Next Article in Journal
Cycloolivil Isolated from Nardostachys jatamansi Inhibits TNF-α/IFN-γ-Induced Chemokine Production by Blocking NF-κB and JAK/STAT Activation in HaCaT Keratinocytes
Previous Article in Journal
Mind, Mood and Microbiota—Gut–Brain Axis in Psychiatric Disorders
 
 
Font Type:
Arial Georgia Verdana
Font Size:
Aa Aa Aa
Line Spacing:
Column Width:
Background:
Review

An Insight into Fluorinated Imines and Hydrazones as Antibacterial Agents

1
Department of Medical Chemistry, Medical University of Lublin, 4A Chodźki Street, 20-093 Lublin, Poland
2
Green Lanes Proteins Sp. z o.o., Majdan Krasieniński 42A, 21-025 Smugi, Poland
3
Laboratory of Bioorganic Compounds Synthesis and Analysis, Medical University of Lublin, 4A Chodźki Street, 20-093 Lublin, Poland
*
Author to whom correspondence should be addressed.
Int. J. Mol. Sci. 2024, 25(6), 3341; https://doi.org/10.3390/ijms25063341
Submission received: 3 February 2024 / Revised: 4 March 2024 / Accepted: 12 March 2024 / Published: 15 March 2024
(This article belongs to the Section Molecular Pharmacology)

Abstract

Fluorinated imines (Schiff bases) and fluorinated hydrazones are of particular interest in medicinal chemistry due to their potential usefulness in treating opportunistic strains of bacteria that are resistant to commonly used antibacterial agents. The present review paper is focused on these fluorinated molecules revealing strong, moderate or weak in vitro antibacterial activities, which have been reported in the scientific papers during the last fifteen years. Fluorinated building blocks and reaction conditions used for the synthesis of imines and hydrazones are mentioned. The structural modifications, which have an influence on the antibacterial activity in all the reported classes of fluorinated small molecules, are highlighted, focusing mainly on the importance of specific substitutions. Advanced research techniques and innovations for the synthesis, design and development of fluorinated imines and hydrazones are also summarized.

1. Introduction

There is still a continuous search for novel antibacterial agents due to the increasing number of isolated microbial strains resistant to clinically approved antibacterial agents. Both imines (Schiff bases) and hydrazones—containing a double bond between carbon and nitrogen—are of particular interest to medicinal chemists due to their potential usefulness in treating opportunistic pathogens. These azomethine molecules can be synthesized by condensing carbonyl compounds with various nitrogen-nucleophilic compounds containing the terminal amino group. Aldimine-type Schiff bases—holding a secondary azomethine (CH=N) group, and ketimine-type Schiff bases—having the characteristic imine (C=N) group, can be obtained by nucleophilic attack of the primary amine on the electrophilic carbonyl function of an aldehyde or ketone, respectively, under strictly established reaction conditions. Hugo Schiff was the first research worker who performed successfully the synthesis of aldimines and ketimines, followed by a concomitant elimination of water (as the result of dehydration of hemiaminal) under azeotropic distillation [1]. However, hydrazones can be obtained via the nucleophilic attack of substituted hydrazines or hydrazides on the carbonyl function of aldehyde or ketone as an electrophilic center. Hydrazones can be divided into hydrazine–hydrazones containing the -NH-N=CH- formation and hydrazide–hydrazones bearing the -CONH-N=CH- moiety. Both mechanism of imine and hydrazone formation is based on the attachment of the amine nitrogen to the carbon of the carbonyl group and the elimination of a water molecule from an intermediate hemiaminal (carbinolamine) formed [1,2]. Due to the fact that the hydrazone group is less reactive compared to the imine group, hydrazones are generally more hydrolytically stable [3]. Notwithstanding, the stability of different hydrazones may vary because it depends on the nature of the substituents and the presence of adjacent functional groups.
Chakraborti et al. [2] have proved by extensive experimentation that in the case of highly nucleophilic (primary amines, phenylhydrazines) and electrophilic (aldehydes, ketones) functionalized reactants, the formation of Schiff bases or phenylhydrazones proceeds easily without the use of any catalyst. On the other hand, the same group of researchers have confirmed experimentally that in the case of electronic and/or steric effects of substituents, that might decrease the nucleophilicity and electrophilicity of starting reactants, an appropriate catalyst assistance is needed. In this case, the condensation process leading to the targeted imines or phenylhydrazones had to be catalyzed by Brönsted–Lowry or Lewis acids to facilitate an amine or phenylhydrazine nucleophilic attack on the activated carbonyl group of an aldehyde or a ketone and the subsequent elimination of water [2].
The imine or hydrazone moiety occurs in the structure of various pharmacologically active molecules. Antibacterials of the Schiff base- or hydrazone-type, such as nitrofurantoin, nifurtoinol, nifurzide, nifuroxazide, furazolidone, nitrofurazone and thioacetazone, are commonly used in human medicine (Table 1) [4]. These pharmaceuticals act at low doses and do not produce resistant strains. Nitrofurantoin and nifurtoinol are approved as antibacterial agents in the treatment of urinary tract infections. Nifurzide, nifuroxazide and furazolidone belong to antibacterial agents that are used in the treatment of gastrointestinal tract infections, such as acute and chronic diarrhea of bacterial origin. Nitrofurazone is used topically as an antiseptic for the eyes, ears, skin and mucous membranes of the throat and vagina. In addition, nitrofurazone and furazolidone reveal antiprotozoal—against G. lamblia—activities. Terizidone and thioacetazone are antimycobacterial agents. Thioacetazone—a prodrug activated by the bacterial monooxygenase to an active drug—is employed in the treatment of tuberculosis in combination with more effective antimycobacterial agents. Although displaying a weak activity against M. tuberculosis, this drug is currently recommended for preventing resistance to potent antituberculostatic agents such as isoniazid and rifampicin [4]. Ftivazide and verazide—which are hydrazones related to isoniazid—have previously been used in medicine as antitubercular agents with prolonged release and lower toxicity than the parent drug [5,6]. However, ambazone is used to treat bacterial infections of the throat and mouth in humans, revealing the bacteriostatic action on S. pyogenes, S. pneumoniae and S. viridans [4]. Furonazide has been used in human and veterinary medicine as an antitubercular agent, long-acting and less toxic than isoniazid [7] (Table 1).
Aldimine- and ketimine-type Schiff bases have been reported to play an important function in biochemical processes as the intermediates in various enzymatic reactions [8,9]. The human rhodopsin (visual purple found in rod cells of the retina) is an aldimine-type Schiff base, which is essential in the photoreception mechanism [8]. In this holoprotein, the opsin apoprotein and the chromophore 11-cis-retinal are linked via a protonated azomethine bond. Aldimine-type Schiff bases of pyridoxal phosphate coenzyme play a role as transporting agents in the biochemical pathways of important amino acids. In turn, the ketimine-type Schiff base of dihydroxyacetone phosphate is involved in the metabolism of carbohydrates [9].
A number of fluorinated imines and hydrazones, derived from various nucleophilic amines and their derivatives, diamines, hydrazines, hydrazides, dihydrazides and electrophilic carbonyl molecules (such as aldehydes and ketones), have been synthesized and their diversified structures have been extensively antibacterially investigated—over the last fifteen years—to develop more effective and selective antibacterial agents. Considering the importance of fluorine-containing drugs/drug candidates in current medicinal chemistry [10,11,12,13,14], this review paper is focused on fluorinated imines and hydrazones revealing antibacterial action in vitro, and on structural modifications that affect the activity in each set of diversified fluorinated molecules. The azomethine or imine group in fluorinated molecules appears to be crucial for their antibacterial activity, while the substitution with fluorine atom(s) may improve their metabolic stability and permeation through biomembranes [11]. The general synthesis approaches (these straightforward as well as those more advanced), reaction conditions, yields as well as antibacterial activities of molecules from particular classes of fluorinated Schiff bases and hydrazones are mentioned in this review. This paper presents the usefulness of nucleophilic and electrophilic fluorinated building blocks and catalysts that can be successfully used in the synthesis of fluorinated imines and hydrazones. In addition, this review gives an overview of some useful advanced research techniques and innovations for the design and development of highly selective and non-toxic fluorinated molecules regarded as possible inhibitors of the Escherichia coli β-ketoacyl-acyl carrier protein synthase III (ecKAS III).

