Acute Toxicity of Metal Oxide Nanoparticles—Role of Intracellular Localization In Vitro in Lung Epithelial Cells
Abstract
1. Introduction
2. Results
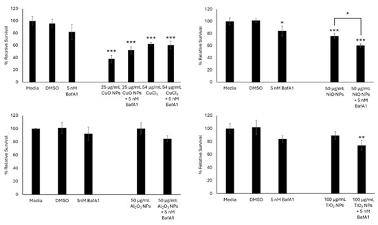
2.1. Inhibition of Vesicular Acidification and Impacts on Cellular Viability
2.2. Hyperspectral Libraries for Particle Mapping
2.3. Co-Localization of MONPs with Lamp1 and Impacts on α-Tubulin
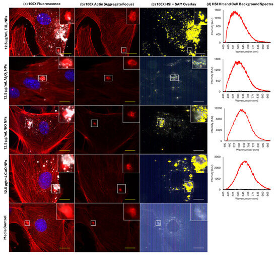
2.4. Co-Localization of MONPs and F-Actin Aggregates
2.5. High Concentrations of MONPs and MWCNTs Show Differing Effects on Actin and Tubulin Cytoskeleton, and Lamp1 Signal Distribution
3. Discussion
3.1. Relevance of Lysosomal Dissolution on Toxicity
3.2. Localization of MONPs to Lysosomes
3.3. Localization of MONPs to F-Actin Aggregates
3.4. Differential Effects of Soluble CuO and Insoluble TiO2 NPs on Lysosomes and Cytoskeleton Structure
3.5. Limitations and Future Directions
4. Methods
4.1. Materials and Reagents
4.2. Cell Culture and Maintenance
4.3. ENM Suspension
4.4. Cell Seeding
4.5. Trypan Blue Exclusion Assay
4.6. LysoTracker Red DND-99 Staining
4.7. Bafilomycin A1 Dose Range Finding
4.8. Bafilomycin A1 Nanomaterial Co-Exposures and Viability Analysis
4.9. Measuring CuO NP-Induced Vesicular Instability
4.10. Lysosome and Cytoskeleton Labelling
4.11. Immunofluorescent Staining with Lamp1, F-Actin, or α-Tubulin
4.12. Enhanced Darkfield Hyperspectral Imaging
4.13. Two-dimensional Particle/Lamp1 Co-localization
4.14. Three-dimensional Imaging
Supplementary Materials
Author Contributions
Funding
Data Availability Statement
Acknowledgments
Conflicts of Interest
Correction Statement
References
- Vance, M.E.; Kuiken, T.; Vejerano, E.P.; McGinnis, S.P.; Hochella, M.F.; Rejeski, D.; Hull, M.S. Nanotechnology in the Real World: Redeveloping the Nanomaterial Consumer Products Inventory. Beilstein J. Nanotechnol. 2015, 6, 1769–1780. [Google Scholar] [CrossRef]
- McCormick, S.; Niang, M.; Dahm, M.M. Occupational Exposures to Engineered Nanomaterials: A Review of Workplace Exposure Assessment Methods. Curr. Environ. Health Rep. 2023, 8, 223. [Google Scholar] [CrossRef]
- Gatoo, M.A.; Naseem, S.; Arfat, M.Y.; Mahmood Dar, A.; Qasim, K.; Zubair, S. Physicochemical Properties of Nanomaterials: Implication in Associated Toxic Manifestations. BioMed Res. Int. 2014, 2014, 498420. [Google Scholar] [CrossRef]
- Kochar, C.; Taneja, L.; Kumar Yadav, P.; Swarupa Tripathy, S. Dissolution Behaviour of Nanoparticles and its Usefulness in Understanding the Toxicity of Nanoparticles—A Review. Mater. Today Proc. 2022, 71, 254–258. [Google Scholar] [CrossRef]
- Djurišić, A.B.; Leung, Y.H.; Ng, A.M.C.; Xu, X.Y.; Lee, P.K.H.; Degger, N.; Wu, R.S.S. Toxicity of Metal Oxide Nanoparticles: Mechanisms, Characterization, and Avoiding Experimental Artefacts. Small 2015, 11, 26–44. [Google Scholar] [CrossRef]
