Efficient Design of Affilin® Protein Binders for HER3
Abstract
1. Introduction
2. Results and Discussion
2.1. Combining AI and MM to Design De Novo Affilin® Proteins for HER3
2.2. Selection of the Machine Learning Algorithm for De Novo Sequence Generation Using a Small-Sized Dataset
2.3. Generation of De Novo Affilin® Protein Sequences for HER3
2.4. Identification of Promising De Novo Sequences with Our Computational Pipeline
2.5. Experimental Validation of the De Novo Selected Sequences
2.6. In Vitro Identification of De Novo HER3-Binding Affilin® Proteins Using Phage Display and High-Throughput Screening
2.7. Primary Selection with Affilin® Libraries Using Phage Display Technology
2.8. Identification of HER3-Binding Affilin® Proteins via High-Throughput Screening
2.9. Validation of In Vitro Selected Affilin® Proteins
2.10. In Silico Maturation of HER3-Binding Affilin® Proteins to Improve Performance Using ProteinMPNN
2.11. In Vitro Maturation of HER3-Binding Affilin® Proteins Using Phage Display and HTS
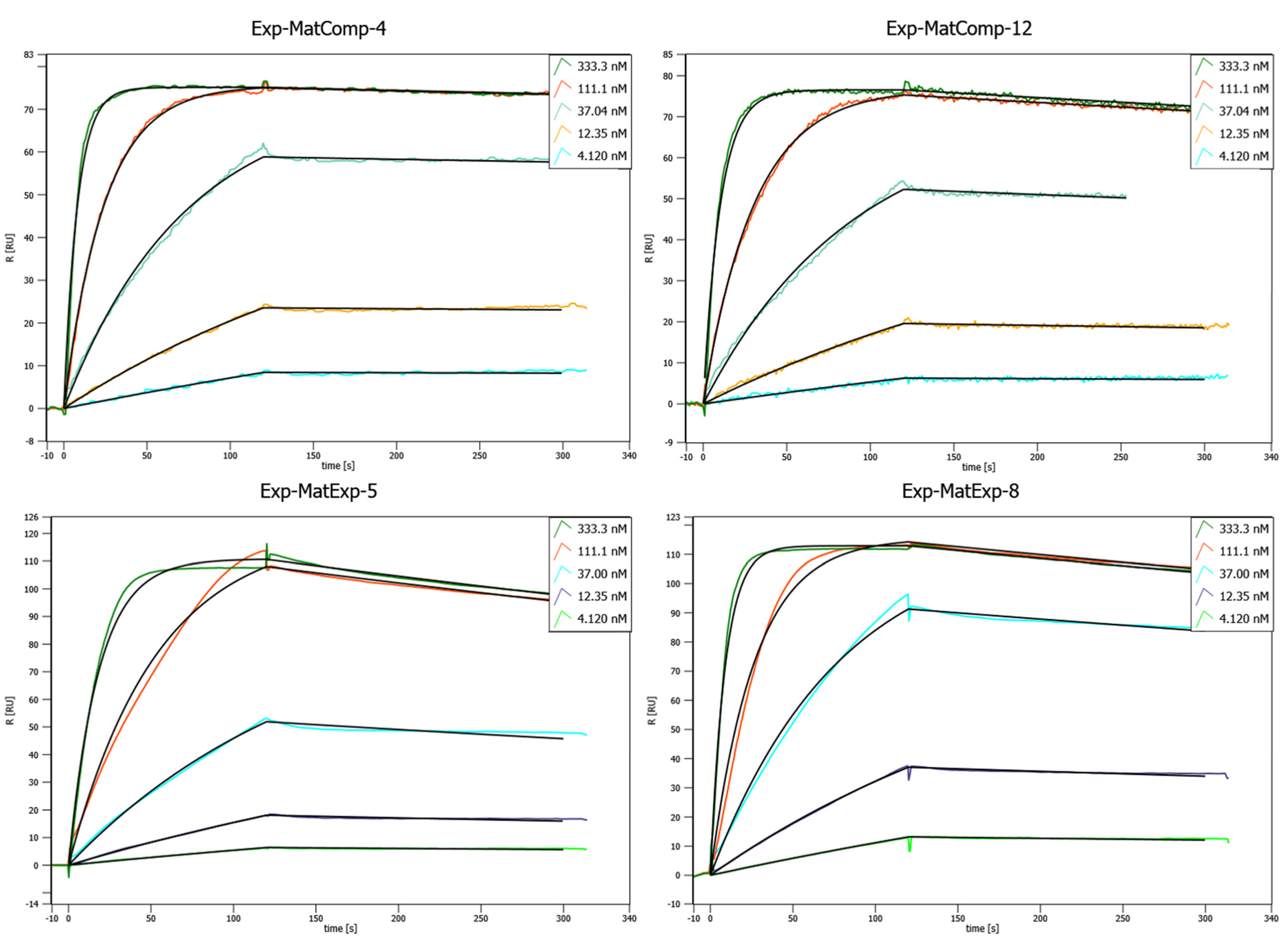
2.12. Validation of Optimized Affilin® Proteins
3. Materials and Methods
3.1. Available Affilin® Protein Data
3.2. Protein Structure Prediction and System Preparation
3.3. Rigid Protein–Protein Docking
3.4. Protein–Protein Interface Filtering
3.5. Clustering Filtered Poses
3.6. PELE Refinement Simulations
3.7. Molecular Dynamics Simulations
3.8. Binding Affinity Estimation and Identification of Key Interaction Residues
3.9. Variational Autoencoder
3.10. Materials for Experimental Assays
3.11. Target Protein Production
3.12. Primary Selection by Phage Display
3.13. High-Throughput Screening of Primary Selection Pools
3.14. Construction of Maturation Libraries
3.15. Maturation Selection by Phage Display
3.16. High-Throughput Screening of Maturated Pools
3.17. Cloning of Affilin® Protein Constructs
3.18. Expression and Purification of Affilin® Proteins
3.19. Protein Purity and Apparent Size
3.20. SPR
3.21. Melting Point Determination
3.22. Flow Cytometry Analysis
3.23. ELISA
4. Conclusions
5. Limitations of the Study
Supplementary Materials
Author Contributions
Funding
Data Availability Statement
Acknowledgments
Conflicts of Interest
References
- Brockhoff, G. “Shedding” Light on HER4 Signaling in Normal and Malignant Breast Tissues. Cell. Signal. 2022, 97, 110401. [Google Scholar] [CrossRef] [PubMed]
- Manning, G.; Whyte, D.B.; Martinez, R.; Hunter, T.; Sudarsanam, S. The Protein Kinase Complement of the Human Genome. Science 2002, 298, 1912–1934. [Google Scholar] [CrossRef]
- Tsurutani, J.; Iwata, H.; Krop, I.; Jänne, P.A.; Doi, T.; Takahashi, S.; Park, H.; Redfern, C.; Tamura, K.; Wise-Draper, T.M.; et al. Targeting HER2 with Trastuzumab Deruxtecan: A Dose-Expansion, Phase I Study in Multiple Advanced Solid Tumors. Cancer Discov. 2020, 10, 688–701. [Google Scholar] [CrossRef] [PubMed]