2. Fluorinated Aldimine-Type Schiff Bases

Raache et al. [15] have reported the synthesis, structural investigations and preliminary antibacterial activity studies of (E)-1-phenyl-N-(2,3,5,6-tetrafluoropyridin-4-yl)methanimine (1) (Figure 1). The synthesis of this aldimine was achieved successfully by reacting equimolar ratios of 4-amino-2,3,5,6-tetrafluoropyridine and benzaldehyde in tetrahydrofuran containing an ethanolic solution of potassium hydroxide for 72 h at ambient temperature.
The antibacterial activity of aldimine 1 has been evaluated in the disc diffusion assay using both Gram-positive (S. aureus ATCC 6538, E. faecium ATCC 19434, S. agalactiae) and Gram-negative (E. coli ATCC 8739, S. typhimurium ATCC 14028) bacterial strains. Ampicillin—a broad-spectrum aminopenicillin—was used as a standard antibiotic. Tetrafluorinated aldimine 1 at the highest concentration tested (983.5 µM) was shown to reveal moderate activity against both Gram-negative bacteria of clinical interest, considering its zone inhibition sizes in relation to that of ampicillin [15].
Avila-Sorrosa et al. [16] have described a straightforward synthesis route, determination of the structure (including that in the solid state) and preliminary antibacterial evaluation of fluorinated aldimine-type Schiff bases 24 (Figure 2). The synthesis of these aldimines was performed by reacting almost equimolar amounts of 3,5-difluoroaniline, 3-(trifluoromethyl)aniline or 3,5-bis(trifluoromethyl)aniline with 3-hydroxybenzaldehyde. The condensation process was carried out in dichloromethane at ambient temperature for 48 h, and the removal of water from an intermediate hemiaminal was facilitated by the use of activated molecular sieves.
Avila-Sorrosa research group has employed S. aureus ATCC 25922 and B. subtilis ATCC 9372 as Gram-positive bacilli, whereas E. coli ATCC 25923 and K. pneumoniae ATCC 700603 as Gram-negative bacilli of clinical interest to assess the antibacterial activity of fluorinated aldimines 24 in the disc diffusion assay. Ampicillin was used as a standard antibiotic to confirm the susceptibility of all pathogenic strains of bacteria. Results of this antimicrobial test revealed that both Gram-positive and Gram-negative bacterial strains are susceptible to all the aldimines fluorinated in the meta positions/position (24), whose activities are comparable to that of ampicillin. The conducted studies gave convincing proof that the substitution at meta positions/position of the phenyl moiety by two fluorine atoms, two trifluoromethyl groups or one trifluoromethyl group is preferred for the antibacterial activity in this class of small molecules [16].
Cheng et al. [17] have reported the synthesis and results of in vitro antibacterial studies for fluorinated aldimine-type Schiff base 5, i.e., N-{3-[(E)-(5-fluoro-2-hydroxybenzylidene)amino]propyl}-2-hydroxybenzamide (Figure 3). The synthesis of this aldimine was carried out by condensing N-(3-aminopropyl)-2-hydroxybenzamide and 5-fluorosalicylaldehyde in methanol—as the reaction medium—at 50 °C for 3 h.
The authors have employed clinical isolates of two Gram-positive (S. aureus ATCC 6538, B. subtilis ATCC 6633) and two Gram-negative (P. aeruginosa ATCC 13525, E. coli ATCC 35218) bacterial strains to determine MIC values of Schiff base 5 in the assay MTT-based. An aminoglycoside antibiotic—kanamycin B—was used as a positive control, to confirm the susceptibility of all bacterial strains recruited. Fluorinated aldimine 5 was found to be antibacterially active, revealing significant potencies against P. aeruginosa, S. aureus, E. coli and moderate activity against B. subtilis (Table 2). Simultaneously, its MIC value against P. aeruginosa proved to be 1.3-fold lower than that of kanamycin B. In addition, this molecule was disclosed as a highly potent inhibitor (having the half-maximal inhibition constant (IC50) of 5.6 µM) of the ecKAS III [17]. This suggests that the enzymatic inhibition mechanism is responsible for its potent antibacterial activity.
Employing a similar concept, Cheng et al. [18] have synthesized, confirmed the structure and then antibacterially studied fluorinated Schiff base 6, i.e., N-{2-[(E)-(5-fluoro-2-hydroxybenzylidene)amino]propyl}-2-hydroxy-4-methylbenzamide (Figure 4). This aldimine was afforded as the final product of the reaction between N-(2-aminopropyl)-2-hydroxy-4-methylbenzamide and 5-fluorosalicylaldehyde. The synthesis of this molecule was performed successfully by boiling the stoichiometric ratios of the functionalized reactants in methanol at 50 °C for 3 h.
Cheng et al. have screened fluorinated Schiff base 6 against two Gram-positive (S. aureus ATCC 6538, B. subtilis ATCC 6633) and two Gram-negative (P. aeruginosa ATCC 13525, E. coli ATCC 35218) bacteria of clinical interest in the assay MTT-based. As a positive control, kanamycin B was used. Fluorinated aldimine 6 has been shown to possess remarkable activities against B. subtilis, E. coli, S. aureus and moderate activity against P. aeruginosa (Table 2). Furthermore, this compound was reported to reveal the IC50 of 17.1 µM when tested in the target enzymatic assay for its inhibitory activity against the ecKAS III [18].
Shanmugam et al. [19] have designed, synthesized and confirmed the structure (with the use of spectroscopic techniques) of a number of aldimine-type Schiff bases (713) (Figure 5). The synthesis of these fluorinated aldimines was carried out by stirring (at an ambient temperature for 1 h) and then refluxing (at 50 °C for 4–6 h) the stoichiometric ratios of primary (aromatic, aliphatic, aromatic-aliphatic, heterocyclic or heterocyclic-aliphatic) amines with meta-fluorosalicylaldehyde, in methanol, under assistance of an efficient catalyst (i.e., 1-butyl-3-methylimidazolium bis(trifluoromethylsulfonyl)imide and potassium hydroxide).
All the obtained aldimine-type Schiff bases (713) have been subjected to the assay based on two-fold serial dilutions for estimating their MIC values on Gram-positive (S. aureus ATCC 25930, B. subtilis ATCC 530) as well as Gram-negative (K. pneumoniae ATCC 700603, S. typhi ATCC 25021, P. aeruginosa ATCC 27853, E. coli ATCC 26032) bacteria of clinical interest. As a positive control, an aminoglycoside antibiotic—streptomycin—was employed to confirm the susceptibility of all bacterial strains recruited. The vast majority of fluorinated aldimines have been reported to reveal moderate antibacterial activities in these studies (Table 3). Schiff base 10 (containing the benzo[d]thiazol-2-yl moiety with an electron-donating ethoxy group) was disclosed to be more potent against most of the selected bacteria than remaining fluorinated molecules, revealing strong antibacterial effects against B. subtilis, K. pneumoniae, P. aeruginosa, S. typhi and S. aureus (MIC values superior to that of streptomycin). Simultaneously, aldimine 13 (bearing the 1H-indol-3-ylethyl formation) proved to be 1.9-fold more active against S. aureus than a standard drug. Schiff base 9 (containing the benzyl moiety) exhibited the highest activities against E. coli (comparable to that of streptomycin) and B. subtilis. Aldimine 12 (bearing the 2-thiazolyl moiety) revealed comparable MIC values against E. coli and P. aeruginosa to that of streptomycin. However, Schiff base 7 (containing the naphthyl moiety) was reported to possess the best activity against S. typhi (similar to that of a standard drug) and E. coli. In turn, two aldimines 8 (bearing the 1,3-dihydroxy-2-methylpropan-2-yl moiety) and 11 (containing the benzyloxypyridin-2-yl moiety) were disclosed to be the least antibacterially active molecules [19].
Shi et al. [20] have reported the general synthesis route and results of the in vitro antibacterial examination for a series of fluorinated aldimine-type Schiff bases (1427) (Figure 6). The synthesis of the above-mentioned fluorinated aldimines was performed successfully by condensing the stoichiometric ratios of differently substituted primary amines and 5-fluorosalicylaldehyde, in a methanolic medium, at ambient temperature, without any catalyst assistance.
All the synthesized aldimines 1427 were subjected to the two-fold serial dilution assay in order to determine their in vitro abilities to inhibit the growth of four clinical isolates of bacterial Gram-positive (B. subtilis, S. aureus) and Gram-negative (E. coli, P. fluorescence) strains. As a positive control, the antibiotic kanamycin—possessing a broad-spectrum of antibacterial activity—was employed to confirm the susceptibility of all bacterial strains recruited. MIC values of Schiff bases 1427 (Table 4) were established in the assay MTT-based. Aldimine 19 (bearing the 4-fluorophenol moiety linked via an azomethine linkage in ortho position to the 4-hydroxyphenylethyl moiety) was reported to be the most potent, revealing significant activities against E. coli, S. aureus, P. fluorescence and B. subtilis. Noteworthy is that its activity against E. coli was comparable to that of kanamycin, while against S. aureus and P. fluorescence it was 1.9-fold lower than that of a standard drug. Shi et al. have found that the replacement of a hydrophilic hydroxy group of the phenyl moiety in the most active structure (19) by electron-donating alkyl groups results in a remarkable decrease in antibacterial activity which can be seen in the case of two structures containing the methyl (20) or isopropyl (21) group (with MIC values ranging from 218.1 to >436.2 µM). It has been reported that among all fluorinated aldimines with additional hydrophobic electron-withdrawing halogen substituents attached to the phenyl moiety (2226), two structures: ortho-fluoro- and ortho-chlorosubstituted (25 and 26)—revealing MIC values ranging from 25.0 to 53.6 µM—are more active than their para-fluoro- and para-chlorosubstituted counterparts (22 and 23)—revealing MIC values ranging from 50.1 to 200.3 µM. Furthermore, the antibacterial effects of all the compounds bearing a fluoro substitution (22 and 25) were found to be superior to those containing a chloro substitution (23 and 26). On the other hand, it has been proved that the substitution by cyclopentyl, cyclohexyl and cyclohexylmethyl did not affect the activity since it resulted in synthetic fluorinated aldimines 14, 15 and 16 possessing comparable antibacterial activities (MIC values ranging from 26.6 to 120.6 µM). In turn, the substitution by morpholinoethyl or piperazinoethyl moiety was not favorable for the antibacterial effect as is clearly seen for fluorinated aldimines 17 and 18 with MIC values ranging from 49.7 to 199.0 µM. The most antibacterially active molecule—aldimine 19—when tested by Shi and co-workers in the target enzymatic assay, was identified to be a potent inhibitor (IC50 = 2.7 µM) of the ecKAS III, playing a significant role in fatty acid synthesis pathway in bacteria. Therefore, their results have proved that the presence of an electron-withdrawing and lipophilic fluorine atom at the phenol moiety attached to an azomethine bridge is preferred for the antibacterial activity as well as inhibitory potency towards the ecKAS III. The authors have carried out ligand-docking studies and have shown the most likely binding conformation of compound 19 at the active site of the crystal structure of ecKAS III, suggesting that the enzymatic inhibition mechanism is responsible for its potent antibacterial activity [20].
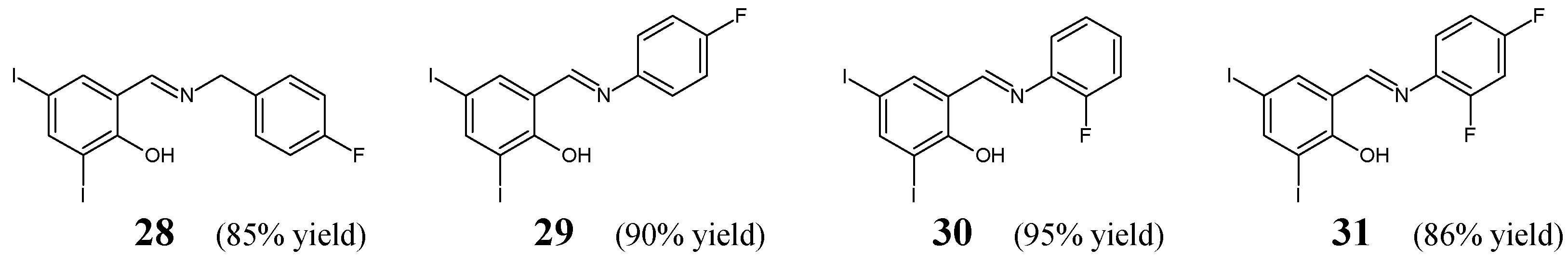
Xu et al. [21] have synthesized and conducted antimicrobial studies on fluorinated aldimine-type Schiff bases (2831) (Figure 7). The synthesis of these aldimines was performed by condensing the stoichiometric ratios of various primary amines (i.e., 4-fluorobenzylamine, 4-fluoroaniline, 2-fluoroaniline or 2,4-difluoroaniline) with 2-hydroxy-3,5-diiodobenzaldehyde, in ethanol as the reaction medium without any catalytic assistance.
The authors have used clinical isolates of three Gram-positive (B. subtilis, S. aureus, S. faecalis) and three Gram-negative (P. aeruginosa, E. coli, E. cloacae) bacterial strains as well as penicillin (benzylpenicillin) and kanamycin as antibacterial agents for comparison purposes. MIC values of Schiff bases 2831 were established in the assay MTT-based. The majority of aldimines revealed strong antibacterial activities against all recruited bacteria (Table 5). MIC values of molecules 2931 against E. cloacae, 2829, 31 against E. coli, 28 against S. faecalis and 31 against B. subtilis proved to be lower or comparable to that of standard drugs. Schiff base 31—bearing the 2,4-difluorophenyl moiety–has been disclosed to be the most potent among the screened compounds [21].
Khungar et al. [22] have synthesized and confirmed the structure of fluorinated Schiff base 32, i.e., 1-[3-(4-{(E)-[(4-fluorophenyl)imino]methyl}-3-hydroxyphenoxy)propyl]-3-methyl-1H-imidazol-3-ium bromide (Figure 8). This aldimine was synthesized by reacting 4-fluoroaniline with the suitable ionic liquid salicylaldehyde derivative (i.e., 1-[3-(4-formyl-3-hydroxyphenoxy)propyl]-3-methyl-1H-imidazol-3-ium bromide) at a molar ratio of 4:3, in boiling ethanol for 4 h.
Schiff base 32 was screened for the in vitro ability to inhibit the growth of six bacterial strains in the assay based on two-fold serial dilutions. For this, two Gram-positive (B. cereus MTCC 430, S. aureus MTCC 96) and four Gram-negative (E. coli MTCC 1652, K. pneumoniae MTCC 432, S. typhimurium MTCC 98, P. putida MTCC 102) bacteria were selected. Unfortunately, this fluorinated aldimine was proven to be weak antibacterially active (revealing no inhibitory effects against all pathogenic bacterial strains recruited—MIC values above 294.7 µM) [22].
Mandewale et al. [23] have reported the procedure for synthesis, and they have carried out the antimycobacterial evaluation of aldimine-type Schiff bases 3337 (Figure 9). These molecules were obtained by reacting equimolar quantities of 4-fluoroaniline, 2-fluoro-3-chloroaniline, 2-(trifluoromethyl)aniline, 3-(trifluoromethyl)aniline or 4-amino-2-(trifluoromethyl)benzonitrile with 6-fluoro-2-hydroxyquinoline-3-carboxaldehyde, under reflux for 0.5 h in ethanol without any catalyst assistance.
Activities of Schiff bases 3337 against M. tuberculosis H37Rv strain were established in the in vitro microplate Alamar Blue assay. Pyrazinamide (a pyrazine derivative), ciprofloxacin (a fluoroquinolone) and streptomycin (an aminoglycoside antibiotic) were used as reference drugs for comparison purposes. The designed aldimines 3337 can be considered promising antimycobacterial agents as they revealed MIC values lower or comparable to that of recruited antimycobacterial agents (Table 6). The most active against M. tuberculosis H37Rv proved to be three molecules: 4-{(E)-[(6-fluoro-2-hydroxyquinolin-3-yl)methylidene]amino}-2-(trifluoromethyl)benzonitrile (37), 6-fluoro-3-{(E)-[(4-fluorophenyl)imino]methyl}quinolin-2-ol (33) and 6-fluoro-3-[(E)-{[2-(trifluoromethyl)phenyl]imino}methyl]quinolin-2-ol (35) [23].
İskeleli et al. [24] have reported the synthesis and structural characterization of 4-[(3-fluoro-4-hydroxy-5-methoxybenzylidene)amino]-1,5-dimethyl-2-phenyl-1,2-dihydro-3H-pyrazol-3-one (38) (Figure 10). This fluorinated aldimine was obtained by refluxing equimolar ratios of 4-amino-1,5-dimethyl-2-phenyl-1,2-dihydro-3H-pyrazol-3-one and 3-fluoro-4-hydroxy-5-methoxybenzaldehyde for 3 h in ethanol as the reaction medium.
The aldimine-type Schiff base 38 was subjected to the bioassay based on two-fold serial dilutions to determine its MIC values against some strains of bacteria: methicillin-sensitive S. aureus ATCC 25923, methicillin-resistant S. aureus ATCC 43300, S. pneumoniae ATTC 49619, E. faecalis ATTC 29212, E. coli ATCC 25922, K. pneumoniae ATCC 700603, P. aeruginosa ATCC 27853, S. maltophiliae ATCC 17666, H. influenzae ATCC 40247, E. casseliflavus ATCC 700327 and Salmonella spp. An aminoglycoside antibiotic—amikacin—was recruited as a standard antibacterial agent. Fluorinated aldimine 38 proved to be antibacterially active against three (S. pneumoniae, H. influenzae and E. faecalis) out of all eleven bacteria selected. In addition, its activity against S. pneumoniae and H. influenzae was higher than that of amikacin (Table 7) [24].
Prakash and Raja [25] have synthesized and confirmed the structure and then conducted antimicrobial studies on fluorinated aldimine-type Schiff bases 3950 (Figure 11) which may be regarded as novel hybrids with fluorinated quinolone ciprofloxacin. All these fluorinated structures may also be considered important Mannich bases due to the presence of the piperazin-1-ylmethyl moiety at the N1 of the indolin-2-one template. The synthesis of these aldimines was carried out by reacting equimolar ratios of 7-{4-(3-[4-aminophenylimino]-5-fluoro-2-oxoindolin-1-yl)methyl)piperazin-1-yl)}-1-cyclopropyl-6-fluoro-4-oxo-1,4-dihydroquinoline-3-carboxylic acid with benzaldehyde, variously substituted benzaldehydes or cinnamylaldehyde, in refluxing ethanol for 8 h, containing a small amount of glacial acetic acid as an efficient catalyst.
To screen the antibacterial activities of particular fluorinated hybrids 3950, that differ in electron-donating and electron-withdrawing substituent/substituents on the phenyl moiety attached to an azomethine function, three Gram-positive (S. aureus ATCC 9144, S. epidermidis ATCC 155, M. luteus ATCC 4698) and three Gram-negative (E. coli ATCC 25922, P. aeruginosa ATCC 2853, K. pneumoniae ATCC 11298) bacterial strains of clinical interest were recruited. To confirm the susceptibility of all bacterial strains a broad-spectrum antibacterial agent—ciprofloxacin—from the class of fluoroquinolones was used. Prakash and Raja have determined the MICs of all the synthesized fluorinated aldimines in the agar streak dilution assay. The majority of them revealed strong to moderate antibacterial activities (Table 8). Compounds containing electron-donating groups (41, 42, 4447, 49) were found to be more active than those bearing electron-withdrawing groups (40, 43, 48). Therefore, the authors have suggested that electron-donating groups are preferred for the antibacterial activities of fluorinated aldimines. Schiff base 47—containing the 3-methoxy-4-hydroxyphenyl moiety—has been disclosed to be the most potent against K. pneumoniae. Its activity against this bacterial strain was 2.2-fold superior to that of ciprofloxacin. Additionally, its MIC values for S. epidermidis, M. luteus, S. aureus and E. coli were comparable to those of a standard drug. Aldimine 41—with the para-hydroxyphenyl moiety—has been reported to demonstrate the highest activity towards S. aureus, P. aeruginosa and E. coli with MIC values 4.2-, 2.1- and 2.1-fold lower, respectively, than those of ciprofloxacin. In addition, its activity against S. epidermidis and M. luteus proved to be similar to that of a standard drug. Schiff base 46—bearing the 3,4,5-trimethoxyphenyl moiety—has been identified to be the most active against S. epidermidis and M. luteus with MIC values 2.4-fold superior than those of ciprofloxacin. Moreover, its activity against S. aureus, P. aeruginosa and E. coli was higher or comparable to that of a standard drug. Aldimine 49—containing the para-dimethylaminophenyl moiety—has been reported to be the most active against P. aeruginosa and M. luteus. Its activity against these two bacterial strains was 2-fold superior to that of ciprofloxacin. Additionally, its MIC values for S. aureus, E. coli and S. epidermidis were lower or comparable to those of a standard drug. However, Schiff base 42—bearing the para-methoxyphenyl moiety—has been disclosed to exhibit 2.2-fold higher activity against S. aureus and E. coli when compared to ciprofloxacin [25].
Durmuş et al. [26] have disclosed a synthesis scheme and preliminary results of the antibacterial evaluation of fluorinated dimeric disulfide Schiff base (51), i.e., (Z,Z)-N,N′-(disulfanediyldibenzene-2,1-diyl)bis[1-(2-fluorophenyl)methanimine] (Figure 12). The synthesis of this molecule was prepared by condensing 2,2′-disulfanediyldianiline with ortho-fluorobenzaldehyde (in molar ratios 1:2), in ethanol containing cerium oxide nanoparticles as an efficient catalyst, according to the general procedure reported earlier [27].
Durmuş research group have employed three Gram-negative bacilli such as K. pneumoniae, E. coli and A. baumannii, and one Gram-positive strain of S. aureus (all bacteria isolated from the hospitalized patients) to assess the antibacterial activities of fluorinated aldimine 51 in the disc diffusion assay. A third-generation cephalosporin, i.e., cefotaxime, and a broad-spectrum aminopenicillin, i.e., amoxicillin (in combination with an irreversible β-lactamase inhibitor—clavulanic acid), were used as antibacterial agents for comparison purposes. This fluorinated Schiff base was reported to reveal superior—to that of cefotaxime—activities against all human pathogenic bacterial strains, and comparable—to that of amoxicillin/clavulanic acid—effects against S. aureus and K. pneumoniae. The authors suggested that the attendance of two electron-withdrawing fluoro groups in an ortho position of both phenyl moieties as well as a very important structural feature, i.e., the reductive disulfide bridge, are necessary for the antibacterial activity of this fluorinated aldimine [26].
Oboňová et al. [28] have designed and synthesized (E,E)-N,N′-cyclohexane-1,2-diylbis[1-(4-fluorophenyl)methanimine (52) (Figure 13) by reacting 1,2-cyclohexanediamine with para-fluorobenzaldehyde (in molar ratios 1:2) in methanol at room temperature for 2 h and allowing the reaction mixture to successful crystallization for several days. This synthesis was relatively straightforward and proceeded without any catalyst assistance. The structure of this fluorinated aldimine-type bis-Schiff base was determined on the basis of spectroscopic and X-ray diffraction data [28].
The aldimine-type Schiff base 52 has been tested against a Gram-negative bacterial strain of E. coli CNCTC 377/79 and a Gram-positive bacterial strain of S. aureus CNCTC Mau 29/58 in the broth dilution assay. The most potent antibacterial agent among fluoroquinolones—ciprofloxacin—was chosen as a positive control. Fluorinated aldimine 52 revealed the same MIC value of 5706.3 µM against both bacteria. The authors suggested that the weak antibacterial activity of this compound is due to its rigid scaffold. Such a rigid structure containing two double CH=N bonds was most likely not flexible enough to enable interactions with the active sites of enzymes [28].
Zhang et al. [29] have reported the synthesis scheme, structure determination and results of in vitro antibacterial studies for two fluorinated aldimine-type Schiff bases—53 and 54 (Figure 14)—containing in their structures the moiety of 1-phenyl-3-phenylthiourea linked via an azomethine bridge to the 4-fluorophenyl or 2-fluorophenyl moiety, respectively. The synthesis of these aldimines was achieved successfully by condensing the stoichiometric ratios of 1-(4-aminophenyl)-3-phenylthiourea and 4-fluorobenzaldehyde or 2-fluorobenzaldehyde for 3–4 h at 80 °C in toluene containing PTSA as an efficient catalyst.
Zhang and co-workers have employed S. aureus ATCC 6538 and B. subtilis ATCC 6633 as Gram-positive bacterial strains, whereas E. coli ATCC 35218 and P. aeruginosa ATCC 13525 as Gram-negative bacterial strains to assess the antibacterial activities of fluorinated aldimines 53 and 54 in the two-fold serial dilution assay. As a positive control, two antibiotics such as penicillin G (benzylpenicillin) and kanamycin B (an aminoglycoside antibiotic), were employed in order to confirm the susceptibility of all bacterial strains recruited. The aldimine-type Schiff base 53, having the fluoro group at para position of the phenyl moiety, was reported to be moderately active against all pathogens selected (Table 9). This molecule revealed the highest activity against S. aureus, although its potency was found to be 3.8- and 11.2-fold lower than that of penicillin G and kanamycin B. However, the ortho-fluoro substituted aldimine 54 proved to be antibacterially inactive even at a concentration of 286.2 µM. Thus, the results of these antibacterial studies clearly indicated that the substitution by a fluorine atom at the para position of the phenyl moiety is more favorable for the antibacterial effect [29].
Aggarwal et al. [30] have synthesized, confirmed the structure and then performed antimicrobial examination on two fluorinated aldimine-type Schiff bases—structures 55 and 56 (Figure 15)—which have in their molecular framework the privileged 4H-1,2,4-triazole-5-thiol scaffold linked via an azomethine bridge to the aromatic benzene ring bearing the 4-fluoro or 4-trifluoromethyl group, respectively. Molecules 55 and 56 were prepared by reacting 3-(4-amino-5-sulfanyl-4H-1,2,4-triazol-3-yl)-1-ethyl-7-methyl-1,8-naphthyridin-4(1H)-one with a molar excess of 4-fluorobenzaldehyde or 4-trifluoromethylbenzaldehyde, respectively, in boiling dioxane, with efficient catalytic assistance of a small amount of concentrated sulfuric acid.
Aldimine-type Schiff bases 55 and 56 were tested in the assay based on two-fold serial dilutions to estimate their in vitro abilities to inhibit the growth of two Gram-positive (S. aureus ATCC 2937, B. subtilis ATCC 12711) and three Gram-negative (E. coli ATCC 8739, K. pneumoniae ATCC 31488, P. aeruginosa ATCC 9027) bacterial strains of clinical interest. As a positive control, an aminoglycoside antibiotic streptomycin and a fluoroquinolone ciprofloxacin were employed to confirm the susceptibility of all bacterial strains used. The relatively high MIC values of fluorinated aldimines 55 and 56 against the majority of bacterial strains were reported in the studies of Aggarwal and co-workers (Table 10), confirming a low susceptibility of most pathogenic bacteria to both compounds. Notwithstanding, aldimine 55, with the fluoro substitution in para position of the phenyl moiety, proved to be 3.5-fold more active against P. aeruginosa than that containing the para-trifluoromethyl substitution (56), revealing a MIC value of 39.2 µM. Simultaneously, its activity was found to be 5.7- and 10.3-fold lower than that of streptomycin and ciprofloxacin, respectively. In turn, the fluorinated aldimine 56 was found to be 2.2-fold more active than 55 against K. pneumoniae [30].
Malladi et al. [31] have synthesized, confirmed the structure and investigated the antibacterial activities of fluorinated aldimine-type Schiff bases 5759 (Figure 16). These hybrid molecules contain in their molecular framework the privileged 4H-1,2,4-triazole-3-thiol template linked via an azomethine bridge to the pyrrazole scaffold bearing the 4-fluorophenyl at C3. The synthesis of these fluorinated aldimines was achieved successfully by condensing equimolar ratios of 4-amino-4H-1,2,4-triazole-3-thiol (unsubstituted or substituted by one alkyl group such as the ethyl or propyl at position 5) with 3-(4-fluorophenyl)-1H-pyrrazole-4-carboxaldehyde, in a two-component solvent medium (containing ethanol and dioxane), under reflux with the catalytic assistance of a small amount of concentrated sulfuric acid.
The authors have used clinical isolates of two Gram-positive (S. aureus, B. subtilis) and two Gram-negative (E. coli, P. aeruginosa) bacterial strains as well as antibiotic ceftriaxone from third-generation cephalosporins as a positive control to assess the antibacterial activities of aldimines 5759. All fluorinated Schiff bases were reported to reveal significant antibacterial potencies against bacterial strains of S. aureus, B. subtilis, E. coli and P. aeruginosa with MIC values ranging from 5.1 to 43.4 µM (Table 11) when tested in the assay based on two-fold serial dilutions. Fluorinated aldimine 57 (with the ethyl substitution at position 5 of 1,2,4-triazole ring) has been identified as the most effective against all the selected bacteria. Nevertheless, its MIC values against S. aureus, B. subtilis, E. coli and P. aeruginosa proved to be about 1.8-fold higher than that of ceftriaxone [31].
Zhang et al. [32] have designed and synthesized three fluorinated aldimine-type Schiff bases (structures 6062) (Figure 17) bearing the 5-(2-pyrazinyl)-4H-1,2,4-triazole-3-thiol template linked via an azomethine bridge to the benzene ring containing a fluorine atom in various positions. The synthesis of compounds 6062 was performed by reacting the starting 4-amino-5-(pyrazin-2-yl)-4H-1,2,4-triazole-3-thiol with para-fluorobenzaldehyde, ortho-fluorobenzaldehyde or meta-fluorobenzaldehyde, respectively, in an ethanolic medium containing a small amount of acetic acid as an efficient catalyst.
To evaluate antibacterial activities of Schiff bases 6062, the authors used three Gram-positive (S. aureus, B. subtilis, B. amyloliquefaciens) and two Gram-negative (E. coli, P. aeruginosa) bacterial strains of clinical interest as well as an antibiotic kanamycin B. MIC values of three fluorinated aldimines—established in the assay based on two-fold serial dilutions—ranged from 83.2 to above 166.5 µM (Table 12). All Schiff bases revealed the highest—although lower than that of kanamycin B—activity against E. coli. Zhang and co-workers have disclosed that the ortho-fluorophenyl group in this class of aldimines is a preferred substituent. Schiff base 61 with that substituent proved to be more active against P. aeruginosa than its para- and meta-fluorinated counterparts (60 and 62). The para-and ortho-fluorinated aldimine structures (60 and 61) were also reported to be more active against B. subtilis than their meta-fluorinated congener (62). In turn, all fluorinated Schiff bases (6062) were found to be equally effective against S. aureus and B. amyloliquefaciens [32].
Alshammari et al. [33] have synthesized and antibacterially screened fluorinated aldimine-type Schiff bases 6367 (Figure 18). These compounds were obtained by condensing equimolar ratios of 4-amino-3-sulfanyl-6-(trifluoromethyl)-1,2,4-triazin-5(4H)-one with various aromatic aldehydes (i.e., 4-fluorobenzaldehyde, 4-chlorobenzaldehyde, 4-bromobenzaldehyde, 4-nitrobenzaldehyde or 4-(trifluoromethyl)benzaldehyde) in boiling ethanol containing a catalytic amount of sulfuric acid.
Aldimines 6367 have been evaluated for their antibacterial activity against two Gram-negative (E. coli ATCC 25955, S. typhi) and two Gram-positive (S. aureus NRRL B-767, B. subtilis ATCC 6633) bacterial strains. Ciprofloxacin (a fluoroquinolone) was used as a standard drug. Among all fluorinated Schiff bases, the para-fluorophenyl-substituted aldimine (63) was found to be the most potent against E.coli, S. aureus and B. subtilis (Table 13) [33].

