Comparison of the Cytotoxic Mechanisms of Different Garlic (Allium sativum L.) Cultivars with the Crucial Involvement of Peroxisome Proliferator-Activated Receptor Gamma
Abstract
1. Introduction
2. Results
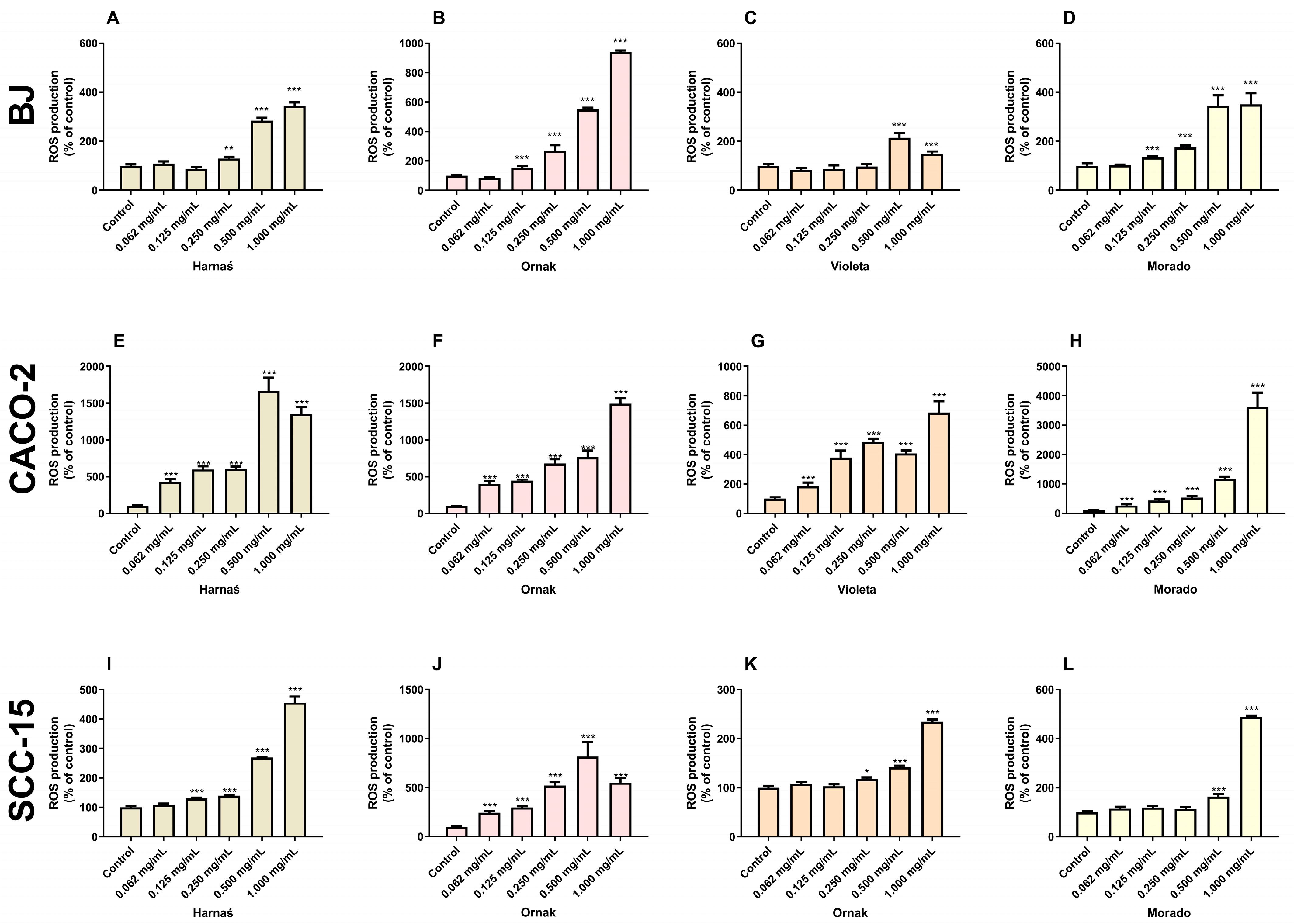
2.1. ROS Levels in Studied Cell Lines
2.2. Level of LDH Released
2.3. Resazurin Reduction Assay
2.4. Caspase-3 Activity
2.5. Gene Expression
2.5.1. PPARγ and LC3A mRNA Expression in BJ, CACO-2, and SCC-15 Cell Lines
2.5.2. CAT and SOD1 mRNA Expression in BJ, CACO-2, and SCC-15 Cell Lines
2.6. Protein Expression
2.6.1. PPARγ and LC3A Protein Expression in BJ, CACO-2, and SCC-15 Cell Lines
2.6.2. CAT and SOD1 Protein Expression in BJ, CACO-2, and SCC-15 Cell Lines
2.7. Chromatographic Analysis of Studied Garlic Extracts
3. Discussion
4. Materials and Methods
4.1. Reagents
4.2. Preparation of Extracts
4.3. Cell Culture and Experiments
4.4. ROS Measurement
4.5. LDH Release
4.6. Resazurin Reduction Assay
4.7. Caspase-3 Activity Assay
4.8. Gene Expression Analysis by RT-PCR
4.9. ELISA
4.10. Chromatographic Determination of Biologically Active Compounds
4.11. Statistical Analysis
5. Conclusions
Supplementary Materials
Author Contributions
Funding
Institutional Review Board Statement
Informed Consent Statement
Data Availability Statement
Conflicts of Interest
References
- Skoczylas, J.; Jędrszczyk, E.; Dziadek, K.; Dacewicz, E.; Kopeć, A. Basic Chemical Composition, Antioxidant Activity and Selected Polyphenolic Compounds Profile in Garlic Leaves and Bulbs Collected at Various Stages of Development. Molecules 2023, 28, 6653. [Google Scholar] [CrossRef] [PubMed]
- Chidike Ezeorba, T.P.; Ezugwu, A.L.; Chukwuma, I.F.; Anaduaka, E.G.; Udenigwe, C.C. Health-Promoting Properties of Bioactive Proteins and Peptides of Garlic (Allium sativum). Food Chem. 2024, 435, 137632. [Google Scholar] [CrossRef]
- Gambelli, L.; Marconi, S.; Durazzo, A.; Camilli, E.; Aguzzi, A.; Gabrielli, P.; Marletta, L.; Lisciani, S. Vitamins and Minerals in Four Traditional Garlic Ecotypes (Allium sativum L.) from Italy: An Example of Territorial Biodiversity. Sustainability 2021, 13, 7405. [Google Scholar] [CrossRef]
- Pacholczyk-Sienicka, B.; Modranka, J.; Ciepielowski, G. Comparative Analysis of Bioactive Compounds in Garlic Owing to the Cultivar and Origin. Food Chem. 2024, 439, 138141. [Google Scholar] [CrossRef] [PubMed]
- Bhatwalkar, S.B.; Mondal, R.; Krishna, S.B.N.; Adam, J.K.; Govender, P.; Anupam, R. Antibacterial Properties of Organosulfur Compounds of Garlic (Allium sativum). Front. Microbiol. 2021, 12, 613077. [Google Scholar] [CrossRef] [PubMed]
