You Win Some, You Lose Some: Modifying the Molecular Periphery of Nitrofuran-Tagged Diazaspirooctane Reshapes Its Antibacterial Activity Profile
Abstract
1. Introduction
2. Results
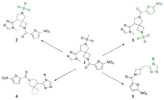
2.1. Chemistry
2.2. Antibacterial Activity
2.3. Molecular Modeling
3. Discussion
4. Materials and Methods
4.1. Chemistry
4.1.1. Synthesis of 2 Series
General Procedure for the Synthesis of Compounds 7a–j
General Procedure for the Synthesis of Compounds 2a–j
4.1.2. Synthesis of 3 Series
General Procedure for the Synthesis of Compounds 3a–e
4.1.3. Synthesis of 4 and 5 Series
General Procedure for the Synthesis of Compounds 4a–d and 5a–c
4.2. Antibacterial Activity
4.3. Molecular Modeling
4.3.1. Protein Models Used for Calculations
4.3.2. Protein and Small Molecule Preparation
4.3.3. Induced-Fit Docking Procedure
4.3.4. MM-GBSA Calculations
5. Conclusions
Supplementary Materials
Author Contributions
Funding
Institutional Review Board Statement
Informed Consent Statement
Data Availability Statement
Acknowledgments
Conflicts of Interest
References
- Zhao, H.; Dietrich, J. Privileged scaffolds in lead generation. Expert Opin. Drug Discov. 2015, 10, 781–790. [Google Scholar] [CrossRef]
- Welsch, M.E.; Snyder, S.A.; Stockwell, B.R. Privileged scaffolds for library design and drug discovery. Curr. Opin. Chem. Biol. 2010, 14, 347–361. [Google Scholar] [CrossRef] [PubMed]
- DeSimone, R.; Currie, K.; Mitchell, S.; Darrow, J.; Pippin, D. Privileged Structures: Applications in Drug Discovery. Comb. Chem. High Throughput Screen. 2004, 7, 473–493. [Google Scholar] [CrossRef]
- Kim, J.; Kim, H.; Park, S.B. Privileged Structures: Efficient Chemical “Navigators” toward Unexplored Biologically Relevant Chemical Spaces. J. Am. Chem. Soc. 2014, 136, 14629–14638. [Google Scholar] [CrossRef] [PubMed]
- Tang, Z.; Tan, Y.; Chen, H.; Wan, Y. Benzoxazine: A Privileged Scaffold in Medicinal Chemistry. Curr. Med. Chem. 2023, 30, 372–389. [Google Scholar] [CrossRef]
- Gupta, V.; Ambatwar, R.; Bhanwala, N.; Khatik, G.L. Coumarin as a Privileged and Medicinally Important Scaffold in the Treatment of Tuberculosis. Curr. Top. Med. Chem. 2023, 23, 1489–1502. [Google Scholar] [CrossRef]
- Skoreński, M.; Sieńczyk, M. The Fellowship of Privileged Scaffolds—One Structure to Inhibit Them All. Pharmaceuticals 2021, 14, 1164. [Google Scholar] [CrossRef]
- Polanski, J.; Kurczyk, A.; Bak, A.; Musiol, R. Privileged Structures-Dream or Reality: Preferential Organization of Azanaphthalene Scaffold. Curr. Med. Chem. 2012, 19, 1921–1945. [Google Scholar] [CrossRef]
- Bodrova, T.G.; Budanova, U.A.; Sebyakin, Y.L. L-Ornithine derivatives with structural hetaryl and alkyl moiety: Synthesis and antibacterial activity. Fine Chem. Technol. 2024, 19, 202–213. [Google Scholar] [CrossRef]
- Al-Warhi, T.; Rashad, N.M.; Almahli, H.; Abdel-Aziz, M.M.; Elsayed, Z.M.; Shahin, M.I.; Eldehna, W.M. Design and synthesis of benzo[b]thiophene-based hybrids as novel antitubercular agents against MDR/XDR Mycobacterium tuberculosis. Arch. Pharm. 2024, 357, e2300529. [Google Scholar] [CrossRef] [PubMed]