3. Fluorinated Ketimine-Type Schiff Bases

Chai et al. [34] have synthesized, confirmed the structure and then carried out antimicrobial studies on a series of ketimine-type Schiff bases (6879) (Figure 19) related to gatifloxacin—a drug that belongs to the family of fluorinated quinolones. They may be regarded as novel imine hybrids with gatifloxacin. Ketimines 6875 and 7679 were obtained by refluxing for 3–4 h variable substituted amine hydrochlorides (in a molar excess) with 1-cyclopropyl-6-fluoro-8-methoxy-7-[4-(2-oxopropyl)-3-methylpiperazin-1-yl]-4-oxo-1,4-dihydroquinoline-3-carboxylic acid or 1-cyclopropyl-6-fluoro-8-methoxy-7-[4-(3-oxobutyl)-3-methylpiperazin-1-yl]-4-oxo-1,4-dihydroquinoline-3-carboxylic acid, respectively, in methanol containing an aqueous solution of sodium bicarbonate.
Chai et al. have selected Gram-positive (S. aureus ATCC 25923, methicillin-resistant S. aureus 08-1, methicillin-sensitive S. aureus 08-1, methicillin-resistant S. epidermidis 09-4, methicillin-sensitive S. epidermidis 09-3, methicillin-sensitive S. epidermidis 09-6, S. pneumoniae 08-2, S. pneumoniae 08-4, E. faecium 08-2, E. faecium 08-7, E. faecalis 08-10, E. faecalis 08-12) and Gram-negative (E. coli ATCC 25922, E. coli 08-21, E. coli 08-22, K. pneumoniae 09-22, K. pneumoniae 09-23, P. aeruginosa ATCC 27853, P. aeruginosa 09-32, P. aeruginosa 09-33, P. aeruginosa 09-34) bacterial strains of clinical interest that are susceptible or resistant to commonly used antibacterial agents to study antibacterial activities of all the synthesized fluorinated ketimines (6879) in the assay based on two-fold serial dilutions. Gatifloxacin and levofloxacin (belonging to fluorinated quinolones) were employed as drugs for comparison purposes. It has been disclosed that the substitution at the C7 is a decisive factor for antibacterial activity in this class of compounds and that the vast majority of fluorinated ketimine structures exhibit high antibacterial potencies (Table 14). Fluorinated ketimine-type Schiff base 79 was identified as a possible antibacterial agent with a broad spectrum of activity. This molecule proved to be the most potent among all fluorinated ketimines, revealing MIC values ranging from 0.1 µM to 1.9 µM. In addition, its antibacterial activity against all the recruited strains was found to be superior to that of gatifloxacin and/or levofloxacin. Schiff base 73 also proved to be more active against the vast majority of bacteria than standard drugs. S. aureus, S. epidermidis and their methicillin-resistant strains were reported to be the most susceptible to fluorinated ketimines 6971, 73, 74 and 79, revealing MIC values ranging from 0.1 µM to 0.6 µM. In turn, some Gram-negative strains of bacteria were found to be the most susceptible to compounds 7173, 78 and 79. In addition, in cytotoxicity studies reported by the authors, gatifloxacin-derived Schiff base 71 was found to be the least toxic (IC50 = 1450.4 µM) among all other ketimines (having IC50 values ranging from 21.2 to 933.5 µM) towards mammalian Vero cells of the epithelial origin, indicating its high selectivity for bacterial cells [34].
Malhotra et al. [35] have reported the synthesis and results of the antimicrobial examination for a series of fluorinated ketimine-type Schiff bases 8082 (Figure 20) bearing the privileged scaffold of 2,3-dihydro-1,3,4-oxadiazole. The synthesis of the above ketimines was carried out by reacting the stoichiometric ratios of the primary aromatic amine, such as ortho-fluoroaniline, meta-fluoroaniline or para-fluoroaniline, and ketone, i.e., 1-[5-(biphenyl-4-yl)-2-(2-hydroxyphenyl)-1,3,4-oxadiazol-3(2H)-yl]ethanone, for 9–11 h in refluxing anhydrous ethanol, containing a small amount of glacial acetic acid as an efficient catalyst.
The authors have recruited two Gram-positive (B. subtilis MTCC 96, S. aureus MTCC 121) and two Gram-negative (P. aeruginosa MTCC 2453, E. coli MTCC 40) bacterial strains of clinical interest to investigate antibacterial activities of ketimines 8082 in the assay based on two-fold serial dilutions. Ciprofloxacin was used as an antibacterial agent. The MIC and MBC (minimum bactericidal concentration) values of Schiff bases 8082—which differ in the position of fluorine substitution (ortho, meta and para) at the phenyl moiety—against all the recruited bacterial strains are listed in Table 15. Results revealed that fluorinated ketimines possess MIC values ranging from 27.7 to 110.7 µM and MBC values ranging from 55.4 to 221.4 µM. It has been shown that structure 80, bearing the ortho-fluorophenyl moiety, reveals the highest antibacterial activities, although lower than those of ciprofloxacin. Furthermore, it has been established that molecule with the para-fluorophenyl moiety (82) is more antibacterially active than that with the meta-fluorophenyl moiety (81) [35].
Haj Mohammad Ebrahim Tehrani et al. [36] have described the antibacterial evaluation of fluorinated ketimine-type Schiff bases 8388 (Figure 21) obtained by a condensation/dehydration reaction of 1-aminohydantoin, semicarbazide or thiosemicarbazide and variously substituted isatines (stoichiometric amounts). The synthetic process has been carried out in refluxing ethanol for 5 h, with the assistance of small amount of glacial acetic acid as an efficient catalyst. The obtained fluorinated compounds possess in their molecular framework the privileged 2-oxo-1,2-dihydro-3H-indole template linked via an azomethine bridge to the important pharmacophoric moieties.
The authors have recruited three Gram-positive (S. aureus ATCC 25923, methicillin-resistant S. aureus ATCC 43300, E. faecalis ATCC 29212) and two Gram-negative (P. aeruginosa ATCC 27853, E. coli ATCC 25922) bacterial strains of clinical interest to investigate antibacterial activities of fluorinated ketimines 8388 in the assay based on two-fold serial dilutions. As a positive control, a broad-spectrum antibiotic—amikacin—was included to confirm the susceptibility of all bacterial strains used. Haj Mohammad Ebrahim Tehrani et al. have reported that the antibacterial activity of the synthesized small molecules is dependent on their lipophilicity, and the most active compounds reveal Clog p values ranging from 0.72 to 2.27. It has been disclosed that enhanced antibacterial activity is achieved by introducing at N1 the phenylmethyl moiety fluorinated in ortho, meta or para position. Three 1,2-dihydro-3H-indolin-2-one-hydantoin hybrids (83, 84 and 85) have been identified to be the most promising molecules that might find utility in the future as possible antibacterial agents after further lead optimization studies. Their MIC values against E. coli, S. aureus and methicillin-resistant S. aureus were 1.5 or 3.0-fold lower than those of amikacin (Table 16). In turn, it has been proved that replacing the fluorinated phenylmethyl moiety with a hydrogen atom and introducing a fluorine atom into the position C5 of 1,2-dihydro-3H-indolin-2-one template is disadvantageous, leading to a less antibacterially active fluorinated molecule 86. The authors have also disclosed that fluorinated isatin-based thiosemicarbazone (88) is more active than fluorinated isatin-based semicarbazone (87) [36].
Hassan et al. [37] have described the general synthetic approach leading to thiosemicarbazones with the privileged template of 2-oxo-1,2-dihydro-3H-indole. The synthesis of these fluorinated ketimine-type Schiff bases (8991) (Figure 22) was carried out by condensing equimolar ratios of thiosemicarbazide with 1-(2-fluorobenzyl)-1H-indole-2,3-dione, 1-(3-fluorobenzyl)-1H-indole-2,3-dione or 1-(4-fluorobenzyl)-1H-indole-2,3-dione, respectively, for 6 h in refluxing ethanol containing a catalytic amount of glacial acetic acid.
A number of bacterial strains of clinical interest (S. aureus PTCC 1337, S. epidermidis PTCC 1435, B. cereus PTCC 1015, E. coli PTCC 1330, P. aeruginosa PTCC 1310, E. faecalis PTCC 13294, methicillin-resistant S. aureus, Salmonella spp.) were used in the microbroth assay based on two-fold serial dilutions to investigate antibacterial activities (expressed as MICs and MBCs—Table 17) of ketimines 8991. As positive controls, two broad-spectrum antibiotics, such as amikacin (a semisynthetic kanamycin derivative) and teicoplanin (a bactericidal glycopeptide), were employed to confirm the susceptibility of all bacterial strains recruited. Hassan et al. have reported that all fluorinated ketimine-type Schiff bases (8991), bearing an electron-withdrawing and lipophilic fluoro group in ortho, meta or para position of the phenylmethyl moiety, are able to inhibit the growth of all recruited bacterial strains (including opportunistic strains of Salmonella spp. and P. aeruginosa) at MICs ranging from 152.3 µM to 243.6 µM. In addition, these fluorinated thiosemicarbazones have been shown to be bactericidal against most bacterial strains at a concentration of 243.6 µM. Interestingly, all the compounds—although different in having the fluorine atom in ortho, meta or para position at the benzyl moiety—showed the same antibacterial activities against Gram-positive and Gram-negative bacterial strains, suggesting that this activity is due to electron-withdrawing properties of the fluorine atom, and not its position [37].

4. Fluorinated Hydrazine-Hydrazones

Shirinzadeh et al. [38] have published a report in which they performed the antibacterial evaluation of six fluorinated hydrazine-hydrazones with the indole scaffold (9297) (Figure 23). These compounds were obtained by condensing 1-methylindole-3-carboxaldehyde with a small molar excess of para-fluorophenylhydrazine, meta-fluorophenylhydrazine, ortho-fluorophenylhydrazine, 2,4-difluorophenylhydrazine, 2,5-difluorophenylhydrazine or 3,5-difluorophenylhydrazine, in ethanol containing sodium acetate as a catalyst [39].
The authors have used four Gram-positive (S. aureus ATCC 25923, methicillin-resistant S. aureus ATCC 43300, methicillin-resistant S. aureus isolate, B. subtilis ATCC 6633) and one Gram-negative (E. coli 23556) bacterial strains to determine antibacterial activities of the designed hydrazones 9297. For this, the biological assay based on two-fold serial dilutions was performed, in which sultamicillin, ampicillin (aminopenicillins) and ciprofloxacin (a fluoroquinolone) were used as positive controls. Among all the molecules tested only two fluorinated hydrazones: 3-{(E)-[2-(2,4-difluorophenyl)hydrazinylidene]methyl}-1-methyl-1H-indole (95) and 3-{(E)-[2-(4-fluorophenyl)hydrazinylidene]methyl}-1-methyl-1H-indole (92) proved to be more active than ampicillin against B. subtilis (Table 18) [38].
Maddila et al. [40] have synthesized and antibacterially investigated fluorinated hydrazine-hydrazone 98 (Figure 24) bearing the privileged pyrido[2,3-d]pyrimidin-4(3H)-one template. The synthesis of this hydrazone was carried out in a straightforward manner, by reacting heterocyclic hydrazine (i.e., 5-amino-6-(1,3-benzothiazol-2-yl)-7-(4-chlorophenyl)-2-hydrazinylpyrido[2,3-d]pyrimidin-4(3H)-one) with 4-fluorobenzaldehyde in molar ratios 1:3, at ambient temperature for 10 h without any catalyst assistance, employing N,N-dimethylformamide as the reaction medium.
The authors have recruited two Gram-positive (S. aureus, S. pyogenes) and three Gram-negative (E. coli, K. pneumoniae, P. aeruginosa) bacterial strains of clinical interest to determine the antibacterial activities of hydrazone 98. For this, the biological assay based on two-fold serial dilutions was carried out. In turn, ciprofloxacin was used as a positive control. Fluorinated hydrazone 98 was reported to reveal remarkable potencies against all Gram-positive as well as Gram-negative bacteria (Table 19). Its activity against S. aureus and K. pneumoniae was 3.3-fold superior to that of ciprofloxacin, while against S. pyogenes, E. coli and P. aeruginosa it was 1.6-fold better when compared to this standard drug. Therefore, this molecule was proposed as a possible antibacterial agent [40].
Hamurcu et al. [41]—by reacting equimolar ratios of 3,5-di-tert-butyl-2-hydroxybenzaldehyde and (pentafluorophenyl)hydrazine in ethanol at room temperature in the presence of catalytic amount of magnesium sulfate—have synthesized new fluorinated hydrazine-hydrazone, i.e., 3,5-di-tert-butyl-6-[2-(pentafluorophenyl)hydrazinylidene]metyl}phenol as a mixture of E:Z enantiomers (99 E and 99 Z) (Figure 25). Based on integral intensities of signals corresponding to the proton of the OH group in 500 MHz PMR spectrum, the E:Z enantiomer ratios in solution were established as 88:12. Additionally, the synthesized molecule was characterized by FTIR, 13C NMR, 19F NMR and X-ray diffraction data [41].
The authors’ original paper has included information that this molecule was tested against pathogenic bacterial strains of E. coli and S. aureus in the broth microdilution method. However, there is a lack of a full description of these bacterial strains. Compound 99 revealed only weak antibacterial activity towards E. coli and S. aureus as its determined MIC values against these bacterial strains were found to be higher than 603.3 µM [41].
Dommati et al. [42] have synthesized fluorinated hydrazine-hydrazone 100 (Figure 26), by condensing equimolar ratios of 2-{2-[(4-fluorophenyl)sulfanyl]ethoxy}-5-[(E)-hydrazinylidenemethyl]-3-methoxybenzonitrile and 2,5-difluorobenzaldehyde in ethanol under reflux for 1 h without any catalyst assistance. The authors have recorded duplication of signals in the 400 MHz 1H NMR spectrum for this compound, giving proof that this hydrazone exists as a mixture of anti- and syn-periplanar conformers.
The antibacterial activity of hydrazone 100 towards Gram-negative (E. coli MTCC 2692, P. aeruginosa MTCC 2453) and Gram-positive (S. aureus MTCC 902, B. subtilis MTCC 441) bacteria has been determined in the disc-diffusion method, employing streptomycin (an aminoglycoside antibiotic) as a standard drug. Unfortunately, this fluorinated hydrazone was capable of revealing only moderate antibacterial activity against bacterial strains recruited when compared to that of streptomycin [42].
Celik et al. [43] have reported the antibacterial studies of four fluorinated hydrazine-hydrazones (101104) (Figure 27) that have been previously synthesized. Compounds 101 and 102 were obtained by condensing quinoline-2-carbaldehyde with a small molar excess of 2-fluorophenylhydrazine or 4-fluorophenylhydrazine in boiling ethanol for 8 h [44], whereas molecules 103 and 104 were synthesized by reacting quinoline-2-carbaldehyde with a molar excess of 2,4-difluorophenylhydrazine or 2,5-difluorophenylhydrazine in refluxing ethanol containing sodium acetate as an efficient catalyst [45].
The authors have employed S. aureus ATCC 29213, S. aureus isolate, E. faecalis ATCC 29212 and E. faecalis isolate as Gram-positive bacteria and E. coli ATCC 25922, E. coli isolate, P. aeruginosa ATCC 27853 and P. aeruginosa isolate as Gram-negative bacteria to investigate the antibacterial activity of fluorinated hydrazones 101104 in the microbroth assay based on two-fold serial dilutions. Ampicillin (an aminopenicillin), vancomycin (a glycopeptide), gentamycin (an aminoglycoside), ciprofloxacin (a fluoroquinolone) and cefotaxime (a second-generation cephalosporin) were used as positive controls to confirm the susceptibility of all bacterial strains recruited. Among all the screened hydrazones, compound 104—bearing the 2,5-difluorophenyl substitution—was found to be the most active, revealing a MIC value against E. faecalis ATCC 29212 that was superior or comparable to most antibiotics recruited (Table 20) [43].