- Boyadzhiev, A.; Avramescu, M.; Wu, D.; Williams, A.; Rasmussen, P.; Halappanavar, S. Impact of Copper Oxide Particle Dissolution on Lung Epithelial Cell Toxicity: Response Characterization using Global Transcriptional Analysis. Nanotoxicology 2021, 15, 380–399. [Google Scholar] [CrossRef] [PubMed]
- Boyadzhiev, A.; Wu, D.; Avramescu, M.; Williams, A.; Rasmussen, P.; Halappanavar, S. Toxicity of Metal Oxide Nanoparticles: Looking through the Lens of Toxicogenomics. Int. J. Mol. Sci. 2023, 25, 529. [Google Scholar] [CrossRef]
- Chakraborty, S.; Misra, S.K. A Comparative Analysis of Dialysis Based Separation Methods for Assessing Copper Oxide Nanoparticle Solubility. Environ. Nanotechnol. Monit. Manag. 2019, 12, 100258. [Google Scholar] [CrossRef]
- Shinohara, N.; Zhang, G.; Oshima, Y.; Kobayashi, T.; Imatanaka, N.; Nakai, M.; Sasaki, T.; Kawaguchi, K.; Gamo, M. Kinetics and Dissolution of Intratracheally Administered Nickel Oxide Nanomaterials in Rats. Part. Fibre Toxicol. 2017, 14, 48. [Google Scholar] [CrossRef] [PubMed]
- Holmfred, E.; Loeschner, K.; Sloth, J.J.; Jensen, K.A. Validation and Demonstration of an Atmosphere-Temperature-pH-Controlled Stirred Batch Reactor System for Determination of (Nano) Material Solubility and Dissolution Kinetics in Physiological Simulant Lung Fluids. Nanomaterials 2022, 12, 517. [Google Scholar] [CrossRef]
- Strauch, B.M.; Hubele, W.; Hartwig, A. Impact of Endocytosis and Lysosomal Acidification on the Toxicity of Copper Oxide Nano-and Microsized Particles: Uptake and Gene Expression Related to Oxidative Stress and the DNA Damage Response. Nanomaterials 2020, 10, 679. [Google Scholar] [CrossRef]
- Feng, Q.; Liu, Y.; Huang, J.; Chen, K.; Huang, J.; Xiao, K. Uptake, Distribution, Clearance, and Toxicity of Iron Oxide Nanoparticles with Different Sizes and Coatings. Sci. Rep. 2018, 8, 2082. [Google Scholar] [CrossRef]
- Vassie, J.A.; Whitelock, J.M.; Lord, M.S. Endocytosis of Cerium Oxide Nanoparticles and Modulation of Reactive Oxygen Species in Human Ovarian and Colon Cancer Cells. Acta Biomater. 2017, 50, 127–141. [Google Scholar] [CrossRef] [PubMed]
- Kokot, H.; Kokot, B.; Sebastijanović, A.; Voss, C.; Podlipec, R.; Zawilska, P.; Berthing, T.; Ballester-López, C.; Danielsen, P.H.; Contini, C.; et al. Prediction of Chronic Inflammation for Inhaled Particles: The Impact of Material Cycling and Quarantining in the Lung Epithelium. Adv. Mater. 2020, 32, 2003913. [Google Scholar] [CrossRef]
- Ostrowski, A.; Nordmeyer, D.; Boreham, A.; Holzhausen, C.; Mundhenk, L.; Graf, C.; Meinke, M.C.; Vogt, A.; Hadam, S.; Lademann, J.; et al. Overview about the Localization of Nanoparticles in Tissue and Cellular Context by Different Imaging Techniques. Beilstein J. Nanotechnol. 2015, 6, 263. [Google Scholar] [CrossRef]
- Peña, M.D.P.S.; Gottipati, A.; Tahiliani, S.; Neu-Baker, N.M.; Frame, M.D.; Friedman, A.J.; Brenner, S.A. Hyperspectral Imaging of Nanoparticles in Biological Samples: Simultaneous Visualization and Elemental Identification. Microsc. Res. Tech. 2016, 79, 349. [Google Scholar] [CrossRef]
