no significant association in those with CA125 ≤ 35 U/mL. IL-1β and TNF associations with HF readmissions were not affected by CA125 levels. Solid black lines represent IRR estimates, with shaded areas indicating 95% confidence intervals. The p for interaction tests whether the prognostic effect of cytokines on the risk of heart failure readmissions differs according to CA125 levels. (A) Interleukin-6: p for interaction = 0.002; (B) Interleukin-10: p for interaction = 0.040; (C) Interleukin-1β: p for interaction = 0.473; and (D) Tumor necrosis factor-α: p for interaction = 0.636. CA125: antigen carbohydrate 125, HF: heart failure; IL: interleukin, IRR: incidence rate ratio; TNF: tumor necrosis factor.
Ijms 26 09527 g003
Figure 4. Summary of the design, results and conclusions of the study. Figures (A–D) show the results of risk of all-cause mortality and total heart failure admissions along the continuum of cytokines across CA125 status (CA125 ≤ 35 or >35 U/mL) in the multivariable model. Solid black lines represent HR and IRR estimates, with shaded areas indicating 95% confidence intervals. AHF: acute heart failure; CA125: carbohydrate antigen 125; HF: heart failure; IL: interleukin; TNF: tumor necrosis factor.
Figure 4. Summary of the design, results and conclusions of the study. Figures (A–D) show the results of risk of all-cause mortality and total heart failure admissions along the continuum of cytokines across CA125 status (CA125 ≤ 35 or >35 U/mL) in the multivariable model. Solid black lines represent HR and IRR estimates, with shaded areas indicating 95% confidence intervals. AHF: acute heart failure; CA125: carbohydrate antigen 125; HF: heart failure; IL: interleukin; TNF: tumor necrosis factor.
Ijms 26 09527 g004
Table 1. Baseline characteristics across CA125 status.
Table 1. Baseline characteristics across CA125 status.
Total Population
(n = 284)
CA125 ≤ 35 U/mL (n = 90)CA125 > 35 U/mL
(n = 194)
p-Value
Epidemiology and clinical findings
Age, years72.8 ± 11.473.8 ± 10.172.3 ± 11.90.318
Women, n (%)140 (49.3)50 (55.6)90 (46.4)0.151
First HF admission, n (%)212 (74.6)64 (71.1)148 (76.3)0.351
Prior NYHA III/IV, n (%)52 (18.3)20 (22.2)32 (16.5)0.246
Hypertension, n (%)221 (77.8)75 (83.3)146 (75.3)0.128
Diabetes Mellitus, n (%)132 (46.5)34 (37.8)98 (50.5)0.045
Dyslipidemia, n (%)143 (50.4)49 (54.4)94 (48.5)0.347
Ischemic heart disease, n (%)94 (33.1)30 (33.3)64 (33.0)0.954
Valvular heart disease, n (%)77 (27.1)23 (25.6)54 (27.8)0.688
Heart rate, beats/min97.7 ± 29.095.2 ± 26.996.0 ± 27.60.473
SBP, mmHg150.7 ± 34.9157.7 ± 36.4147.5 ± 33.80.022
DBP, mmHg82.1 ± 19.185.4 ± 19.980.5 ± 18.60.044
Peripheral edema, n (%)200 (70.4)53 (58.9)147 (75.8)0.044
Pleural effusion, n (%)168 (59.2)38 (42.4)130 (67.0)<0.001
Circulating Biomarkers
Hemoglobin, g/dL12.2 ± 1.912.4 ± 1.912.1 ± 1.90.154
NT-proBNP, pg/mL *3540 (1894–7490)2843 (1253–4775)4043 (2064–8702)0.006
Serum Creatinine, mg/dL1.2 ± 0.61.2 ± 0.61.3 ± 0.60.500
GFR, mL/min/1.73 m2 *63.6 ± 25.663.4 ±22.963.7 ± 26.80.906
IL-6, pg/mL *13.8 (5.8–42.0)17.5 (5.9–54.4)13.6 (5.7–32.4)0.025
IL-10, pg/mL *20.2 (7.1–78.6)20.2 (4.9–90.8)20.4 (7.8–72.1)0.551
IL-1β, pg/mL *0.4 (0.1–2.4)0.4 (0.1–2.5)0.4 (0.1–2.2)0.839
TNF, pg/mL *7.6 (3.7–19.9)7.5 (3.7–22.5)7.6 (3.6–18.7)0.527
CA125, U/mL *69 (30–141)19 (14–28)111 (67–167)<0.001
Electrocardiography
AF, n (%)127 (44.7)41 (45.6)86 (44.3)0.874
Echocardiography
LVEF ≥ 50%EF 157 ± 55.360 ± 66.797 ± 500.009
LAD, mm42.6 ± 7.842.1 ± 6.342.9 ± 8.40.428
IVS, mm11.3 ± 2.711.9 ± 2.911.1 ± 2.60.028
LV diastolic diameter, mm54.8 ± 9.554.0 ± 9.355.2 ± 9.70.358