- Rouf, R.; Uddin, S.J.; Sarker, D.K.; Islam, M.T.; Ali, E.S.; Shilpi, J.A.; Nahar, L.; Tiralongo, E.; Sarker, S.D. Antiviral Potential of Garlic (Allium sativum) and Its Organosulfur Compounds: A Systematic Update of Pre-Clinical and Clinical Data. Trends Food Sci. Technol. 2020, 104, 219–234. [Google Scholar] [CrossRef]
- Khounganian, R.M.; Alwakeel, A.; Albadah, A.; Nakshabandi, A.; Alharbi, S.; Almslam, A.S. The Antifungal Efficacy of Pure Garlic, Onion, and Lemon Extracts Against Candida Albicans. Cureus 2023, 15, e38637. [Google Scholar] [CrossRef]
- Sharma, V.; Sinha, E.S.; Singh, J. Investigation of In-Vitro Anti-Cancer and Apoptotic Potential of Garlic-Derived Nanovesicles against Prostate and Cervical Cancer Cell Lines. Asian Pac. J. Cancer Prev. 2024, 25, 575–585. [Google Scholar] [CrossRef]
- Pandey, P.; Khan, F.; Alshammari, N.; Saeed, A.; Aqil, F.; Saeed, M. Updates on the Anticancer Potential of Garlic Organosulfur Compounds and Their Nanoformulations: Plant Therapeutics in Cancer Management. Front. Pharmacol. 2023, 14, 1154034. [Google Scholar] [CrossRef]
- Apel, K.; Hirt, H. Reactive Oxygen Species: Metabolism, Oxidative Stress, and Signal Transduction. Annu. Rev. Plant Biol. 2004, 55, 373–399. [Google Scholar] [CrossRef]
- Perillo, B.; Di Donato, M.; Pezone, A.; Di Zazzo, E.; Giovannelli, P.; Galasso, G.; Castoria, G.; Migliaccio, A. ROS in Cancer Therapy: The Bright Side of the Moon. Exp. Mol. Med. 2020, 52, 192–203. [Google Scholar] [CrossRef] [PubMed]
- Fratianni, F.; Ombra, M.N.; Cozzolino, A.; Riccardi, R.; Spigno, P.; Tremonte, P.; Coppola, R.; Nazzaro, F. Phenolic Constituents, Antioxidant, Antimicrobial and Anti-Proliferative Activities of Different Endemic Italian Varieties of Garlic (Allium sativum L.). J. Funct. Foods 2016, 21, 240–248. [Google Scholar] [CrossRef]
- Kohda, K.; Goda, H.; Itoh, K.; Samejima, K.; Fukuuchi, T. Aged Garlic Extract Reduces ROS Production and Cell Death Induced by 6-Hydroxydopamine through Activation of the Nrf2-ARE Pathway in SH-SY5Y Cells. Pharmacol. Pharm. 2013, 04, 31–40. [Google Scholar] [CrossRef]
- Szychowski, K.A.; Binduga, U.E.; Rybczyńska-Tkaczyk, K.; Leja, M.L.; Gmiński, J. Cytotoxic Effects of Two Extracts from Garlic (Allium sativum L.) Cultivars on the Human Squamous Carcinoma Cell Line SCC-15. Saudi J. Biol. Sci. 2018, 25, 1703–1712. [Google Scholar] [CrossRef]
- Rupérez, A.I.; Anguita-Ruiz, A. Genetics of Oxidative Stress and Obesity-Related Diseases. In Obesity; Elsevier: Amsterdam, The Netherlands, 2018; pp. 17–40. [Google Scholar]
- Elrod, H.A.; Sun, S.-Y. PPARγ and Apoptosis in Cancer. PPAR Res. 2008, 2008, 704165. [Google Scholar] [CrossRef]