- Guttenberg, M.; Bezerra, L.; Neu-Baker, N.M.; Del Pilar Sosa Idelchik, M.; Elder, A.; Oberdörster, G.; Brenner, S.A. Biodistribution of Inhaled Metal Oxide Nanoparticles Mimicking Occupational Exposure: A Preliminary Investigation using Enhanced Darkfield Microscopy. J. Biophotonics 2017, 9, 987. [Google Scholar] [CrossRef]
- Boyadzhiev, A.; Trevithick-Sutton, C.; Wu, D.; Decan, N.; Bazin, M.; Shah, G.M.; Halappanavar, S. Enhanced Dark-Field Hyperspectral Imaging and Spectral Angle Mapping for Nanomaterial Detection in Consumer Care Products and in Skin Following Dermal Exposure. Chem. Res. Toxicol. 2020, 33, 1266. [Google Scholar] [CrossRef] [PubMed]
- Zucker, R.M.; Ortenzio, J.; Degn, L.L.; Boyes, W.K. Detection of Large Extracellular Silver Nanoparticle Rings Observed during Mitosis using Darkfield Microscopy. PLoS ONE 2020, 15, e0240268. [Google Scholar] [CrossRef] [PubMed]
- Decan, N.; Wu, D.; Williams, A.; Bernatchez, S.; Johnston, M.; Hill, M.; Halappanavar, S. Characterization of in Vitro Genotoxic, Cytotoxic and Transcriptomic Responses Following Exposures to Amorphous Silica of Different Sizes. Mutat. Res./Genet. Toxicol. Environ. Mutagen. 2015, 796, 8. [Google Scholar] [CrossRef]
- Vallotton, P.; Angel, B.; Mccall, M.; Osmond, M.; Kirby, J. Imaging Nanoparticle-algae Interactions in Three Dimensions using Cytoviva Microscopy. J. Microsc. 2014, 257, 166. [Google Scholar] [CrossRef]
- Miclea, L.C.; Mihailescu, M.; Tarba, N.; Brezoiu, A.; Sandu, A.M.; Mitran, R.; Berger, D.; Matei, C.; Moisescu, M.G.; Savopol, T. Evaluation of Intracellular Distribution of Folate Functionalized Silica Nanoparticles using Fluorescence and Hyperspectral Enhanced Dark Field Microscopy. Nanoscale 2022, 14, 12744. [Google Scholar] [CrossRef]
- Rahman, L.; Williams, A.; Gelda, K.; Nikota, J.; Wu, D.; Vogel, U.; Halappanavar, S. 21st Century Tools for Nanotoxicology: Transcriptomic Biomarker Panel and Precision-Cut Lung Slice Organ Mimic System for the Assessment of Nanomaterial-Induced Lung Fibrosis. Small 2020, 16, 2000272. [Google Scholar] [CrossRef] [PubMed]
- Rahman, L.; Jacobsen, N.R.; Aziz, S.A.; Wu, D.; Williams, A.; Yauk, C.L.; White, P.; Wallin, H.; Vogel, U.; Halappanavar, S. Multi-Walled Carbon Nanotube-Induced Genotoxic, Inflammatory and Pro-Fibrotic Responses in Mice: Investigating the Mechanisms of Pulmonary Carcinogenesis. Mutat. Res. 2017, 823, 28–44. [Google Scholar] [CrossRef] [PubMed]
- Hevia, L.G.; Fanarraga, M.L. Microtubule Cytoskeleton-Disrupting Activity of MWCNTs: Applications in Cancer Treatment. J. Nanobiotechnol. 2020, 18, 181. [Google Scholar] [CrossRef] [PubMed]
- Zhang, P.; Teng, J.; Wang, L. Multiwalled Carbon Nanotubes Inhibit Cell Migration and Invasion by Destroying Actin Cytoskeleton Via Mitochondrial Dysfunction in Ovarian Cancer Cells. Aging (Albany N. Y.) 2020, 12, 25294. [Google Scholar] [CrossRef]
