Metabolic Comparison and Molecular Networking of Antimicrobials in Streptomyces Species
Abstract
1. Introduction
2. Results
2.1. Isolation of Streptomyces Species
2.2. PCR of 16S rRNA and Molecular Sequencing
2.3. Antimicrobial Assays
2.4. Metabolic Comparision in Streptomyces Species
Identification of Metabolites New to Streptomyces Species
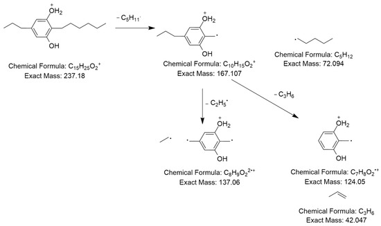
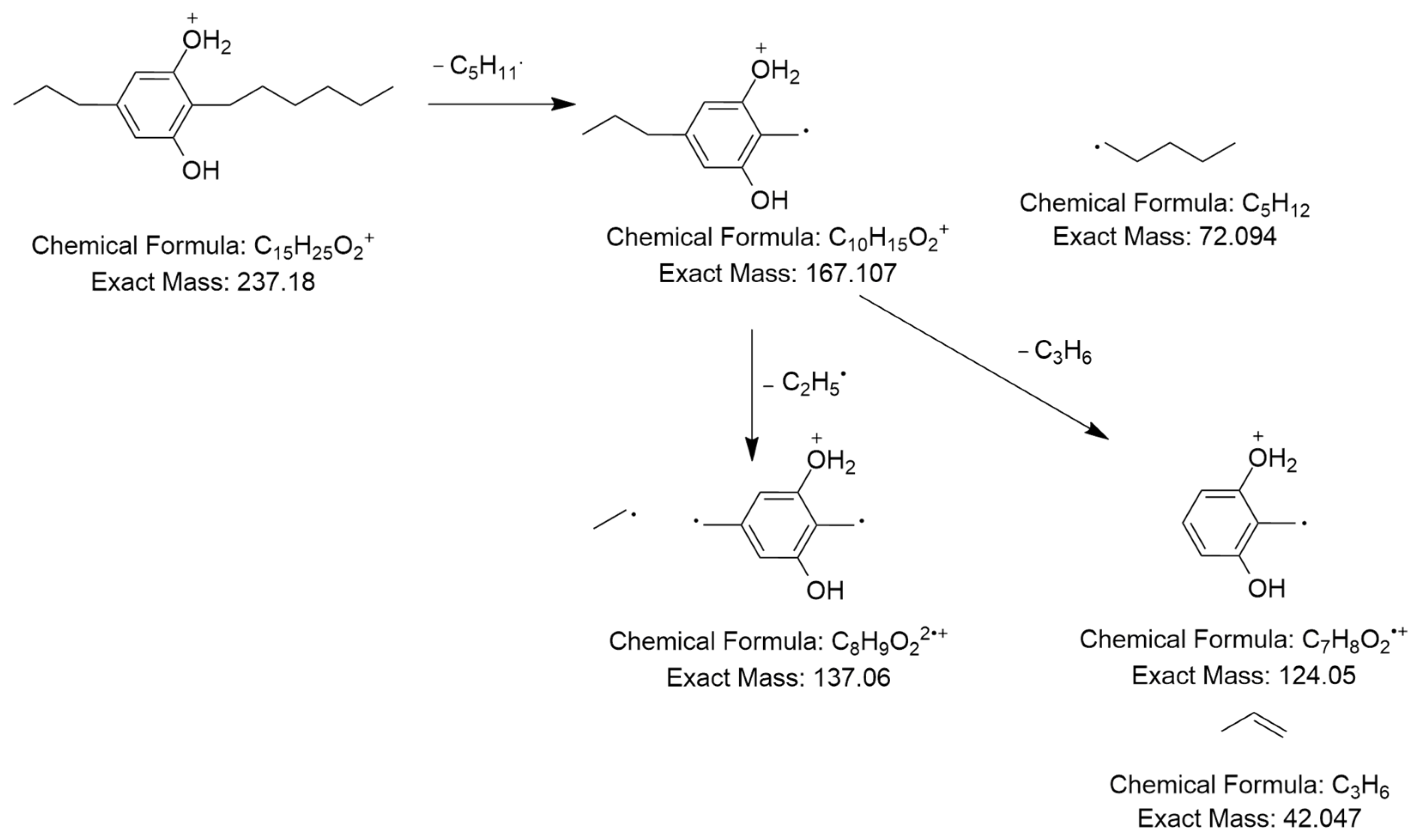
2.5. GNPS-Based Molecular Networking
3. Discussion
4. Materials and Methods
4.1. Isolation and Characterization of Streptomyces Species
4.2. Genomic DNA Extraction and 16S rRNA Gene Sequencing
4.3. Fermentation and Extraction of Metabolites
4.4. Antimicrobial Assays
4.5. Metabolic Comparison
4.6. GNPS-Based Molecular Networking Analysis
5. Conclusions
Supplementary Materials
Author Contributions
Funding
Institutional Review Board Statement
Informed Consent Statement
Data Availability Statement
Acknowledgments
Conflicts of Interest
References
- Toner, E.; Adalja, A.; Gronvall, G.K.; Cicero, A.; Inglesby, T.V. Antimicrobial Resistance Is a Global Health Emergency. Health Secur. 2015, 13, 153–155. [Google Scholar] [CrossRef] [PubMed]
- Clish, C.B. Metabolomics: An Emerging but Powerful Tool for Precision Medicine. Cold Spring Harb. Mol. Case Stud. 2015, 1, a000588. [Google Scholar] [CrossRef] [PubMed]
- Zhou, B.; Xiao, J.F.; Tuli, L.; Ressom, H.W. LC-MS-Based Metabolomics. Mol. Biosyst. 2012, 8, 470. [Google Scholar] [CrossRef] [PubMed]
- Quinn, R.A.; Nothias, L.-F.; Vining, O.; Meehan, M.; Esquenazi, E.; Dorrestein, P.C. Molecular Networking as a Drug Discovery, Drug Metabolism, and Precision Medicine Strategy. Trends Pharmacol. Sci. 2017, 38, 143–154. [Google Scholar] [CrossRef] [PubMed]
- Sanglier, J.J.; Haag, H.; Huck, T.A.; Fehr, T. Novel Bioactive Compounds from Actinomycetes: A Short Review (1988–1992). Res. Microbiol. 1993, 144, 633–642. [Google Scholar] [CrossRef] [PubMed]
- Pacios-Michelena, S.; Aguilar González, C.N.; Alvarez-Perez, O.B.; Rodriguez-Herrera, R.; Chávez-González, M.; Arredondo Valdés, R.; Ascacio Valdés, J.A.; Govea Salas, M.; Ilyina, A. Application of Streptomyces Antimicrobial Compounds for the Control of Phytopathogens. Front. Sustain. Food Syst. 2021, 5, 696518. [Google Scholar] [CrossRef]
- Gopalakrishnan, S.; Srinivas, V.; Prasanna, S.L. Chapter 5—Streptomyces. In Beneficial Microbes in Agro-Ecology; Amaresan, N., Senthil Kumar, M., Annapurna, K., Kumar, K., Sankaranarayanan, A., Eds.; Academic Press: Cambridge, MA, USA, 2020; pp. 55–71. ISBN 978-0-12-823414-3. [Google Scholar]
- Arasu, M.V.; Duraipandiyan, V.; Agastian, P.; Ignacimuthu, S. Antimicrobial Activity of Streptomyces Spp. ERI-26 Recovered from Western Ghats of Tamil Nadu. J. Mycol. Méd. 2008, 18, 147–153. [Google Scholar] [CrossRef]
- Yang, L.; Li, X.; Wu, P.; Xue, J.; Xu, L.; Li, H.; Wei, X. Streptovertimycins A–H, New Fasamycin-Type Antibiotics Produced by a Soil-Derived Streptomyces morookaense Strain. J. Antibiot. 2020, 73, 283–289. [Google Scholar] [CrossRef]
- Fang, Y.; Wang, J.; Tang, Y.; Guo, Z.; Bai, J.; Wu, L.; Su, J.; Cen, S.; Yu, L.; Zhang, D. Geninthiocins E and F, Two New Cyclic Thiopeptides with Antiviral Activities from Soil-Derived Streptomyces Sp. CPCC 200267 Using OSMAC Strategy. J. Antibiot. 2023, 76, 101–104. [Google Scholar] [CrossRef]
- Liu, M.; Wan, Z.; Yang, S.; Liu, F.; Yang, X.; Wu, Z.; Zhang, Y.; Wang, K.; Fang, W. Two New Dipimprinine Alkaloids from Soil-Derived Streptomyces Sp. 44414B. J. Antibiot. 2021, 74, 474–476. [Google Scholar] [CrossRef]
- Maiti, P.K.; Das, S.; Sahoo, P.; Mandal, S. Streptomyces Sp SM01 Isolated from Indian Soil Produces a Novel Antibiotic Picolinamycin Effective against Multi Drug Resistant Bacterial Strains. Sci. Rep. 2020, 10, 10092. [Google Scholar] [CrossRef] [PubMed]
- Hu, L.; Chen, X.; Han, L.; Zhao, L.; Miao, C.; Huang, X.; Chen, Y.; Li, P.; Li, Y. Two New Phenazine Metabolites with Antimicrobial Activities from Soil-Derived Streptomyces Species. J. Antibiot. 2019, 72, 574–577. [Google Scholar] [CrossRef] [PubMed]
- Jiang, Z.; Guo, L.; Chen, C.; Liu, S.; Zhang, L.; Dai, S.; He, Q.; You, X.; Hu, X.; Tuo, L.; et al. Xiakemycin A, a Novel Pyranonaphthoquinone Antibiotic, Produced by the Streptomyces Sp. CC8-201 from the Soil of a Karst Cave. J. Antibiot. 2015, 68, 771–774. [Google Scholar] [CrossRef] [PubMed]
- Ganesan, P.; Reegan, A.D.; David, R.H.A.; Gandhi, M.R.; Paulraj, M.G.; Al-Dhabi, N.A.; Ignacimuthu, S. Antimicrobial Activity of Some Actinomycetes from Western Ghats of Tamil Nadu, India. Alex. J. Med. 2017, 53, 101–110. [Google Scholar] [CrossRef]
- Goodfellow, M.; Kämpfer, P.; Busse, H.-J.; Trujillo, M.E.; Suzuki, K.; Ludwig, W.; Whitman, W.B. (Eds.) Bergey’s Manual® of Systematic Bacteriology; Springer: New York, NY, USA, 2012; ISBN 978-0-387-95043-3. [Google Scholar]
- Tamura, K.; Stecher, G.; Kumar, S. MEGA11: Molecular Evolutionary Genetics Analysis Version 11. Mol. Biol. Evol. 2021, 38, 3022–3027. [Google Scholar] [CrossRef]
- Singh, V.K.; Mishra, A.; Jha, B. 3-Benzyl-Hexahydro-Pyrrolo[1,2-a]Pyrazine-1,4-Dione Extracted from Exiguobacterium Indicum Showed Anti-Biofilm Activity against Pseudomonas Aeruginosa by Attenuating Quorum Sensing. Front. Microbiol. 2019, 10, 1269. [Google Scholar] [CrossRef] [PubMed]