- Murnane, R.; Zloh, M.; Tanna, S.; Allen, R.; Santana-Gomez, F.; Parish, T.; Brucoli, F. Synthesis and antitubercular activity of novel 4-arylalkyl substituted thio-, oxy- and sulfoxy-quinoline analogues targeting the cytochrome bc1 complex. Bioorg. Chem. 2023, 138, 106659. [Google Scholar] [CrossRef] [PubMed]
- Irfan, A.; Faisal, S.; Zahoor, A.F.; Noreen, R.; Al-Hussain, S.A.; Tuzun, B.; Javaid, R.; Elhenawy, A.A.; Zaki, M.E.A.; Ahmad, S.; et al. In Silico Development of Novel Benzofuran-1,3,4-Oxadiazoles as Lead Inhibitors of M. tuberculosis Polyketide Synthase 13. Pharmaceuticals 2023, 16, 829. [Google Scholar] [CrossRef]
- Wei, W.; Cherukupalli, S.; Jing, L.; Liu, X.; Zhan, P. Fsp(3): A new parameter for drug-likeness. Drug Discov. Today 2020, 25, 1839–1845. [Google Scholar] [CrossRef] [PubMed]
- Hiesinger, K.; Dar’in, D.; Proschak, E.; Krasavin, M. Spirocyclic Scaffolds in Medicinal Chemistry. J. Med. Chem. 2021, 64, 150–183. [Google Scholar] [CrossRef]
- Zheng, Y.; Tice, C.M.; Singh, S.B. The use of spirocyclic scaffolds in drug discovery. Bioorg. Med. Chem. Lett. 2014, 24, 3673–3682. [Google Scholar] [CrossRef] [PubMed]
- Zheng, Y.J.; Tice, C.M. The utilization of spirocyclic scaffolds in novel drug discovery. Expert Opin. Drug Discov. 2016, 11, 831–834. [Google Scholar] [CrossRef] [PubMed]
- Collaborators, G.B.D.A.R. Global burden of bacterial antimicrobial resistance 1990–2021: A systematic analysis with forecasts to 2050. Lancet 2024, 404, 1199–1226. [Google Scholar] [CrossRef]
- McOsker, C.C.; Fitzpatrick, P.M. Nitrofurantoin: Mechanism of action and implications for resistance development in common uropathogens. J. Antimicrob. Chemother. 1994, 33 (Suppl. A), 23–30. [Google Scholar] [CrossRef] [PubMed]
- Ryan, A.; Kaplan, E.; Laurieri, N.; Lowe, E.; Sim, E. Activation of nitrofurazone by azoreductases: Multiple activities in one enzyme. Sci. Rep. 2011, 1, 63. [Google Scholar] [CrossRef]
- PDB Entry 6YJF. Available online: https://www.wwpdb.org/pdb?id=pdb_00006yjf (accessed on 20 November 2024).
- Park, H.S.; Kim, H.J.; Seol, M.J.; Choi, D.R.; Choi, E.C.; Kwak, J.H. In vitro and in vivo antibacterial activities of DW-224a, a new fluoronaphthyridone. Antimicrob. Agents Chemother. 2006, 50, 2261–2264. [Google Scholar] [CrossRef] [PubMed]
- Park, H.S.; Jung, S.J.; Kwak, J.H.; Choi, D.R.; Choi, E.C. DNA gyrase and topoisomerase IV are dual targets of zabofloxacin in Streptococcus pneumoniae. Int. J. Antimicrob. Agents 2010, 36, 97–98. [Google Scholar] [CrossRef] [PubMed]
- Shi, W.; Jiang, Z.; He, H.; Xiao, F.; Lin, F.; Sun, Y.; Hou, L.; Shen, L.; Han, L.; Zeng, M.; et al. Discovery of 3,3’-Spiro[Azetidine]-2-oxo-indoline Derivatives as Fusion Inhibitors for Treatment of RSV Infection. ACS Med. Chem. Lett. 2018, 9, 94–97. [Google Scholar] [CrossRef]
- Kesteleyn, B.; Herschke, F.; Darville, N.; Stoops, B.; Jacobs, T.; Jacoby, E.; Shaffer, P.; Lammens, L.; Van Rompaey, D.; Matcha, K.; et al. Spiro-Azetidine Oxindoles as Long-Acting Injectables for Pre-Exposure Prophylaxis against Respiratory Syncytial Virus Infections. J. Med. Chem. 2024, 67, 10986–11002. [Google Scholar] [CrossRef] [PubMed]