- Thoma, T.; Ma-Hock, L.; Schneider, S.; Honarvar, N.; Treumann, S.; Groeters, S.; Strauss, V.; Marxfeld, H.; Funk-Weyer, D.; Seiffert, S.; et al. Toxicological Inhalation Studies in Rats to Substantiate Grouping of Zinc Oxide Nanoforms. Part. Fibre Toxicol. 2024, 21, 24. [Google Scholar] [CrossRef]
- Zhong, L.; Yu, Y.; Lian, H.; Hu, X.; Fu, H.; Chen, Y. Solubility of Nano-Sized Metal Oxides Evaluated by using in Vitro Simulated Lung and Gastrointestinal Fluids: Implication for Health Risks. J. Nanoparticle Res. 2017, 19, 375. [Google Scholar] [CrossRef]
- Zhu, Y.; Eaton, J.W.; Li, C. Titanium Dioxide (TiO2) Nanoparticles Preferentially Induce Cell Death in Transformed Cells in a Bak/Bax-Independent Fashion. PLoS ONE 2012, 7, e50607. [Google Scholar] [CrossRef]
- Miyayama, T.; Matsuoka, M. Involvement of Lysosomal Dysfunction in Silver Nanoparticle-Induced Cellular Damage in A549 Human Lung Alveolar Epithelial Cells. J. Occup. Med. Toxicol. 2016, 11, 1. [Google Scholar] [CrossRef]
- Moschini, E.; Gualtieri, M.; Colombo, M.; Fascio, U.; Camatini, M.; Mantecca, P. The Modality of Cell–particle Interactions Drives the Toxicity of Nanosized CuO and TiO2 in Human Alveolar Epithelial Cells. Toxicol. Lett. 2013, 222, 102–116. [Google Scholar] [CrossRef] [PubMed]
- Wall, J.; Seleci, D.A.; Schworm, F.; Neuberger, R.; Link, M.; Hufnagel, M.; Schumacher, P.; Schulz, F.; Heinrich, U.; Wohlleben, W.; et al. Comparison of Metal-Based Nanoparticles and Nanowires: Solubility, Reactivity, Bioavailability and Cellular Toxicity. Nanomaterials 2021, 12, 147. [Google Scholar] [CrossRef]
- Helmig, S.; Haibel, N.; Walter, D. In Vitro Toxicity Studies of Aluminum Compounds. J. Therm. Anal. Calorim. 2018, 134, 643–651. [Google Scholar] [CrossRef]
- Avramescu, M.; Chénier, M.; Palaniyandi, S.; Rasmussen, P.E. Dissolution Behavior of Metal Oxide Nanomaterials in Cell Culture Medium Versus Distilled Water. J. Nanoparticle Res. 2020, 22, 222. [Google Scholar] [CrossRef]
- Mauvezin, C.; Nagy, P.; Juhász, G.; Neufeld, T.P. Autophagosome–lysosome Fusion is Independent of V-ATPase-Mediated Acidification. Nat. Commun. 2015, 6, 7007. [Google Scholar] [CrossRef]
- Cho, Y.; Tan, H.W.S.; Saquib, Q.; Ren, Y.; Ahmad, J.; Wahab, R.; He, W.; Bay, B.; Shen, H. Dual Role of Oxidative Stress-JNK Activation in Autophagy and Apoptosis Induced by Nickel Oxide Nanoparticles in Human Cancer Cells. Free. Radic. Biol. Med. 2020, 153, 173. [Google Scholar] [CrossRef]
- Ge, C.; Li, Y.; Yin, J.; Liu, Y.; Wang, L.; Zhao, Y.; Chen, C. The Contributions of Metal Impurities and Tube Structure to the Toxicity of Carbon Nanotube Materials. NPG Asia Mater 2012, 4, e32. [Google Scholar] [CrossRef]