- Brasó-Maristany, F.; Ferrero-Cafiero, J.M.; Falato, C.; Martínez-Sáez, O.; Cejalvo, J.M.; Margelí, M.; Tolosa, P.; Salvador-Bofill, F.J.; Cruz, J.; González-Farré, B.; et al. Patritumab Deruxtecan in HER2-Negative Breast Cancer: Part B Results of the Window-of-Opportunity SOLTI-1805 TOT-HER3 Trial and Biological Determinants of Early Response. Nat. Commun. 2024, 15, 5826. [Google Scholar] [CrossRef]
- Su, P.-L.; Furuya, N.; Asrar, A.; Rolfo, C.; Li, Z.; Carbone, D.P.; He, K. Recent Advances in Therapeutic Strategies for Non-Small Cell Lung Cancer. J. Hematol. Oncol. 2025, 18, 35. [Google Scholar] [CrossRef] [PubMed]
- Garrett, J.T.; Tendler, S.; Feroz, W.; Kilroy, M.K.; Yu, H. Emerging Importance of HER3 in Tumorigenesis and Cancer Therapy. Nat. Rev. Clin. Oncol. 2025, 22, 348–370. [Google Scholar] [CrossRef]
- Zhu, M.; Yu, M.; Meng, Y.; Yang, J.; Wang, X.; LI, L.; Liang, Y.; Kong, F. HER3 Receptor and Its Role in the Therapeutic Management of Metastatic Breast Cancer. J. Transl. Med. 2024, 22, 665. [Google Scholar] [CrossRef]
- Li, X.; Liang, L.; Zhu, Z.; Hua, H.; Qiu, Y. DB-1310, a HER3-Targeting Antibody-Drug Conjugate, Has Synergistic Anti-Tumor Activity with Trastuzumab in HER2- and HER3-Expressing Breast Cancer. Cancer Biol. Med. 2025, 22, 20240586. [Google Scholar] [CrossRef]
- Geng, W.; Thomas, H.; Chen, Z.; Yan, Z.; Zhang, P.; Zhang, M.; Huang, W.; Ren, X.; Wang, Z.; Ding, K.; et al. Mechanisms of Acquired Resistance to HER2-Positive Breast Cancer Therapies Induced by HER3: A Comprehensive Review. Eur. J. Pharmacol. 2024, 977, 176725. [Google Scholar] [CrossRef]
- Gandullo-Sánchez, L.; Ocaña, A.; Pandiella, A. HER3 in Cancer: From the Bench to the Bedside. J. Exp. Clin. Cancer Res. 2022, 41, 310. [Google Scholar] [CrossRef]
- Lorey, S.; Fiedler, E.; Kunert, A.; Nerkamp, J.; Lange, C.; Fiedler, M.; Bosse-Doenecke, E.; Meysing, M.; Gloser, M.; Rundfeldt, C.; et al. Novel Ubiquitin-Derived High Affinity Binding Proteins with Tumor Targeting Properties. J. Biol. Chem. 2014, 289, 8493–8507. [Google Scholar] [CrossRef] [PubMed]
- Job, F.; Settele, F.; Lorey, S.; Rundfeldt, C.; Baumann, L.; Beck-Sickinger, A.G.; Haupts, U.; Lilie, H.; Bosse-Doenecke, E. Ubiquitin Is a Versatile Scaffold Protein for the Generation of Molecules with de Novo Binding and Advantageous Drug-like Properties. FEBS Open Bio 2015, 5, 579–593. [Google Scholar] [CrossRef] [PubMed]
- Settele, F.; Zwarg, M.; Fiedler, S.; Koscheinz, D.; Bosse-Doenecke, E. Construction and Selection of Affilin® Phage Display Libraries. In Phage Display: Methods and Protocols; Hust, M., Lim, T.S., Eds.; Springer: New York, NY, USA, 2018; pp. 205–238. ISBN 978-1-4939-7447-4. [Google Scholar]