5. Fluorinated Hydrazide-Hydrazones

Popiołek et al. [46] have synthesized fluorinated hydrazide-hydrazones 105107 (Figure 28) by reacting 5-nitrofuran-2-carboxylic acid hydrazide with a small molar excess of ortho-fluorobenzaldehyde, meta-fluorobenzaldehyde or para-fluorobenzaldehyde, respectively, in ethanol for 2 h without any catalyst assistance.
Seven Gram-positive (S. aureus ATCC 25923, S. aureus ATCC 6538, S. aureus ATCC 43300, S. epidermidis ATCC 12228, M. luteus ATCC 10240, B. subtilis ATCC 6633, B. cereus ATCC 10876) and six Gram-negative (B. bronchiseptica ATCC 4617, K. pneumoniae ATCC 13883, P. mirabilis ATCC 12453, S. typhimurium ATCC 14028, E. coli ATCC 25922, P. aeruginosa ATCC 9027) bacterial strains have been recruited by the authors to determine—in the assay based on two-fold serial dilutions—antibacterial activities of the synthesized hydrazones 105107. Four antimicrobial agents—such as ciprofloxacin (a fluoroquinolone), cefuroxime (a second-generation cephalosporin), ampicillin (an aminopenicillin) and nitrofurantoin (a derivative of 5-nitrofurfural)—were used as standard drugs. All the designed fluorinated hydrazones proved to be more active against Gram-positive S. aureus ATCC 6538, S. epidermidis ATCC 12228 and B. subtilis ATCC 6633 than nitrofurantoin, while against B. subtilis ATCC 6633 also than cefuroxime and ampicillin. Additionally, compounds 105 and 106 revealed better activity against S. aureus ATCC 43300 than that of nitrofurantoin (Table 21) [46].
Li et al. [47] have reported the design, synthesis scheme and results of in vitro antibacterial studies for a series of fluorinated hydrazide-hydrazones (structures 108111) (Figure 29). They may also be regarded as derivatives of the drug secnidazole, revealing antibacterial and antiprotozoal activities and belonging to the common family of 5-nitroimidazoles. The synthesis of these fluorinated small molecules was performed by reacting stoichiometric ratios of the starting 2-(2-methyl-5-nitro-1H-imidazol-1-yl)acetohydrazide with benzaldehyde fluorinated in different position/positions, in methanol (as the reaction medium) without any catalytic assistance, on ice bath for 3–6 h.
Two Gram-positive (S. aureus ATCC 6538, B. subtilis ATCC 530) and two Gram-negative (E. coli ATCC 25922, P. aeruginosa ATCC 27853) bacterial strains of clinical interest have been selected in order to determine—in the assay based on two-fold serial dilutions—antibacterial activities of all fluorinated hydrazones (108111). An aminoglycoside antibiotic, kanamycin B, was employed as a positive control to confirm the susceptibility of all bacterial strains. Hydrazone 111, containing the 2,4-difluoro substitution at the phenyl moiety, was reported to reveal the highest activity against S. aureus. However, comparing the results of preliminary antibacterial screenings carried out on particular hydrazones (108, 109 and 110) with the substitution by one fluoro group at the phenyl moiety in para, meta and ortho positions, respectively, it is clearly seen that a meta-fluoro substitution in this class of molecules is necessary for the antibacterial activity against all bacterial strains. It has been confirmed for fluorinated hydrazone 109, which was reported to be the most active against S. aureus and B. subtilis (Table 22). Even the least active fluorinated hydrazones (108 and 110) were reported by Li and co-workers to reveal the IC50 values of 58.3 and 47.5 µM, respectively, when tested as ligands in the target enzymatic assay for their inhibitory activities against the ecKAS III [47].
Kumar et al. [48] have prepared fluorinated hydrazide-hydrazones 112 and 113 (Figure 30) containing the privileged scaffold of 1H-benzo[d]imidazole via the condensation reaction of 1-propyl-2-(2,4-dichlorophenyl)-1H-benzo[d]imidazol-5-ylcarbohydrazide with 2-fluorobenzaldehyde or 4-fluorobenzaldehyde, respectively, in ethanol, in the presence of small amount of glacial acetic acid as an efficient catalyst.
Two Gram-positive (S. aureus MTCC 3160, B. subtilis MTCC 441) and two Gram-negative (E. coli MTCC 4351, K. pneumoniae MTCC 3384) bacterial strains of clinical interest have been recruited to determine antibacterial activities of hydrazones 112 and 113 in the bioassay based on two-fold serial dilutions. Ampicillin has been used as a standard antibacterial agent. Both fluorinated compounds were capable of revealing lower activities against S. aureus, B. subtilis, E. coli and K. pneumoniae than ampicillin (Table 23). The most antibacterially active was found to be hydrazone 113 with a fluorine atom at position 4 of the phenyl moiety which proved to be two-fold more active against S. aureus and K. pneumoniae than hydrazone 112 with a fluorine atom at position 2, suggesting that in this case fluorine substitution in the para position of the phenyl is preferred [48].
Yadav et al. [49] have designed and synthesized fluorinated hydrazone 114, i.e., 2-(1H-benzimidazol-2-ylsulfanyl)-N′-[(E)-(4-fluorophenyl)methylidene]acetohydrazide (Figure 31), by refluxing equimolar ratios of 2-(1H-benzimidazol-2-ylsulfanyl)acetohydrazide with 4-fluorobenzaldehyde in ethanol, in the presence of small amount of glacial acetic acid as a catalyst.
The authors have recruited three reference bacterial strains (E. coli MTCC 1652, B. subtilis MTCC 2063 and S. aureus MTCC 2901) and one reference strain of M. tuberculosis H37Rv to determine antibacterial activities of fluorinated hydrazone 114. Standard drugs—cefadroxil (a first-generation cephalosporin) and streptomycin (an aminoglycoside antibiotic)—have been used. This compound proved to be 9-fold more potent than cefadroxil against E. coli, B. subtilis and S. aureus. On the other hand, hydrazone 114 was capable of revealing 2.1-fold lower antitubercular activity than streptomycin against M. tuberculosis (Table 24) [49].
Manikandan et al. [50] have synthesized N′-[(Z)-(4-fluorophenyl)methylidene]benzohydrazide 115 (Figure 32), by stirring equimolar ratios of benzohydrazide with 4-fluorophenylbenzaldehyde, at ambient temperature for 0.5 h, in anhydrous ethanol, in the presence of sodium hydroxide.
Ince et al. [51] have conducted antibacterial studies on fluorinated hydrazide-hydrazones 116122 derived from para-hydroxybenzoic acid hydrazide (Figure 33). These compounds were synthesized by condensing equimolar quantities of substituted aromatic aldehydes (i.e., 4-fluoro-3-(trifluoromethyl)benzaldehyde, 2-(trifluoromethoxy)benzaldehyde, 3-(trifluoromethoxy)benzaldehyde, 4-fluoro-3-methoxybenzaldehyde, 4-(trifluoromethoxy)benzaldehyde, 3,5-bis(trifluoromethoxy)benzaldehyde or 4-fluoro-3-phenoxybenzaldehyde) with this hydrazide in ethanol containing a catalytic amount of glacial acetic acid [52].
All fluorinated hydrazones (116122) have been screened in the assay MTT-based for their antibacterial activity against S. aureus (ATCC 29213, as well as the clinical isolate) and E. coli (ATCC 25922, as well as the clinical isolate). For comparison purposes, ampicillin, gentamicin and vancomycin were used as standard antibiotics. Among the studied molecules, only hydrazone 121 revealed significant inhibition of S. aureus ATCC 29213 strain, and its activity was comparable (MIC = 5.3 µM) to that of ampicillin (MIC = 5.1 µM). MIC values of the remaining compounds against bacterial strains recruited ranged from 197.4 to 888.1 µM [51]. Based on this, it can be assumed that the substitution of the phenyl moiety with two meta-trifluoromethyl groups in 121 was responsible for the potent activity of this promising antibacterial molecule candidate.
Wang et al. [53] have designed, synthesized and investigated fluorinated hydrazide-hydrazones 123125 (Figure 34) derived from vanillic acid carbohydrazide. The synthesis of the above-mentioned hydrazones was successfully performed by condensing equimolar ratios of the starting 4-hydroxy-3-methoxybenzohydrazide with para-fluorobenzaldehyde, meta-fluorobenzaldehyde or ortho-fluorobenzaldehyde, in ethanol containing a small amount of glacial acetic acid as a catalyst.
Wang et al. have recruited two Gram-positive (S. aureus ATTC 6538, B. subtilis ATCC 530) and two Gram-negative (E. coli ATCC 25922, P. aeruginosa ATCC 27853) strains of bacteria to study antibacterial activities of fluorinated hydrazones 123125 in the assay based on two-fold serial dilutions. Kanamycin B has been mentioned to be a positive control. Results of these studies revealed that the substitution by a fluorine atom in the meta position of the phenyl moiety in this class of compounds is the most profitable for the antibacterial activity. Therefore, fluorinated hydrazone 124, revealing MIC values ranging from 43.4 to 86.7 µM (Table 25), proved to be distinctly more active than its para and ortho counterparts. Furthermore, it was confirmed that the substitution by a fluorine atom in the para position (structure 123) is more profitable than the substitution by a fluorine atom in the ortho position (molecule 125). Two bacterial strains such as P. aeruginosa and B. subtilis were found to be more susceptible to compound 123 and less susceptible to molecule 125 [53].
Rambabu et al. [54] have synthesized fluorinated hydrazide-hydrazones 126 and 127 (Figure 35) by condensing equimolar quantities of 2-hydroxy-6-pentadecylbenzoylhydrazide with 4-fluorobenzaldehyde or 4-(trifluoromethoxy)benzaldehyde, respectively, in ethanol under reflux for 0.5 h.
The antibacterial activity of hydrazones 126 and 127 towards Gram-negative (P. aeruginosa MTCC 424, E. coli MTCC 443) and Gram-positive (S. aureus MTCC 96, S. pyogenes MTCC 442) bacterial strains has been established at concentrations of 53.4, 106.7, 213.4 and 533.5 μM for 126 and at concentrations of 46.8, 93.5, 187.0 and 467.6 μM for 127, in the disc-diffusion method, employing ampicillin as a standard antibiotic. Hydrazone 127—with the para-(trifluoromethoxy)phenyl group—was found to be more antibacterially active than 126—with the para-fluorophenyl moiety. The activity of both compounds at the highest concentration proved to be similar to that of ampicillin at a concentration of 715.5 μM [54].
Kratky et al. [55] have designed and synthesized fluorinated hydrazide-hydrazones 128134 (Figure 36), by condensing 4-(trifluoromethyl)benzohydrazide with 4-chlorobenzaldehyde, 3-chlorobenzaldehyde, 4-hydroxybenzaldehyde, 3-hydroxybenzaldehyde, 2-hydroxybenzaldehyde, 2-hydroxy-5-chlorobenzaldehyde or 4-nitrobenzaldehyde, respectively. Moreover, the authors have obtained fluorinated hydrazide-hydrazones 135138 (Figure 36) by reacting 4-(trifluoromethyl)benzohydrazide in a slight molar excess with propan-2-one, cyclopentanone, cyclohexanone or camphor, respectively, in methanol under reflux for 2 h, using a catalytic amount of concentrated sulfuric acid.
All these hydrazones (128138) have been screened for their antimycobacterial activity against clinical isolates of M. tuberculosis 331/88, M. avium 330/88, M. kansasii 235/80 and M. kansasii 6509/96. Additionally, hydrazones 128134 have been tested for their antibacterial activity against some Gram-positive (S. aureus CCM 4516/08, methicillin-resistant S. aureus H 5996/08, S. epidermidis H 6966/08, E. faecalis J 14365/08) and Gram-negative (E. coli CCM 4517, K. pneumoniae D 11750/08, K. pneumoniae J 14368/08, P. aeruginosa CCM 1961) strains. Isoniazid (an antimycobacterial agent) and bacitracin (a cyclic peptide antibiotic) were used as standard drugs. The majority of fluorinated hydrazones were found to be more active against M. kansasii 235/80 (128134) and M. avium 330/88 (128, 129, 131133) than isoniazid, and also against E. coli (128, 130, 132, 133) than bacitracin (Table 26 and Table 27). Exclusively hydrazone 138 (i.e., 4-(trifluoromethyl)-N′-[(2E)-3,7,7-trimethylbicyclo[2.2.1]hept-2-ylidene]benzohydrazide) showed significant activity against M. tuberculosis 331/88, although its potency was found to be 8-fold (after 14 days) and 4-fold (after 21 days) lower than that of isoniazid (Table 26). In turn, compound 133, containing the 2-hydroxy-5-chlorophenyl moiety, proved to be the most active molecule against all the recruited Gram-positive bacteria, showing clearly better MIC values (2–3.9 μM) than those of bacitracin (7.8–62.5 μM) (Table 27) [55]. Therefore, special attention should be paid to this molecule as a possible antibacterial agent.
Coelho et al. [56] have synthesized three fluorinated hydrazide-hydrazones, i.e., N′-[(E)-(2-fluorophenyl)methylidene]pyridine-4-carbohydrazide (139), N′-[(E)-(3-fluorophenyl)methylidene]pyridine-4-carbohydrazide (140) and N′-[(E)-(4-fluorophenyl)methylidene]pyridine-4-carbohydrazide (141) (Figure 37), by reacting pyridine-4-carbohydrazide (i.e., isoniazid) with 2-fluorobenzaldehyde, 3-fluorobenzaldehyde or 4-fluorobenzaldehyde, respectively.
Fluorinated hydrazones 139141 have been screened for their activity against clinical isolates of M. tuberculosis, such as isoniazid-susceptible M. tuberculosis RG500 and isoniazid-resistant M. tuberculosis RGH102, M. tuberculosis RGH103 and M. tuberculosis RGH113. All the compounds were capable of revealing significant activity—although lower than that of isoniazid—against M. tuberculosis RG500. Hydrazone 140, bearing the meta-fluorophenyl moiety, proved to be the most active among these compounds against M. tuberculosis RGH103 and M. tuberculosis RGH113 (Table 28) [56].
Habala et al. [57] have synthesized and confirmed the structure (both in the solution and solid state) and studied antibacterial activities of fluorinated hydrazide-hydrazones 142146 (Figure 38) derived from an antitubercular agent isoniazid (i.e., pyridine-4-carbohydrazide). The synthesis of these hydrazones was accomplished by refluxing for 80 min in a two-component methanol-chloroform solution with equimolar ratios of pyridine-4-carbohydrazide and the suitable fluorinated benzaldehyde, i.e., 4-(trifluoromethyl)benzaldehyde, 2-(trifluoromethyl)benzaldehyde, 4-fluorobenzaldehyde, 5-fluoro-2-hydroxybenzaldehyde or 3-fluoro-2-hydroxybenzaldehyde.
The authors have used Gram-positive S. aureus CNCTC Mau 82/78 and Gram-negative E. coli CNCTC 327/73 to study their vulnerability to fluorinated hydrazones 142146, to which antibacterial activities were determined in the assay based on two-fold serial dilutions. Ciprofloxacin was employed as an antibacterial agent. Results have revealed that the synthesized compounds possess very weak activities against S. aureus and E. coli (Table 29). In addition, their activities against the above bacterial strains were found to be distinctly lower than that of ciprofloxacin. Hydrazone 142, containing a para-trifluoromethyl group at the phenyl moiety, was reported to be 2-fold more active against E. coli than its counterpart 143, bearing an ortho-trifluoromethyl group at the phenyl moiety. In turn, hydrazone 145, containing 5-fluoro-2-hydroxy substitutions at the phenyl moiety, was disclosed to be 16-fold more active against E. coli than its counterpart 146, bearing 3-fluoro-2-hydroxy substitutions in the same moiety. In addition, all hydrazones were found to the distinctly less active (ICs50 > 500 µM) than acetohydroxamic acid (IC50 = 185 µM) when tested as urease inhibitors [57]. Considering the fact that all these fluorinated hydrazones (142146) were obtained from isoniazid effective against human tuberculosis, further studies with the use of Mycobacterium tuberculosis H37Rv and its resistant strains to antitubercular agents are needed to confirm or rule out their anticipated antituberculosis activity.
Ozkay et al. [58] have obtained 4-(1H-benzimidazol-2-yl)-N′-[(E)-(4-fluorophenyl)methylidene]benzohydrazide (147) and 4-(1H-benzimidazol-2-yl)-N′-{(E)-[4-(trifluoromethyl)phenyl]methylidene}benzohydrazide (148) (Figure 39) by condensing equimolar ratios of 4-(1H-benzimidazole-2-yl)benzoic acid hydrazide with 4-fluorobenzaldehyde or 4-(trifluoromethyl)benzaldehyde, respectively, in n-butanol under reflux for 3 h, with a small amount of glacial acetic acid as an efficient catalyst.
Fluorinated hydrazones 147 and 148 have been evaluated for their activity against four Gram-positive strains of bacteria, such as L. monocytogenes, S. aureus ATCC 25923, E. faecalis ATCC 29212, B. subtilis and six Gram-negative strains of bacteria, such as E. coli ATCC 35218, E. coli ATCC 25922, P. vulgaris NRRL B-123, S. typhimurium NRRL B-4420, K. pneumoniae ATCC 13883, P. aeruginosa ATCC 27853. Chloramphenicol (a derivative of propandiol) has been used as a standard antibiotic. Both fluorinated compounds revealed better activities against Gram-negative P. vulgaris, S. typhimurium and P. aeruginosa than those of chloramphenicol. Additionally, hydrazone 148, containing the para-trifluoromethyl moiety, proved to be more active against Gram-positive E. faecalis than this standard drug (Table 30) [58].
Abdelrahman et al. [59] have synthesized heterocyclic hydrazide-hydrazone, i.e., 6-chloro-N′-[(E)-(4-fluorophenyl)methylidene]-4-oxo-1,4-dihydroquinoline-3-carbohydrazide (149) (Figure 40) by condensing equimolar ratios of 6-chloro-4-oxo-1,4-dihydroquinoline-3-carbohydrazide and 4-fluorobenzaldehyde in N,N-dimethylformamide under reflux for 4 h.
The fluorinated hydrazone 149 has been tested for its activity against S. pneumoniae RCMB 010010, S. aureus RCMB 010028, P. aeruginosa RCMB 010043 and E. coli RCMB 010052 in the two-fold dilution assay. Ampicillin and ciprofloxacin have been employed as standard drugs. Hydrazone 149 was able to reveal higher activity against Gram-positive S. pneumoniae and S. aureus. Nevertheless, its activity towards these bacterial strains was unfortunately about 16- and 32-fold lower than that of ampicillin (Table 31) [59].
Allaka et al. [60] have designed and synthesized fourteen fluorinated hydrazide-hydrazones 150163 (Figure 41), by stirring for 2.5–4 h in ethanol at ambient temperature 1-ethyl-6-fluoro-7-(4-methylpiperazin-1-yl)-4-oxo-1,4-dihydroquinoline-3-carbohydrazide with a small molar excess of 2,6-dichlorobenzaldehyde, 4-nitrobenzaldehyde, 3,4,5-trimethoxybenzaldehyde, 5-bromo-2-hydroxybenzadehyde, 4-hydroxybenzaldehyde, 2,5-dimethoxybenzaldehyde, 3-hydroxybenzaldehyde, 4-methylbenzaldehyde, benzaldehyde, 3-methoxy-4-hydroxybenzaldehyde, 3-nitrobenzaldehyde, 2-chlorobenzaldehyde, 4-fluorobenzaldehyde or 3-(N,N-dimethylamino)benzaldehyde, respectively. Moreover, the same compounds have been prepared under microwave irradiation for 1–3 min.
All these hydrazones (150163) have been initially tested for their ability to inhibit the growth of M. smegmatis. Exclusively active compounds—that were capable of showing at least 30% inhibition of the growth of this bacterium—have been subjected to further evaluation of their MICs. Finally, the MIC values of molecules 150, 152, 156, and 157 have been determined and compared to those of commonly used antitubercular agents such as rifampicin and isoniazid. The activity of the most potent compounds bearing the 2,6-dichlorophenyl or meta-hydroxyphenyl moiety (150 and 156) proved to be more than twice less active than isoniazid (Table 32) [60].
Rasras et al. [61] have obtained steroidal hydrazide-hydrazone, i.e., (3α,5β,7α,12α)-3,7,12-trihydroxy-N-[(1E)-4-fluorophenylmethylene]cholan-24-hydrazide (164) (Figure 42) by heating cholinic acid hydrazide with 4-fluorobenzaldehyde in anhydrous ethanol for 10 h.
The activity of fluorinated hydrazone 164, expressed as MIC values, has been evaluated against E. coli, P. aeruginosa, E. aerogenes (Gram-negative bacteria) and S. aureus, E. faecalis, B. megaterium (Gram-positive bacteria) in the two-fold serial dilution assay and compared to that of cefaclor and cefixime from a second- and third-generation cephalosporins, respectively. This hydrazone was active against Gram-positive S. aureus, E. faecalis and B. megaterium. Simultaneously, this molecule was capable of revealing higher activity against S. aureus than cefaclor and cefixime as well as against B. megaterium than cefaclor. In turn, hydrazone 164 was found to be inactive against all the recruited Gram-negative bacterial strains (Table 33) [61].
Aouad [62] has reported the synthesis and biological evaluation of fluorinated bis-hydrazones (165180) (Figure 43). The synthesis of these hydrazide-hydrazones was performed by refluxing 1-(R-phenyl)-1H-1,2,3-triazole-4,5-dicarbohydrazide with benzaldehyde and its derivatives, such as 4-fluorobenzaldehyde, 4-methoxybenzaldehyde, or 4-nitrobenzaldehyde, for 2 h in ethanol with catalytic assistance of small amount of hydrochloric acid.
Standard pathogenic strains of Gram-positive (S. aureus RCMB 010025, S. pneumoniae RCMB 010010, B. subtilis RCMB 010067) and Gram-negative (P. aeruginosa RCMB 010043, K. pneumoniae RCMB 010058, E. coli RCMB 010052) clinical isolates have been included to assess antibacterial activities of hydrazones 165180 in the assay based on two-fold serial dilutions. As a positive control, a broad-spectrum fluoroquinolone ciprofloxacin was used to confirm the susceptibility of all bacteria recruited. Fluorinated bis-hydrazone structures 165, 167, 169, 171, 175, 177180 have been reported as the most active molecules, revealing remarkable activities (with MIC values ranging from 6.0 to 28.6 µM) against all bacterial strains (Table 34). Their efficacy towards S. pneumoniae, S. aureus and P. aeruginosa was often higher or comparable to that of ciprofloxacin. The author proved that enhanced antibacterial potency was achieved by introducing two preferred para-fluorophenyl or para-nitrophenyl moieties. He suggested that an azomethine bridge as well as the 1,2,3-triazole scaffold are necessary for the antibacterial activity in this series of molecules [62].
Rezki et al. [63] have reported the synthesis, structural characterization and antibacterial evaluation of fluorinated bis-hydrazide-hydrazones 181 and 182 (Figure 44). The synthesis of hydrazones 181 and 182 was carried out by refluxing 4,4′-(1,3,4-thiadiazole-2,5-diyldisulfanediyl)dibutanehydrazide with 4-fluorobenzaldehyde or 4-trifluoromethylbenzaldehyde, respectively, in ethanol for 4–6 h with the use of catalytic assistance of small amount of hydrochloric acid.
Rezki and co-workers have recruited Gram-positive (S. pneumoniae RCMB 010010, B. subtilis RCMB 010067, S. aureus RCMB 010025) and Gram-negative (P. aeruginosa RCMB 010043, K. pneumoniae RCMB 010058, E. coli RCMB 010052) bacterial strains of clinical interest to assess antibacterial activities of fluorinated hydrazones 181 and 182 in the assay based on two-fold serial dilutions. As a positive control, a broad-spectrum fluoroquinolone ciprofloxacin was used to confirm the susceptibility of all microorganisms recruited. Both fluorinated bis-hydrazide-hydrazones have been disclosed to possess remarkable antibacterial effects against all pathogenic microorganisms with MIC values ranging from 7.1 µM to 24.2 µM (Table 35). In addition, it is clearly seen that three bacterial strains: S. aureus, E. coli and B. subtilis are more susceptible to bis-hydrazone 181, containing two para-fluorophenyl moieties. Simultaneously, the activity of both fluorinated bis-hydrazones against S. pneumoniae and P. aeruginosa as well as the efficacy of compound 181 towards S. aureus was better or similar to that of ciprofloxacin [63].
Morjan et al. [64] have synthesized fluorinated hydrazide-hydrazone 183, i.e., N′-[(2Z)-1,1,1-trifluoropropan-2-ylidene]pyridine-3-carbohydrazide (Figure 45) by refluxing in ethanol pyridine-3-carbohydrazide with 1,1,1-trifluoropropan-2-one.
The activity of fluorinated hydrazone 183 against P. aeruginosa, K. pneumoniae and S. aureus has been established in the two-fold dilution assay. The tested molecule revealed remarkable potency against P. aeruginosa. Unfortunately, its antibacterial activity has not been compared to any known antibacterial agent (Table 36) [64].
Sankar and Pandiarajan [65] have carried out a study on fluorinated hydrazone 184 (Figure 46) incorporating in the molecular framework the pharmacophoric isonicotinic acid hydrazide-hydrazone moiety. This moiety is also present in antimycobacterial hydrazones of aromatic aldehydes obtained from isoniazid, such as ftivazid, verazid and furilazon, which have been used in clinical practice as antitubercular agents that were less toxic than isoniazid. The synthesis of this hydrazone was accomplished successfully by reacting 2,4-bis(4-fluorophenyl)-3-azabicyclo[3.3.1]nonan-9-one with an excess of isonicotinic acid hydrazide for 2–3 h in refluxing two-component methanol-chloroform solution (1:1), containing a small amount of acetic acid as an efficient catalyst.
Two clinically important strains of M. tuberculosis, i.e., M. tuberculosis H37Rv ATCC 27294 and resistant to isoniazid M. tuberculosis, have been selected by the authors to evaluate antimycobacterial activities (expressed as the percentage of reduction in the Related Lights Units—RLU) of fluorinated hydrazone 184 at two concentrations (2.24 and 4.48 µM) in the luciferase reporter phage assay. In addition, two Gram-positive (S. aureus NCIM 2492, B. subtilis NCIM 2439) and three Gram-negative (E. coli NCIM 2345, P. aeruginosa NCIM 2035, K. pneumoniae) bacteria have been recruited to study antibacterial activities of this molecule. Isoniazid, penicillin G and streptomycin were used as standard antibacterial agents. Fluorinated structure 184 was proposed as a potential antimycobacterial agent, showing at concentrations of 2.24 and 4.48 µM very good in vitro potency against M. tuberculosis H37Rv (76.63 and 86.12% reduction in RLU, respectively) and M. tuberculosis strain resistant to isoniazid (67.63 and 75.08% reduction in RLU, respectively). Moreover, this hydrazone was found to be active against B. subtilis and S. aureus with a MIC value of 112.0 µM, and was able to completely inhibit the growth of E. coli and P. aeruginosa at a MIC value of 224.0 µM (Table 37). In addition, its activity against S. aureus was only 1.3-fold lower than that of streptomycin, and against B. subtilis—1.5-fold lower than that of penicillin. G. Sankar and Pandiarajan have suggested that the release of the active hydrazide structure of isoniazid via hydrolysis of an azomethine bond and the presence (at both phenyl moieties) of two fluorine atoms capable of forming the strong hydrogen bond, are responsible for the promising antitubercular action of hydrazone 184 [65].
Xaiver et al. [66] have synthesized fluorinated hydrazide-hydrazone, i.e., 4-amino-N′-[2r,4c-bis(4-fluorophenyl)]-3-azabicyclo[3.3.1]non-9-ylidene)benzohydrazide (185) (Figure 47) by condensing 4-aminobenzoic acid hydrazide (in a molar excess) with 2,4-difluorophenyl-3-azabicyclo[3.3.1]nonan-9-one in methanol/chloroform (1:1 v/v) under reflux for 2–4 h.
The fluorinated hydrazone 185 has been tested against S. typhimurium MTCC 98, E. coli MTCC 443, V. cholerae, S. typhi MTCC 531, P. aeruginosa MTCC 741, K. pneumoniae MTCC 2272, B. subtilis MTCC 121 and S. aureus MTCC 96 in the two-fold serial dilution assay. Its antibacterial activity expressed as MIC values has been compared to that of streptomycin (Table 38). This hydrazone proved to be the most active against B. subtilis, although its potency against this bacterial strain was found to be 2.5-fold lower than that of streptomycin. Additionally, the activity of this molecule against V. cholerae was only 1.2-fold weaker than that of the standard drug [66].
Kodisundaram et al. [67] have obtained fluorinated hydrazide-hydrazone 186 (Figure 48), by refluxing 4-methyl-1,2,3-thiadiazole-5-carboxylic acid hydrazide (in a molar excess) with 2,4-difluorophenyl-3-azabicyclo[3.3.1]nonan-9-one, in a methanol/chloroform mixture (1:1 v/v), for 3–4 h, in the presence of catalytic amount of acetic acid.
The authors have screened the antibacterial activities of hydrazone 186 against two Gram-positive (B. subtilis, S. aureus) and three Gram-negative (K. pneumoniae, E. coli, P. aeruginosa) strains in the two-fold serial dilution assay, and compared its activities to those of streptomycin. This fluorinated hydrazone proved to be 1.6-fold more potent towards B. subtilis, K. pneumoniae and E. coli than the standard drug (Table 39) [67].
Kaki et al. [68] have synthesized two fluorinated hydrazide-hydrazones, i.e., 2-(2,3-dihydro-1-benzofuran-5-yl)-N′-[(1E)-1-(4-fluoro-2-hydroxyphenyl)ethylidene]acetohydrazide (187) and 2-(2,3-dihydro-1-benzofuran-5-yl)-N′-[(1E)-1-(4-fluorophenyl)ethylidene]acetohydrazide (188) (Figure 49) by refluxing 2-(2,3-dihydro-1-benzofuran-5-yl)acetohydrazide (in a molar excess) with 1-(4-fluoro-2-hydroxyphenyl)ethanone or 1-(4-fluorophenyl)ethanone, respectively, in ethanol for 8 h in the presence of glacial acetic acid as an efficient catalyst.
These fluorinated hydrazones (187 and 188) have been screened for their activity against E. coli MTCC 443 and P. aeruginosa MTCC 424 (Gram-negative bacteria) as well as S. aureus MTCC 96 and S. pyogenes MTCC 442 (Gram-positive bacteria) in the disc-diffusion assay, using as a standard antibiotic ampicillin at a concentration of 715.5 μΜ. Both compounds—187 at a concentration of 761.4 μΜ and 188 at a concentration of 800.4 μΜ—were capable of revealing remarkable antibacterial activity against all the recruited bacterial strains, as their zones of inhibition were comparable to those of ampicillin [68].
Skrickus et al. [69] have synthesized bis-hydrazide-hydrazone 189 (Figure 50) by condensing 3,3′-[disulfanediylbis(benzene-2,1-diylimino)]dipropanoic acid hydrazide with 4-fluorobenzaldehyde (in molar ratios 1:2.5) in boiling isopropanol for 2–3 h.
Fluorinated hydrazone 189 has been screened for its activity against S. aureus ATCC 9144, L. monocytogenes ATCC 35152, E. coli ATCC 13076 and S. enterica ATCC 8739 in the microbroth assay based on two-fold serial dilutions, using a first-generation cephalosporin—cefazolin––as a standard drug. This compound was found to be antibacterially active, revealing significant potency against L. monocytogenes and moderate activities against the remaining recruited bacterial strains. Simultaneously, its MIC value against L. monocytogenes proved to be slightly lower than that of a standard drug [69].
Haj Mohammad Ebrahim Tehrani et al. [36] have described the antibacterial evaluation of fluorinated hydrazide-hydrazones 190191 (Figure 51) obtained from stoichiometric ratios of benzohydrazide or isonicotinic acid hydrazide and 5-fluoro-1H-indole-2,3-dione, in refluxing ethanol for 4–6 h, with assistance of small amount of glacial acetic acid as an efficient catalyst. The authors have reported that microwave irradiation at 110 °C for 5 min was an alternative method of their synthesis.
Antibacterial screening of hydrazide-hydrazones 190191 has been performed in the assay based on two-fold serial dilutions against three Gram-positive (S. aureus ATCC 25923, methicillin-resistant S. aureus ATCC 43300, E. faecalis ATCC 29212) and two Gram-negative (P. aeruginosa ATCC 27853, E. coli ATCC 25922) bacterial strains of clinical interest. Amikacin (an aminoglycoside antibiotic) was included as a positive control. The results of the study have confirmed that fluorinated hydrazone related to benzoic acid hydrazide (190), revealing a broader spectrum of antibacterial activity, is distinctly more active than fluorinated hydrazone related to isonicotinic acid hydrazide (191) (Table 40) [36].