- Guo, Y.; Zhang, K.; Wang, Q.; Li, Z.; Yin, Y.; Xu, Q.; Duan, W.; Li, C. Neuroprotective Effects of Diallyl Trisulfide in SOD1-G93A Transgenic Mouse Model of Amyotrophic Lateral Sclerosis. Brain Res. 2011, 1374, 110–115. [Google Scholar] [CrossRef]
- Pedraza-Chaverrí, J.; Granados-Silvestre, M.D.; Medina-Campos, O.N.; Maldonado, P.D.; Olivares-Corichi, I.M.; Ibarra-Rubio, M.E. Post-Transcriptional Control of Catalase Expression in Garlic-Treated Rats. Mol. Cell. Biochem. 2001, 216, 9–19. [Google Scholar] [CrossRef] [PubMed]
- Chu, Y.-L.; Ho, C.-T.; Chung, J.-G.; Rajasekaran, R.; Sheen, L.-Y. Allicin Induces P53-Mediated Autophagy in Hep G2 Human Liver Cancer Cells. J. Agric. Food Chem. 2012, 60, 8363–8371. [Google Scholar] [CrossRef]
- Morihara, N.; Ide, N.; Weiss, N. Aged Garlic Extract Inhibits CD36 Expression in Human Macrophages via Modulation of the PPARgamma Pathway. Phytother. Res. 2010, 24, 602–608. [Google Scholar] [CrossRef]
- de Carvalho, M.V.; Gonçalves-de-Albuquerque, C.F.; Silva, A.R. PPAR Gamma: From Definition to Molecular Targets and Therapy of Lung Diseases. Int. J. Mol. Sci. 2021, 22, 805. [Google Scholar] [CrossRef]
- Pagliei, B.; Aquilano, K.; Baldelli, S.; Ciriolo, M.R. Garlic-Derived Diallyl Disulfide Modulates Peroxisome Proliferator Activated Receptor Gamma Co-Activator 1 Alpha in Neuroblastoma Cells. Biochem. Pharmacol. 2013, 85, 335–344. [Google Scholar] [CrossRef]
- Redza-Dutordoir, M.; Averill-Bates, D.A. Activation of Apoptosis Signalling Pathways by Reactive Oxygen Species. Biochim. Biophys. Acta Mol. Cell Res. 2016, 1863, 2977–2992. [Google Scholar] [CrossRef]
- Glorieux, C.; Liu, S.; Trachootham, D.; Huang, P. Targeting ROS in Cancer: Rationale and Strategies. Nat. Rev. Drug Discov. 2024, 23, 583–606. [Google Scholar] [CrossRef] [PubMed]
- Kovalevich, J.; Santerre, M.; Langford, D. Considerations for the Use of SH-SY5Y Neuroblastoma Cells in Neurobiology. Methods Mol. Biol. 2013, 1078, 9–21. [Google Scholar] [CrossRef]
- Sahoo, B.M.; Banik, B.K.; Borah, P.; Jain, A. Reactive Oxygen Species (ROS): Key Components in Cancer Therapies. Anticancer. Agents Med. Chem. 2022, 22, 215–222. [Google Scholar] [CrossRef] [PubMed]
- Li, Z.; Yang, Y.; Ming, M.; Liu, B. Mitochondrial ROS Generation for Regulation of Autophagic Pathways in Cancer. Biochem. Biophys. Res. Commun. 2011, 414, 5–8. [Google Scholar] [CrossRef] [PubMed]
- Upadhyay, S.; Ahmad, R.; Kumar, R.; Ghildiyal, S.; Singh, A.; Ahmad, K.; Husain, I.; Barkat, M.A.; Hassan, M.Z.; Asiri, Y.I.; et al. Exploring the ROS-Mediated Anti-Cancer Potential in Human Triple-Negative Breast Cancer by Garlic Bulb Extract: A Source of Therapeutically Active Compounds. J. Tradit. Complement. Med. 2024, 14, 644–655. [Google Scholar] [CrossRef]