TAPSE, mm18.5 ± 3.519.6 ± 3.617.9 ± 3.3<0.001
Treatment at discharge
Diuretics, n (%)275 (96.8)87 (96.7)188 (96.9)0.914
Beta-blockers, n (%)205 (72.2)59 (65.6)146 (75.3)0.090
RAAS inhibitors, n (%)188 (66.2)58 (64.4)130 (67.0)0.671
MRA, n (%)41 (14.4)7 (7.8)34 (17.5)0.030
Baseline characteristics of patients stratified by CA125 levels (≤35 U/mL vs. >35 U/mL). Continuous variables are shown as mean ± standard deviation or median (P25 to P75) *; categorical variables as n (%). p-values indicate differences between groups. HF, heart failure; NYHA, New York Heart Association; SBP, systolic blood pressure; DBP, diastolic blood pressure; GFR, glomerular filtration rate; IL, interleukin; TNF, tumor necrosis factor; AF, atrial fibrillation; LVEF, left ventricular ejection fraction; LAD, left atrial diameter; IVS, interventricular septum; TAPSE, tricuspid annular plane systolic excursion; RAAS, renin–angiotensin–aldosterone system; MRA, mineralocorticoid receptor antagonist.
Table 2. Rates of events per 100 patient-years across cytokine quartiles.
Table 2. Rates of events per 100 patient-years across cytokine quartiles.
All Cause Mortality HR (95% CI)p-ValueHF Readmissions HR (95% CI)p-Value
IL-6 0.245 0.989
Q117.9 (13.6–23.4) 27.5 (12.0–42.9)
Q213.1 (0.98–17.4) 28.2 (13.6–42.6)
Q318.0 (13.9–23.4) 30.9 (15.8–46.1)
Q418.4 (14.1–23.9) 28.0 (19.0–46.2)
IL-10 0.109 0.020
Q115.5 (11.7–20.1) 27.2 (10.9–43.5)
Q213.1 (9.9–17.2) 14.8 (7.7–21.7)
Q320.0 (15.4–25.9) 39.4 (20.8–57.9)
Q419.0 (14.7–24.6) 36.1 (16.7–55.7)
IL-1β 0.845 0.333
Q117.3 (13.2–22.8) 24.6 (13.3–35.8)
Q217.8 (13.5–23.4) 42.0 (17.7–66.4)
Q316.3 (12.4–21.6) 21.9 (11.3–31.8)
Q415.4 (11.8–19.9) 29.0 (12.6–45.4)
TNF 0.929 0.724
Q115.5 (11.9–20.5) 24.2 (10.4–37.9)
Q216.9 (12.9–22.2) 35.3 (21.1–49.4)
Q317.8 (13.7–23.2) 28.2 (13.7–42.6)
Q416.3 (12.4–21.4) 26.8 (7.5–46.1)
Hazard ratios with 95% confidence intervals for all-cause mortality and heart failure readmissions are shown according to quartiles (Q1–Q4) of interleukin-6, interleukin-10, interleukin-1β, and tumor necrosis factor. Global p-values correspond to the overall comparison among quartiles for each cytokine. CI: confidence interval; HF: heart failure; HR: hazard ratio; IL: interleukin, TNF: tumor necrosis factor.
Table 3. Cytokines and risk of adverse outcomes in multivariable models in the whole sample.
Table 3. Cytokines and risk of adverse outcomes in multivariable models in the whole sample.
IRR (95% CI)p-Value
All-cause mortality
IL-6, per increase in 10 pg/mL1.01 (0.99–1.02)0.637
IL-10, per increase in 10 pg/mL1.00 (0.99–1.01)0.721
IL-1β, per increase in 10 pg/mL1.06 (0.99–1.14)0.100
TNF, per increase in 10 pg/mL1.00 (0.97–1.04)0.971
Total HF-readmissions
IL-6, per increase in 10 pg/mL1.01 (0.99–1.02)0.752
IL-10, per increase in 10 pg/mL1.00 (0.99–1.01)0.967
IL-1β, per increase in 10 pg/mL1.02 (0.94–1.11)0.651
TNF, per increase in 10 pg/mL0.962 (0.90–1.03)0.250
Incidence rate ratios with 95% confidence intervals and p-values are presented for interleukin-6, interleukin-10, interleukin-1β, and tumor necrosis factor, expressed per 10 pg/mL increase in circulating levels. CI: confidence interval; HF: heart failure; IL: interleukin, IRR: incidence rate ratio; TNF: tumor necrosis factor.
Disclaimer/Publisher’s Note: The statements, opinions and data contained in all publications are solely those of the individual author(s) and contributor(s) and not of MDPI and/or the editor(s). MDPI and/or the editor(s) disclaim responsibility for any injury to people or property resulting from any ideas, methods, instructions or products referred to in the content.