6. Advanced Research Techniques for the Synthesis, Design and Development of Fluorinated Imines and Hydrazones of Pharmacological Importance

Some advanced research techniques and innovations have been developed and reported during the past fifteen years for the synthesis, design and development of fluorinated Schiff bases and fluorinated hydrazones. Cerium oxide nanoparticles have been used by Durmuş et al. [26,27] as an efficient and eco-friendly catalyst in the synthesis of fluorinated dimeric aldimine, containing the disulfide bridge of biochemical interest. In this case, the authors have reported the enhanced reaction rates and yields by comparing the results with the conventional method of synthesis without the use of any catalyst. Microwave irradiation, providing a much greater efficiency of energy transfer, has been reported by Singh et al. [70] in the microwave-assisted synthesis of fluorinated ketimines. The conversion of substrates (alkyl amines and 5-fluoro-2-hydroxyacetophenone) to imines in quantitative yields ranging from 89 to 98% and very short reaction times (1–5 min) were the main advantages of this greener technique compared to the conventional synthesis method. An innovative procedure for the synthesis of pharmaceutically important building blocks, i.e., (S)-N-tert-butanesulfinyl-aldimines bearing heavily fluorinated alkyl groups, has been developed by Xie et al. [71]. The authors reported that the treatment of starting substrates (i.e., (S)-tert-butylsulfinamide and fluorine-containing aldehydes which form very stable gem-aminoalcohols) in dichloromethane, with two-step use of two dehydrating agents (magnesium sulfate and activated molecular sieves, 4 Å), gives the desired results, as the S-enantiomers of chiral imines are formed in above 80% yields and there is no need for their further purification by distillation. Activated molecular sieves made from 4 Å zeolite powder have been employed by Avila-Sorrosa et al. [16] in a good-yielding method for the synthesis of fluorinated aldimines in order to facilitate the removal of water from intermediate hemiaminal.
The advanced research (identifying a suitable target—ecKAS-CoA complex structure, screening of the designed ligand in the enzymatic assay, structure-guided drug design, docking into the Escherichia coli active site—ecKAS—and finding the most likely binding conformation of the ligand) has been reported by Shi et al. [20] and Cheng et al. [17] leading to the development of two novel highly potent inhibitors (aldimine-type Schiff bases 5 and 19; Table 41) of the Escherichia coli β-ketoacyl-acyl carrier protein synthase III (ecKAS III). They may find application in the near future as antibacterial agents belonging to the important fluorinated imines and showing high selectivity against the bacterial target. This is a significant finding because the ecKAS III is an example of recently discovered enzymes that may prove useful as antibacterial agent targets. This enzyme is involved in the biosynthesis of fatty acids in bacteria, and there is no homologous enzyme in humans. Therefore, small molecules inhibiting ecKAS III catalyzed reaction should be highly selective and non-toxic antibacterial agents.

7. Concluding Remarks

The present review paper is exclusively focused on aldimine- and ketimine-type fluorinated Schiff bases, and fluorinated hydrazones, showing strong, moderate or weak in vitro antibacterial activities, that have been reported in the scientific literature over the last fifteen years. As mentioned in this article, some of these small molecules revealed not only promising antibacterial activity but also a potent inhibitory effect against ecKAS when tested in the target enzymatic assay. Receptor-ligand modeling studies have enabled researchers to develop more selective fluorinated aldimines (5 and 19) that may be suitable for future use as potential antibacterial agents. These structures can be extremely useful in the rational design of highly selective antibacterial agents. In addition, all antibacterially active fluorinated imines and hydrazones collected from the last fifteen years can serve as lead structures with a documented activity profile. They are an excellent material for further development and ongoing studies on the implementation of potential antibacterial drugs by medicinal chemists. All the collected small molecular weight structures (<900 daltons) can serve for further fruitful modification in the ongoing search for new antibacterially active fluorinated imines and hydrazones, which would be promising for more advanced development.
In this review, we have presented detailed information on the sensitivity of various bacterial strains (including drug-resistant ones) to fluorinated imines and hydrazones. We hope that MIC values taken from the literature, converted to molar concentrations and compared to MICs of reference drugs, should help medicinal chemists in designing more active fluorinated antibacterial agents. We have shown several cases in which the antimicrobial activity of fluorinated imines or hydrazones was improved in relation to clinically approved antibacterial agents. This was particularly evident in the case of fluorinated aldimines 33 and 37, fluorinated ketimine 79, fluorinated hydrazine-hydrazone 98 and fluorinated hydrazide-hydrazones 114, 133, 165, 167, 169, 179 and 181. The most potent hydrazide-hydrazones have been obtained from heterocyclic hydrazides, 4-trifluoromethylated benzoic acid hydrazide or heterocyclic bis-hydrazides. Hence, just fluorinated imines and hydrazones—presented in this review—with antibacterial activity superior to that of commonly used antibacterials seem to have potential usefulness to be applied in the future as pharmaceutics. Nevertheless, further in vivo studies, followed by pharmacokinetic and clinical tests are needed to determine the therapeutic efficacy of these fluorinated molecules, as well as whether they have a clear advantage over the clinically useful pharmaceutical(s). However, in the case of some isoniazid-derived fluorinated hydrazide-hydrazones that have not yet been tested for their antimycobacterial activity, the initial screening against M. tuberculosis H37Rv susceptible to the primary antitubercular agents (e.g., isoniazid, rifampicin, streptomycin and ethambutol) is necessary to confirm or exclude their anticipated antitubercular activity.

Author Contributions

Conceptualization, M.S. and K.S.; project administration, M.S. and K.S.; literature search, M.S., A.W. and K.S.; data collection, M.S., A.W. and K.S.; formal analysis, M.S., A.W. and K.S.; writing—original draft preparation, M.S., A.W. and K.S.; writing—review and editing, M.S. and K.S.; funding acquisition, M.S. and K.S. All authors have read and agreed to the published version of the manuscript.

Funding

This research received no external funding.

Institutional Review Board Statement

Not applicable.

Informed Consent Statement

Not applicable.

Data Availability Statement

Not applicable.

Conflicts of Interest

The authors declare no conflicts of interest. Author Agata Wilk was employed by the company Green Lanes Proteins Sp. z o.o. The company had no role in the design of the study; in the collection, analyses, and interpretation of data; in the writing of the manuscript, and in the decision to publish the results. The remaining authors declare that the article was written without any commercial and financial relationships that could be construed as a potential conflict of interest.

Abbreviations

A. baumanniiAcinetobacter baumannii
AMPAmpicillin
BACBacitracin
B. amyloliquefaciensBacillus amyloliquefaciens
B. cereusBacillus cereus
B. megateriumBacillus megaterium
B. subtilisBacillus subtilis
B. bronchisepticaBordetella bronchiseptica
CPFXCiprofloxacin
CTXCefotaxime
CXMCefuroxime
E. aerogenesEnterobacter aerogenes
E. cloacaeEnterobacter cloacae
E. casseliflavusEnterococcus casseliflavus
E. faecalisEnterococcus faecalis
E. faeciumEnterococcus faecium
ecKAS III Escherichia coli β-ketoacyl-acyl carrier protein synthase III
E. coliEscherichia coli
G. lambliaGiardia lamblia
GENGentamicin
GTFXGatifloxacin
H. influenzaeHaemophilus influenzae
IC50Half maximal inhibitory concentration
INHIsoniazid
IUPACInternational Union of Pure and Applied Chemistry
KNMKanamycin
K. oxytocaKlebsiella oxytoca
K. pneumoniaeKlebsiella pneumoniae
L. monocytogenesListeria monocytogenes
LVFXLevofloxacin
MBCMinimum bactericidal concentration
MICMinimum inhibitory concentration
MRSA Methicillin-resistant Staphylococcus aureus
MRSEMethicillin-resistant Staphylococcus epidermidis
MSSAMethicillin-sensitive Staphylococcus aureus
MSSEMethicillin-sensitive Staphylococcus epidermidis
MTT3′-(4,5-Dimethylthiazol-2-yl)-2,5-diphenyltetrazolium bromide
M. luteusMicrococcus luteus
M. aviumMycobacterium avium
M. kansasiiMycobacterium kansasii
M. smegmatisMycobacterium smegmatis
M. tuberculosisMycobacterium tuberculosis
naNot active
ndNot determined
NFNNitrofurantoin
PZAPyrazinamide
P. mirabilisProteus mirabilis
P. vulgarisProteus vulgaris
P. aeruginosaPseudomonas aeruginosa
P. fluorescencePseudomonas fluorescence
P. putidaPseudomonas putida
PTSAp-toluenosulfonic acid
RLURelated Lights Units
S. entericaSalmonell enterica
S. typhiSalmonella typhi
S. typhimuriumSalmonella typhimurium
S. aureusStaphylococcus aureus
S. epidermidisStaphylococcus epidermidis
S. maltophiliaeStenotrophomonas maltophiliae
S. agalactiaeStreptococcus agalactiae
S. faecalisStreptococcus faecalis
S. pneumoniaeStreptococcus pneumoniae
S. pyogenesStreptococcus pyogenes
S. viridansStreptococcus viridans
STMStreptomycin
SLTSultamicillin
VANVancomycin
V. choleraeVibrio cholerae
V. parahaemolyticusVibrio parahaemolyticus