- Vazquez-Lombardi, R.; Phan, T.G.; Zimmermann, C.; Lowe, D.; Jermutus, L.; Christ, D. Challenges and Opportunities for Non-Antibody Scaffold Drugs. Drug Discov. Today 2015, 20, 1271–1283. [Google Scholar] [CrossRef]
- Gainza, P.; Sverrisson, F.; Monti, F.; Rodolà, E.; Boscaini, D.; Bronstein, M.M.; Correia, B.E. Deciphering Interaction Fingerprints from Protein Molecular Surfaces Using Geometric Deep Learning. Nat. Methods 2020, 17, 184–192. [Google Scholar] [CrossRef] [PubMed]
- Gainza, P.; Wehrle, S.; Van Hall-Beauvais, A.; Marchand, A.; Scheck, A.; Harteveld, Z.; Buckley, S.; Ni, D.; Tan, S.; Sverrisson, F.; et al. De Novo Design of Protein Interactions with Learned Surface Fingerprints. Nature 2023, 617, 176–184. [Google Scholar] [CrossRef]
- Watson, J.L.; Juergens, D.; Bennett, N.R.; Trippe, B.L.; Yim, J.; Eisenach, H.E.; Ahern, W.; Borst, A.J.; Ragotte, R.J.; Milles, L.F.; et al. De Novo Design of Protein Structure and Function with RFdiffusion. Nature 2023, 620, 1089–1100. [Google Scholar] [CrossRef]
- Shanehsazzadeh, A.; McPartlon, M.; Kasun, G.; Steiger, A.K.; Sutton, J.M.; Yassine, E.; McCloskey, C.; Haile, R.; Shuai, R.; Alverio, J.; et al. Unlocking de Novo Antibody Design with Generative Artificial Intelligence. bioRxiv 2024. [Google Scholar] [CrossRef]
- Ferruz, N.; Schmidt, S.; Höcker, B. ProtGPT2 Is a Deep Unsupervised Language Model for Protein Design. Nat. Commun. 2022, 13, 4348. [Google Scholar] [CrossRef]
- Hayes, T.; Rao, R.; Akin, H.; Sofroniew, N.J.; Oktay, D.; Lin, Z.; Verkuil, R.; Tran, V.Q.; Deaton, J.; Wiggert, M.; et al. Simulating 500 Million Years of Evolution with a Language Model. Science 2025, 387, 850–858. [Google Scholar] [CrossRef]
- Chen, B.; Cheng, X.; Li, P.; Geng, Y.; Gong, J.; Li, S.; Bei, Z.; Tan, X.; Wang, B.; Zeng, X.; et al. xTrimoPGLM: Unified 100-Billion-Parameter Pretrained Transformer for Deciphering the Language of Proteins. Nat. Methods 2025, 22, 1028–1039. [Google Scholar] [CrossRef]
- Serrano, Y.; Roda, S.; Guallar, V.; Molina, A. Efficient and Accurate Sequence Generation with Small-Scale Protein Language Models. bioRxiv 2023. [Google Scholar] [CrossRef]
- Filella-Merce, I.; Molina, A.; Orzechowski, M.; Díaz, L.; Zhu, Y.M.; Mor, J.V.; Malo, L.; Yekkirala, A.S.; Ray, S.; Guallar, V. Optimizing Drug Design by Merging Generative AI with Active Learning Frameworks. arXiv 2023, arXiv:2305.06334. [Google Scholar]
- Loeffler, H.H.; Wan, S.; Klähn, M.; Bhati, A.P.; Coveney, P.V. Optimal Molecular Design: Generative Active Learning Combining REINVENT with Precise Binding Free Energy Ranking Simulations. J. Chem. Theory Comput. 2024, 20, 8308–8328. [Google Scholar] [CrossRef]