Share and Cite

MDPI and ACS Style

Santas, E.; Martí-Martínez, A.; Villar, S.; de la Espriella, R.; Rodriguez-Borja, E.; Revuelta-López, E.; González-Miqueo, A.; Bayés-Genís, A.; Sanchis, J.; Núñez, J. Cytokine Networks and Heart Failure Outcomes: CA125 as a Bridge Between Congestion and Inflammation. Int. J. Mol. Sci. 2025, 26, 9527. https://doi.org/10.3390/ijms26199527

AMA Style

Santas E, Martí-Martínez A, Villar S, de la Espriella R, Rodriguez-Borja E, Revuelta-López E, González-Miqueo A, Bayés-Genís A, Sanchis J, Núñez J. Cytokine Networks and Heart Failure Outcomes: CA125 as a Bridge Between Congestion and Inflammation. International Journal of Molecular Sciences. 2025; 26(19):9527. https://doi.org/10.3390/ijms26199527

Chicago/Turabian Style

Santas, Enrique, Arancha Martí-Martínez, Sandra Villar, Rafael de la Espriella, Enrique Rodriguez-Borja, Elena Revuelta-López, Arantxa González-Miqueo, Antoni Bayés-Genís, Juan Sanchis, and Julio Núñez. 2025. "Cytokine Networks and Heart Failure Outcomes: CA125 as a Bridge Between Congestion and Inflammation" International Journal of Molecular Sciences 26, no. 19: 9527. https://doi.org/10.3390/ijms26199527

APA Style

Santas, E., Martí-Martínez, A., Villar, S., de la Espriella, R., Rodriguez-Borja, E., Revuelta-López, E., González-Miqueo, A., Bayés-Genís, A., Sanchis, J., & Núñez, J. (2025). Cytokine Networks and Heart Failure Outcomes: CA125 as a Bridge Between Congestion and Inflammation. International Journal of Molecular Sciences, 26(19), 9527. https://doi.org/10.3390/ijms26199527

Note that from the first issue of 2016, this journal uses article numbers instead of page numbers. See further details here.

Article Metrics

Back to TopTop