- Li, X.; Dobretsov, S.; Xu, Y.; Xiao, X.; Hung, O.S.; Qian, P. Antifouling Diketopiperazines Produced by a Deep-Sea Bacterium, Streptomyces fungicidicus. Biofouling 2006, 22, 187–194. [Google Scholar] [CrossRef]
- Paudel, B.; Maharjan, R.; Rajbhandari, P.; Aryal, N.; Aziz, S.; Bhattarai, K.; Baral, B.; Malla, R.; Bhattarai, H.D. Maculosin, a Non-Toxic Antioxidant Compound Isolated from Streptomyces Sp. KTM18. Pharm. Biol. 2021, 59, 931–934. [Google Scholar] [CrossRef]
- Hardt, I.H.; Jensen, P.R.; Fenical, W. Neomarinone, and New Cytotoxic Marinone Derivatives, Produced by a Marine Filamentous Bacterium (Actinomycetales). Tetrahedron Lett. 2000, 41, 2073–2076. [Google Scholar] [CrossRef]
- Roy, R.N.; Laskar, S.; Sen, S.K. Dibutyl Phthalate, the Bioactive Compound Produced by Streptomyces Albidoflavus 321.2. Microbiol. Res. 2006, 161, 121–126. [Google Scholar] [CrossRef]
- Dempsey, W.B. Synthesis of Pyridoxine by a Pyridoxal Auxotroph of Escherichia coli. J. Bacteriol. 1966, 92, 333–337. [Google Scholar] [CrossRef] [PubMed]
- Yang, X.-Q.; Yang, Y.-B.; Zhou, H.; He, G.-W.; Zhao, L.-X.; Xu, L.-H.; Ding, Z.-T. New Megastigmane Glycoside and Alkaloids from Streptomyces Sp. YIM 63342. Nat. Prod. Res. 2013, 27, 1191–1196. [Google Scholar] [CrossRef] [PubMed]
- Hoefler, B.C.; Gorzelnik, K.V.; Yang, J.Y.; Hendricks, N.; Dorrestein, P.C.; Straight, P.D. Enzymatic Resistance to the Lipopeptide Surfactin as Identified through Imaging Mass Spectrometry of Bacterial Competition. Proc. Natl. Acad. Sci. USA 2012, 109, 13082–13087. [Google Scholar] [CrossRef] [PubMed]
- Dashti, Y.; Grkovic, T.; Abdelmohsen, U.; Hentschel, U.; Quinn, R. Production of Induced Secondary Metabolites by a Co-Culture of Sponge-Associated Actinomycetes, Actinokineospora Sp. EG49 and Nocardiopsis Sp. RV163. Mar. Drugs 2014, 12, 3046–3059. [Google Scholar] [CrossRef] [PubMed]
- Zhou, H.; Yang, Y.; Peng, T.; Li, W.; Zhao, L.; Xu, L.; Ding, Z. Metabolites of Streptomyces Sp., an Endophytic Actinomycete from Alpinia oxyphylla. Nat. Prod. Res. 2014, 28, 265–267. [Google Scholar] [CrossRef] [PubMed]
- Sriragavi, G.; Sangeetha, M.; Santhakumar, M.; Lokesh, E.; Nithyalakshmi, M.; Saleel, C.A.; Balagurunathan, R. Exploring Antibacterial Properties of Bioactive Compounds Isolated from Streptomyces Sp. in Bamboo Rhizosphere Soil. ACS Omega 2023, 8, 36333–36343. [Google Scholar] [CrossRef] [PubMed]
- Stankeviciute, G.; Tang, P.; Ashley, B.; Chamberlain, J.D.; Hansen, M.E.B.; Coleman, A.; D’Emilia, R.; Fu, L.; Mohan, E.C.; Nguyen, H.; et al. Convergent Evolution of Bacterial Ceramide Synthesis. Nat. Chem. Biol. 2022, 18, 305–312. [Google Scholar] [CrossRef] [PubMed]
- Ser, H.-L.; Palanisamy, U.D.; Yin, W.-F.; Abd Malek, S.N.; Chan, K.-G.; Goh, B.-H.; Lee, L.-H. Presence of Antioxidative Agent, Pyrrolo[1,2-a]Pyrazine-1,4-Dione, Hexahydro- in Newly Isolated Streptomyces mangrovisoli Sp. Nov. Front. Microbiol. 2015, 6. [Google Scholar] [CrossRef] [PubMed]
- Zin, N.M.; Baba, M.S.; Zainal-Abidin, A.H.; Latip, J.; Mazlan, N.W.; Edrada-Ebel, R. Gancidin W, a Potential Low-Toxicity Antimalarial Agent Isolated from an Endophytic Streptomyces SUK10. Drug Des. Dev. Ther. 2017, 11, 351–363. [Google Scholar] [CrossRef]
- Wattana-Amorn, P.; Charoenwongsa, W.; Williams, C.; Crump, M.P.; Apichaisataienchote, B. Antibacterial Activity of Cyclo (L-Pro-L-Tyr) and Cyclo (D-Pro-L-Tyr) from Streptomyces Sp. Strain 22-4 against Phytopathogenic Bacteria. Nat. Prod. Res. 2016, 30, 1980–1983. [Google Scholar] [CrossRef]
- Fyans, J.K.; Altowairish, M.S.; Li, Y.; Bignell, D.R.D. Characterization of the Coronatine-Like Phytotoxins Produced by the Common Scab Pathogen Streptomyces Scabies. Mol. Plant-Microbe Interactions 2015, 28, 443–454. [Google Scholar] [CrossRef] [PubMed]
- Pettit, G.R.; Du, J.; Pettit, R.K.; Richert, L.A.; Hogan, F.; Mukku, V.J.R.V.; Hoard, M.S. Antineoplastic Agents. 554. The Manitoba Bacterium Streptomyces Sp. J. Nat. Prod. 2006, 69, 804–806. [Google Scholar] [CrossRef] [PubMed]
- Driche, E.H.; Badji, B.; Bijani, C.; Belghit, S.; Pont, F.; Mathieu, F.; Zitouni, A. A New Saharan Strain of Streptomyces Sp. GSB-11 Produces Maculosin and N-Acetyltyramine Active against Multidrug-Resistant Pathogenic Bacteria. Curr. Microbiol. 2022, 79, 298. [Google Scholar] [CrossRef] [PubMed]
- Cho, J.Y.; Kang, J.Y.; Hong, Y.K.; Baek, H.H.; Shin, H.W.; Kim, M.S. Isolation and Structural Determination of the Antifouling Diketopiperazines from Marine-Derived Streptomyces Praecox 291-11. Biosci. Biotechnol. Biochem. 2012, 76, 1116–1121. [Google Scholar] [CrossRef] [PubMed]
- Wei, H.-X.; Fang, X.-W.; Xie, X.-S.; Zhang, S.-P.; Jiang, Y.; Wu, S.-H. Secondary Metabolites of a Soil-Derived Streptomyces Kunmingensis. Chem. Nat. Compd. 2017, 53, 794–796. [Google Scholar] [CrossRef]
- Bhandari, S.; Bhattarai, B.R.; Adhikari, A.; Aryal, B.; Shrestha, A.; Aryal, N.; Lamichhane, U.; Thapa, R.; Thapa, B.B.; Yadav, R.P.; et al. Characterization of Streptomyces Species and Validation of Antimicrobial Activity of Their Metabolites through Molecular Docking. Processes 2022, 10, 2149. [Google Scholar] [CrossRef]