- Le Manach, C.; Dam, J.; Woodland, J.G.; Kaur, G.; Khonde, L.P.; Brunschwig, C.; Njoroge, M.; Wicht, K.J.; Horatscheck, A.; Paquet, T.; et al. Identification and Profiling of a Novel Diazaspiro[3.4]octane Chemical Series Active against Multiple Stages of the Human Malaria Parasite Plasmodium falciparum and Optimization Efforts. J. Med. Chem. 2021, 64, 2291–2309. [Google Scholar] [CrossRef] [PubMed]
- Wang, M.; Tang, T.; Li, R.; Huang, Z.; Ling, D.; Zheng, L.; Ding, Y.; Liu, T.; Xu, W.; Zhu, F.; et al. Drug Repurposing of Quisinostat to Discover Novel Plasmodium falciparum HDAC1 Inhibitors with Enhanced Triple-Stage Antimalarial Activity and Improved Safety. J. Med. Chem. 2022, 65, 4156–4181. [Google Scholar] [CrossRef]
- Han, X.; Zhao, L.; Xiang, W.; Miao, B.; Qin, C.; Wang, M.; Xu, T.; McEachern, D.; Lu, J.; Wang, Y.; et al. Discovery of ARD-2051 as a Potent and Orally Efficacious Proteolysis Targeting Chimera (PROTAC) Degrader of Androgen Receptor for the Treatment of Advanced Prostate Cancer. J. Med. Chem. 2023, 66, 8822–8843. [Google Scholar] [CrossRef]
- Xiang, W.; Zhao, L.; Han, X.; Xu, T.; Kregel, S.; Wang, M.; Miao, B.; Qin, C.; Wang, M.; McEachern, D.; et al. Discovery of ARD-1676 as a Highly Potent and Orally Efficacious AR PROTAC Degrader with a Broad Activity against AR Mutants for the Treatment of AR + Human Prostate Cancer. J. Med. Chem. 2023, 66, 13280–13303. [Google Scholar] [CrossRef] [PubMed]
- Fu, K.; Xu, W.; Yang, R.; Zhao, H.; Xu, H.; Wei, Y.; Liu, H.; Qiu, Y.; Chen, D.; Guo, D.; et al. 2,6-diazaspiro[3.4]octan-7-one derivatives as potent sigma-1 receptor antagonists that enhanced the antinociceptive effect of morphine and rescued morphine tolerance. Eur. J. Med. Chem. 2023, 249, 115178. [Google Scholar] [CrossRef] [PubMed]
- Goldberg, D.R.; De Lombaert, S.; Aiello, R.; Bourassa, P.; Barucci, N.; Zhang, Q.; Paralkar, V.; Valentine, J.; Zavadoski, W. Discovery of spirocyclic proline tryptophan hydroxylase-1 inhibitors. Bioorg. Med. Chem. Lett. 2016, 26, 1124–1129. [Google Scholar] [CrossRef] [PubMed]
- Lukin, A.; Komarova, K.; Vinogradova, L.; Dogonadze, M.; Vinogradova, T.; Yablonsky, P.; Kazantsev, A.; Krasavin, M. Periphery Exploration around 2,6-Diazaspiro[3.4]octane Core Identifies a Potent Nitrofuran Antitubercular Lead. Molecules 2023, 28, 2529. [Google Scholar] [CrossRef] [PubMed]
- Vinogradova, L.V.; Komarova, K.Y.; Chudinov, M.V.; Rogacheva, E.V.; Kraeva, L.A.; Lukin, A.Y. Scaffold hopping in the oxadiazole antibiotic structure leads to more active compounds. Mendeleev Commun. 2024, 34, 362–364. [Google Scholar] [CrossRef]
- Lukin, A.Y.; Vinogradova, T.I.; Dogonadze, M.Z.; Komarova, K.Y.; Vinogradova, L.V.; Dar’in, D.V.; Lavrova, A.I.; Postnikov, E.B.; Sychev, A.V.; Yablonskii, P.K. Compound of 8-(4-methyl-4h-1,2,4-triazol-3-yl)-6-(methylsulphonyl)-2-(5-nitro-2-furoyl)-2,6-diazaspiro[3.4]octane, having anti-tuberculosis activity against multidrug-resistant tuberculosis agent, and method for production thereof. RU2825646. 28 August 2024. Available online: https://patenton.ru/patent/RU2825646C1/en (accessed on 28 December 2024).