- Karaca, E.; Prévost, C.; Sacquin-Mora, S. Modeling the Dynamics of Protein–Protein Interfaces, How and Why? Molecules 2022, 27, 1841. [Google Scholar] [CrossRef] [PubMed]
- Borrelli, K.W.; Vitalis, A.; Alcantara, R.; Guallar, V. PELE: Protein Energy Landscape Exploration. A Novel Monte Carlo Based Technique. J. Chem. Theory Comput. 2005, 1, 1304–1311. [Google Scholar] [CrossRef]
- Marze, N.A.; Roy Burman, S.S.; Sheffler, W.; Gray, J.J. Efficient Flexible Backbone Protein–Protein Docking for Challenging Targets. Bioinformatics 2018, 34, 3461–3469. [Google Scholar] [CrossRef]
- Cheng, T.M.-K.; Blundell, T.L.; Fernandez-Recio, J. pyDock: Electrostatics and Desolvation for Effective Scoring of Rigid-Body Protein–Protein Docking. Proteins Struct. Funct. Bioinform. 2007, 68, 503–515. [Google Scholar] [CrossRef]
- Chen, F.; Liu, H.; Sun, H.; Pan, P.; Li, Y.; Li, D.; Hou, T. Assessing the Performance of the MM/PBSA and MM/GBSA Methods. 6. Capability to Predict Protein–Protein Binding Free Energies and Re-Rank Binding Poses Generated by Protein–Protein Docking. Phys. Chem. Chem. Phys. 2016, 18, 22129–22139. [Google Scholar] [CrossRef]
- Martin, J.; Frezza, E. A Dynamical View of Protein–protein Complexes: Studies by Molecular Dynamics Simulations. Front. Mol. Biosci. 2022, 9, 970109. [Google Scholar] [CrossRef]
- Perez-Lopez, C.; Molina, A.; Lozoya, E.; Segarra, V.; Municoy, M.; Guallar, V. Combining Machine-Learning and Molecular-Modeling Methods for Drug-Target Affinity Predictions. WIREs Comput. Mol. Sci. 2023, 13, e1653. [Google Scholar] [CrossRef]
- Alamdari, S.; Thakkar, N.; van den Berg, R.; Lu, A.X.; Fusi, N.; Amini, A.P.; Yang, K.K. Protein Generation with Evolutionary Diffusion: Sequence Is All You Need. bioRxiv 2023. [Google Scholar] [CrossRef]
- Kingma, D.P.; Welling, M. Auto-Encoding Variational Bayes. arXiv 2022, arXiv:1312.6114v11. [Google Scholar]
- Vaswani, A.; Shazeer, N.; Parmar, N.; Uszkoreit, J.; Jones, L.; Gomez, A.N.; Kaiser, L.; Polosukhin, I. Attention Is All You Need. arXiv 2023, arXiv:1706.03762v7. [Google Scholar]
- Pons, C.; Solernou, A.; Perez-Cano, L.; Grosdidier, S.; Fernandez-Recio, J. Optimization of pyDock for the New CAPRI Challenges: Docking of Homology-Based Models, Domain–Domain Assembly and Protein-RNA Binding. Proteins Struct. Funct. Bioinform. 2010, 78, 3182–3188. [Google Scholar] [CrossRef]
- Dauparas, J.; Anishchenko, I.; Bennett, N.; Bai, H.; Ragotte, R.J.; Milles, L.F.; Wicky, B.I.M.; Courbet, A.; de Haas, R.J.; Bethel, N.; et al. Robust Deep Learning–Based Protein Sequence Design Using ProteinMPNN. Science 2022, 378, 49–56. [Google Scholar] [CrossRef] [PubMed]
- Steinegger, M.; Söding, J. MMseqs2 Enables Sensitive Protein Sequence Searching for the Analysis of Massive Data Sets. Nat. Biotechnol 2017, 35, 1026–1028. [Google Scholar] [CrossRef] [PubMed]