- Macherla, V.R.; Liu, J.; Bellows, C.; Teisan, S.; Nicholson, B.; Lam, K.S.; Potts, B.C.M. Glaciapyrroles A, B, and C, Pyrrolosesquiterpenes from a Streptomyces Sp. Isolated from an Alaskan Marine Sediment. J. Nat. Prod. 2005, 68, 780–783. [Google Scholar] [CrossRef]
- Elleuch, L.; Shaaban, M.; Smaoui, S.; Mellouli, L.; Karray-Rebai, I.; Fourati-Ben Fguira, L.; Shaaban, K.A.; Laatsch, H. Bioactive Secondary Metabolites from a New Terrestrial Streptomyces Sp. TN262. Appl. Biochem. Biotechnol. 2010, 162, 579–593. [Google Scholar] [CrossRef] [PubMed]
- Ding, W.-J.; Zhang, S.-Q.; Wang, J.-H.; Lin, Y.-X.; Liang, Q.-X.; Zhao, W.-J.; Li, C.-Y. A New Di-O-Prenylated Flavone from an Actinomycete Streptomyces Sp. MA-12. J. Asian Nat. Prod. Res. 2013, 15, 209–214. [Google Scholar] [CrossRef]
- Al-Dhabi, N.A.; Esmail, G.A.; Duraipandiyan, V.; Arasu, M.V. Chemical Profiling of Streptomyces Sp. Al-Dhabi-2 Recovered from an Extreme Environment in Saudi Arabia as a Novel Drug Source for Medical and Industrial Applications. Saudi J. Biol. Sci. 2019, 26, 758–766. [Google Scholar] [CrossRef]
- Kimura, Y.; Sawada, A.; Kuramata, M.; Kusano, M.; Fujioka, S.; Kawano, T.; Shimada, A. Brevicompanine C, Cyclo-(d-Ile-l-Trp), and Cyclo-(d-Leu-l-Trp), Plant Growth Regulators from Penicillium Brevi-Compactum. J. Nat. Prod. 2005, 68, 237–239. [Google Scholar] [CrossRef]
- Srivastava, V.; Singla, R.K.; Dubey, A.K. Inhibition of Biofilm and Virulence Factors of Candida albicans by Partially Purified Secondary Metabolites of Streptomyces chrestomyceticus Strain ADP4. Curr. Top. Med. Chem. 2018, 18, 925–945. [Google Scholar] [CrossRef] [PubMed]
- Zhou, H.; Yang, Y.; Yang, X.; Li, W.; Xiong, Z.; Zhao, L.; Xu, L.; Ding, Z. A New Cyclic Tetrapeptide from an Endophytic Streptomyces Sp. YIM67005. Nat. Prod. Res. 2014, 28, 318–323. [Google Scholar] [CrossRef] [PubMed]
- Kornsakulkarn, J.; Saepua, S.; Veeranondha, S.; Rachtawee, P.; Isaka, M.; Thongpanchang, C. Carboline Alkaloids and Isocoumarins from the Wasp Pathogenic Fungus Ophiocordyceps sphecocephala BCC 2661. Phytochem. Lett. 2018, 27, 134–138. [Google Scholar] [CrossRef]
- Tan, L.T.-H.; Chan, K.-G.; Pusparajah, P.; Yin, W.-F.; Khan, T.M.; Lee, L.-H.; Goh, B.-H. Mangrove Derived Streptomyces Sp. MUM265 as a Potential Source of Antioxidant and Anticolon-Cancer Agents. BMC Microbiol. 2019, 19, 38. [Google Scholar] [CrossRef] [PubMed]
- Feng, K.-J.; Cheng, M.-J.; Yang, S.-S.; Wu, M.-D.; Hsieh, S.-Y.; Chan, H.-Y.; Su, Y.-S.; Chou, Y.-T.; Chang, H.-S. Chemical Constituents of the Endophytic Fungus Ophiocordyceps sobolifera. Chem. Nat. Compd. 2019, 55, 309–312. [Google Scholar] [CrossRef]
- Wei, J.; Zhang, X.-Y.; Deng, S.; Cao, L.; Xue, Q.-H.; Gao, J.-M. α-Glucosidase Inhibitors and Phytotoxins from Streptomyces xanthophaeus. Nat. Prod. Res. 2017, 31, 2062–2066. [Google Scholar] [CrossRef] [PubMed]
- Yang, X.-W.; Zhang, G.-Y.; Ying, J.-X.; Yang, B.; Zhou, X.-F.; Steinmetz, A.; Liu, Y.-H.; Wang, N. Isolation, Characterization, and Bioactivity Evaluation of 3-((6-Methylpyrazin-2-Yl)Methyl)-1H-Indole, a New Alkaloid from a Deep-Sea-Derived Actinomycete Serinicoccus Profundi Sp. Nov. Mar. Drugs 2013, 11, 33–39. [Google Scholar] [CrossRef] [PubMed]
- Chai, Y.; Chen, H.; Gao, G.; Liu, X.; Lu, C. Identification of New Interferences Leached from Plastic Microcentrifuge Tubes in Electrospray Ionization Mass Spectrometry. Rapid Commun. Mass. Spectrom. 2019, 33, 969–977. [Google Scholar] [CrossRef]
- Calderón, C.E.; Tienda, S.; Heredia-Ponce, Z.; Arrebola, E.; Cárcamo-Oyarce, G.; Eberl, L.; Cazorla, F.M. The Compound 2-Hexyl, 5-Propyl Resorcinol Has a Key Role in Biofilm Formation by the Biocontrol Rhizobacterium Pseudomonas chlororaphis PCL1606. Front. Microbiol. 2019, 10, 396. [Google Scholar] [CrossRef]
- Álvarez-Álvarez, R.; Martínez-Burgo, Y.; Rodríguez-García, A.; Liras, P. Discovering the Potential of S. Clavuligerus for Bioactive Compound Production: Cross-Talk between the Chromosome and the pSCL4 Megaplasmid. BMC Genom. 2017, 18, 907. [Google Scholar] [CrossRef] [PubMed]
- Alshaibani, M.M.; Zin, N.M.; Jalil, J.; Sidik, N.M.; Ahmad, S.J.; Kamal, N.; Edrada-Ebel, R. Isolation, Purification, and Characterization of Five Active Diketopiperazine Derivatives from Endophytic Streptomyces SUK 25 with Antimicrobial and Cytotoxic Activities. J. Microbiol. Biotechnol. 2017, 27, 1249–1256. [Google Scholar] [CrossRef] [PubMed]
- Abdelkader, M.S.A.; Philippon, T.; Asenjo, J.A.; Bull, A.T.; Goodfellow, M.; Ebel, R.; Jaspars, M.; Rateb, M.E. Asenjonamides A–C, Antibacterial Metabolites Isolated from Streptomyces asenjonii Strain KNN 42.f from an Extreme-Hyper Arid Atacama Desert Soil. J. Antibiot. 2018, 71, 425–431. [Google Scholar] [CrossRef] [PubMed]
- Bown, L.; Li, Y.; Berrué, F.; Verhoeven, J.T.P.; Dufour, S.C.; Bignell, D.R.D. Coronafacoyl Phytotoxin Biosynthesis and Evolution in the Common Scab Pathogen Streptomyces scabiei. Appl. Env. Microbiol. 2017, 83, e01169-e17. [Google Scholar] [CrossRef] [PubMed]
- Wang, T.; Jiang, Y.; Ma, K.; Li, Y.; Huang, R.; Xie, X.; Wu, S. Two New Butenolides Produced by an Actinomycete Streptomyces Sp. Chem. Biodivers. 2014, 11, 929–933. [Google Scholar] [CrossRef] [PubMed]
- GNPS—Analyze, Connect, and Network with Your Mass Spectrometry Data. Available online: https://gnps.ucsd.edu/ProteoSAFe/static/gnps-splash.jsp (accessed on 3 December 2023).