- Özkan, İ.; Koçak, P.; Yıldırım, M.; Ünsal, N.; Yılmaz, H.; Telci, D.; Şahin, F. Garlic (Allium sativum)-Derived SEVs Inhibit Cancer Cell Proliferation and Induce Caspase Mediated Apoptosis. Sci. Rep. 2021, 11, 14773. [Google Scholar] [CrossRef]
- Decker, T.; Lohmann-Matthes, M.-L. A Quick and Simple Method for the Quantitation of Lactate Dehydrogenase Release in Measurements of Cellular Cytotoxicity and Tumor Necrosis Factor (TNF) Activity. J. Immunol. Methods 1988, 115, 61–69. [Google Scholar] [CrossRef] [PubMed]
- Pereira, M.I.A.; Monteiro, C.A.P.; de Oliveira, W.F.; Santos, B.S.; Fontes, A.; Cabral Filho, P.E. Resazurin-Based Assay to Evaluate Cell Viability After Quantum Dot Interaction. Methods Mol. Biol. 2020, 2135, 213–221. [Google Scholar] [CrossRef]
- Kendig, D.M.; Tarloff, J.B. Inactivation of Lactate Dehydrogenase by Several Chemicals: Implications for in Vitro Toxicology Studies. Toxicol. Vitr. 2007, 21, 125–132. [Google Scholar] [CrossRef][Green Version]
- Ide, N.; Lau, B.H.S.; Ryu, K.; Matsuura, H.; Itakura, Y. Antioxidant Effects of Fructosyl Arginine, a Maillard Reaction Product in Aged Garlic Extract. J. Nutr. Biochem. 1999, 10, 372–376. [Google Scholar] [CrossRef] [PubMed]
- Ide, N.; Lau, B.H.S. Garlic Compounds Minimize Intracellular Oxidative Stress and Inhibit Nuclear Factor-ΚB Activation. J. Nutr. 2001, 131, 1020S–1026S. [Google Scholar] [CrossRef]
- Isbilen, O.; Volkan, E. Allium Willeanum Holmboe Exerts Anticancer Activities on Metastatic Breast Cancer Cells MCF-7 and MDA-MB-231. Heliyon 2021, 7, e07730. [Google Scholar] [CrossRef]
- Siegers, C.P.; Steffen, B.; Röbke, A.; Pentz, R. The Effects of Garlic Preparations against Human Tumor Cell Proliferation. Phytomedicine 1999, 6, 7–11. [Google Scholar] [CrossRef]
- Wang, X.; Jiao, F.; Wang, Q.-W.W.; Wang, J.; Yang, K.; Hu, R.-R.R.; Liu, H.-C.C.; Wang, H.-Y.Y.; Wang, Y.-S.S. Aged Black Garlic Extract Induces Inhibition of Gastric Cancer Cell Growth in Vitro and in Vivo. Mol. Med. Rep. 2012, 5, 66–72. [Google Scholar] [CrossRef]
- Škrovánková, S.; Mlček, J.; Snopek, L.; Planetová, T. Polyphenols and Antioxidant Capacity in Different Types of Garlic. Potravin. Slovak J. Food Sci. 2018, 12, 267–272. [Google Scholar] [CrossRef] [PubMed]
- Furdak, P.; Pieńkowska, N.; Kapusta, I.; Bartosz, G.; Sadowska-Bartosz, I. Comparison of Antioxidant and Antiproliferative Effects of Various Forms of Garlic and Ramsons. Molecules 2023, 28, 6512. [Google Scholar] [CrossRef]