References

  1. Schiff, H. Mitteilungen aus dem universitats laboratorium in Pisa: Eineneue reihe organischer basen. Justus Liebigs Ann. Chem. 1864, 131, 118–119. [Google Scholar] [CrossRef]
  2. Chakraborti, A.K.; Bhagat, S.; Rudrawar, S. Magnesium perchlorate as an efficient catalyst for the synthesis of imines and phenylhydrazones. Tetrahedron Lett. 2004, 45, 7641–7644. [Google Scholar] [CrossRef]
  3. Kalia, J.; Raines, R.T. Hydrolytic stability of hydrazones and oximes. Angew. Chem. Int. Ed. Engl. 2008, 47, 7523–7536. [Google Scholar] [CrossRef] [PubMed]
  4. Kleemann, A.; Engel, J.; Kutscher, B.; Reichert, D. Pharmaceutical Substances: Syntheses, Patents, Applications, 4th ed.; Thieme-Verlag Stuttgart: Stuttgart, Germany, 2001. [Google Scholar]
  5. Dong, Y.; Dong, L.; Gu, X.; Wang, Y.; Liao, Y.; Luque, R.; Chen, Z. Sustainable production of active pharmaceutical ingredients from lignin-based benzoic acid derivatives via “demand orientation”. Green Chem. 2023, 25, 3791–3815. [Google Scholar] [CrossRef]
  6. Rubbo, S.; Cymerman-Craig, J. Anti-tuberculous activity of verazide (1-isonicotinoyl-2-veratrylidene hydrazine). Nature 1955, 176, 887. [Google Scholar] [CrossRef] [PubMed]
  7. Janin, Y.L. Antituberculosis drugs: Ten years of research. Bioorg. Med. Chem. 2007, 15, 2479–2513. [Google Scholar] [CrossRef]
  8. Heck, M.; Schädel, S.A.; Maretzki, D.; Bartl, F.J.; Ritter, E.; Palczewski, K.; Hofmann, K.P. Signaling states of rhodopsin: Formation of the storage form, metarhodopsin III, from active metarhodopsin II. J. Biol. Chem. 2003, 278, 3162–3169. [Google Scholar] [CrossRef]
  9. Soderberg, T. (Ed.) Organic Chemistry with a Biological Emphasis; University of Minesota: Moris, MN, USA, 2012. [Google Scholar]
  10. Wang, J.; Sánchez-Roselló, M.; Aceña, J.L.; del Pozo, C.; Sorochinsky, A.E.; Fustero, S.; Soloshonok, V.A.; Liu, H. Fluorine in pharmaceutical industry: Fluorine-containing drugs introduced to the market in the last decade (2001–2011). Chem. Rev. 2014, 114, 2432–2506. [Google Scholar] [CrossRef]
  11. Shah, P.; Westwell, A.D. The role of fluorine in medicinal chemistry. J. Enzym. Inhib. Med. Chem. 2007, 22, 527–540. [Google Scholar] [CrossRef]
  12. Meanwell, N.A. Fluorine and fluorinated motifs in the design and application of bioisosteres for drug design. J. Med. Chem. 2018, 61, 5822–5880. [Google Scholar] [CrossRef] [PubMed]
  13. Surya Prakash, G.K.; Wang, F. Fluorine: The new kingpin of drug discovery. Chem. Today 2012, 30, 30–36. [Google Scholar]
  14. Isanbor, C.; O’Hagan, D. Fluorine in medicinal chemistry: A review of anti-cancer agents. J. Fluor. Chem. 2006, 127, 303–319. [Google Scholar] [CrossRef]
  15. Raache, I.; Sekhri, L.; Tabchouche, A. Studies on the synthesis of fluorinated Schiff bases; biological activity of resulting (E)-N-benzylidene-2,3,5,6-tetrafluoropyridin-4-amine and 4-amino-2-ethoxy-3,5,6-trifluoropyridine. Orient. J. Chem. 2016, 32, 1799–1813. [Google Scholar] [CrossRef][Green Version]
  16. Avila-Sorrosa, A.; Hernandez-Gonzalez, J.I.; Reyes-Arellano, A.; Toscano, R.A.; Reyes-Martinez, R.; Pioquinto-Mendoza, J.R.; Morales-Morales, D. Synthesis, structural characterization and biological activity of fluorinated Schiff-bases of the type [C6H4-1-(OH)-3-(CH=NArF)]. J. Mol. Struct. 2015, 1085, 249–257. [Google Scholar] [CrossRef]
  17. Cheng, K.; Zheng, Q.-Z.; Qian, Y.; Shi, L.; Zhao, J.; Zhu, H.-L. Synthesis, antibacterial activities and molecular docking studies of peptide and Schiff bases as targeted antibiotics. Bioorg. Med. Chem. 2009, 17, 7861–7871. [Google Scholar] [CrossRef]
  18. Cheng, K.; Zheng, Q.-Z.; Hou, J.; Zhou, Y.; Liu, C.-H.; Zhao, J.; Zhu, H.-L. Synthesis, molecular modeling and biological evaluation of PSB as targeted antibiotics. Bioorg. Med. Chem. 2010, 18, 2447–2455. [Google Scholar] [CrossRef]
  19. Shanmugam, M.; Narayanan, K.; Mahalakshmi, M.; Kabilan, S.; Chidambaranathan, V. Synthesis, characterization and biological studies of some novel 3-fluorosalicylaldehyde based amine derivatives. Spectrochim. Acta A Mol. Biomol. Spectrosc. 2013, 116, 394–400. [Google Scholar] [CrossRef] [PubMed]
  20. Shi, L.; Fang, R.-Q.; Zhu, Z.-W.; Yang, Y.; Cheng, K.; Zhong, W.-Q.; Zhu, H.-L. Design and synthesis of potent inhibitors of β-ketoacyl-acyl carrier protein synthase III (FabH) as potential antibacterial agents. Eur. J. Med. Chem. 2010, 45, 4358–4364. [Google Scholar] [CrossRef] [PubMed]
  21. Xu, S.P.; Lv, P.C.; Shi, L.; Zhu, H.L. Design, synthesis, and pharmacological investigation of iodined salicylimines, new prototypes of antimicrobial drug candidates. Arch. Pharm. Chem. Life Sci. 2010, 343, 282–290. [Google Scholar] [CrossRef] [PubMed]
  22. Khungar, B.; Rao, M.S.; Pericherla, K.; Nehra, P.; Jain, N.; Panwar, J.; Kumar, A. Synthesis, characterization and microbiocidal studies of novel ionic liquid tagged Schiff bases. Comptes Rendus Chim. 2012, 15, 669–674. [Google Scholar] [CrossRef]
  23. Mandewale, M.C.; Thorat, B.R.; Yamgar, R.S. Synthesis and anti-mycobacterium study of some fluorine containing Schiff bases of quinoline and their metal complexes. Pharma Chem. 2015, 7, 207–215. [Google Scholar]
  24. İskeleli, N.O.; Alpaslan, Y.B.; Direkel, Ş.; Ertürk, A.G.; Süleymanoğlu, N.; Ustabaş, R. The new Schiff base 4-[(4-hydroxy-3-fluoro-5-methoxy-benzylidene)amino]-1,5-dimethyl-2-phenyl-1,2-dihydro-pyrazol-3-one: Experimental, DFT calculational studies and in vitro antimicrobial activity. Spectrochim. Acta A Mol. Biomol. Spectrosc. 2015, 139, 356–366. [Google Scholar] [CrossRef] [PubMed]
  25. Prakash, C.R.; Raja, S. Synthesis, characterization and in vitro antimicrobial activity of some novel 5-substituted Schiff and Mannich base of isatin derivatives. J. Saudi Chem. Soc. 2013, 17, 337–344. [Google Scholar] [CrossRef]
  26. Durmuş, S.; Dalmaz, A.; Dülger, G.; Kadıoğlu, D.B. Synthesis of disulphide-Schiff base derivatives and investigations of in vitro antimicrobial activities against some human pathogens. EuroBiotech J. 2017, 1, 230–234. [Google Scholar] [CrossRef] [PubMed]
  27. Durmuş, S.; Dalmaz, A.; Ozdincer, M.; Sivrikaya, S. Preparation of cerium oxide nanoparticles: An efficient catalyst to the synthesis of dimeric disulphide Schiff bases. CBU J. Sci. 2017, 13, 25–30. [Google Scholar]
  28. Oboňová, B.; Habala, L.; Litecká, M.; Herich, P.; Bilková, A.; Bilka, F.; Horváth, B. Antimicrobially Active Zn(II) Complexes of Reduced Schiff Bases Derived from Cyclohexane-1,2-diamine and Fluorinated Benzaldehydes—Synthesis, Crystal Structure and Bioactivity. Life 2023, 13, 1516. [Google Scholar] [CrossRef] [PubMed]
  29. Zhang, H.-J.; Qin, X.; Liu, K.; Zhu, D.-D.; Wang, X.-M.; Zhu, H.-L. Synthesis, antibacterial activities and molecular docking studies of Schiff bases derived from N-(2/4-benzaldehyde-amino)phenyl-N’-phenyl-thiourea. Bioorg. Med. Chem. 2011, 19, 5708–5715. [Google Scholar] [CrossRef] [PubMed]
  30. Aggarwal, N.; Kumar, R.; Dureja, P.; Khuran, J.M. Synthesis, antimicrobial evaluation and QSAR analysis of novel nalidixic acid based 1,2,4-triazole derivatives. Eur. J. Med. Chem. 2011, 46, 4089–4099. [Google Scholar] [CrossRef]
  31. Malladi, S.; Isloor, A.M.; Isloor, S.; Akhila, D.S.; Fun, H.-K. Synthesis, characterization and antibacterial activity of some new pyrazole based Schiff bases. Arab. J. Chem. 2013, 6, 335–340. [Google Scholar] [CrossRef]
  32. Zhang, F.; Wen, Q.; Wang, S.-F.; Karim, B.S.; Yang, Z.-S.; Liu, J.-J.; Zhang, W.-M.; Zhu, H.-L. Design, synthesis and antibacterial activities of 5-(pyrazin-2-yl)-4H-1,2,4-triazole-3-thiol derivatives containing Schiff base formation as FabH inhibitory. Bioorg. Med. Chem. Lett. 2014, 24, 90–95. [Google Scholar] [CrossRef]
  33. Alshammari, N.A.H.; Bakhotmah, D.A. Synthesis, reactivity, antimicrobial, and anti-biofilm evaluation of fluorinated 4-amino-3-mercapto-1,2,4-triazin-5(4H)-one and their derivatives. Phosphorus Sulfur Silicon Relat. Elem. 2023, 198, 385–396. [Google Scholar] [CrossRef]
  34. Chai, Y.; Liu, M.-L.; Lv, K.; Feng, L.-S.; Li, S.-J.; Sun, L.-Y.; Wang, S.; Guo, H.-Y. Synthesis and in vitro antibacterial activity of a series of novel gatifloxacin derivatives. Eur. J. Med. Chem. 2011, 46, 4267–4273. [Google Scholar] [CrossRef]
  35. Malhotra, M.; Rawal, R.K.; Malhotra, D.; Dhingra, R.; Deep, A.; Sharma, P.C. Synthesis, characterization and pharmacological evaluation of (Z)-2-(5-(biphenyl-4-yl)-3-(1-(imino)ethyl)-2,3-dihydro-1,3,4-oxadiazol-2-yl)phenol derivatives as potent antimicrobial and antioxidant agents. Arab. J. Chem. 2017, 10, S1022–S1031. [Google Scholar] [CrossRef]
  36. Haj Mohammad Ebrahim Tehrani, K.; Hashemi, M.; Hassan, M.; Kobarfard, F.; Mohebbi, S. Synthesis and antibacterial activity of Schiff bases of 5-substituted isatins. Chin. Chem. Lett. 2016, 27, 221–225. [Google Scholar] [CrossRef]
  37. Hassan, M.; Ghaffari, R.; Sardari, S.; Farahani, Y.F.; Mohebbi, S. Discovery of novel isatin-based thiosemicarbazones: Synthesis, antibacterial, antifungal, and antimycobacterial screening. Res. Pharm. Sci. 2020, 15, 281–290. [Google Scholar] [PubMed]
  38. Shirinzadeh, H.; Altanlar, N.; Yucel, N.; Ozden, S.; Suzen, S. Antimicrobial evaluation of indole-containing hydrazone derivatives. Z. Naturforschung C 2011, 66, 340–344. [Google Scholar] [CrossRef]
  39. Shirinzadeh, H.; Eren, B.; Gurer-Orhan, H.; Suzen, S.; Özden, S. Novel indole-based analogs of melatonin: Synthesis and in vitro antioxidant activity studies. Molecules 2010, 15, 2187–2202. [Google Scholar] [CrossRef] [PubMed]
  40. Maddila, S.; Gorle, S.; Seshadri, N.; Lavanya, P.; Jonnalagadda, S.B. Synthesis, antibacterial and antifungal activity of novel benzothiazole pyrimidine derivatives. Arab. J. Chem. 2016, 9, 681–687. [Google Scholar] [CrossRef]
  41. Hamurcu, F.; Özmen, Ü.Ö.; Şentürk, O.S.; Kaya, K.; Adem, S.; Erden, B.A.; Celebioglu, H.U.; Erden, Y.; Taslimi, P. Biological Effects and Crystal X-Ray Study of Novel Schiff Base Containing Pentafluorophenyl Hydrazine: In Vitro and in Silico Studies. Chem. Biodivers. 2023, 20, e202301132. [Google Scholar] [CrossRef]
  42. Dommati, L.; Satyanarayana, B.; Gayatri Hela, P.; Ram, B.; Srinivas, G. Synthesis and antibacterial activity of (E)-N′-[4-{2-(4-fluorophenylthio)ethoxy}-3-cyano-5-methoxybenzylidene]-substituted benzohydrazide derivatives. Asian J. Chem. 2016, 28, 1584–1588. [Google Scholar] [CrossRef]
  43. Celik, I.; Erol, M.; Puskullu, M.O.; Uzunhisarcikli, E.; Ince, U.; Kuyucuklu, G.; Suzen, S. In Vitro and In Silico Studies of Quinoline-2-Carbaldehyde Hydrazone Derivatives as Potent Antimicrobial Agents. Polycycl. Aromat. Compd. 2022, 42, 1942–1958. [Google Scholar] [CrossRef]
  44. Nayyar, A.; Malde, A.; Coutinho, E.; Jain, R. Synthesis, anti-tuberculosis activity, and 3D-QSAR study of ring-substituted-2/4-quinolinecarbaldehyde derivatives. Bioorg. Med. Chem. 2006, 14, 7302–7310. [Google Scholar] [CrossRef]
  45. Puskullu, M.O.; Shirinzadeh, H.; Nenni, M.; Gurer-Orhan, H.; Suzen, S. Synthesis and Evaluation of Antioxidant Activity of New Quinoline-2-Carbaldehyde Hydrazone Derivatives: Bioisosteric Melatonin Analogues. J. Enzym. Inhibit. Med. Chem. 2016, 31, 121–125. [Google Scholar] [CrossRef]
  46. Popiołek, Ł.; Rysz, B.; Biernasiuk, A.; Wujec, M. Synthesis of promising antimicrobial agents: Hydrazide-hydrazones of 5-nitrofuran-2-carboxylic acid. Chem. Biol. Drug Des. 2020, 95, 260–269. [Google Scholar] [CrossRef] [PubMed]
  47. Li, Y.; Zhao, C.-P.; Ma, H.-P.; Zhao, M.-Y.; Xue, Y.-R.; Wang, X.-M.; Zhu, H.-L. Design, synthesis and antimicrobial activities evaluation of Schiff base derived from secnidazole derivatives as potential FabH inhibitors. Bioorg. Med. Chem. 2013, 21, 3120–3126. [Google Scholar] [CrossRef] [PubMed]
  48. Kumar, V.; Basavarajaswamy, G.; Rai, M.V.; Poojary, B.; Pai, V.R.; Shruthi, N.; Bhat, M. Rapid ‘one-pot’ synthesis of a novel benzimidazole-5-carboxylate and its hydrazone derivatives as potential anti-inflammatory and antimicrobial agents. Bioorg. Med. Chem. Lett. 2015, 25, 1420–1426. [Google Scholar]
  49. Yadav, S.; Narasimhan, B.; Lim, M.; Ramasamy, K.; Vasudevan, M.; Shah, S.A.A.; Mathur, A. Synthesis and evaluation of antimicrobial, antitubercular and anticancer activities of benzimidazole derivatives. Egypt. J. Basic Appl. Sci. 2018, 5, 100–109. [Google Scholar] [CrossRef]
  50. Manikandan, V.; Balaji, S.; Senbagam, R.; Vijayakumar, R.; Rajarajan, M.; Vanangamudi, G.; Arulkumaran, R.; Sundararajan, R.; Thirunarayanan, G. Synthesis and antimicrobial activities of some (E)-N’-1-(substituted benzylidene)benzohydrazides. Int. J. Adv. Chem. 2017, 5, 17–24. [Google Scholar] [CrossRef]
  51. İnce, U.; Han, M.İ. Investigation of Antimicrobial Activity of Some Ethylparaben Hydrazide-Hydrazone Derivatives. Turk. J. Pharm. Sci. 2023, 2, 35–38. [Google Scholar] [CrossRef] [PubMed]
  52. Han, M.İ.; Atalay, P.; İmamoğlu, N.; Küçükgüzel, Ş.G. Synthesis, characterization and anticancer activity of novel hydrazide-hydrazones derived from ethylparaben. J. Res. Pharm. 2020, 24, 341–349. [Google Scholar]
  53. Wang, X.-L.; Zhang, Y.-B.; Tang, J.-F.; Yang, Y.-S.; Chen, R.-Q.; Zhang, F.; Zhu, H.-L. Design, synthesis and antibacterial activities of vanillic acylhydrazone derivatives as potential β-ketoacyl-acyl carrier protein synthase III (FabH) inhibitors. Eur. J. Med. Chem. 2012, 57, 373–382. [Google Scholar] [CrossRef] [PubMed]
  54. Rambabu, N.; Dubey, P.K.; Ram, B.; Balram, B. Synthesis, characterization and antimicrobial activity of some novel hydrazone derivatives of anacardic acid. Pharma Chem. 2015, 7, 90–97. [Google Scholar]
  55. Krátký, M.; Bősze, S.; Baranyai, Z.; Stolaříková, J.; Vinšová, J. Synthesis and biological evolution of hydrazones derived from 4-(trifluoromethyl)benzohydrazide. Bioorg. Med. Chem. Lett. 2017, 27, 5185–5189. [Google Scholar] [CrossRef] [PubMed]
  56. Coelho, T.S.; Cantos, J.B.; Bispo, M.L.F.; Gonçalves, R.S.B.; Lima, C.H.S.; da Silva, P.E.A.; Souza, M.V.N. In Vitro anti-mycobacterial activity of (E)-N′-(monosubstituted-benzylidene) isonicotinohydrazide derivatives against isoniazid-resistant strains. Infect. Dis. Rep. 2012, 4, e13. [Google Scholar] [CrossRef] [PubMed]
  57. Habala, L.; Varényi, S.; Bilková, A.; Herich, P.; Valentová, J.; Kožíšek, J.; Devínsky, F. Antimicrobial activity and urease inhibition of Schiff bases derived from isoniazid and fluorinated benzaldehydes and of their copper(II) complexes. Molecules 2016, 21, 1742. [Google Scholar] [CrossRef] [PubMed]
  58. Özkay, Y.; Tunalı, Y.; Karaca, H.; Işıkdağ, İ. Antimicrobial activity and a SAR study of some novel benzimidazole derivatives bearing hydrazone moiety. Eur. J. Med. Chem. 2010, 45, 3293–3298. [Google Scholar] [CrossRef]
  59. Abdelrahman, M.A.; Salama, I.; Gomaa, M.S.; Elaasser, M.M.; Abdel-Aziz, M.M.; Soliman, D.H. Design, synthesis and 2D QSAR study of novel pyridine and quinolone hydrazone derivatives as potential antimicrobial and antitubercular agents. Eur. J. Med. Chem. 2017, 138, 698–714. [Google Scholar] [CrossRef]
  60. Allaka, T.R.; Polkam, N.; Rayam, P.; Sridhara, J.; Garikapati, N.S.; Kotapalli, S.S.; Ummanni, R.; Anireddy, J.S. Design, synthesis and biological activity evaluation of novel pefloxacin derivatives as potential antibacterial agents. Med. Chem. Res. 2016, 25, 977–993. [Google Scholar] [CrossRef]
  61. Rasras, A.J.M.; Al-Tel, T.H.; Al-Aboudi, A.F.; Al-Qawasmeh, R.A. Synthesis and antimicrobial activity of cholic acid hydrazone analogues. Eur. J. Med. Chem. 2010, 45, 2307–2313. [Google Scholar] [CrossRef]
  62. Aouad, M.R. Efficient eco-friendly solvent-free click synthesis and antimicrobial evaluation of new fluorinated 1,2,3-triazoles and their conversion into Schiff bases. J. Braz. Chem. Soc. 2015, 26, 2105–2115. [Google Scholar] [CrossRef]
  63. Rezki, N.; Al-Yahyawi, A.M.; Bardaweel, S.K.; Al-Blewi, F.F.; Aouad, M.R. Synthesis of novel 2,5-disubstituted-1,3,4-thiadiazoles clubbed 1,2,4-triazole, 1,3,4-thiadiazole, 1,3,4-oxadiazole and/or Schiff base as potential antimicrobial and antiproliferative agents. Molecules 2015, 20, 16048–16067. [Google Scholar] [CrossRef] [PubMed]
  64. Morjan, R.Y.; Mkadmh, A.M.; Beadham, J.; Elmanama, A.A.; Mattar, M.R.; Raftery, J.; Pritchard, R.G.; Awadallah, A.M.; Gardiner, J.M. Antibacterial activities of novel nicotinic acid hydrazides and their conversion into N-acetyl-1,3,4-oxadiazoles. Bioorg. Med. Chem. Lett. 2014, 24, 5796–5800. [Google Scholar] [CrossRef] [PubMed]
  65. Sankar, C.; Pandiarajan, K. Synthesis and anti-tubercular and antimicrobial activities of some 2r,4c-diaryl-3-azabicyclo[3.3.1]nonan-9-one N-isonicotinoylhydrazone derivatives. Eur. J. Med. Chem. 2010, 45, 5480–5485. [Google Scholar] [CrossRef] [PubMed]
  66. Xaiver, J.J.F.; Krishnasamy, K.; Sankar, C. Synthesis and antibacterial, antifungal activities of some 2r,4c-diaryl-3-azabicyclo[3.3.1]nonan-9-one-4-aminobenzoyl hydrazones. Med. Chem. Res. 2012, 21, 345–350. [Google Scholar] [CrossRef]
  67. Kodisundaram, P.; Amirthaganesan, S.; Balasankar, T. Antimicrobial evaluation of a set of heterobicyclic methylthiadiazole hydrazones: Synthesis, characterization, and SAR studies. J. Agric. Food Chem. 2013, 16, 11952–11956. [Google Scholar] [CrossRef]