- Dasyam, N.; Munkacsi, A.B.; Fadzilah, N.H.; Senanayake, D.S.; O’Toole, R.F.; Keyzers, R.A. Identification and Bioactivity of 3-Epi-Xestoaminol C Isolated from the New Zealand Brown Alga Xiphophora chondrophylla. J. Nat. Prod. 2014, 77, 1519–1523. [Google Scholar] [CrossRef] [PubMed]
- Induja, D.K.; Jesmina, A.R.S.; Joseph, M.M.; Shamjith, S.; Ingaladal, N.; Maiti, K.K.; Kumar, B.S.D.; Lankalapalli, R.S. Isolation of Two New Stereochemical Variants of Streptophenazine by Cocultivation of Streptomyces NIIST-D31, Streptomyces NIIST-D47, and Streptomyces NIIST-D63 Strains in 3C2 Combinations. J. Antibiot. 2023, 76, 567–578. [Google Scholar] [CrossRef]
- Mondal, H.; Thomas, J. Isolation and Characterization of a Novel Actinomycete Isolated from Marine Sediments and Its Antibacterial Activity against Fish Pathogens. Antibiotics 2022, 11, 1546. [Google Scholar] [CrossRef] [PubMed]
- Nakano, C.; Kudo, F.; Eguchi, T.; Ohnishi, Y. Genome Mining Reveals Two Novel Bacterial Sesquiterpene Cyclases: (−)-Germacradien-4-ol and (−)-Epi-α-Bisabolol Synthases from Streptomyces citricolor. ChemBioChem 2011, 12, 2271–2275. [Google Scholar] [CrossRef]
- Murao, S.; Hayashi, H.; Tarui, N. Anthranilic Acid, as a Fruiting Body Inducing Substance in Favolus arcularius, from a Strain TA 7 of Actinomycetes. Agric. Biol. Chem. 1984, 48, 1669–1671. [Google Scholar] [CrossRef]
- Xie, C.-L.; Niu, S.; Xia, J.-M.; Peng, K.; Zhang, G.-Y.; Yang, X.-W. Saccharopolytide A, a New Cyclic Tetrapeptide with Rare 4-Hydroxy-Proline Moieties from the Deep-Sea Derived Actinomycete Saccharopolyspora cebuensis MCCC 1A09850. Nat. Prod. Res. 2018, 32, 1627–1631. [Google Scholar] [CrossRef] [PubMed]
- Chen, C.; Ye, Y.; Wang, R.; Zhang, Y.; Wu, C.; Debnath, S.C.; Ma, Z.; Wang, J.; Wu, M. Streptomyces nigra Sp. Nov. Is a Novel Actinobacterium Isolated from Mangrove Soil and Exerts a Potent Antitumor Activity in Vitro. Front. Microbiol. 2018, 9, 1587. [Google Scholar] [CrossRef] [PubMed]
- Gao, Y.; Yu, L.; Peng, C.; Li, Z.; Guo, Y. Diketopiperazines from Two Strains of South China Sea Sponge-Associated Microorganisms. Biochem. Syst. Ecol. 2010, 38, 931–934. [Google Scholar] [CrossRef]
- Bhattarai, B.R.; Khadayat, K.; Aryal, N.; Aryal, B.; Lamichhane, U.; Bhattarai, K.; Rana, N.; Regmi, B.P.; Adhikari, A.; Thapa, S.; et al. Untargeted Metabolomics of Streptomyces Species Isolated from Soils of Nepal. Processes 2022, 10, 1173. [Google Scholar] [CrossRef]
- Guo, Z.K.; Wang, R.; Chen, F.X.; Liu, T.M.; Yang, M.Q. Bioactive Aromatic Metabolites from the Sea Urchin-Derived Actinomycete Streptomyces spectabilis Strain HDa1. Phytochem. Lett. 2018, 25, 132–135. [Google Scholar] [CrossRef]
- Liu, X.-Y.; Yang, S.-Z.; Mu, B.-Z. Isolation and Characterization of a C12-Lipopeptide Produced by Bacillus subtilis HSO 121. J. Pept. Sci. 2008, 14, 864–875. [Google Scholar] [CrossRef]
- Barale, S.S.; Ghane, S.G.; Sonawane, K.D. Purification and Characterization of Antibacterial Surfactin Isoforms Produced by Bacillus velezensis SK. AMB Expr. 2022, 12, 7. [Google Scholar] [CrossRef]
- Atikana, A.; Sukmarini, L.; Warsito, M.F.; Untari, F.; Murniasih, T.; Rahmawati, S.I.; Qodria, L.; Siwi, O.R.; Ratnakomala, S.; Prasetyoputri, A.; et al. Bioactivity Profiles of Actinobacterium Strain BTA 1-131 (InaCC A1205) Isolated from Indonesian Sponge Melophlus sarassinorum. Indones. J. Pharm. 2023, 34, 280–290. [Google Scholar] [CrossRef]
- Zhang, F.; Li, B.; Wen, Y.; Liu, Y.; Liu, R.; Liu, J.; Liu, S.; Jiang, Y. An Integrated Strategy for the Comprehensive Profiling of the Chemical Constituents of Aspongopus chinensis Using UPLC-QTOF-MS Combined with Molecular Networking. Pharm. Biol. 2022, 60, 1349–1364. [Google Scholar] [CrossRef]
- Gos, F.M.W.R.; Savi, D.C.; Shaaban, K.A.; Thorson, J.S.; Aluizio, R.; Possiede, Y.M.; Rohr, J.; Glienke, C. Antibacterial Activity of Endophytic Actinomycetes Isolated from the Medicinal Plant Vochysia Divergens (Pantanal, Brazil). Front. Microbiol. 2017, 8, 1642. [Google Scholar] [CrossRef]
- Clark, A.M.; Hufford, C.D. Use of Microorganisms for the Study of Drug Metabolism: An Update. Med. Res. Rev. 1991, 11, 473–501. [Google Scholar] [CrossRef]
- Hordern, J.; Johnson, R.H.; McLennan, B.D. N6-(Δ2-isopentenyl)Adenosine: Hydrolysis by a Nucleosidase Isolated from Lactobacillus acidophilus Cells. Can. J. Microbiol. 1975, 21, 633–638. [Google Scholar] [CrossRef]
- Korkmaz, Ç.A.; Hameş-Kocabaş, E.E.; Uzel, A.; Bedir, E. Tryptamine Derived Amides with Thiazole Ring System from Thermoactinomyces Strain TA66-2. Magn. Reson. Chem. 2008, 46, 80–83. [Google Scholar] [CrossRef] [PubMed]
- Roshchina, V.V. New Trends and Perspectives in the Evolution of Neurotransmitters in Microbial, Plant, and Animal Cells. In Microbial Endocrinology: Interkingdom Signaling in Infectious Disease and Health; Lyte, M., Ed.; Advances in Experimental Medicine and Biology Series; Springer International Publishing: Cham, Switzerland, 2016; Volume 874, pp. 25–77. ISBN 978-3-319-20214-3. [Google Scholar]
- Chen, Y.; Zhou, D.; Qi, D.; Gao, Z.; Xie, J.; Luo, Y. Growth Promotion and Disease Suppression Ability of a Streptomyces Sp. CB-75 from Banana Rhizosphere Soil. Front. Microbiol. 2018, 8, 2704. [Google Scholar] [CrossRef]
- Zhai, X.; Wu, G.; Tao, X.; Yang, S.; Lv, L.; Zhu, Y.; Dong, D.; Xiang, H. Success Stories of Natural Product-Derived Compounds from Plants as Multidrug Resistance Modulators in Microorganisms. RSC Adv. 2023, 13, 7798–7817. [Google Scholar] [CrossRef] [PubMed]
- Abdella, B.; Abdella, M.; ElSharif, H.A.; ElAhwany, A.M.D.; El-Sersy, N.A.; Ghozlan, H.A.; Sabry, S.A. Identification of Potent Anti-Candida Metabolites Produced by the Soft Coral Associated Streptomyces Sp. HC14 Using Chemoinformatics. Sci. Rep. 2023, 13, 12564. [Google Scholar] [CrossRef] [PubMed]