- Szychowski, K.A.; Rybczyńska-Tkaczyk, K.; Gaweł-Bȩben, K.; Ašwieca, M.; Kara, M.; Jakubczyk, A.; Matysiak, M.; Binduga, U.E.; Gmiński, J.; Gaweł-Bęben, K.; et al. Characterization of Active Compounds of Different Garlic (Allium sativum L.) Cultivars. Pol. J. Food Nutr. Sci. 2018, 68, 73–81. [Google Scholar] [CrossRef]
- Trekli, M.; Buttle, D.; Guesdon, F. Anti-inflammatory Actions of Green Tea Catechins and Ligands of Peroxisome Proliferator-activated Receptors. Int. J. Exp. Pathol. 2004, 85, A75. [Google Scholar] [CrossRef]
- Chen, S.; Shen, X.; Cheng, S.; Li, P.; Du, J.; Chang, Y.; Meng, H. Evaluation of Garlic Cultivars for Polyphenolic Content and Antioxidant Properties. PLoS ONE 2013, 8, e79730. [Google Scholar] [CrossRef] [PubMed]
- Aranaz, P.; Navarro-Herrera, D.; Zabala, M.; Miguéliz, I.; Romo-Hualde, A.; López-Yoldi, M.; Alfredo Martínez, J.; Vizmanos, J.L.; Milagro, F.I.; González-Navarro, C.J.; et al. Phenolic Compounds Inhibit 3T3-L1 Adipogenesis Depending on the Stage of Differentiation and Their Binding Affinity to PPARγ. Molecules 2019, 24, 1045. [Google Scholar] [CrossRef]
- Shi, L.; Lin, Q.; Li, X.; Nie, Y.; Sun, S.; Deng, X.; Wang, L.; Lu, J.; Tang, Y.; Luo, F. Alliin, a Garlic Organosulfur Compound, Ameliorates Gut Inflammation through MAPK-NF-ΚB/AP-1/STAT-1 Inactivation and PPAR-γ Activation. Mol. Nutr. Food Res. 2017, 61, 1601013. [Google Scholar] [CrossRef] [PubMed]
- Liu, Y.; Beyer, A.; Aebersold, R. On the Dependency of Cellular Protein Levels on MRNA Abundance. Cell 2016, 165, 535–550. [Google Scholar] [CrossRef] [PubMed]
- Chen, L.; Hong, J.-Y.; So, E.; Hussin, A.H.; Cheng, W.-F.; Yang, C.S. Decrease of Hepatic Catalase Level by Treatment with Diallyl Sulfide and Garlic Homogenates in Rats and Mice. J. Biochem. Mol. Toxicol. 1999, 13, 127–134. [Google Scholar] [CrossRef]
- Mukherjee, S.; Banerjee, S.K.; Maulik, M.; Dinda, A.K.; Talwar, K.K.; Maulik, S.K. Protection against Acute Adriamycin-Induced Cardiotoxicity by Garlic: Role of Endogenous Antioxidants and Inhibition of TNF-α Expression. BMC Pharmacol. 2003, 3, 16. [Google Scholar] [CrossRef][Green Version]
- Al-Brakati, A. Protective Effect of Aged Garlic Extracts against Hepatotoxicity Induced by Ethephon in Wistar Albino Rat. Environ. Sci. Pollut. Res. 2020, 27, 6139–6147. [Google Scholar] [CrossRef]
- Yang, J.; Song, X.; Feng, Y.; Liu, N.; Fu, Z.; Wu, J.; Li, T.; Chen, H.; Chen, J.; Chen, C.; et al. Natural Ingredients-Derived Antioxidants Attenuate H2O2-Induced Oxidative Stress and Have Chondroprotective Effects on Human Osteoarthritic Chondrocytes via Keap1/Nrf2 Pathway. Free Radic. Biol. Med. 2020, 152, 854–864. [Google Scholar] [CrossRef] [PubMed]