- Zamora-Perez, P.; Pelaz, B.; Tsoutsi, D.; Soliman, M.G.; Parak, W.J.; Rivera-Gil, P. Hyperspectral-Enhanced Dark Field Analysis of Individual and Collective Photo-Responsive Gold-Copper Sulfide Nanoparticles. Nanoscale 2021, 13, 13256–13272. [Google Scholar] [CrossRef] [PubMed]
- Yoo, N.; Jeon, Y.; Choi, S. Determination of Two Differently Manufactured Silicon Dioxide Nanoparticles by Cloud Point Extraction Approach in Intestinal Cells, Intestinal Barriers and Tissues. Int. J. Mol. Sci. 2021, 22, 7035. [Google Scholar] [CrossRef]
- SoRelle, E.D.; Liba, O.; Campbell, J.L.; Dalal, R.; Zavaleta, C.L.; de la Zerda, A. A Hyperspectral Method to Assay the Microphysiological Fates of Nanomaterials in Histological Samples. Elife 2016, 5, e16352. [Google Scholar] [CrossRef]
- Sousa De Almeida, M.; Susnik, E.; Drasler, B.; Taladriz-Blanco, P.; Petri-Fink, A.; Rothen-Rutishauser, B. Understanding Nanoparticle Endocytosis to Improve Targeting Strategies in Nanomedicine. Chem. Soc. Rev. 2021, 50, 5397. [Google Scholar] [CrossRef]
- White, P.A.; Douglas, G.R.; Gingerich, J.; Parfett, C.; Shwed, P.; Seligy, V.; Soper, L.; Berndt, L.; Bayley, J.; Wagner, S.; et al. Development and Characterization of a Stable Epithelial Cell Line from Muta™Mouse Lung. Environ. Mol. Mutagen. 2003, 42, 166–184. [Google Scholar] [CrossRef]
- Dietl, P.; Frick, M. Channels and Transporters of the Pulmonary Lamellar Body in Health and Disease. Cells 2021, 11, 45. [Google Scholar] [CrossRef]
- Van Weeren, L.; De Graaff, A.M.; Jamieson, J.D.; Batenburg, J.J.; Valentijn, J.A. Rab3D and Actin Reveal Distinct Lamellar Body Subpopulations in Alveolar Epithelial Type II Cells. Am. J. Respir. Cell Mol. Biol. 2004, 30, 288. [Google Scholar] [CrossRef]
- Zhang, J.; Zou, Z.; Wang, B.; Xu, G.; Wu, Q.; Zhang, Y.; Yuan, Z.; Yang, X.; Yu, C. Lysosomal Deposition of Copper Oxide Nanoparticles Triggers HUVEC Cells Death. Biomaterials 2018, 161, 228–239. [Google Scholar] [CrossRef]
- Popp, L.; Tran, V.; Patel, R.; Segatori, L. Autophagic Response to Cellular Exposure to Titanium Dioxide Nanoparticles. Acta Biomater. 2018, 79, 354. [Google Scholar] [CrossRef] [PubMed]
- Huerta-García, E.; Ramos-Godinez, M.D.P.; López-Saavedra, A.; Alfaro-Moreno, E.; Gómez-Crisóstomo, N.P.; Colín-Val, Z.; Sánchez-Barrera, H.; López-Marure, R. Internalization of Titanium Dioxide Nanoparticles is Mediated by Actin-Dependent Reorganization and Clathrin- and Dynamin-Mediated Endocytosis in H9c2 Rat Cardiomyoblasts. Chem. Res. Toxicol. 2019, 32, 578. [Google Scholar] [CrossRef]
- Ibrahim, M.; Schoelermann, J.; Mustafa, K.; Cimpan, M.R. TiO2 Nanoparticles Disrupt Cell Adhesion and the Architecture of Cytoskeletal Networks of Human Osteoblast-like Cells in a Size Dependent Manner. J. Biomed. Mater. Res. 2018, 106, 2582. [Google Scholar] [CrossRef] [PubMed]