- Lukin, A.; Komarova, K.; Vinogradova, L.; Rogacheva, E.; Kraeva, L.; Krasavin, M. Synthesis and Antibacterial Evaluation of Ciprofloxacin Congeners with Spirocyclic Amine Periphery. Int. J. Mol. Sci. 2023, 24, 954. [Google Scholar] [CrossRef] [PubMed]
- Palomino, J.C.; Martin, A.; Camacho, M.; Guerra, H.; Swings, J.; Portaels, F. Resazurin microtiter assay plate: Simple and inexpensive method for detection of drug resistance in Mycobacterium tuberculosis. Antimicrob. Agents Chemother. 2002, 46, 2720–2722. [Google Scholar] [CrossRef] [PubMed]
- Krasavin, M.; Lukin, A.; Vedekhina, T.; Manicheva, O.; Dogonadze, M.; Vinogradova, T.; Zabolotnykh, N.; Rogacheva, E.; Kraeva, L.; Sharoyko, V.; et al. Attachment of a 5-nitrofuroyl moiety to spirocyclic piperidines produces non-toxic nitrofurans that are efficacious in vitro against multidrug-resistant Mycobacterium tuberculosis. Eur. J. Med. Chem. 2019, 166, 125–135. [Google Scholar] [CrossRef] [PubMed]
- Wiegand, I.; Hilpert, K.; Hancock, R.E. Agar and broth dilution methods to determine the minimal inhibitory concentration (MIC) of antimicrobial substances. Nat. Protoc. 2008, 3, 163–175. [Google Scholar] [CrossRef]
- Cellitti, S.E.; Shaffer, J.; Jones, D.H.; Mukherjee, T.; Gurumurthy, M.; Bursulaya, B.; Boshoff, H.I.; Choi, I.; Nayyar, A.; Lee, Y.S.; et al. Structure of Ddn, the deazaflavin-dependent nitroreductase from Mycobacterium tuberculosis involved in bioreductive activation of PA-824. Structure 2012, 20, 101–112. [Google Scholar] [CrossRef] [PubMed]
- Abuhammad, A.; Lowe, E.D.; McDonough, M.A.; Shaw Stewart, P.D.; Kolek, S.A.; Sim, E.; Garman, E.F. Structure of arylamine N-acetyltransferase from Mycobacterium tuberculosis determined by cross-seeding with the homologous protein from M. marinum: Triumph over adversity. Acta Crystallogr. D Biol. Crystallogr. 2013, 69, 1433–1446. [Google Scholar] [CrossRef] [PubMed]
- PDB Entry 5NZ0. Available online: https://www.wwpdb.org/pdb?id=pdb_00005nz0 (accessed on 21 November 2024).
- Jumper, J.; Evans, R.; Pritzel, A.; Green, T.; Figurnov, M.; Ronneberger, O.; Tunyasuvunakool, K.; Bates, R.; Zidek, A.; Potapenko, A.; et al. Highly accurate protein structure prediction with AlphaFold. Nature 2021, 596, 583–589. [Google Scholar] [CrossRef] [PubMed]
- Li, X.; Hilgers, M.; Cunningham, M.; Chen, Z.; Trzoss, M.; Zhang, J.; Kohnen, L.; Lam, T.; Creighton, C.; Kedar, G.C.; et al. Structure-based design of new DHFR-based antibacterial agents: 7-aryl-2,4-diaminoquinazolines. Bioorg. Med. Chem. Lett. 2011, 21, 5171–5176. [Google Scholar] [CrossRef] [PubMed]
- Available online: https://www.schrodinger.com/life-science/download/release-notes/release-2022-4/ (accessed on 28 December 2024).
- Sastry, G.M.; Adzhigirey, M.; Day, T.; Annabhimoju, R.; Sherman, W. Protein and ligand preparation: Parameters, protocols, and influence on virtual screening enrichments. J. Comput. Aided Mol. Des. 2013, 27, 221–234. [Google Scholar] [CrossRef] [PubMed]
- Lu, C.; Wu, C.; Ghoreishi, D.; Chen, W.; Wang, L.; Damm, W.; Ross, G.A.; Dahlgren, M.K.; Russell, E.; Von Bargen, C.D.; et al. OPLS4: Improving Force Field Accuracy on Challenging Regimes of Chemical Space. J. Chem. Theory Comput. 2021, 17, 4291–4300. [Google Scholar] [CrossRef]
- Suenaga, A.; Okimoto, N.; Hirano, Y.; Fukui, K. An efficient computational method for calculating ligand binding affinities. PLoS ONE 2012, 7, e42846. [Google Scholar] [CrossRef] [PubMed]








| Compd | 1 | 2b | 4a | 4c | 5a | 5b | 5c | Iz | Eth | Cip |