  68. Kaki, G.R.; Sreenivasulu, B.; Islam, A.; Nageshwar, D.; Korupolu, R.; Rao, B.V. Synthesis, characterization and antimicrobial activity of some hydrazone derivatives containing 2-(2,3-dihydrobenzofuran-5yl)acetic acid. Int. J. Pharm. Sci. Health Care 2014, 4, 1–9. [Google Scholar]
  69. Skrickus, K.; Šiugždaitė, J.; Lelešius, R.; Anusevičius, K.; Grybaitė, B.; Vaickelionienė, R.; Mickevičius, V. Synthesis, Characterization and Antibacterial Assays of Novel N,N1-Disubstituted 2,2′-Dithiodianiline Derivatives. ChemistrySelect 2023, 8, e202300332. [Google Scholar] [CrossRef]
  70. Singh, B.B.; Shakil, N.A.; Kumar, J.; Rana, V.S.; Mishra, A. Microwave synthesis, characterization, and bio-efficacy of novel halogenated Schiff bases. J. Environ. Sci. Health B 2016, 51, 558–570. [Google Scholar] [CrossRef]
  71. Xie, C.; Hang, L.; Mei, H.; Han, J.; Soloshonok, V.A.; Pan, Y. Development and evaluation of different methods for preparation of fluorine-containing (R)- and (S)-N-tert-butanesulfinyl-aldimines. Chem. Select. 2016, 1, 4435–4439. [Google Scholar] [CrossRef]
Figure 1. The structure of fluorinated aldimine 1.
Figure 1. The structure of fluorinated aldimine 1.
Ijms 25 03341 g001
Figure 2. Structures of fluorinated aldimines 24.
Figure 2. Structures of fluorinated aldimines 24.
Ijms 25 03341 g002
Figure 3. The structure of fluorinated aldimine 5.
Figure 3. The structure of fluorinated aldimine 5.
Ijms 25 03341 g003
Figure 4. The structure of fluorinated aldimine 6.
Figure 4. The structure of fluorinated aldimine 6.
Ijms 25 03341 g004
Figure 5. Structures of fluorinated aldimines 713.
Figure 5. Structures of fluorinated aldimines 713.
Ijms 25 03341 g005
Figure 6. Structures of fluorinated aldimines 1427.
Figure 6. Structures of fluorinated aldimines 1427.
Ijms 25 03341 g006
Figure 7. Structures of fluorinated aldimines 2831.
Figure 7. Structures of fluorinated aldimines 2831.
Ijms 25 03341 g007
Figure 8. The structure of fluorinated aldimine 32.
Figure 8. The structure of fluorinated aldimine 32.
Ijms 25 03341 g008
Figure 9. Structures of fluorinated aldimines 3337.
Figure 9. Structures of fluorinated aldimines 3337.
Ijms 25 03341 g009
Figure 10. The structure of fluorinated aldimine 38.
Figure 10. The structure of fluorinated aldimine 38.
Ijms 25 03341 g010
Figure 11. Structures of fluorinated aldimines 3950.
Figure 11. Structures of fluorinated aldimines 3950.
Ijms 25 03341 g011
Figure 12. The structure of fluorinated aldimine 51.
Figure 12. The structure of fluorinated aldimine 51.
Ijms 25 03341 g012
Figure 13. The structure of fluorinated aldimine 52.
Figure 13. The structure of fluorinated aldimine 52.
Ijms 25 03341 g013
Figure 14. Structures of fluorinated aldimines 53 and 54.
Figure 14. Structures of fluorinated aldimines 53 and 54.
Ijms 25 03341 g014
Figure 15. Structures of fluorinated aldimines 55 and 56.
Figure 15. Structures of fluorinated aldimines 55 and 56.
Ijms 25 03341 g015
Figure 16. Structures of fluorinated aldimines 5759.
Figure 16. Structures of fluorinated aldimines 5759.
Ijms 25 03341 g016
Figure 17. Structures of fluorinated aldimines 6062.
Figure 17. Structures of fluorinated aldimines 6062.
Ijms 25 03341 g017
Figure 18. Structures of fluorinated aldimines 6367.
Figure 18. Structures of fluorinated aldimines 6367.
Ijms 25 03341 g018
Figure 19. Structures of fluorinated ketimines 6879.
Figure 19. Structures of fluorinated ketimines 6879.
Ijms 25 03341 g019
Figure 20. Structures of fluorinated ketimines 8082.
Figure 20. Structures of fluorinated ketimines 8082.
Ijms 25 03341 g020
Figure 21. Structures of fluorinated ketimines 8388.
Figure 21. Structures of fluorinated ketimines 8388.
Ijms 25 03341 g021
Figure 22. Structures of fluorinated ketimines 8991.
Figure 22. Structures of fluorinated ketimines 8991.
Ijms 25 03341 g022
Figure 23. Structures of fluorinated hydrazine-hydrazones 9297.
Figure 23. Structures of fluorinated hydrazine-hydrazones 9297.
Ijms 25 03341 g023
Figure 24. The structure of fluorinated hydrazine-hydrazone 98.
Figure 24. The structure of fluorinated hydrazine-hydrazone 98.
Ijms 25 03341 g024
Figure 25. Structures of fluorinated hydrazine-hydrazone enantiomers 99.
Figure 25. Structures of fluorinated hydrazine-hydrazone enantiomers 99.
Ijms 25 03341 g025
Figure 26. The structure of fluorinated hydrazine-hydrazone 100.
Figure 26. The structure of fluorinated hydrazine-hydrazone 100.
Ijms 25 03341 g026
Figure 27. Structures of fluorinated hydrazine-hydrazones 101104.
Figure 27. Structures of fluorinated hydrazine-hydrazones 101104.
Ijms 25 03341 g027
Figure 28. Structures of fluorinated hydrazide-hydrazones 105107.
Figure 28. Structures of fluorinated hydrazide-hydrazones 105107.
Ijms 25 03341 g028
Figure 29. Structures of fluorinated hydrazide-hydrazones 108111.
Figure 29. Structures of fluorinated hydrazide-hydrazones 108111.
Ijms 25 03341 g029
Figure 30. Structures of fluorinated hydrazide-hydrazones 112 and 113.
Figure 30. Structures of fluorinated hydrazide-hydrazones 112 and 113.
Ijms 25 03341 g030
Figure 31. The structure of fluorinated hydrazide-hydrazone 114.
Figure 31. The structure of fluorinated hydrazide-hydrazone 114.
Ijms 25 03341 g031
Figure 32. The structure of fluorinated hydrazide-hydrazone 115.
Figure 32. The structure of fluorinated hydrazide-hydrazone 115.
Ijms 25 03341 g032
Figure 33. Structures of fluorinated hydrazide-hydrazones 116122.
Figure 33. Structures of fluorinated hydrazide-hydrazones 116122.
Ijms 25 03341 g033
Figure 34. Structures of fluorinated hydrazide-hydrazones 123125.
Figure 34. Structures of fluorinated hydrazide-hydrazones 123125.
Ijms 25 03341 g034
Figure 35. Structures of fluorinated hydrazide-hydrazones 126 and 127.
Figure 35. Structures of fluorinated hydrazide-hydrazones 126 and 127.
Ijms 25 03341 g035
Figure 36. Structures of fluorinated hydrazide-hydrazones 128138.
Figure 36. Structures of fluorinated hydrazide-hydrazones 128138.
Ijms 25 03341 g036
Figure 37. Structures of fluorinated hydrazide-hydrazones 139141.
Figure 37. Structures of fluorinated hydrazide-hydrazones 139141.
Ijms 25 03341 g037
Figure 38. Structures of fluorinated hydrazide-hydrazones 142146.
Figure 38. Structures of fluorinated hydrazide-hydrazones 142146.
Ijms 25 03341 g038
Figure 39. Structures of fluorinated hydrazide-hydrazones 147 and 148.
Figure 39. Structures of fluorinated hydrazide-hydrazones 147 and 148.
Ijms 25 03341 g039
Figure 40. The structure of fluorinated hydrazide-hydrazone 149.
Figure 40. The structure of fluorinated hydrazide-hydrazone 149.
Ijms 25 03341 g040
Figure 41. Structures of fluorinated hydrazide-hydrazones 150163.
Figure 41. Structures of fluorinated hydrazide-hydrazones 150163.
Ijms 25 03341 g041
Figure 42. The structure of fluorinated hydrazide-hydrazone 164.
Figure 42. The structure of fluorinated hydrazide-hydrazone 164.
Ijms 25 03341 g042
Figure 43. Structures of fluorinated bis-hydrazide-hydrazones 165180.
Figure 43. Structures of fluorinated bis-hydrazide-hydrazones 165180.
Ijms 25 03341 g043
Figure 44. Structures of fluorinated bis-hydrazide-hydrazones 181 and 182.
Figure 44. Structures of fluorinated bis-hydrazide-hydrazones 181 and 182.
Ijms 25 03341 g044
Figure 45. The structure of fluorinated hydrazide-hydrazone 183.
Figure 45. The structure of fluorinated hydrazide-hydrazone 183.
Ijms 25 03341 g045
Figure 46. The structure of fluorinated hydrazide-hydrazone 184.
Figure 46. The structure of fluorinated hydrazide-hydrazone 184.
Ijms 25 03341 g046
Figure 47. The structure of fluorinated hydrazide-hydrazone 185.
Figure 47. The structure of fluorinated hydrazide-hydrazone 185.
Ijms 25 03341 g047
Figure 48. The structure of fluorinated hydrazide-hydrazone 186.
Figure 48. The structure of fluorinated hydrazide-hydrazone 186.
Ijms 25 03341 g048
Figure 49. Structures of fluorinated hydrazide-hydrazones 187 and 188.
Figure 49. Structures of fluorinated hydrazide-hydrazones 187 and 188.
Ijms 25 03341 g049
Figure 50. The structure of fluorinated hydrazide-hydrazone 189.
Figure 50. The structure of fluorinated hydrazide-hydrazone 189.
Ijms 25 03341 g050
Figure 51. Structures of fluorinated hydrazide-hydrazones 190191.
Figure 51. Structures of fluorinated hydrazide-hydrazones 190191.
Ijms 25 03341 g051
Table 1. Antibacterial drugs of the imine- or hydrazone-type used in medicine currently and in the past.
Table 1. Antibacterial drugs of the imine- or hydrazone-type used in medicine currently and in the past.
Structural FormulaInternational NameIUPAC Name
Ijms 25 03341 i001Nitrofurantoin1-[(E)-(5-Nitrofuran-2-yl)methylideneamino]imidazolidine-2,4-dione
Ijms 25 03341 i002Nifurtoinol3-(Hydroxymethyl)-1-[(E)-(5-nitrofuran-2-yl)methylideneamino]imidazolidine-2,4-dione
Ijms 25 03341 i003Nifurzide5-Nitro-N-[(E)-[(E)-3-(5-nitrofuran-2-yl)prop-2-enylidene]amino]thiophene-2-carboxamide
Ijms 25 03341 i004Nifuroxazide4-Hydroxy-N-[(E)-(5-nitrofuran-2-yl)methylideneamino]benzamide
Ijms 25 03341 i005Furazolidone3-[(5-Nitrofuran-2-yl)methylideneamino]-1,3-oxazolidin-2-one
Ijms 25 03341 i006Nitrofurazone[(E)-(5-Nitrofuran-2-yl)methylideneamino]urea
Ijms 25 03341 i007Terizidone4-[[4-[(3-Oxo-1,2-oxazolidin-4-yl)iminomethyl]phenyl]methylideneamino]-1,2-oxazolidin-3-one
Ijms 25 03341 i008ThioacetazoneN-[4-[(E)-(Carbamothioylhydrazinylidene)methyl]phenyl]acetamide
Ijms 25 03341 i009FtivazideN-[(E)-(4-Hydroxy-3-methoxyphenyl)methylideneamino]pyridine-4-carboxamide
Ijms 25 03341 i010VerazideN-[(E)-(3,4-Dimethoxyphenyl)methylideneamino]pyridine-4-carboxamide
Ijms 25 03341 i011Ambazone[4-[2-(Diaminomethylidene)hydrazinyl]phenyl]iminothiourea
Ijms 25 03341 i012FuronazideN-[(E)-1-(Furan-2-yl)ethylideneamino]pyridine-4-carboxamide
Table 2. Antibacterial activities of fluorinated aldimines 5 and 6.
Table 2. Antibacterial activities of fluorinated aldimines 5 and 6.
Bacterial StrainMIC (µM) *
56Kanamycin B
E. coli ATCC 352189.918.96.5
P. aeruginosa ATCC 135254.9151.46.5
B. subtilis ATCC 663379.09.53.2
S. aureus ATCC 65384.937.83.2
* MIC values provided in the original papers [17,18] in µg mL−1 were converted into molar concentrations.
Table 3. Antibacterial activities of fluorinated aldimines 713.
Table 3. Antibacterial activities of fluorinated aldimines 713.
Bacterial StrainMIC (µM) *
78910111213STM
K. pneumoniae ATCC 700603188.5110.0109.139.5155.1112.5708.486.0
S. typhi ATCC 2502194.2880.2218.179.0620.5112.5708.486.0
S. aureus ATCC 25930753.9880.2218.179.0620.5899.944.386.0
B. subtilis ATCC 530753.9na54.519.8155.1112.588.621.5
P. aeruginosa ATCC 27853753.9na872.439.5620.556.2177.143.0
E. coli ATCC 2603247.1220.027.3158.1155.128.1na21.5
* MIC values provided in the original paper [19] in µg mL−1 were converted into molar concentrations. STM—streptomycin; na—not active.
Table 4. Antibacterial activities of fluorinated aldimines 1427.
Table 4. Antibacterial activities of fluorinated aldimines 1427.
Bacterial StrainMIC (µM) *
1415161718192021222324252627KNM
E. coli60.328.226.699.149.76.0218.1>388.653.650.185.026.825.0231.36.5
P. fluorescence60.356.526.699.199.512.1218.1388.653.6100.185.026.850.1462.56.5
B. subtilis120.6113.053.1198.2199.024.1>436.2>388.6107.2200.3170.053.650.1462.53.2
S. aureus120.656.5106.2198.299.56.0436.2>388.653.6100.1170.026.850.1462.53.2
* MIC values provided in the original paper [20] in µg mL−1 were converted into molar concentrations. KNM—kanamycin.
Table 5. Antibacterial activities of fluorinated aldimines 2831.
Table 5. Antibacterial activities of fluorinated aldimines 2831.
Bacterial StrainMIC (µM)
28293031PenicillinKanamycin
B. subtilis26.16.713.33.13.60.8
S. aureus13.126.826.812.93.64.6
S. faecalis6.613.4107.125.83.66.4
P. aeruginosa26.426.8107.125.818.76.4
E. coli3.33.353.66.518.76.4
E. cloacae13.13.33.33.39.33.2
Table 6. Antimycobacterial activities of fluorinated aldimines 3337.
Table 6. Antimycobacterial activities of fluorinated aldimines 3337.
Bacterial StrainMIC (µM) *
3334353637PZACPFXSTM
M. tuberculosis H37Rv5.639.29.318.74.525.49.410.8
* MIC values provided in the original paper [23] in µg mL−1 were converted into molar concentrations. PZA—pyrazinamide, CPFX—ciprofloxacin, STM—streptomycin.
Table 7. Antibacterial activities of fluorinated aldimine 38.
Table 7. Antibacterial activities of fluorinated aldimine 38.
Bacterial StrainMIC (µM) *
38Amikacin
S. pneumoniae ATCC 700603140.7170.8
H. influenzae ATCC 4024770.485.4
E. faecalis ATTC 2921270.442.7
* MIC values provided in the original paper [24] in µg mL−1 were converted into molar concentrations.
Table 8. Antibacterial activities of fluorinated aldimines 3950.
Table 8. Antibacterial activities of fluorinated aldimines 3950.
Bacterial StrainMIC (µM) *
394041424344454647484950CPFX
S. aureus ATCC 914491.043.311.121.885.488.944.620.142.6na20.487.647.1
S. epidermidis ATCC 15545.586.622.243.6na44.422.310.021.3170.820.443.823.6
M. luteus ATCC 4698na43.322.243.6170.844.4na10.021.385.410.2na23.6
E. coli ATCC 2592291.043.322.221.8na44.444.640.242.6na40.8na47.1
P. aeruginosa ATCC 285389.186.611.143.685.488.944.620.1nana10.287.623.6
K. pneumoniae ATCC 11298na21.622.243.685.444.489.120.15.385.420.4175.311.8
* MIC values provided in the original paper [25] in µg mL−1 were converted into molar concentrations. CPFX—ciprofloxacin; na—not active.
Table 9. Antibacterial activities of fluorinated aldimines 53 and 54.
Table 9. Antibacterial activities of fluorinated aldimines 53 and 54.
Bacterial StrainMIC (µM) *
5354Kanamycin BPenicillin G
E. coli ATCC 35218143.1>286.23.29.4
P. aeruginosa ATCC 13525143.1>286.26.418.7
B. subtilis ATCC 6633143.1>286.20.84.7
S. aureus ATCC 653871.5>286.26.418.7
* MIC values provided in the original paper [29] in µg mL−1 were converted into molar concentrations.
Table 10. Antibacterial activities of fluorinated aldimines 55 and 56.
Table 10. Antibacterial activities of fluorinated aldimines 55 and 56.
Bacterial StrainMIC (µM) *
5556StreptomycinCiprofloxacin
S. aureus ATCC 2937306.0545.325.830.2
B. subtilis ATCC 12711154.2137.48.637.7
E. coli ATCC 8739612.1545.322.437.7
K. pneumoniae ATCC 31488612.1272.73.47.5
P. aeruginosa ATCC 902739.2137.46.9 3.8
* MIC values provided in the original paper [30] in µg mL−1 were converted into molar concentrations.
Table 11. Antibacterial activities of fluorinated aldimines 5759.
Table 11. Antibacterial activities of fluorinated aldimines 5759.
Bacterial StrainMIC (µM) *
575859Ceftriaxone
S. aureus9.910.820.55.6
B. subtilis5.110.841.02.8
E. coli5.143.441.02.8
P. aeruginosa5.121.720.52.8
* MIC values provided in the original paper [31] in µg mL−1 were converted into molar concentrations.
Table 12. Antibacterial activities of fluorinated aldimines 6062.
Table 12. Antibacterial activities of fluorinated aldimines 6062.
Bacterial StrainMIC (µM) *
606162Kanamycin B
E. coli83.283.283.26.5
P. aeruginosa>166.5166.5>166.53.2
S. aureus166.5166.5166.53.2
B. subtilis166.5166.5>166.56.5
B. amyloliquefaciens166.5166.5166.53.2
* MIC values provided in the original paper [32] in µg mL−1 were converted into molar concentrations.
Table 13. Antibacterial activities of fluorinated aldimines 6367.
Table 13. Antibacterial activities of fluorinated aldimines 6367.
Bacterial StrainMIC (µM) *
6364656667CPFX
E. coli ATCC 2595512.3nd329.7nd339.41.2
S. typhi196.493.441.290.5ndnd
S. aureus NRRL B-76712.393.482.4181.084.93.8
B. subtilis ATCC 663324.593.4164.890.584.99.8
* MIC values provided in the original paper [33] in µg mL−1 were converted into molar concentrations. CPFX—ciprofloxacin; nd—not determined.
Table 14. Antibacterial activities of fluorinated ketimines 6879.
Table 14. Antibacterial activities of fluorinated ketimines 6879.
Bacterial StrainMIC (µM) *
686970717273747576777879LVFXGTFX
S. aureus ATCC259231.10.30.30.53.60.20.64.31.1131.01.00.10.70.3
MRSA 08-1>278.00.50.50.558.10.2>286.769.5>269.732.84.00.50.20.3
MSSA 08-10.50.50.50.53.60.20.669.54.2262.02.00.20.70.2
MRSE 09-41.10.50.50.53.60.50.60.54.21.02.00.11.40.7
MSSE 09-31.10.50.50.50.50.50.60.51.11.00.50.10.20.7
MSSE 09-68.70.50.50.50.50.50.60.52.11.00.50.55.521.3
S. pneumoniae
08-2
139.0>269.7>269.716.458.10.5286.769.5>269.7262.015.90.944.310.7
S. pneumoniae
08-4
4.34.24.20.57.30.50.68.7>269.7>262.04.00.511.10.7
E. faecium 08-2>278.0>269.7>269.732.8116.27.7>286.7139.0>269.7>262.015.90.911.15.3
E. faecium 08-7>278.0>269.7>269.732.8116.27.7>286.7139.0>269.7>262.015.90.922.110.7
E. faecalis 08-10>278.0>269.7>269.732.8232.57.7>286.7>278.0>269.7>262.015.90.922.110.7
E. faecalis 08-12>278.0>269.7>269.732.8232.57.7>286.7>278.0>269.7>262.015.91.922.15.3
E. coli ATCC25922>278.0269.7269.716.429.11.0286.734.7269.7>262.04.00.55.55.3
E. coli 08-21>278.0>269.7>269.732.8232.57.7>286.7139.0>269.7>262.015.91.922.110.7
E. coli 08-22>278.0>269.7>269.732.8116.20.5>286.7139.0>269.7>262.08.01.911.110.7
K. pneumoniae
09-22
>278.0>269.7>269.70.529.10.5>286.7139.0>269.7262.02.00.944.30.3
K. pneumoniae
09-23
>278.0>269.7>269.78.258.10.2>286.717.4>269.7>262.04.01.922.15.3
P. aeruginosa ATCC 27853>278.0>269.7>269.78.27.33.871.717.4269.7>262.08.00.911.12.7
P. aeruginosa
09-32
>278.0>269.7>269.70.57.30.571.78.7269.7262.00.50.944.321.3
P. aeruginosa
09-33