- van der Flier, F.; Estell, D.; Pricelius, S.; Dankmeyer, L.; Thans, S.v.S.; Mulder, H.; Otsuka, R.; Goedegebuur, F.; Lammerts, L.; Staphorst, D.; et al. Enzyme Structure Correlates with Variant Effect Predictability. Comput. Struct. Biotechnol. J. 2024, 23, 3489–3497. [Google Scholar] [CrossRef]
- Zhou, J.; Wong, M.S.; Chen, W.-C.; Krainer, A.R.; Kinney, J.B.; McCandlish, D.M. Higher-Order Epistasis and Phenotypic Prediction. Proc. Natl. Acad. Sci. USA 2022, 119, e2204233119. [Google Scholar] [CrossRef]
- Jumper, J.; Evans, R.; Pritzel, A.; Green, T.; Figurnov, M.; Ronneberger, O.; Tunyasuvunakool, K.; Bates, R.; Žídek, A.; Potapenko, A.; et al. Highly Accurate Protein Structure Prediction with AlphaFold. Nature 2021, 596, 583–589. [Google Scholar] [CrossRef]
- Fiser, A.; Do, R.K.G.; Šali, A. Modeling of Loops in Protein Structures. Protein Sci. 2000, 9, 1753–1773. [Google Scholar] [CrossRef]
- Sali, A.; Blundell, T.L. Comparative Protein Modelling by Satisfaction of Spatial Restraints. J. Mol. Biol. 1993, 234, 779–815. [Google Scholar] [CrossRef] [PubMed]
- Madhavi Sastry, G.; Adzhigirey, M.; Day, T.; Annabhimoju, R.; Sherman, W. Protein and Ligand Preparation: Parameters, Protocols, and Influence on Virtual Screening Enrichments. J. Comput Aided Mol. Des. 2013, 27, 221–234. [Google Scholar] [CrossRef] [PubMed]
- Jacobson, M.P.; Pincus, D.L.; Rapp, C.S.; Day, T.J.F.; Honig, B.; Shaw, D.E.; Friesner, R.A. A Hierarchical Approach to All-Atom Protein Loop Prediction. Proteins Struct. Funct. Bioinform. 2004, 55, 351–367. [Google Scholar] [CrossRef] [PubMed]
- Banks, J.L.; Beard, H.S.; Cao, Y.; Cho, A.E.; Damm, W.; Farid, R.; Felts, A.K.; Halgren, T.A.; Mainz, D.T.; Maple, J.R.; et al. Integrated Modeling Program, Applied Chemical Theory (IMPACT). J. Comput. Chem. 2005, 26, 1752–1780. [Google Scholar] [CrossRef]
- Cock, P.J.A.; Antao, T.; Chang, J.T.; Chapman, B.A.; Cox, C.J.; Dalke, A.; Friedberg, I.; Hamelryck, T.; Kauff, F.; Wilczynski, B.; et al. Biopython: Freely Available Python Tools for Computational Molecular Biology and Bioinformatics. Bioinformatics 2009, 25, 1422–1423. [Google Scholar] [CrossRef]
- Gabb, H.A.; Jackson, R.M.; Sternberg, M.J.E. Modelling Protein Docking Using Shape Complementarity, Electrostatics and Biochemical Information1. J. Mol. Biol. 1997, 272, 106–120. [Google Scholar] [CrossRef]
- Fernandez-Recio, J.; Totrov, M.; Skorodumov, C.; Abagyan, R. Optimal Docking Area: A New Method for Predicting Protein–Protein Interaction Sites. Proteins Struct. Funct. Bioinform. 2005, 58, 134–143. [Google Scholar] [CrossRef]
- Atilgan, A.R.; Durell, S.R.; Jernigan, R.L.; Demirel, M.C.; Keskin, O.; Bahar, I. Anisotropy of Fluctuation Dynamics of Proteins with an Elastic Network Model. Biophys. J. 2001, 80, 505–515. [Google Scholar] [CrossRef]
