The Promising B−Type Response Regulator hst1 Gene Provides Multiple High Temperature and Drought Stress Tolerance in Rice
Abstract
1. Introduction
2. Results
2.1. The Determination of Drought Tolerance Capacity at the Germination Stage
2.2. The Effect of Drought, High Temperature, and Multiple High Temperature + Drought Stress on the Physiological Traits at the Seedling Stage
2.3. YNU Genotype Has Higher Chlorophyll Content and Photosynthesis Activity under Multiple High Temperatures and Drought Stress at the Seedling Stage
2.4. YNU Genotype Showed Higher Antioxidant Enzymes and Osmoprotectants under Multiple High Temperatures and Drought Stress at the Seedling Stage
2.5. Multiple Stress Tolerance Supported by Higher Antioxidant Enzyme Activity and Osmoprotectant Production in the YNU Genotype at the Reproductive Stage
2.6. YNU Genotype Showed Higher Yield Potential and Grain Quality under HT and Multiple HT+DS Stress Conditions
2.7. Principal Component Analysis (PCA) Highlights Differences in Stress Tolerance between the YNU and SL Genotypes
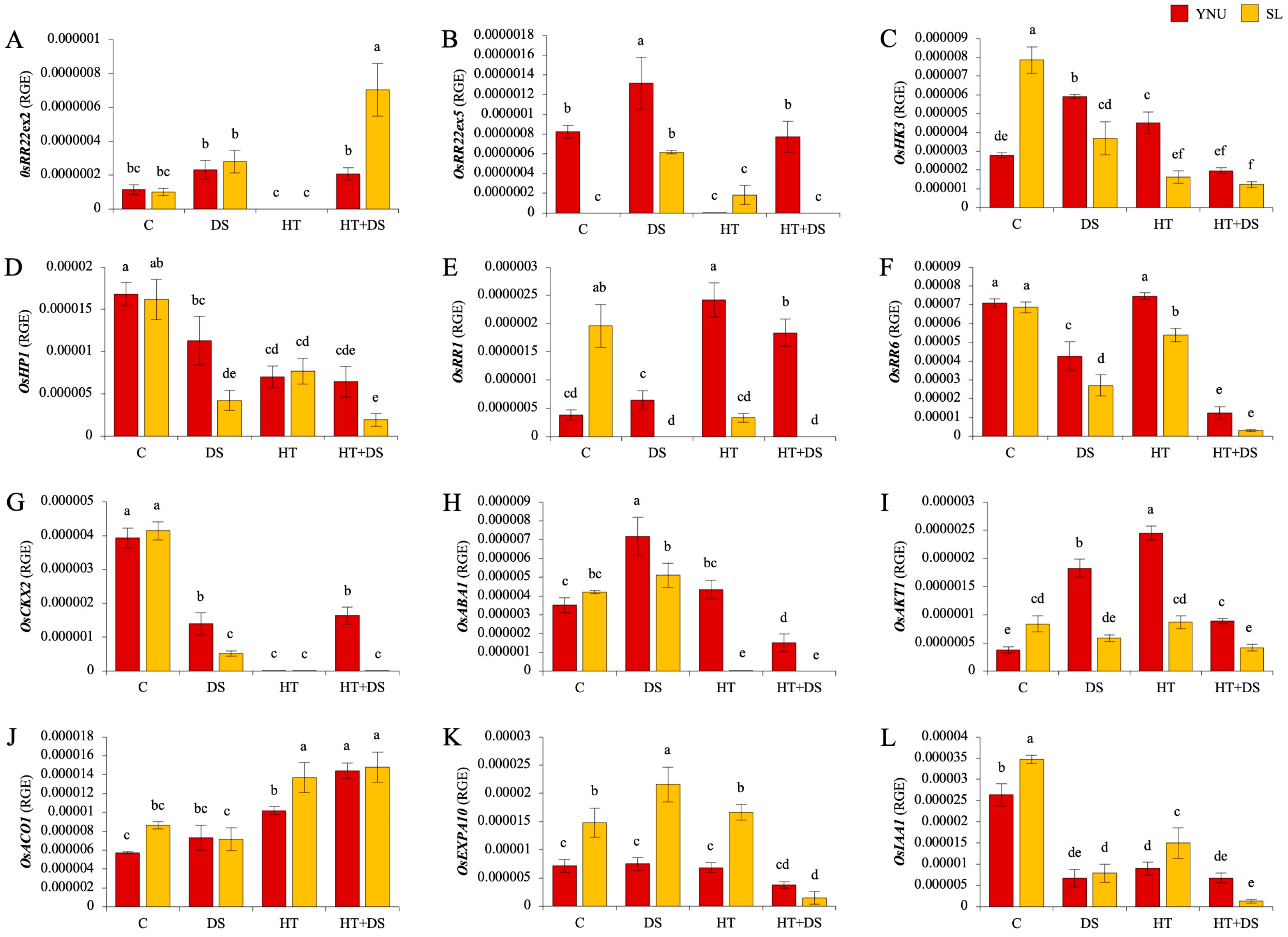
2.8. The hst1 Controls Multiple HT+DS Stress Tolerance by Regulating up and Downstream Genes
3. Discussion
4. Materials and Methods
4.1. Plant Material and Experimental Design
4.2. Leaf Gas Exchange Measurement and Photosynthetic Pigments
4.3. Sampling, Phenotyping, and Harvesting Determination
4.4. Biochemical Analysis
4.5. Real−Time Quantitative PCR Analysis
4.6. Data Analysis and Statistics
5. Conclusions
Supplementary Materials
Author Contributions
Funding
Institutional Review Board Statement
Informed Consent Statement
Data Availability Statement
Acknowledgments
Conflicts of Interest
References
- Khan, I.; Muhammad, A.; Chattha, M.U.; Skalicky, M.; Bilal Chattha, M.; Ahsin Ayub, M.; Rizwan Anwar, M.; Soufan, W.; Hassan, M.U.; Rahman, M.A.; et al. Mitigation of Salinity−Induced Oxidative Damage, Growth, and Yield Reduction in Fine Rice by Sugarcane Press Mud Application. Front. Plant. Sci. 2022, 13, 840900. [Google Scholar] [CrossRef]
- Batool, M.; El−Badri, A.M.; Hassan, M.U.; Haiyun, Y.; Chunyun, W.; Zhenkun, Y.; Jie, K.; Wang, B.; Zhou, G. Drought Stress in Brassica napus: Effects, Tolerance Mechanisms, and Management Strategies. J. Plant. Growth. Regul. 2023, 42, 21–45. [Google Scholar] [CrossRef]