- Huang, Y.-S.; Xie, N.; Su, Q.; Su, J.; Huang, C.; Liao, Q.-J. Diallyl Disulfide Inhibits the Proliferation of HT-29 Human Colon Cancer Cells by Inducing Differentially Expressed Genes. Mol. Med. Rep. 2011, 4, 553–559. [Google Scholar] [CrossRef] [PubMed]
- Lemar, K.M.; Turner, M.P.; Lloyd, D. Garlic (Allium sativum) as an Anti-Candida Agent: A Comparison of the Efficacy of Fresh Garlic and Freeze-Dried Extracts. J. Appl. Microbiol. 2002, 93, 398–405. [Google Scholar] [CrossRef]
- Kaja, S.; Payne, A.J.; Naumchuk, Y.; Koulen, P. Quantification of Lactate Dehydrogenase for Cell Viability Testing Using Cell Lines and Primary Cultured Astrocytes. Curr. Protoc. Toxicol. 2017, 72, 2.26.1–2.26.10. [Google Scholar] [CrossRef] [PubMed]
- Szychowski, K.A.; Leja, M.L.; Kaminskyy, D.V.; Binduga, U.E.; Pinyazhko, O.R.; Lesyk, R.B.; Gmiński, J. Study of Novel Anticancer 4-Thiazolidinone Derivatives. Chem. Biol. Interact. 2017, 262, 46–56. [Google Scholar] [CrossRef]
- Nicholson, D.W.; Ali, A.; Thornberry, N.A.; Vaillancourt, J.P.; Ding, C.K.; Gallant, M.; Gareau, Y.; Griffin, P.R.; Labelle, M.; Lazebnik, Y.A.; et al. Identification and Inhibition of the ICE/CED-3 Protease Necessary for Mammalian Apoptosis. Nature 1995, 376, 37–43. [Google Scholar] [CrossRef] [PubMed]
- Klimczak, I.; Małecka, M.; Szlachta, M.; Gliszczyńska-Świgło, A. Effect of Storage on the Content of Polyphenols, Vitamin C and the Antioxidant Activity of Orange Juices. J. Food Compos. Anal. 2007, 20, 313–322. [Google Scholar] [CrossRef]









| Compounds | Harnaś [µg/mL] | Ornak [µg/mL] | Violeta [µg/mL] | Morado [µg/mL] |
|---|---|---|---|---|
| 4-hydroxybenzoic acid | 0.181 ± 0.107 a | 0.399 ± 0.208 a | 0.185 ± 0.001 a | 0.347 ± 0.245 a |
| Acacetin | 0.091 ± 0.001 a | 0.308 ± 0.036 b | 0.863 ± 0.001 c | 0.209 ± 0.103 ab |
| Apigenin | 0.429 ± 0.001 a | 0.298 ± 0.154 a | 0.307 ± 0.173 a | 0.238 ± 0.069 a |
| Caffeic acid | nd | 0.052 ± 0.037 a | nd | 0.052 ± 0.037 a |
| Catechin | 3.892 ± 0.016 a | 3.189 ± 1.554 ab | 0.553 ± 0.006 b | nd |
| Chrogenic acid | nd | 0.067 ± 0.047 a | nd | 0.067 ± 0.047 a |
| Epicatechin | 1.460 ± 0.013 a | 1.171 ± 0.828 a | 1.775 ± 0.011 a | 1.171 ± 0.828 a |
| Ferulic acid | 0.055 ± 0.001 a | nd | nd | nd |
| Gallic acid | nd | nd | nd | 3.236 ± 2.288 a |
| Hesperidin | 0.100 ± 0.000 a | nd | 0.065 ± 0.045 a | nd |
| Hispidulin | 0.418 ± 0.007 a | 0.393 ± 0.005 a | 0.426 ± 0.001 a | 0.282 ± 0.161 a |
| Isoharmentin | 0.200 ± 0.004 a | 0.012 ± 0.016 b | nd | 0.129 ± 0.074 ab |
| Kaempferol | 0.233 ± 0.001 a | 0.249 ± 0.024 a | 0.245 ± 0.003 a | 0.329 ± 0.089 a |