- Bashford, D.; Case, D.A. Generalized Born Models of Macromolecular Solvation Effects. Annu. Rev. Phys. Chem. 2000, 51, 129–152. [Google Scholar] [CrossRef]
- Ponder, J.W.; Case, D.A. Force Fields for Protein Simulations. In Advances in Protein Chemistry; Protein Simulations; Academic Press: Cambridge, MA, USA, 2003; Volume 66, pp. 27–85. [Google Scholar]
- Maier, J.A.; Martinez, C.; Kasavajhala, K.; Wickstrom, L.; Hauser, K.E.; Simmerling, C. ff14SB: Improving the Accuracy of Protein Side Chain and Backbone Parameters from ff99SB. J. Chem. Theory Comput. 2015, 11, 3696–3713. [Google Scholar] [CrossRef]
- Miller, B.R.I.; McGee, T.D., Jr.; Swails, J.M.; Homeyer, N.; Gohlke, H.; Roitberg, A.E. MMPBSA.Py: An Efficient Program for End-State Free Energy Calculations. J. Chem. Theory Comput. 2012, 8, 3314–3321. [Google Scholar] [CrossRef] [PubMed]
- Moreira, I.S.; Fernandes, P.A.; Ramos, M.J. Hot Spots—A Review of the Protein–Protein Interface Determinant Amino-Acid Residues. Proteins Struct. Funct. Bioinform. 2007, 68, 803–812. [Google Scholar] [CrossRef] [PubMed]
- Paszke, A.; Gross, S.; Massa, F.; Lerer, A.; Bradbury, J.; Chanan, G.; Killeen, T.; Lin, Z.; Gimelshein, N.; Antiga, L.; et al. PyTorch: An Imperative Style, High-Performance Deep Learning Library. In Proceedings of the 33rd International Conference on Neural Information Processing Systems, Vancouver, BC, Canada, 8–14 December 2019. [Google Scholar]
- Paschke, M.; Höhne, W. A Twin-Arginine Translocation (Tat)-Mediated Phage Display System. Gene 2005, 350, 79–88. [Google Scholar] [CrossRef]
- Im, W.; Liang, J.; Olson, A.; Zhou, H.-X.; Vajda, S.; Vakser, I.A. Challenges in Structural Approaches to Cell Modeling. J. Mol. Biol. 2016, 428, 2943–2964. [Google Scholar] [CrossRef] [PubMed]
- Beuming, T.; Martín, H.; Díaz-Rovira, A.M.; Díaz, L.; Guallar, V.; Ray, S.S. Are Deep Learning Structural Models Sufficiently Accurate for Free-Energy Calculations? Application of FEP+ to AlphaFold2-Predicted Structures. J. Chem. Inf. Model. 2022, 62, 4351–4360. [Google Scholar] [CrossRef]
- Evans, R.; O’Neill, M.; Pritzel, A.; Antropova, N.; Senior, A.; Green, T.; Žídek, A.; Bates, R.; Blackwell, S.; Yim, J.; et al. Protein Complex Prediction with AlphaFold-Multimer. bioRxiv 2022. [Google Scholar] [CrossRef]






| Affilin® | SPR (Lab Scale) [nM] | Cell Binding to HEK293-HER3-sc87 [nM] |
|---|---|---|
| Comp-1 | - | NB |
| Comp-2 | 2061 | NB |
| Comp-3 | - | NB |
| Comp-4 | NB | NB |
| Comp-5 | NB | NB |
| Comp-6 | 10,000 | NB |
| Comp-7 | 462 | NB |
| Comp-8 | 5381 | NB |
| Comp-9 | 29.8 | NB |
| Comp-10 | 1488 | NB |
| Comp-11 | 63.2 | NB |
| Comp-12 | NB | NB |
| Affilin® | SPR (µ-Scale) [nM] | SPR (Lab Scale) [nM] | Binding in Mouse Serum [nM] | Binding in Human Serum [nM] | ||