>278.0>269.7>269.7131.3232.57.7>286.7>278.0>269.7>262.031.80.922.110.7
P. aeruginosa
09-34
>278.0>269.7>269.74.158.10.5>286.717.4>269.7>262.04.00.52.82.7
* MIC values provided in the original paper [34] in µg mL−1 were converted into molar concentrations. MRSA—methicillin-resistant S. aureus, MSSA—methicillin-sensitive S. aureus, MRSE—methicillin-resistant S. epidermidis, MSSE—methicillin-sensitive S. epidermidis; LVFX—levofloxacin, GTFX—gatifloxacin.
Table 15. Antibacterial activities of fluorinated ketimines 8082.
Table 15. Antibacterial activities of fluorinated ketimines 8082.
Bacterial Strain808182Ciprofloxacin
MIC (µM) *MBC (µM) *MIC (µM) *MBC (µM) *MIC (µM) *MBC (µM) *MIC (µM) *MBC (µM) *
B. subtilis MTCC 9655.4110.7110.7221.427.755.418.137.7
S. aureus MTCC 12127.7110.755.4110.727.755.418.137.7
P. aeruginosa MTCC 245355.4110.727.755.4110.7221.418.137.7
E. coli MTCC 4027.755.455.4110.755.4110.718.137.7
* MIC and MBC values provided in the original paper [35] in µg mL−1 were converted into molar concentrations.
Table 16. Antibacterial activities of fluorinated ketimines 8388.
Table 16. Antibacterial activities of fluorinated ketimines 8388.
Bacterial StrainMIC (µM) *
838485868788Amikacin
P. aeruginosa ATCC 2785335.535.535.595.356.326.227.3
E. coli ATCC 2592217.735.517.747.7>225.0209.927.3
E. faecalisATCC 2921235.535.535.5>190.7112.5209.921.3
S. aureus ATCC 2592317.717.717.747.7>225.0104.952.9
MRSA ATCC 4330017.717.717.795.3>225.0104.952.9
* MIC values provided in the original paper [36] in µg mL−1 were converted into molar concentrations. MRSA—methicillin-resistant S. aureus.
Table 17. Antibacterial activities of fluorinated ketimines 8991.
Table 17. Antibacterial activities of fluorinated ketimines 8991.
Bacterial Strain899091AmikacinTeicoplanin
MIC (µM) *MBC (µM) *MIC (µM) *MBC (µM) *MIC (µM) *MBC (µM) *MIC (µM) *MBC (µM) *MIC (µM) *MBC (µM) *
S. aureus PTCC 1337213.2243.6213.2243.6213.2243.652.952.94.24.2
S. epidermidis PTCC 1435213.2na213.2na213.2na52.952.94.24.2
E. coli PTCC 1330243.6243.6243.6243.6243.6243.652.952.9ndnd
Salmonella spp.152.3243.6152.3243.6152.3243.625.625.6ndnd
B. cereus PTCC 1015243.6243.6243.6243.6243.6243.652.952.9ndnd
E. faecalis PTCC 13294213.2na213.2na213.2na25.6na1.921.92
P. aeruginosa PTCC 1310213.2243.6213.2243.6213.2243.625.625.6ndnd
MRSA213.2243.6213.2243.6213.2243.652.952.916.516.5
* MIC and MBC values provided in the original paper [37] in µg mL−1 were converted into molar concentrations. MRSA—methicillin-resistant S. aureus; na—not active, nd—not determined.
Table 18. Antibacterial activities of fluorinated hydrazine-hydrazones 9297.
Table 18. Antibacterial activities of fluorinated hydrazine-hydrazones 9297.
Bacterial StrainMIC (µM) *
929394959697SLTAMPCPFX
S. aureus ATCC 2592393.5374.1374.1350.5350.521.91.34.50.6
MRSA ATCC 43300na187.1374.1350.587.6350.535.8ndnd
MRSA isolate187.1374.1374.187.6350.521.9ndndnd
E. coli ATCC 23556374.1374.1374.1175.3175.3175.342.0nd0.3
B. subtilis ATCC 663393.5187.1374.187.6175.3175.31.3143.10.3
* MIC values provided in the original paper [38] in µg mL−1 were converted into molar concentrations. MRSA—methicillin-resistant S. aureus; SLT—sultamicillin, AMP—ampicillin, CPFX—ciprofloxacin; na—not active, nd—not determined.
Table 19. Antibacterial activities of fluorinated hydrazine-hydrazone 98.
Table 19. Antibacterial activities of fluorinated hydrazine-hydrazone 98.
Bacterial StrainMIC (µM) *
98Ciprofloxacin
S. aureus23.175.4
S. pyogenes23.137.7
E. coli46.175.4
K. pneumoniae46.1150.9
P. aeruginosa46.175.4
* MIC values provided in the original paper [40] in µg mL−1 were converted into molar concentrations.
Table 20. Antibacterial activities of fluorinated hydrazine-hydrazones 101104.
Table 20. Antibacterial activities of fluorinated hydrazine-hydrazones 101104.
Bacterial StrainMIC (µM) *
101102103104AMPVANGENCPFXCTX
S. aureus ATCC 29213241.3241.3225.9225.91.430.30.51.52.2
S. aureus isolate120.6120.6113.0113.0>45.81.4>33.5>48.3>35.1
E. faecalis ATCC 2921260.360.356.57.15.71.48.46.18.8
E. faecalis isolate60.360.356.556.5>45.8>5.5>16.8>12.1>17.6
E. coli ATCC 25922120.6120.6113.056.522.9nd1.00.050.3
E. coli isolate120.6120.6113.028.2>45.8nd>16.8>6.1>17.6
P. aeruginosa ATCC 2785360.3120.6113.0113.0ndnd1.00.417.6
P. aeruginosa isolate120.6120.6113.0113.0ndnd>16.8>6.1nd
* MIC values provided in the original paper [43] in µg mL−1 were converted into molar concentrations. AMP—ampicillin; VAN—vancomycin; GEN—gentamicin; CPFX—ciprofloxacin; CTX—cefotaxime; nd—not determined.
Table 21. Antibacterial activities of fluorinated hydrazide-hydrazones 105107.
Table 21. Antibacterial activities of fluorinated hydrazide-hydrazones 105107.
Bacterial StrainMIC (µM) *
105106107CPFXNFNCXMAMP
S. aureus ATCC 25923225.5112.7225.51.565.61.2nd
S. aureus ATCC 653856.456.414.10.765.62.3nd
S. aureus ATCC 4330028.228.256.40.732.8ndnd
S. epidermidis ATCC 1222814.17.01.70.416.40.6nd
M. luteus ATCC 10240450.91803.7901.93.0262.42.3nd
B. subtilis ATCC 66337.07.014.10.116.436.8178.9
B. cereus ATCC 10876225.5225.5112.70.232.873.6nd
B. bronchiseptica ATCC 46173607.43607.4na3.0524.9ndnd
K. pneumoniae ATCC 13883nana901.90.465.6ndnd
P. mirabilis ATCC 12453nana901.90.1262.4ndnd
S. typhimurium ATCC 14028nana901.90.2131.2ndnd
E. coli ATCC 25922nana450.90.0132.8ndnd
P. aeruginosa ATCC 9027nanana1.5nandnd
* MIC values provided in the original paper [46] in µg mL−1 were converted into molar concentrations. CPFX—ciprofloxacin, NFN—nitrofurantoin, CXM—cefuroxime, AMP—ampicillin; na—not active, nd—not determined.
Table 22. Antibacterial activities of fluorinated hydrazide-hydrazones 108111.
Table 22. Antibacterial activities of fluorinated hydrazide-hydrazones 108111.
Bacterial StrainMIC (µM) *
108109110111Kanamycin B
E. coli ATCC 25922>327.6164.0>327.6154.76.5
P. aeruginosa ATCC 27853>327.6164.0>327.6154.76.5
B. subtilis ATCC 530>327.681.9>327.6154.73.2
S. aureus ATCC 6538>327.681.9>327.677.33.2
* MIC values provided in the original paper [47] in µg mL−1 were converted into molar concentrations.
Table 23. Antibacterial activities of fluorinated hydrazide-hydrazones 112 and 113.
Table 23. Antibacterial activities of fluorinated hydrazide-hydrazones 112 and 113.
Bacterial StrainMIC (µM) *
112113Ampicillin
S. aureus MTCC 316026.613.34.5
B. subtilis MTCC 44113.313.34.5
E. coli MTCC 435113.313.34.5
K. pneumoniae MTCC 338426.613.38.9
* MIC values provided in the original paper [48] in µg mL−1 were converted into molar concentrations.
Table 24. Antibacterial activities of fluorinated hydrazide-hydrazone 114.
Table 24. Antibacterial activities of fluorinated hydrazide-hydrazone 114.
Bacterial StrainMIC (µM) *
114CefadroxilStreptomycin
E. coli MTCC 16520.040.35nd
B. subtilis MTCC 20630.040.35nd
S. aureus MTCC 29010.040.35nd
M. tuberculosis H37Rv45.7nd21.5
* MIC values for M. tuberculosis H37Rv provided in the original paper [49] in µg mL−1 were converted into molar concentrations. nd—not determined.
Table 25. Antibacterial activities of fluorinated hydrazide-hydrazones 123125.
Table 25. Antibacterial activities of fluorinated hydrazide-hydrazones 123125.
Bacterial StrainMIC (µM) *
123124125Kanamycin B
E. coli ATCC 25922173.586.786.73.2
P. aeruginosa ATCC 2785386.743.4173.53.2
S. aureus ATCC 6538173.586.7173.56.5
B. subtilis ATCC 53086.786.7173.56.5
* MIC values provided in the original paper [53] in µg mL−1 were converted into molar concentrations.
Table 26. Antimycobacterial activities of fluorinated hydrazide-hydrazones 128138.
Table 26. Antimycobacterial activities of fluorinated hydrazide-hydrazones 128138.
Bacterial StrainTimeMIC (µM)
128129130131132133134135136137138INH
M. tuberculosis 331/8814 d16>12512525012562.5125>12550025040.5
21 d16>12512525025062.5>250>12550050041
M. avium
330/88
14 d>125>12525025012562.5>250>125>125>125>250>250
21 d>125>125500250250125>250>125>125>125>250>250
M. kansasii
235/80
7 d16>12562.562.525062.532125500500>250>250
14 d16>12512512525012562.5>125>1000>1000>250>250
21 d16>12512525025012562.5>125>1000>1000>250>250
M. kansasii
6509/96
7 d16>12525025025062.5250>125500500>2508
14 d16>125500500250125>250>12510001000>2508
21 d16>125500500250125>250>12510001000>2508
INH—isoniazid.
Table 27. Antibacterial activities of fluorinated hydrazide-hydrazones 128, 130, 132 and 133.
Table 27. Antibacterial activities of fluorinated hydrazide-hydrazones 128, 130, 132 and 133.
Bacterial StrainTimeMIC (µM)
128130132133BAC
S. aureus
CCM 4516/08
24 h62.525050027.8
48 h62.5250>500215.6
MRSA
H 5996/08
24 h62.5250500215.6
48 h62.5250>500215.6
S. epidermidis
H 6966/08
24 h31.21252503.915.6
48 h62.51255003.931.2
E. faecalis
J 14365/08
24 h62.5>250250215.6
48 h>125>2502503.962.5
E. coli
CCM 4517
24 h>125>250500250>500
48 h>125>250500250>500
MRSA—methicillin-resistant S. aureus; BAC—bacitracin. None of the tested compounds and bacitracin were active against K. pneumoniae D 11750/08, K. pneumoniae J 14368/08 and P. aeruginosa CCM 1961.
Table 28. Antimycobacterial activities of fluorinated hydrazide-hydrazones 139141.
Table 28. Antimycobacterial activities of fluorinated hydrazide-hydrazones 139141.
Bacterial StrainMIC (µM)
139140141Isoniazid
M. tuberculosis RG5002.14.14.11.1
M. tuberculosis RGH102>72.9>72.9>72.9>72.9
M. tuberculosis RGH103>72.98.2>72.9>72.9
M. tuberculosis RGH113>72.98.2>72.9>72.9
Table 29. Antibacterial activities of fluorinated hydrazide-hydrazones 142146.
Table 29. Antibacterial activities of fluorinated hydrazide-hydrazones 142146.
Bacterial StrainMIC (µM) *
142143144145146Ciprofloxacin
S. aureus CNCTC Mau 82/7837,50037,500>100,000>100,00050,0000.7
E. coli CNCTC 327/73937018,76025,000155025,000<0.3
* MIC values provided in the original paper [57] in mM were converted into µM concentrations.
Table 30. Antibacterial activities of fluorinated hydrazide-hydrazones 147 and 148.
Table 30. Antibacterial activities of fluorinated hydrazide-hydrazones 147 and 148.
Bacterial StrainMIC (µM) *
147148Chloramphenicol
L. monocytogenes558.1489.8154.7
S. aureus ATCC 25923139.561.238.7
E. faecalis ATCC 2921269.830.638.7
B. subtilis69.8122.438.7
E. coli ATCC 3521869.861.238.7
E. coli ATCC 25922139.5244.938.7
P. vulgaris NRRL B-123139.5122.4154.7
S. typhimurium NRRL B-442017.430.638.7
K. pneumoniae ATCC 1388369.861.238.7
P. aeruginosa ATCC 27853139.5122.4154.7
* MIC values provided in the original paper [58] in µg mL−1 were converted into molar concentrations.
Table 31. Antibacterial activities of fluorinated hydrazide-hydrazone 149.
Table 31. Antibacterial activities of fluorinated hydrazide-hydrazone 149.
Bacterial StrainMIC (µM) *
149AmpicillinCiprofloxacin
S. pneumoniae RCMB 01001045.52.8nd
S. aureus RCMB 01002890.92.8nd
P. aeruginosa RCMB 010043nand5.9
E. coli RCMB 010052181.8nd3.0
* MIC values provided in the original paper [59] in µg mL−1 were converted into molar concentrations. na—not active, nd—not determined.
Table 32. Antimycobacterial activities of fluorinated hydrazide-hydrazones 150, 152, 156 and 157.
Table 32. Antimycobacterial activities of fluorinated hydrazide-hydrazones 150, 152, 156 and 157.
Bacterial StrainMIC (µM)
150152156157RifampicinIsoniazid
M. smegmatis27.081.227.242.52.1512.02
Table 33. Antibacterial activities of fluorinated hydrazide-hydrazone 164.
Table 33. Antibacterial activities of fluorinated hydrazide-hydrazone 164.
Bacterial StrainMIC (µM) *
164CefaclorCefixime
E. colinana4.3
P. aeruginosanana43.1
E. aerogenesna20.868.9
S. aureus59.182.968.9
E. faecalis118.282.968.9
B. megaterium59.182.9na
* MIC values provided in the original paper [61] in µg mL−1 were converted into molar concentrations. na—not active.
Table 34. Antibacterial activities of fluorinated bis-hydrazide-hydrazones 165180.
Table 34. Antibacterial activities of fluorinated bis-hydrazide-hydrazones 165180.
Bacterial StrainMIC (µM) *
165166167168169170171172173174175176177178179180CPFX
S. pneumoniae8.131.014.729.48.131.014.735.115.830.228.634.113.025.011.927.5≤15.1
B. subtilis8.115.514.729.48.131.014.735.131.730.214.334.113.025.06.013.8≤3.0
S. aureus8.115.57.314.716.315.57.317.615.830.214.334.16.512.56.013.8≤15.1
P. aeruginosa16.331.014.729.416.331.014.735.131.730.214.334.113.012.511.913.8≤15.1
E. coli8.115.57.314.78.115.514.717.631.759.028.666.613.025.011.927.5≤3.0
K. pneumoniae16.331.07.329.416.331.07.335.115.859.014.366.625.925.011.927.5≤3.0
* MIC values provided in the original paper [62] in µg mL−1 were converted into molar concentrations. CPFX—ciprofloxacin.
Table 35. Antibacterial activities of fluorinated bis-hydrazide-hydrazones 181 and 182.
Table 35. Antibacterial activities of fluorinated bis-hydrazide-hydrazones 181 and 182.
Bacterial StrainMIC (µM) *
181182Ciprofloxacin
S. pneumoniae RCMB 01001014.212.1≤15.1
B. subtilis RCMB 0100677.112.1≤3.0
S. aureus RCMB 0100257.124.2≤15.1
P. aeruginosa RCMB 01004314.212.1≤15.1
E. coli RCMB 0100527.124.2≤3.0
K. pneumoniae RCMB 01005814.212.1≤3.0
* MIC values provided in the original paper [63] in µg mL−1 were converted into molar concentrations.
Table 36. Antibacterial activities of fluorinated hydrazide-hydrazone 183.
Table 36. Antibacterial activities of fluorinated hydrazide-hydrazone 183.
Bacterial StrainMIC (µM) *
183
P. aeruginosa1.0
K. pneumoniae60.6
S. aureus30.4
* MIC values provided in the original paper [64] in µg mL−1 were converted into molar concentrations.
Table 37. Antibacterial activities of fluorinated hydrazide-hydrazone 184.
Table 37. Antibacterial activities of fluorinated hydrazide-hydrazone 184.
Bacterial StrainMIC (µM) *
184Penicillin GStreptomycin
B. subtilis112.074.821.5
K. pneumoniae>448.037.486.0
E. coli224.0149.521.5
S. aureus112.037.486.0
P. aeruginosa224.0149.521.5
* MIC values provided in the original paper [65] in µg mL−1 were converted into molar concentrations.
Table 38. Antibacterial activities of fluorinated hydrazide-hydrazone 185.
Table 38. Antibacterial activities of fluorinated hydrazide-hydrazone 185.
Bacterial StrainMIC (µM) *
185Streptomycin
S. typhimurium MTCC 98217.243.0
E. coli MTCC 443217.286.0
V. cholerae108.686.0
S. typhi MTCC 531217.243.0
P. aeruginosa MTCC 741434.386.0
K. pneumoniae MTCC 2272108.634.4
B. subtilis MTCC 12154.321.5
S. aureus MTCC 96108.643.0
* MIC values provided in the original paper [66] in µg mL−1 were converted into molar concentrations.
Table 39. Antibacterial activities of fluorinated hydrazide-hydrazone 186.
Table 39. Antibacterial activities of fluorinated hydrazide-hydrazone 186.
Bacterial StrainMIC (µM) *
186Streptomycin
B. subtilis13.421.5
S. aureus53.521.5
K. pneumoniae13.421.5
E. coli26.843.0
P. aeruginosa53.521.5
* MIC values provided in the original paper [67] in µg mL−1 were converted into molar concentrations.
Table 40. Antibacterial activities of fluorinated hydrazide-hydrazones 190191.
Table 40. Antibacterial activities of fluorinated hydrazide-hydrazones 190191.
Bacterial StrainMIC (µM) *
190191Amikacin
P. aeruginosa ATCC 2785388.3>175.927.3
E. coli ATCC 2592244.188.027.3
E. faecalisATCC 2921288.3>175.921.3
S. aureus ATCC 2592344.1>175.952.9
MRSA ATCC 4330044.1>175.952.9
* MIC values provided in the original paper [36] in µg mL−1 were converted into molar concentrations. MRSA—methicillin-resistant S. aureus.
Table 41. The half maximal inhibition constant (IC50) against the ecKAS III for thirteen fluorinated molecules studied.
Table 41. The half maximal inhibition constant (IC50) against the ecKAS III for thirteen fluorinated molecules studied.
56141516181922232526108110
IC50 (µM) *5.617.118.47.46.848.52.728.642.58.611.758.347.5
Reference[17][18][20][20][20][20][20][20][20][20][20][47][47]
* MIC values provided in the original papers [17,18] in µg mL−1 were converted into molar concentrations. ecKAS III—the Escherichia coli β-ketoacyl-acyl carrier protein synthase III.
Disclaimer/Publisher’s Note: The statements, opinions and data contained in all publications are solely those of the individual author(s) and contributor(s) and not of MDPI and/or the editor(s). MDPI and/or the editor(s) disclaim responsibility for any injury to people or property resulting from any ideas, methods, instructions or products referred to in the content.

Share and Cite

MDPI and ACS Style

Sztanke, M.; Wilk, A.; Sztanke, K. An Insight into Fluorinated Imines and Hydrazones as Antibacterial Agents. Int. J. Mol. Sci. 2024, 25, 3341. https://doi.org/10.3390/ijms25063341

AMA Style

Sztanke M, Wilk A, Sztanke K. An Insight into Fluorinated Imines and Hydrazones as Antibacterial Agents. International Journal of Molecular Sciences. 2024; 25(6):3341. https://doi.org/10.3390/ijms25063341

Chicago/Turabian Style

Sztanke, Małgorzata, Agata Wilk, and Krzysztof Sztanke. 2024. "An Insight into Fluorinated Imines and Hydrazones as Antibacterial Agents" International Journal of Molecular Sciences 25, no. 6: 3341. https://doi.org/10.3390/ijms25063341

APA Style

Sztanke, M., Wilk, A., & Sztanke, K. (2024). An Insight into Fluorinated Imines and Hydrazones as Antibacterial Agents. International Journal of Molecular Sciences, 25(6), 3341. https://doi.org/10.3390/ijms25063341

Note that from the first issue of 2016, this journal uses article numbers instead of page numbers. See further details here.

Article Metrics

Back to TopTop