|---|---|---|---|---|---|---|---|---|---|---|
| MTb | 0.031 | >100 | 3.1 | 100 | 12.5 | 25 | 6.2 | 0.025–0.05 | 0.78–2.0 | nt |
| S. aureus | >100 | 0.171 | 2.95 | 2.3 | >100 | >100 | 0.19 | nt | nt | 1.25 |
| GlideScore (kcal/mol) and Binding Quality (Stars) | |||||||||
|---|---|---|---|---|---|---|---|---|---|
| Species | Mtb | S. aureus | |||||||
| Compd | Target | Ethr | TBNAT | Ddn | NfsA | NfsB | DHFR | AzoR | Pgk |
| 1 | −6.33 (*) | −5.14 (*) | −8.47 (***) | −4.73 (*) | −6.61 (**) | −7.21 (***) | −6.72 (*) | −6.79 (***) | |
| 2b | −4.49 (*) | −5.33 (*) | −5.63 (*) | −6.62 (***) | −7.93 (***) | −7.58 (***) | −8.03 (***) | −6.10 (***) | |
| 4a | n/a | −4.55 (*) | −5.55 (**) | −5.94 (**) | −7.31 (***) | −6.23 (*) | −6.77 (**) | −6.36 (***) | |
| 4c | n/a | −3.93 (*) | −5.37 (*) | −6.44 (***) | −6.25 (***) | −7.15 (***) | −6.79 (***) | −6.73 (***) | |
| 5a | −8.92 (*) | −4.41 (*) | −5.51 (**) | −5.44 (***) | −6.30 (*) | −6.55 (***) | −6.65 (**) | −5.54 (***) | |
| 5b | −9.12 (*) | −5.12 (*) | −5.42 (**) | −5.70 (***) | −5.62 (*) | −5.78 (*) | −6.60 (*) | −6.15 (***) | |
| 5c | −9.36 (*) | −5.79 (*) | −5.43 (**) | −6.54 (***) | −7.81 (***) | −6.71 (***) | −7.72 (***) | −5.08 (*) | |
Disclaimer/Publisher’s Note: The statements, opinions and data contained in all publications are solely those of the individual author(s) and contributor(s) and not of MDPI and/or the editor(s). MDPI and/or the editor(s) disclaim responsibility for any injury to people or property resulting from any ideas, methods, instructions or products referred to in the content. |
© 2024 by the authors. Licensee MDPI, Basel, Switzerland. This article is an open access article distributed under the terms and conditions of the Creative Commons Attribution (CC BY) license (https://creativecommons.org/licenses/by/4.0/).
Share and Cite
Vinogradova, L.; Komarova, K.; Lukin, A.; Zhuravlev, M.; Deniskin, D.; Poliakova, A.; Chudinov, M.; Gureev, M.; Dogonadze, M.; Vinogradova, T.; et al. You Win Some, You Lose Some: Modifying the Molecular Periphery of Nitrofuran-Tagged Diazaspirooctane Reshapes Its Antibacterial Activity Profile. Int. J. Mol. Sci. 2025, 26, 207. https://doi.org/10.3390/ijms26010207
Vinogradova L, Komarova K, Lukin A, Zhuravlev M, Deniskin D, Poliakova A, Chudinov M, Gureev M, Dogonadze M, Vinogradova T, et al. You Win Some, You Lose Some: Modifying the Molecular Periphery of Nitrofuran-Tagged Diazaspirooctane Reshapes Its Antibacterial Activity Profile. International Journal of Molecular Sciences. 2025; 26(1):207. https://doi.org/10.3390/ijms26010207
Chicago/Turabian StyleVinogradova, Lyubov, Kristina Komarova, Alexey Lukin, Maxim Zhuravlev, Dmitry Deniskin, Anastasia Poliakova, Mikhail Chudinov, Maxim Gureev, Marine Dogonadze, Tatiana Vinogradova, and et al. 2025. "You Win Some, You Lose Some: Modifying the Molecular Periphery of Nitrofuran-Tagged Diazaspirooctane Reshapes Its Antibacterial Activity Profile" International Journal of Molecular Sciences 26, no. 1: 207. https://doi.org/10.3390/ijms26010207
APA StyleVinogradova, L., Komarova, K., Lukin, A., Zhuravlev, M., Deniskin, D., Poliakova, A., Chudinov, M., Gureev, M., Dogonadze, M., Vinogradova, T., Rogacheva, E., Kraeva, L., Porozov, Y., & Korzhikov-Vlakh, V. (2025). You Win Some, You Lose Some: Modifying the Molecular Periphery of Nitrofuran-Tagged Diazaspirooctane Reshapes Its Antibacterial Activity Profile. International Journal of Molecular Sciences, 26(1), 207. https://doi.org/10.3390/ijms26010207