- Déciga-Alcaraz, A.; Delgado-Buenrostro, N.L.; Ispanixtlahuatl-Meráz, O.; Freyre-Fonseca, V.; Flores-Flores, J.O.; Ganem-Rondero, A.; Vaca-Paniagua, F.; Pilar Ramos-Godinez, M.D.; Morales-Barcenas, R.; Sánchez-Pérez, Y.; et al. Irreversible Disruption of the Cytoskeleton as Induced by Non-Cytotoxic Exposure to Titanium Dioxide Nanoparticles in Lung Epithelial Cells. Chem.-Biol. Interact. 2020, 323, 109063. [Google Scholar] [CrossRef]
- Gheshlaghi, Z.N.; Riazi, G.H.; Ahmadian, S.; Ghafari, M.; Mahinpour, R. Toxicity and Interaction of Titanium Dioxide Nanoparticles with Microtubule Protein. Acta Biochim. Et Biophys. Sin. 2008, 40, 777. [Google Scholar] [CrossRef]
- Søs Poulsen, S.; Jacobsen, N.R.; Labib, S.; Wu, D.; Husain, M.; Williams, A.; Bøgelund, J.P.; Andersen, O.; Købler, C.; Mølhave, K.; et al. Transcriptomic Analysis Reveals Novel Mechanistic Insight into Murine Biological Responses to Multi-Walled Carbon Nanotubes in Lungs and Cultured Lung Epithelial Cells. PLoS ONE 2013, 8, e80452. [Google Scholar] [CrossRef] [PubMed]
- Siegrist, K.J.; Reynolds, S.H.; Porter, D.W.; Mercer, R.R.; Bauer, A.K.; Lowry, D.; Cena, L.; Stueckle, T.A.; Kashon, M.L.; Wiley, J.; et al. Mitsui-7, Heat-Treated, and Nitrogen-Doped Multi-Walled Carbon Nanotubes Elicit Genotoxicity in Human Lung Epithelial Cells. Part. Fibre Toxicol. 2019, 16, 36. [Google Scholar] [CrossRef] [PubMed]
- Yuan, N.; Song, L.; Zhang, S.; Lin, W.; Cao, Y.; Xu, F.; Fang, Y.; Wang, Z.; Zhang, H.; Li, X.; et al. Bafilomycin A1 Targets both Autophagy and Apoptosis Pathways in Pediatric B-Cell Acute Lymphoblastic Leukemia. Haematologica 2015, 100, 345–356. [Google Scholar] [CrossRef] [PubMed]
- Solorio-Rodriguez, S.A.; Wu, D.; Boyadzhiev, A.; Christ, C.; Williams, A.; Halappanavar, S. A Systematic Genotoxicity Assessment of a Suite of Metal Oxide Nanoparticles Reveals their DNA Damaging and Clastogenic Potential. Nanomaterials 2024, 14, 743. [Google Scholar] [CrossRef]
- English. ENV/JM/MONO(2015)44 Unclassified.
- Boyadzhiev, A.; Solorio-Rodriguez, S.A.; Wu, D.; Avramescu, M.; Rasmussen, P.; Halappanavar, S. The High-Throughput in Vitro CometChip Assay for the Analysis of Metal Oxide Nanomaterial Induced DNA Damage. Nanomaterials 2022, 12, 1844. [Google Scholar] [CrossRef]
- Avramescu, M.; Chénier, M.; Beauchemin, S.; Rasmussen, P. Dissolution Behaviour of Metal-Oxide Nanomaterials in various Biological Media. Nanomaterials 2022, 13, 26. [Google Scholar] [CrossRef]
- Wils, R.S.; Jacobsen, N.R.; Di Ianni, E.; Roursgaard, M.; Møller, P. Reactive Oxygen Species Production, Genotoxicity and Telomere Length in FE1-Muta™Mouse Lung Epithelial Cells Exposed to Carbon Nanotubes. Nanotoxicology 2021, 15, 661–672. [Google Scholar] [CrossRef]
- Bengtson, S.; Kling, K.; Madsen, A.M.; Noergaard, A.W.; Jacobsen, N.R.; Clausen, P.A.; Alonso, B.; Pesquera, A.; Zurutuza, A.; Ramos, R.; et al. No Cytotoxicity Or Genotoxicity of Graphene and Graphene Oxide in Murine Lung Epithelial FE1 Cells in Vitro. Environ. Mol. Mutagen. 2016, 57, 469–482. [Google Scholar] [CrossRef]