- Adegboye, M.F.; Babalola, O.O. Phylogenetic Characterization of Culturable Antibiotic Producing Streptomyces from Rhizospheric Soils. Mol. Biol. 2013, S1, 001. [Google Scholar] [CrossRef]
- Yang, Y.-H.; Fu, X.-L.; Li, L.-Q.; Zeng, Y.; Li, C.-Y.; He, Y.-N.; Zhao, P.-J. Naphthomycins L–N, Ansamycin Antibiotics from Streptomyces Sp. CS. J. Nat. Prod. 2012, 75, 1409–1413. [Google Scholar] [CrossRef]
- Li, J.; Lu, C.; Shen, Y. Novel Polyketides Isolated from Streptomyces Sp. Helv. Chim. Acta 2008, 91, 741–745. [Google Scholar] [CrossRef]
- Lu, C.; Shen, Y. A New Macrolide Antibiotic with Antitumor Activity Produced by Streptomyces Sp. CS, a Commensal Microbe of Maytenus hookeri. J. Antibiot. 2003, 56, 415–418. [Google Scholar] [CrossRef][Green Version]
- Kingston, D.G.I. Comprehensive Natural Products Chemistry, Volumes 1−9 Edited by Sir Derek Barton (Texas A&M University) and Koji Nakanishi (Columbia University); Executive Editor Otto Meth-Cohn. Elsevier Science, Inc., New York, NY. 1999. 19.5 × 28 Cm. $3744.00. ISBN 0-08-042709-X. J. Nat. Prod. 2000, 63, 286–287. [Google Scholar] [CrossRef]
- Cimmino, A.; Bejarano, A.; Masi, M.; Puopolo, G.; Evidente, A. Isolation of 2,5-Diketopiperazines from Lysobacter capsici AZ78 with Activity against Rhodococcus fascians. Nat. Prod. Res. 2021, 35, 4969–4977. [Google Scholar] [CrossRef] [PubMed]
- Abdelhameed, R.F.A.; Elhady, S.S.; Noor, A.O.; Almasri, D.M.; Bagalagel, A.A.; Maatooq, G.T.; Khedr, A.I.M.; Yamada, K. Production of a New Cyclic Depsipeptide by the Culture Broth of Staphylococcus Sp. Isolated from Corallina officinalis L. Metabolites 2019, 9, 273. [Google Scholar] [CrossRef] [PubMed]
- Rhee, K.-H. Cyclic Dipeptides Exhibit Synergistic, Broad Spectrum Antimicrobial Effects and Have Anti-Mutagenic Properties. Int. J. Antimicrob. Agents 2004, 24, 423–427. [Google Scholar] [CrossRef] [PubMed]
- Fdhila, F.; Vázquez, V.; Sánchez, J.L.; Riguera, R. dd -Diketopiperazines: Antibiotics Active against Vibrio a Nguillarum Isolated from Marine Bacteria Associated with Cultures of Pecten maximus. J. Nat. Prod. 2003, 66, 1299–1301. [Google Scholar] [CrossRef] [PubMed]
- Mardirossian, M.; Sola, R.; Beckert, B.; Collis, D.W.P.; Di Stasi, A.; Armas, F.; Hilpert, K.; Wilson, D.N.; Scocchi, M. Proline-Rich Peptides with Improved Antimicrobial Activity against E. coli, K. pneumoniae, and A. baumannii. ChemMedChem 2019, 14, 2025–2033. [Google Scholar] [CrossRef] [PubMed]
- Qi, S.-H.; Xu, Y.; Gao, J.; Qian, P.-Y.; Zhang, S. Antibacterial and Antilarval Compounds from Marine bacterium Pseudomonas rhizosphaerae. Ann. Microbiol. 2009, 59, 229–233. [Google Scholar] [CrossRef]
- Tangerina, M.M.P.; Furtado, L.C.; Leite, V.M.B.; Bauermeister, A.; Velasco-Alzate, K.; Jimenez, P.C.; Garrido, L.M.; Padilla, G.; Lopes, N.P.; Costa-Lotufo, L.V.; et al. Metabolomic Study of Marine Streptomyces Sp.: Secondary Metabolites and the Production of Potential Anticancer Compounds. PLoS ONE 2020, 15, e0244385. [Google Scholar] [CrossRef]
- Mehetre, G.T.; Vinodh, J.S.; Burkul, B.B.; Desai, D.; Santhakumari, B.; Dharne, M.S.; Dastager, S.G. Bioactivities and Molecular Networking-Based Elucidation of Metabolites of Potent Actinobacterial Strains Isolated from the Unkeshwar Geothermal Springs in India. RSC Adv. 2019, 9, 9850–9859. [Google Scholar] [CrossRef]
- Husain, D.R.; Wardhani, R. Antibacterial Activity of Endosymbiotic Bacterial Compound from Pheretima Sp. Earthworms Inhibit the Growth of Salmonella Typhi and Staphylococcus aureus: In Vitro and in Silico Approach. Iran. J. Microbiol. 2021, 13, 537–543. [Google Scholar] [CrossRef]
- Bhargava, H.N. Effect of Cyclo(Leucyl-Glycine) on [3H]Spiroperidol Binding in the Corpus Striatum and Hypothalamus of Spontaneously Hypertensive Rats. Eur. J. Pharmacol. 1984, 100, 109–112. [Google Scholar] [CrossRef] [PubMed]
- Lee, S.; Tamayo-Castillo, G.; Pang, C.; Clardy, J.; Cao, S.; Kim, K.H. Diketopiperazines from Costa Rican Endolichenic Fungus Colpoma Sp. CR1465A. Bioorg. Med. Chem. Lett. 2016, 26, 2438–2441. [Google Scholar] [CrossRef] [PubMed]
- Cao, J.; Xie, J.; Yu, M.; Xu, T.; Zhang, H.; Chen, L.; Sun, S. The Promoting Mechanism of the Sterile Fermentation Filtrate of Serratia odorifera on Hypsizygus marmoreus by Means of Metabolomics Analysis. Biomolecules 2023, 13, 1804. [Google Scholar] [CrossRef] [PubMed]
- Lee, M.J.; Kim, G.J.; Shin, M.-S.; Moon, J.; Kim, S.; Nam, J.-W.; Kang, K.S.; Choi, H. Chemical Investigation of Diketopiperazines and N-Phenethylacetamide Isolated from Aquimarina Sp. MC085 and Their Effect on TGF-β-Induced Epithelial–Mesenchymal Transition. Appl. Sci. 2021, 11, 8866. [Google Scholar] [CrossRef]
- Noh, S.W.; Seo, R.; Park, J.-K.; Manir, M.M.; Park, K.; Sang, M.K.; Moon, S.-S.; Jung, H.W. Cyclic Dipeptides from Bacillus vallismortis BS07 Require Key Components of Plant Immunity to Induce Disease Resistance in Arabidopsis against Pseudomonas Infection. Plant Pathol. J. 2017, 33, 402–409. [Google Scholar] [CrossRef]
- Liu, X.; Tao, X.; Zou, A.; Yang, S.; Zhang, L.; Mu, B. Effect of Themicrobial Lipopeptide on Tumor Cell Lines: Apoptosis Induced by Disturbing the Fatty Acid Composition of Cell Membrane. Protein Cell 2010, 1, 584–594. [Google Scholar] [CrossRef] [PubMed]
- Lorz, P.M.; Towae, F.K.; Enke, W.; Jäckh, R.; Bhargava, N.; Hillesheim, W. Phthalic Acid and Derivatives. In Ullmann’s Encyclopedia of Industrial Chemistry; Wiley: Hoboken, NJ, USA, 2007; ISBN 978-3-527-30385-4. [Google Scholar]
- Oh, M.J.; Cho, Y.H.; Cha, S.Y.; Lee, E.O.; Kim, J.W.; Kim, S.K.; Park, C.S. Novel Phytoceramides Containing Fatty Acids of Diverse Chain Lengths Are Better than a Single C18-Ceramide N-Stearoyl Phytosphingosine to Improve the Physiological Properties of Human Stratum Corneum. Clin. Cosmet. Investig. Dermatol. 2017, 10, 363–371. [Google Scholar] [CrossRef] [PubMed]