| Luteolin | 0.260 ± 0.001 a | 0.259 ± 0.083 a | 0.348 ± 0.007 a | 0.550 ± 0.494 a |
| Myricetin | 0.615 ± 0.001 a | 0.569 ± 0.402 a | 1.796 ± 0.086 b | 0.569 ± 0.402 a |
| Naringenin | 0.678 ± 0.002 a | 1.349 ± 0.849 a | 2.590 ± 0.005 a | 1.275 ± 0.901 a |
| p-Coumaric acid | 0.045 ± 0.000 a | nd | nd | nd |
| Quercetin | nd | nd | nd | nd |
| Rosmarinic acid | nd | nd | nd | nd |
| Rutin | 0.176 ± 0.007 a | nd | nd | 0.207 ± 0.293 a |
| Sinapic acid | 0.085 ± 0.000 a | nd | 0.069 ± 0.001 b | nd |
| Syrigynic acid | nd | 0.064 ± 0.045 a | 0.064 ± 0.001 a | 0.064 ± 0.045 a |
| Vanillic acid | 0.059 ± 0.000 a | 0.047 ± 0.033 a | nd | 0.047 ± 0.033 a |
Disclaimer/Publisher’s Note: The statements, opinions and data contained in all publications are solely those of the individual author(s) and contributor(s) and not of MDPI and/or the editor(s). MDPI and/or the editor(s) disclaim responsibility for any injury to people or property resulting from any ideas, methods, instructions or products referred to in the content. |
© 2025 by the authors. Licensee MDPI, Basel, Switzerland. This article is an open access article distributed under the terms and conditions of the Creative Commons Attribution (CC BY) license (https://creativecommons.org/licenses/by/4.0/).
Share and Cite
Binduga, U.E.; Kopeć, A.; Skoczylas, J.; Szychowski, K.A. Comparison of the Cytotoxic Mechanisms of Different Garlic (Allium sativum L.) Cultivars with the Crucial Involvement of Peroxisome Proliferator-Activated Receptor Gamma. Int. J. Mol. Sci. 2025, 26, 387. https://doi.org/10.3390/ijms26010387
Binduga UE, Kopeć A, Skoczylas J, Szychowski KA. Comparison of the Cytotoxic Mechanisms of Different Garlic (Allium sativum L.) Cultivars with the Crucial Involvement of Peroxisome Proliferator-Activated Receptor Gamma. International Journal of Molecular Sciences. 2025; 26(1):387. https://doi.org/10.3390/ijms26010387
Chicago/Turabian StyleBinduga, Urszula E., Aneta Kopeć, Joanna Skoczylas, and Konrad A. Szychowski. 2025. "Comparison of the Cytotoxic Mechanisms of Different Garlic (Allium sativum L.) Cultivars with the Crucial Involvement of Peroxisome Proliferator-Activated Receptor Gamma" International Journal of Molecular Sciences 26, no. 1: 387. https://doi.org/10.3390/ijms26010387
APA StyleBinduga, U. E., Kopeć, A., Skoczylas, J., & Szychowski, K. A. (2025). Comparison of the Cytotoxic Mechanisms of Different Garlic (Allium sativum L.) Cultivars with the Crucial Involvement of Peroxisome Proliferator-Activated Receptor Gamma. International Journal of Molecular Sciences, 26(1), 387. https://doi.org/10.3390/ijms26010387