- Jacobsen, N.R.; Pojana, G.; White, P.; Møller, P.; Cohn, C.A.; Smith Korsholm, K.; Vogel, U.; Marcomini, A.; Loft, S.; Wallin, H. Genotoxicity, Cytotoxicity, and Reactive Oxygen Species Induced by Single-Walled Carbon Nanotubes and C60 Fullerenes in the FE1-Muta[Trade Mark Sign]Mouse Lung Epithelial Cells. Environ. Mol. Mutagen. 2008, 49, 476–487. [Google Scholar] [CrossRef]
- Jacobsen, N.R.; Møller, P.; Cohn, C.A.; Loft, S.; Vogel, U.; Wallin, H. Diesel Exhaust Particles are Mutagenic in FE1-Muta™Mouse Lung Epithelial Cells. Mutat. Res.-Fundam. Mol. Mech. Mutagen. 2008, 641, 54–57. [Google Scholar] [CrossRef]
- Costes, S.V.; Daelemans, D.; Cho, E.H.; Dobbin, Z.; Pavlakis, G.; Lockett, S. Automatic and Quantitative Measurement of Protein-Protein Colocalization in Live Cells. Biophys. J. 2004, 86, 3993. [Google Scholar] [CrossRef] [PubMed]









| MONP | 6 µg/mL | 12.5 µg/mL |
|---|---|---|
| CuO | 0.0183 (1) | 0.0691 (1) |
| NiO | 0.3805 (1) | 0.044 (1) |
| Al2O3 | 0.0625 (2) | 0.0781 (1) |
| TiO2 | 0.2693 (3) | 0.5301 (2) |
| Material | Catalogue Number | Manufacturer | Size (nm) | Aspect Ratio | SSA (m2/g) | Dissolution (%) | |
|---|---|---|---|---|---|---|---|
| CuO NPs | 544868 | Sigma Aldrich (Oakvill, ON, Canada) | 64.8 × 45.9 (47 × 28) 1 | 1.39 (0.39) 1 | 10.3 5 | 11.8 | |
| Al2O3 NPs | 544833 | Sigma Aldrich (Oakvill, ON, Canada) | 23.9 × 10.7 (12 × 7) 2 | 2.63 (1.40) 2 | 145.3 5 | 1.25 | |
| NiO NPs | US3355 | US Research Nanomaterials Inc. (Houston, TX, USA) | 27.3 × 21.9 (10 × 8) 2 | 1.25 (0.20) 2 | 36.6 5 | 0.81 | |
| TiO2 NPs | NIST 1898 | National Institute of Standards and Technology (Gaithersburg, MD, USA) | 26.8 × 20.9 (9 × 7) 3 | 1.30 (0.26) 3 | 52.7 5 | 0.17 | |
| Mitsui-7 | N/A | Mitsui & Co. (Washington, DC, USA) | D: 40–100 4 | L: 3000–9400 4 | 30–235 4 | 22–28 4 | N/A |
| Reagent | Manufacturer | Catalogue Number |
|---|---|---|
| Copper(II) chloride dihydrate | Millipore Sigma (Burlington, ON, Canada) | C3279-100G |
| Lyophilized Bafilomycin A1 | Millipore Sigma (Burlington, ON, Canada) | 196000-10UG |
| 100% dimethyl sulfoxide | Fisher Scientific (Ottawa, ON, Canada) | BP231-100 |
| DNAse/RNAse-free ultrapure water | Life Technologies (Burlington, ON, Canada) | 10977015 |
| 18 mm × 18 mm #1 square glass coverslips | Fisher Scientific (Ottawa, ON, Canada) | 12-548A |
| Formaldehyde solution | Millipore Sigma (Burlington, ON, Canada) | F8775-500ML |
| Triton X-100 | Fisher Scientific (Ottawa, ON, Canada) | BP151-500 |
| Bovine serum albumin | Millipore Sigma (Burlington, ON, Canada) | A9647-100G |
| Tween-20 | Millipore Sigma (Burlington, ON, Canada) | P9416-100ML |
| ProLong™ Glass Antifade Mountant with NucBlue™ Stain | ThermoFisher (Ottawa, ON, Canada) | P36983 |
| Anti-Lamp1 antibody | Abcam (Waltham, MA, USA) | ab24170 |
| Anti-alpha tubulin antibody | Abcam (Waltham, MA, USA) | ab52866 |
| Phalloidin-iFluor 594 | Abcam (Waltham, MA, USA) | ab176757 |