- Santalova, E.A.; Kuzmich, A.S.; Chingizova, E.A.; Menchinskaya, E.S.; Pislyagin, E.A.; Dmitrenok, P.S. Phytoceramides from the Marine Sponge Monanchora Clathrata: Structural Analysis and Cytoprotective Effects. Biomolecules 2023, 13, 677. [Google Scholar] [CrossRef] [PubMed]
- Bellezza, I.; Peirce, M.J.; Minelli, A. Cyclic Peptides in Neurological Disorders: The Case of Cyclo(His-Pro). In Quorum Sensing; Elsevier: Amsterdam, The Netherlands, 2019; pp. 257–286. ISBN 978-0-12-814905-8. [Google Scholar]
- Guan, J. Insulin-Like Growth Factor-1 and Its Derivatives: Potential Pharmaceutical Application for Ischemic Brain Injury. Recent Patents CNS Drug Discov. 2008, 3, 112–127. [Google Scholar] [CrossRef]
- Mitchell, R.E.; Young, H. N-Coronafacoyl-L-Isoleucine and N-Coronafacoyl-L-Alloisoleucine, Potential Biosynthetic Intermediates of the Phytotoxin Coronatine. Phytochemistry 1985, 24, 2716–2717. [Google Scholar] [CrossRef]
- Bignell, D.R.D.; Cheng, Z.; Bown, L. The Coronafacoyl Phytotoxins: Structure, Biosynthesis, Regulation and Biological Activities. Antonie van Leeuwenhoek 2018, 111, 649–666. [Google Scholar] [CrossRef] [PubMed]
- Nishanth Kumar, S.; Nath, V.S.; Pratap Chandran, R.; Nambisan, B. Cyclic Dipeptides from Rhabditid Entomopathogenic Nematode-Associated Bacillus cereus Have Antimicrobial Activities. World J. Microbiol. Biotechnol. 2014, 30, 439–449. [Google Scholar] [CrossRef] [PubMed]
- Lin, W.-X.; Xie, C.-L.; Zhou, M.; Xia, M.-L.; Zhou, T.-T.; Chen, H.-F.; Yang, X.-W.; Yang, Q. Chemical Constituents from the Deep Sea-Derived Streptomyces xiamenensis MCCC 1A01570 and Their Effects on RXRα Transcriptional Regulation. Nat. Prod. Res. 2020, 34, 1461–1464. [Google Scholar] [CrossRef] [PubMed]
- Yuan, L.; Liu, J.; Huang, Y.; Shen, G.; Pang, S.; Wang, C.; Li, Y.; Mu, X. Integrated Toxicity Assessment of DEHP and DBP toward Aquatic Ecosystem Based on Multiple Trophic Model Assays. Env. Sci. Pollut. Res. 2022, 29, 87402–87412. [Google Scholar] [CrossRef] [PubMed]
- Wu, L.; Shi, F.; Zhang, Y.; Xu, X.; Xie, Z.; Hua, S.; Xia, S.; Jiang, J. Maternal Exposure to Dibutyl Phthalate (DBP) Impairs Angiogenesis and AR Signalling Pathway through Suppression of TGFB1I1 in Hypospadias Offspring. Ecotoxicol. Environ. Saf. 2024, 270, 115941. [Google Scholar] [CrossRef] [PubMed]
- Khatiwora, E.; Adsul, V.B.; Kulkarni, M.; Deshpande, N.R.; Kashalkar, R.V. Antibacterial Activity of Dibutyl Phthalate: A Secondary Metabolite Isolated from Ipomoea Carnea Stem. J. Pharm. Res. 2012, 5, 150–152. [Google Scholar]
- T3DB: Pyridoxine. Available online: http://www.t3db.ca/toxins/T3D2701 (accessed on 11 January 2024).
- Patel, K.; Gadewar, M.; Tripathi, R.; Prasad, S.; Patel, D.K. A Review on Medicinal Importance, Pharmacological Activity and Bioanalytical Aspects of Beta-Carboline Alkaloid “Harmine”. Asian Pac. J. Trop. Biomed. 2012, 2, 660–664. [Google Scholar] [CrossRef] [PubMed]
- Cao, R.; Peng, W.; Wang, Z.; Xu, A. β-Carboline Alkaloids: Biochemical and Pharmacological Functions. Curr. Med. Chem. 2007, 14, 479–500. [Google Scholar] [CrossRef] [PubMed]
- Stasiuk, M.; Kozubek, A. Biological Activity of Phenolic Lipids. Cell. Mol. Life Sci. 2010, 67, 841–860. [Google Scholar] [CrossRef]
- Kanda, N.; Ishizaki, N.; Inoue, N.; Oshima, M.; Handa, A.; Kitahara, T. DB-2073, a New Alkylresorcinol Antibiotic. I. Taxonomy, Isolation and Characterization. J. Antibiot. 1975, 28, 935–942. [Google Scholar] [CrossRef][Green Version]
- Da Silva, R.R.; Dorrestein, P.C.; Quinn, R.A. Illuminating the Dark Matter in Metabolomics. Proc. Natl. Acad. Sci. USA 2015, 112, 12549–12550. [Google Scholar] [CrossRef] [PubMed]
- Wang, M.; Carver, J.J.; Phelan, V.V.; Sanchez, L.M.; Garg, N.; Peng, Y.; Nguyen, D.D.; Watrous, J.; Kapono, C.A.; Luzzatto-Knaan, T.; et al. Sharing and Community Curation of Mass Spectrometry Data with Global Natural Products Social Molecular Networking. Nat. Biotechnol. 2016, 34, 828–837. [Google Scholar] [CrossRef] [PubMed]
- Williams, S.T.; Davies, F.L. Use of Antibiotics for Selective Isolation and Enumeration of Actinomycetes in Soil. J. Gen. Microbiol. 1965, 38, 251–261. [Google Scholar] [CrossRef] [PubMed]
- Kharel, M.K.; Shepherd, M.D.; Nybo, S.E.; Smith, M.L.; Bosserman, M.A.; Rohr, J. Isolation of Streptomyces Species from Soil. Curr. Protoc. Microbiol. 2010, 19, 10E.4.1–10E.4.5. [Google Scholar] [CrossRef]
- Green, M.R.; Sambrook, J. Molecular Cloning: A Laboratory Manual, 4th ed.; Cold Spring Harbor Laboratory Press: Cold Spring Harbor, NY, USA, 2012; ISBN 978-1-936113-41-5. [Google Scholar]
- Johnson, M.; Zaretskaya, I.; Raytselis, Y.; Merezhuk, Y.; McGinnis, S.; Madden, T.L. NCBI BLAST: A Better Web Interface. Nucleic Acids Res. 2008, 36, W5–W9. [Google Scholar] [CrossRef] [PubMed]
- Rajan, B.M.; Kannabiran, K. Extraction and Identification of Antibacterial Secondary Metabolites from Marine Streptomyces Sp. VITBRK2. Int. J. Mol. Cell Med. 2014, 3, 130–137. [Google Scholar] [PubMed]
- Valgas, C.; Souza, S.M.; Smânia, E.F.A.; Smânia, A., Jr. Screening Methods to Determine Antibacterial Activity of Natural Products. Braz. J. Microbiol. 2007, 38, 369–380. [Google Scholar] [CrossRef]
- Wiegand, I.; Hilpert, K.; Hancock, R.E.W. Agar and Broth Dilution Methods to Determine the Minimal Inhibitory Concentration (MIC) of Antimicrobial Substances. Nat. Protoc. 2008, 3, 163–175. [Google Scholar] [CrossRef] [PubMed]
- Chater, K.F.; Biró, S.; Lee, K.J.; Palmer, T.; Schrempf, H. The Complex Extracellular Biology of Streptomyces. FEMS Microbiol. Rev. 2010, 34, 171–198. [Google Scholar] [CrossRef]