- Burroughs, C.H.; Montes, C.M.; Moller, C.A.; Mitchell, N.G.; Michael, A.M.; Peng, B.; Kimm, H.; Pederson, T.L.; Lipka, A.E.; Bernacchi, C.J.; et al. Reductions in Leaf Area Index, Pod Production, Seed Size, and Harvest Index Drive Yield Loss to High Temperatures in Soybean. J. Exp. Bot. 2023, 74, 1629–1641. [Google Scholar] [CrossRef]
- IPCC. Climate Change 2007: Impacts, Adaptation and Vulnerability: Contribution of Working Group II to the Fourth Assessment Report of the Intergovernmental Panel; Intergovernmental Panel on Climate Change: Geneva, Switzerland, 2007. [Google Scholar]
- Gray, S.B.; Brady, S.M. Plant Developmental Responses to Climate Change. Dev. Biol. 2016, 419, 64–77. [Google Scholar] [CrossRef] [PubMed]
- Krishnan, P.; Ramakrishnan, B.; Reddy, K.R.; Reddy, V.R. High−Temperature Effects on Rice Growth, Yield, and Grain Quality. Adv. Agron. 2011, 111, 87–206. [Google Scholar]
- IPCC. Climate Change 2021: The Physical Science Basis. Contribution of Working Group 1 to Sixth Assessment Report of the Intergovernmental Panel on Climate Change; Intergovernmental Panel on Climate Change: Geneva, Switzerland, 2021. [Google Scholar]
- Bérard, A.; Sassi, M.B.; Kaisermann, A.; Renault, P. Soil Microbial Community Responses to Heat Wave Components: Drought and High Temperature. Clim. Res. 2015, 66, 243–264. [Google Scholar] [CrossRef]
- Ruehr, N.K.; Gast, A.; Weber, C.; Daub, B.; Arneth, A. Water Availability as Dominant Control of Heat Stress Responses in Two Contrasting Tree Species. Tree Physiol. 2015, 36, 164–178. [Google Scholar] [CrossRef]
- Poudyal, D.; Rosenqvist, E.; Ottosen, C.O. Phenotyping from Lab to Field −Tomato Lines Screened for Heat Stress Using Fv/Fm Maintain High Fruit Yield during Thermal Stress in the Field. Funct. Plant Biol. 2019, 46, 44–55. [Google Scholar] [CrossRef]
- Ro, S.; Chea, L.; Ngoun, S.; Stewart, Z.P.; Roeurn, S.; Theam, P.; Lim, S.; Sor, R.; Kosal, M.; Roeun, M.; et al. Response of Tomato Genotypes under Different High Temperatures in Field and Greenhouse Conditions. Plants 2021, 10, 449. [Google Scholar] [CrossRef]
- Chen, Y.; Yao, Z.; Sun, Y.; Wang, E.; Tian, C.; Sun, Y.; Liu, J.; Sun, C.; Tian, L. Current Studies of the Effects of Drought Stress on Root Exudates and Rhizosphere Microbiomes of Crop Plant Species. Int. J. Mol. Sci. 2022, 23, 2374. [Google Scholar] [CrossRef]