| Goat Anti-Rabbit IgG H&L (Alexa Fluor® 488) | Abcam (Waltham, MA, USA) | ab150077 |
| Goat Anti-Rabbit IgG H&L (Alexa Fluor 568) | Abcam (Waltham, MA, USA) | ab175471 |
| Lysotracker Red DND-99 | Thermofisher (Ottawa, ON, Canada) | L7529 |
| Dulbecco’s Modified Eagle’s Medium Nutrient Mixture: F12 HAM (1:1) phenol red-containing medium | Life Technologies (Burlington, ON, Canada) | 21041-025 |
| Penicillin-Streptomycin | Life Technologies (Burlington, ON, Canada) | 15140122 |
| Fetal bovine serum | Life Technologies (Burlington, ON, Canada) | 12483-020 |
| Human epidermal growth factor | Life Technologies (Burlington, ON, Canada) | PHG0311 |
| Dulbecco’s Modified Eagle’s Medium Nutrient Mixture: F12 HAM (1:1) without phenol red | Life Technologies (Burlington, ON, Canada) | 21041-025 |
| Trypsin | Life Technologies (Burlington, ON, Canada) | 25200-056 |
| Material | Conc (mg/mL) | Volume (mL) | DSE (J/mL) | % Amp | Frequency | AST (s) |
|---|---|---|---|---|---|---|
| CuO NPs | 1 | 8 | 109.5 | 10 | 8 s on/ 2 s off | 144 |
| NiO NPs | 5 | 8 | 733 | 60 | 8 s on/ 2 s off | 90 |
| Al2O3 NPs | 5 | 8 | 1270 | 55 | 8 s on/ 2 s off | 180 |
| TiO2 NPs | 5 | 50 | 1013 | 55 | 8 s on/ 2 s off | 900 |
| Mitsui-7 MWCNTs | 1 | 10.61 | 550 1/172 2 | 10 | Always on | 960 1/300 2 |
Disclaimer/Publisher’s Note: The statements, opinions and data contained in all publications are solely those of the individual author(s) and contributor(s) and not of MDPI and/or the editor(s). MDPI and/or the editor(s) disclaim responsibility for any injury to people or property resulting from any ideas, methods, instructions or products referred to in the content. |
© 2025 by the authors. Licensee MDPI, Basel, Switzerland. This article is an open access article distributed under the terms and conditions of the Creative Commons Attribution (CC BY) license (https://creativecommons.org/licenses/by/4.0/).
Share and Cite
Boyadzhiev, A.; Halappanavar, S. Acute Toxicity of Metal Oxide Nanoparticles—Role of Intracellular Localization In Vitro in Lung Epithelial Cells. Int. J. Mol. Sci. 2025, 26, 8451. https://doi.org/10.3390/ijms26178451
Boyadzhiev A, Halappanavar S. Acute Toxicity of Metal Oxide Nanoparticles—Role of Intracellular Localization In Vitro in Lung Epithelial Cells. International Journal of Molecular Sciences. 2025; 26(17):8451. https://doi.org/10.3390/ijms26178451
Chicago/Turabian StyleBoyadzhiev, Andrey, and Sabina Halappanavar. 2025. "Acute Toxicity of Metal Oxide Nanoparticles—Role of Intracellular Localization In Vitro in Lung Epithelial Cells" International Journal of Molecular Sciences 26, no. 17: 8451. https://doi.org/10.3390/ijms26178451
APA StyleBoyadzhiev, A., & Halappanavar, S. (2025). Acute Toxicity of Metal Oxide Nanoparticles—Role of Intracellular Localization In Vitro in Lung Epithelial Cells. International Journal of Molecular Sciences, 26(17), 8451. https://doi.org/10.3390/ijms26178451