- Chambers, M.C.; Maclean, B.; Burke, R.; Amodei, D.; Ruderman, D.L.; Neumann, S.; Gatto, L.; Fischer, B.; Pratt, B.; Egertson, J.; et al. A Cross-Platform Toolkit for Mass Spectrometry and Proteomics. Nat. Biotechnol. 2012, 30, 918–920. [Google Scholar] [CrossRef]
- Dührkop, K.; Shen, H.; Meusel, M.; Rousu, J.; Böcker, S. Searching Molecular Structure Databases with Tandem Mass Spectra Using CSI:FingerID. Proc. Natl. Acad. Sci. USA 2015, 112, 12580–12585. [Google Scholar] [CrossRef] [PubMed]









| Streptomyces Species Extracts | BT1 (mg/mL) | BT2 (mg/mL) | BT3 (mg/mL) | PC1 (mg/mL) | Neomycin (µg/mL) |
|---|---|---|---|---|---|
| MIC (Staphylococcus aureus) | 2.295 | 1.960 | 1.875 | 0.658 | 0.625 |
| MIC (Escherichia coli) | 1.090 | 1.738 | 0.937 | 1.500 | 0.781 |
| MBC (Staphylococcus aureus) | 4.590 | 3.920 | 3.750 | 2.635 | 1.250 |
| MBC (Escherichia coli) | 2.188 | 3.477 | 1.875 | 3.000 | 1.562 |
| C.N | Annotated Compound | Exact Mass m/z | Observed Mass m/z | Detected Ion | Molecular Formula | RDBE | Absolute Error (ppm) | RetentIon Time (min) | Bacterial Source | CSI:FingerID Score (%) | References |
|---|---|---|---|---|---|---|---|---|---|---|---|
| 1 | Cyclo-(d-Pro-d-Phe) | 244.120 | 245.129 | [M+H]+ | C14H16N2O2 | 8.0 | 3.20 | 8.76 | BT1 | 99.24 | [18] |
| 2 | Cyclo-(l-Val-l-Leu) | 212.159 | 213.160 | [M+H]+ | C11H20N2O2 | 3.0 | 1.84 | 9.34 (BT1) | BT1, BT2 | 92.71 | [19] |
| 3 | Maculosin | 260.115 | 261.123 | [M+H]+ | C14H16N2O3 | 8.0 | 0.57 | 6.59 (BT1) | PC1, BT1, BT3 | 98.00 | [20] |
| 4 | Neomarinone | 424.225 | 425.233 | [M+H]+ | C26H32O5 | 11.0 | 4.70 | 14.02 | BT1 | 48.47 | [21] |
| 5 | Dibutyl phthalate | 278.152 | 279.160 | [M+H]+ | C16H22O4 | 6.0 | 2.18 | 18.64 (BT1) | BT1, BT2 | 95.91 | [22] |
| 6 | Pyridoxine | 169.073 | 170.081 | [M+H]+ | C8H11NO3 | 4.0 | 1.34 | 1.35 (BT1) | BT1, BT2 | 99.45 | [23] |
| 7 | Cyclo-(l-Pro-l-OMet) | 244.087 | 245.10 | [M+H]+ | C10H16N2O3S | 4.0 | 0.70 | 2.53 | BT2 | 76.71 | [24] |
| 8 | Surfactin C13 | 1007.651 | 1008.660 | [M+H]+ | C51H89N7O13 | 11.0 | 3.394 | 21.29 | BT1 | 99.72 | [25] |
| 9 | Cyclo-(l-Valyl-l-Phenyl alanyl) | 246.136 | 247.144 | [M+H]+ | C14H18N2O2 | 7.0 | 0.74 | 9.87 | BT2 | 93.04 | [26] |
| 10 | Di-n-butyl terephthalate | 278.151 | 279.159 | [M+H]+ | C16H22O4 | 6.0 | 1.76 | 18.58 | BT3 | 54.11 | [27] |
| 11 | Phthalic anhydride | 148.015 | 149.023 | [M+H]+ | C8H4O3 | 7.0 | 0.63 | 18.64 | BT3 | 99.24 | [28] |
| 12 | Phytoceramide | 555.522 | 556.531 | [M+H]+ | C34H69NO4 | 11.0 | 1.22 | 20.68 | BT3 | 71.70 | [29] |
| 13 | Cyclo-(Pro-Gly) | 154.073 | 155.081 | [M+H]+ | C7H10N2O2 | 4.0 | 3.27 | 2.20 (BT3) | PC1, BT1, BT2, BT3 | 97.50 | [30] |
| 14 | Cyclo-(l-Leu-l-Pro) or Gancidin W | 210.136 | 211.144 | [M+H]+ | C11H18N2O2 | 4.0 | 1.41 | 8.03 (BT2) | PC1, BT1, BT2, BT3 | 98.69 | [31] |
| 15 | Cyclo-(l-Phenylalanyl-trans-4-hydroxy-l-Proline) | 260.112 | 261.119 | [M+H]+ | C14H16N2O3 | 8.0 | 1.32 | 6.72 (PC1) | PC1, BT1, BT2, BT3 | 62.83 | [32] |
| 16 | Coronafacoyl-l-isoleucine | 321.194 | 344.183 | [M+Na]+ | C18H27NO4 | 6.0 | 0.02 | 10.85 (PC1) | PC1, BT3 | 36.16 | [33] |
| 17 | Cyclo-(d-Pro-l-Tyr) | 260.112 | 261.119 | [M+H]+ | C14H16N2O3 | 4.0 | 1.85 | 6.79 (BT2) | PC1, BT1, BT2, BT3 | 87.08 | [32] |
| 18 | Cyclo-(Pro-Val) | 196.120 | 197.129 | [M+H]+ | C10H16N2O2 | 4.0 | 2.10 | 6.59 (BT2) | PC1, BT1, BT2, BT3 | 95.58 | [34] |
| 19 | N-Acetyltyramine | 179.094 | 180.102 | [M+H]+ | C10H13NO2 | 5.0 | 2.48 | 7.18 (BT2) | PC1, BT1, BT2, BT3 | 73.66 | [35] |
| 20 | Cyclo-(l-Ala-l-Leu) | 184.120 | 185.129 | [M+H]+ | C9H16N2O2 | 3.0 | 1.25 | 7.57 (BT2) | BT1, BT2, BT3 | 97.87 | [36] |
| 21 | Cyclo-(Tyr-Leu) | 276.147 | 277.155 | [M+H]+ | C15H20N2O3 | 7.0 | 1.07 | 7.84 (BT2) | PC1, BT1, BT2, BT3 | 94.12 | [37] |
| 22 | Cyclo-(l-Phe-l-Ala) | 218.104 | 219.114 | [M+H]+ | C12H14N2O2 | 7.0 | 4.91 | 7.97 (BT2) | PC1, BT1, BT2, BT3 | 95.63 | [38] |
| 23 | Cyclo-(Phenylalanyl-Prolyl) | 244.121 | 245.129 | [M+H]+ | C14H16N2O2 | 8.0 | 1.00 | 8.69 (BT2) | PC1, BT1, BT2, BT3 | 99.62 | [39] |
| 24 | Brevianamide F or Cyclo-l-Trp-l-Pro | 283.131 | 284.139 | [M+H]+ | C16H17N3O2 | 10.0 | 0.47 | 9.41 (BT2) | PC1, BT1, BT2, BT3 | 99.40 | [40] |
| 25 | N-Phenethylacetamide | 163.099 | 164.107 | [M+H]+ | C10H13NO | 5.0 | 1.63 | 9.74 (BT2) | PC1, BT1, BT2, BT3 | 99.24 | [41] |
| 26 | Cyclo-(l-Leucyl-l-Leucyl) | 226.168 | 227.176 | [M+H]+ | C12H22N2O2 | 3.0 | 0.83 | 10.32 (BT2) | PC1, BT1, BT2, BT3 | 94.97 | [42] |
| 27 | Cyclo-(d-Leu-l-Trp) | 299.163 | 300.171 | [M+H]+ | C17H21N3O2 | 9.0 | 1.61 | 10.26 (BT2) | PC1, BT1, BT2, BT3 | 85.35 | [43] |
| 28 | Cyclo-(Phenylalanyl-Phenylalanyl) | 294.139 | 295.147 | [M+H]+ | C18H18N2O2 | 11.0 | 1.55 | 11.11 (BT2) | PC1, BT1, BT2, BT3 | 69.32 | [44] |
| 29 | Cyclo-(Tyr-Val) | 262.133 | 263.141 | [M+H]+ | C14H18N2O3 | 7.0 | 0.27 | 7.71 (BT2) | BT1, BT2, BT3 | 76.92 | [45] |
| 30 | 1-Acetyl-3-methoxycarbonyl-β-carboline | 268.086 | 269.093 | [M+H]+ | C15H12N2O3 | 11.0 | 1.95 | 14.38 (BT2) | BT1, BT2 | 81.21 | [46] |
| 31 | Cyclo-(d-Ala-l-Pro) | 168.089 | 169.097 | [M+H]+ | C8H12N2O2 | 4.0 | 0.56 | 2.99 (BT2) | PC1, BT1, BT2, BT3 | 98.56 | [47] |
| 32 | Cyclo-(Ile-Ser) | 200.125 | 201.124 | [M+H]+ | C9H16N2O3 | 3.0 | 1.02 | 6.20 (PC1) | PC1, BT1, BT2, BT3 | 83.49 | [48] |
| 33 | (S)-3-Isobutylpiperazine-2,5-dione or Cyclo(Gly-Leu) | 170.105 | 171.113 | [M+H]+ | C8H14N2O2 | 3.0 | 1.11 | 6.46 (BT2) | PC1, BT1, BT2, BT3 | 76.44 | [49] |
| 34 | 3-((6-methylpyrazin-2-yl)methyl)-1H-indole | 223.110 | 224.118 | [M+H]+ | C14H13N3 | 10.0 | 0.84 | 12.09 | PC1 | 84.57 | [50] |
| 35 | N-Lauryldiethanolamine | 273.266 | 274.275 | [M+H]+ | C16H35NO2 | 0.0 | 2.34 | 13.80 (BT2) | BT1, BT2, BT3 | 99.17 | [51] |
| 36 | 2-n-Hexyl-5-n-propyl resorcinol | 236.177 | 237.185 | [M+H]+ | C15H24O2 | 4.0 | 1.02 | 18.05 (BT1) | BT1, BT2, BT3 | 76.54 | [52] |