- Mathur, S.; Agrawal, D.; Jajoo, A. Photosynthesis: Response to High Temperature Stress. J. Photochem. Photobiol. B 2014, 137, 116–126. [Google Scholar] [CrossRef]
- Bhandari, S.R.; Kim, Y.H.; Lee, J.G. Detection of Temperature Stress Using Chlorophyll Fluorescence Parameters and Stress−Related Chlorophyll and Proline Content in Paprika (Capsicum annuum L.) Seedlings. Hortic. Sci. Tech. 2018, 36, 619–629. [Google Scholar] [CrossRef]
- Hernandez-Santana, V.; Perez-Arcoiza, A.; Gomez-Jimenez, M.C.; Diaz-Espejo, A. Disentangling the Link between Leaf Photosynthesis and Turgor in Fruit Growth. Plant J. 2021, 107, 1788–1801. [Google Scholar] [CrossRef] [PubMed]
- Yang, X.; Lu, M.; Wang, Y.; Wang, Y.; Liu, Z.; Chen, S. Response Mechanism of Plants to Drought Stress. Horticulturae 2021, 7, 50. [Google Scholar] [CrossRef]
- Ogunkanmi, L.; Maccarthy, D.S.; Adiku, S.G.K. Impact of Extreme Temperature and Soil Water Stress on the Growth and Yield of Soybean (Glycine max (L.) Merrill). Agriculture 2022, 12, 43. [Google Scholar] [CrossRef]
- Donde, R.; Kumar, J.; Gouda, G.; Gupta, M.K.; Mukherjee, M.; Baksh, S.Y.; Mahadani, P.; Sahoo, K.K.; Behera, L.; Dash, S.K. Assessment of Genetic Diversity of Drought Tolerant and Susceptible Rice Genotypes Using Microsatellite Markers. Rice. Sci. 2019, 26, 239–247. [Google Scholar] [CrossRef]
- Alam, M.M.; bin Toriman, M.E.; Siwar, C.; Molla, R.I.; Talib, B. The Impacts of Agricultural Supports for Climate Change Adaptation: Farm Level Assessment Study on Paddy Farmers. Am. J. Environ. Sci. 2011, 7, 178–182. [Google Scholar] [CrossRef]
- Peng, S.; Huang, J.; Sheehy, J.E.; Laza, R.C.; Visperas, R.M.; Zhong, X.; Centeno, G.S.; Khush, G.S.; Cassman, K.G. Rice Yields Decline with Higher Night Temperature from Global Warming. Proc. Natl. Acad. Sci. USA 2004, 101, 9971–9975. [Google Scholar] [CrossRef] [PubMed]
- Pitman, M.G.; Läuchli, A. Global Impact of Salinity and Agricultural Ecosystems. In Salinity: Environment–Plants–Molecules; Springer: Dordrecht, The Netherlands, 2006; pp. 3–20. [Google Scholar]
- FAO. Climate Change and Food Security: Risks and Responses. Available online: https://www.fao.org/3/i5188e/I5188E.pdf (accessed on 20 December 2023).