|---|---|---|---|---|---|---|
| 0 h | 24 h | 0 h | 24 h | |||
| Exp-1 | 2.5 | 5.4 | 0.8 | 0.7 | 1.0 | 0.7 |
| Exp-2 | 8.6 | 19.4 | 11.1 | 10.3 | 21.1 | 12.4 |
| Exp-3 | 8.7 | 26.4 | nd | nd | nd | nd |
| Exp-4 | 5.9 | 17.1 | nd | nd | nd | nd |
| Affilin® | SPR (Lab Scale) [nM] | Binding in Mouse Serum [nM] | Binding in Human Serum [nM] | Cell Binding to HEK293-hHER3-sc87 [nM] | ||
|---|---|---|---|---|---|---|
| 0 h | 24 h | 0 h | 24 h | |||
| Exp-MatExp-5 | 4.2 | 0.8 | 0.8 | 0.8 | 0.9 | 0.2 |
| Exp-MatExp-8 | 1.5 | 1.1 | 1.1 | 1 | 0.9 | 0.03 |
| Exp-MatComp-4 | 0.2 | 0.7 | 0.6 | 0.7 | 1 | 0.6 |
| Exp-MatComp-12 | 1.1 | 0.8 | 0.7 | 1.3 | 0.9 | 0.6 |
| Exp-1 | 5.4 | 0.8 | 0.7 | 1 | 0.7 | nd |
| Affilin® | SB | MB | WB |
|---|---|---|---|
| HER2 | 72 | 59 | 16 |
| FINC ED-B | 36 | 32 | 18 |
| Others | 127 | 208 | 191 |
Disclaimer/Publisher’s Note: The statements, opinions and data contained in all publications are solely those of the individual author(s) and contributor(s) and not of MDPI and/or the editor(s). MDPI and/or the editor(s) disclaim responsibility for any injury to people or property resulting from any ideas, methods, instructions or products referred to in the content. |
© 2025 by the authors. Licensee MDPI, Basel, Switzerland. This article is an open access article distributed under the terms and conditions of the Creative Commons Attribution (CC BY) license (https://creativecommons.org/licenses/by/4.0/).
Share and Cite
Diaz-Rovira, A.M.; Lotze, J.; Hoffmann, G.; Pallara, C.; Molina, A.; Coburger, I.; Gloser-Bräunig, M.; Meysing, M.; Zwarg, M.; Díaz, L.; et al. Efficient Design of Affilin® Protein Binders for HER3. Int. J. Mol. Sci. 2025, 26, 4683. https://doi.org/10.3390/ijms26104683
Diaz-Rovira AM, Lotze J, Hoffmann G, Pallara C, Molina A, Coburger I, Gloser-Bräunig M, Meysing M, Zwarg M, Díaz L, et al. Efficient Design of Affilin® Protein Binders for HER3. International Journal of Molecular Sciences. 2025; 26(10):4683. https://doi.org/10.3390/ijms26104683
Chicago/Turabian StyleDiaz-Rovira, Anna M., Jonathan Lotze, Gregor Hoffmann, Chiara Pallara, Alexis Molina, Ina Coburger, Manja Gloser-Bräunig, Maren Meysing, Madlen Zwarg, Lucía Díaz, and et al. 2025. "Efficient Design of Affilin® Protein Binders for HER3" International Journal of Molecular Sciences 26, no. 10: 4683. https://doi.org/10.3390/ijms26104683
APA StyleDiaz-Rovira, A. M., Lotze, J., Hoffmann, G., Pallara, C., Molina, A., Coburger, I., Gloser-Bräunig, M., Meysing, M., Zwarg, M., Díaz, L., Guallar, V., Bosse-Doenecke, E., & Roda, S. (2025). Efficient Design of Affilin® Protein Binders for HER3. International Journal of Molecular Sciences, 26(10), 4683. https://doi.org/10.3390/ijms26104683