| 37 | 2-Hexyl-5-methyl resorcinol | 208.146 | 209.154 | [M+H]+ | C13H20O2 | 4.0 | 2.33 | 15.63 | BT1 | 71.60 | [53] |
| S.N. | Comp. Name | Accurate Mass (Da) | Precursor Ion | Adduct Type | MS2 Fragmentation Pattern | Molecular Formula | Retention Time (min) | Bacterial Source | Error (ppm) | Reference |
|---|---|---|---|---|---|---|---|---|---|---|
| 1 | 3-epi-Xestoaminol C | 229.241 | 230.247 | [M+H]+ | 212.237, 66.070, 55.054, 44.050 | C14H31NO | 13.85 | BT1, BT2, BT3, PC1 | 4.4 | [59] |
| 2 | 4-Aminobenzoic acid | 137.048 | 138.055 | [M+H]+ | 138.049, 120.040, 77.034, 65.035 | C7H7NO2 | 4.85 | PC1 | 0.0 | [60] |
| 3 | 5-Aminovaleric acid | 117.079 | 100.076 | [M+H-H2O]+ | 100.076, 72.081, 56.050 | C5H11NO2 | 3.14 | BT1, BT2, PC1 | 0.0 | [61] |
| 4 | (−)-α-Bisabolol | 222.372 | 205.195 | [M+H-H2O]+ | 205.195, 121.100, 93.069, 81.069 | C15H26O | 18.84 | BT2 | 0.1 | [62] |
| 5 | Anthranilic acid | 137.048 | 138.055 | [M+H]+ | 120.044, 92.049, 965.038 | C7H7NO2 | 8.43 | BT1, BT2, PC1 | 7.2 | [63] |
| 6 | Cyclo-[l-(4-hydroxy-pro)-l-leu] | 226.132 | 227.138 | [M+H]+ | 199.153, 181.142, 86.078 | C11H18N2O3 | 7.37 | BT1, BT2, BT3, PC1 | 8.8 | [64] |
| 7 | Cyclo(l-leu-trans-4-hydroxy-l-pro) | 226.132 | 227.139 | [M+H]+ | 199.153, 181.142, 86.078 | C11H18N2O3 | 6.92 | BT1, BT2, BT3, PC1 | 4.3 | [65] |
| 8 | Cyclo(d-6-Hyp-l-Phe) | 260.116 | 261.124 | [M+H]+ | 120.080, 103.054, 86.060 | C14H16N2O3 | 8.92 | BT1, BT2, BT3, | 3.8 | [66] |
| 9 | Cyclo(l-Phe-d-Pro) | 244.121 | 245.128 | [M+H]+ | 154.072, 120.080, 70.065 | C14H16N2O2 | 9.40 | BT1, BT2, BT3, PC1 | 4.0 | [67] |
| 10 | Cyclo(l-Val-l-Pro) | 196.121 | 197.129 | [M+H]+ | 124.112, 98.060, 70.066 | C10H16N2O2 | 7.03 | BT1, BT2, BT3, PC1 | 0.0 | [68] |
| 11 | Tryptophol | 161.084 | 162.091 | [M+H]+ | 143.072, 130.064, 115.053, 91.054 | C10H11NO | 10.29 | BT1, BT3, PC1 | 6.1 | [40] |
| 12 | Surfactin C1 | 1035.683 | 1036.690 | [M+H]+ | 1036.687, 699.466, 582.410, 455.286, 356.245 | C53H93N7O13 | 22.59 | BT1 | 2.94 | [25] |
| 13 | Lipopeptide NO | 993.636 | 994.644 | [M+H]+ | 994.647, 881.554, 554.371, 441.284 | C50H87N7O13 | 20.80 | BT1 | 1.04 | [69] |
| 14 | Surfactin B | 1021.667 | 1044.660 | [M+Na]+ | 931.574, 818.491, 728.496, 657.458, 594.348 | C52H91N7O13 | 22.23 | BT1 | 0.9 | [70] |
| 15 | Lauryldiethanolamine | 273.267 | 274.274 | [M+H]+ | 274.274, 256.263, 106.086, 88.075 | C16H35NO2 | 13.78 | BT1, BT2, BT3, PC1 | 7.0 | [71] |
| 16 | Tetradecyldiethanolamine | 301.298 | 302.305 | [M+H]+ | 302.305, 284.294, 106.086, 88.075 | C18H39NO2 | 15.30 | BT1, BT2, BT3, PC1 | 6.6 | [72] |
| 17 | Indole-3-carbinol | 147.068 | 130.066 | [M+H-H2O]+ | 103.056, 95.050, 77.038 | C9H9NO | 9.43 | BT1, BT2, BT3, PC1 | 7.6 | [73] |
| 18 | Cyclo(leucylprolyl) | 210.137 | 211.144 | [M+H]+ | 211.145 | C11H18N2O2 | 9.48 | BT1, BT2, BT3, PC1 | 4.7 | [26] |
| 19 | N-acetyl-2-phenylethylamine | 163.100 | 164.107 | [M+H]+ | 105.070 | C10H13NO | 9.78 | BT1, BT2, BT3, PC1 | 6.1 | [74] |
| 20 | N-acetyltyramine | 179.095 | 180.102 | [M+H]+ | 121.065, 103.054, 93.070 | C10H13NO2 | 7.19 | BT1, BT2, BT3, PC1 | 5.5 | [35] |
| 21 | N6-(delta2-isopentenyl)adenine | 203.117 | 204.124 | [M+H]+ | 148.063, 136.063, 69.071 | C10H13N5 | 8.10 | BT1, BT3, PC1 | 9.86 | [75] |
| 22 | N-[2-(1H-indol-3-yl)ethyl]acetamide | 202.111 | 203.118 | [M+H]+ | 144.081 | C12H14N2O | 10.21 | BT1, BT2 | 0.0 | [76] |
| 23 | Brevianamide F | 283.132 | 284.139 | [M+H]+ | 130.064 | C16H17N3O2 | 9.19 | BT1, BT2, BT3, PC1 | 6.9 | [73] |
| 24 | Normetanephrine | 183.090 | 184.097 | [M+H]+ | 134.059, 106.065, 91.054, 77.038 | C9H13NO3 | 2.41 | BT1, BT2, BT3, PC1 | 0.0 | [77] |
| 25 | 13-Docosenamide | 337.334 | 338.342 | [M+H]+ | 149.132, 121.101, 97.101 | C22H43NO | 22.36 | BT1, BT2, BT3, PC1 | 0.0 | [78] |
Disclaimer/Publisher’s Note: The statements, opinions and data contained in all publications are solely those of the individual author(s) and contributor(s) and not of MDPI and/or the editor(s). MDPI and/or the editor(s) disclaim responsibility for any injury to people or property resulting from any ideas, methods, instructions or products referred to in the content. |
© 2024 by the authors. Licensee MDPI, Basel, Switzerland. This article is an open access article distributed under the terms and conditions of the Creative Commons Attribution (CC BY) license (https://creativecommons.org/licenses/by/4.0/).
Share and Cite
Thapa, B.B.; Huo, C.; Budhathoki, R.; Chaudhary, P.; Joshi, S.; Poudel, P.B.; Magar, R.T.; Parajuli, N.; Kim, K.H.; Sohng, J.K. Metabolic Comparison and Molecular Networking of Antimicrobials in Streptomyces Species. Int. J. Mol. Sci. 2024, 25, 4193. https://doi.org/10.3390/ijms25084193
Thapa BB, Huo C, Budhathoki R, Chaudhary P, Joshi S, Poudel PB, Magar RT, Parajuli N, Kim KH, Sohng JK. Metabolic Comparison and Molecular Networking of Antimicrobials in Streptomyces Species. International Journal of Molecular Sciences. 2024; 25(8):4193. https://doi.org/10.3390/ijms25084193
Chicago/Turabian StyleThapa, Bijaya Bahadur, Chen Huo, Rabin Budhathoki, Pratiksha Chaudhary, Soniya Joshi, Purna Bahadur Poudel, Rubin Thapa Magar, Niranjan Parajuli, Ki Hyun Kim, and Jae Kyung Sohng. 2024. "Metabolic Comparison and Molecular Networking of Antimicrobials in Streptomyces Species" International Journal of Molecular Sciences 25, no. 8: 4193. https://doi.org/10.3390/ijms25084193
APA StyleThapa, B. B., Huo, C., Budhathoki, R., Chaudhary, P., Joshi, S., Poudel, P. B., Magar, R. T., Parajuli, N., Kim, K. H., & Sohng, J. K. (2024). Metabolic Comparison and Molecular Networking of Antimicrobials in Streptomyces Species. International Journal of Molecular Sciences, 25(8), 4193. https://doi.org/10.3390/ijms25084193