- FAO Global Agriculture towards 2050. High Level Expert Forum−How to Feed the World 2050. Available online: https://www.fao.org/fileadmin/templates/wsfs/docs/expert_paper/How_to_Feed_the_World_in_2050.pdf (accessed on 22 December 2023).
- Aycan, M.; Baslam, M.; Mitsui, T.; Yildiz, M. Genomics−Assisted Use of Genetic Resources for Environmentally Adaptive Plant Breeding: Salinity Tolerance. In Cereal Crops: Genetic Resources and Breeding Techniques; Routledge: Oxfordshire, UK, 2023. [Google Scholar]
- Samtani, H.; Sharma, A.; Khurana, P. Overexpression of HVA1 Enhances Drought and Heat Stress Tolerance in Triticum aestivum Doubled Haploid Plants. Cells 2022, 11, 912. [Google Scholar] [CrossRef]
- Al-Deeb, T.; Gamar, M.A.; El-Assi, N.; Al-Debei, H.; Al-Sayaydeh, R.; Al-Abdallat, A.M. Stress−Inducible Overexpression of SlDDF2 Gene Improves Tolerance against Multiple Abiotic Stresses in Tomato Plant. Horticulturae 2022, 8, 230. [Google Scholar] [CrossRef]
- Senaratna, T.; Touchell, D.; Bunn, E.; Dixon, K. Acetyl Salicylic Acid (Aspirin) and Salicylic Acid Induce Multiple Stress Tolerance in Bean and Tomato Plants. Plant Growth Regul. 2000, 30, 157–161. [Google Scholar] [CrossRef]
- Raza, H.; Khan, M.R.; Zafar, S.A.; Kirch, H.H.; Bartles, D. Aldehyde Dehydrogenase 3I1 Gene Is Recruited in Conferring Multiple Abiotic Stress Tolerance in Plants. Plant Biol. 2022, 24, 85–94. [Google Scholar] [CrossRef] [PubMed]
- Zimny, T.; Sowa, S.; Tyczewska, A.; Twardowski, T. Certain New Plant Breeding Techniques and Their Marketability in the Context of EU GMO Legislation–Recent Developments. New Biotechnol. 2019, 51, 49–56. [Google Scholar] [CrossRef] [PubMed]
- Takagi, H.; Tamiru, M.; Abe, A.; Yoshida, K.; Uemura, A.; Yaegashi, H.; Obara, T.; Oikawa, K.; Utsushi, H.; Kanzaki, E.; et al. MutMap Accelerates Breeding of a Salt−Tolerant Rice Cultivar. Nat. Biotechnol. 2015, 33, 445–449. [Google Scholar] [CrossRef] [PubMed]
- Meng, W.J.; Cheng, Z.J.; Sang, Y.L.; Zhang, M.M.; Rong, X.F.; Wang, Z.W.; Tang, Y.Y.; Zhang, X.S. Type−B ARABIDOPSIS RESPONSE REGULATORs Specify the Shoot Stem Cell Niche by Dual Regulation of WUSCHEL. Plant Cell 2017, 29, 1357–1372. [Google Scholar] [CrossRef]
- Zubo, Y.O.; Blakley, I.C.; Yamburenko, M.V.; Worthen, J.M.; Street, I.H.; Franco-Zorrilla, J.M.; Zhang, W.; Hill, K.; Raines, T.; Solano, R.; et al. Cytokinin Induces Genome−Wide Binding of the Type−B Response Regulator ARR10 to Regulate Growth and Development in Arabidopsis. Proc. Natl. Acad. Sci. USA 2017, 114, E5995–E6004. [Google Scholar] [CrossRef]
- Nguyen, K.H.; Ha, C.V.; Nishiyama, R.; Watanabe, Y.; Leyva-González, M.A.; Fujita, Y.; Tran, U.T.; Li, W.; Tanaka, M.; Seki, M.; et al. Arabidopsis Type B Cytokinin Response Regulators ARR1, ARR10, and ARR12 Negatively Regulate Plant Responses to Drought. Proc. Natl. Acad. Sci. USA 2016, 113, 3090–3095. [Google Scholar] [CrossRef]
- Zhang, A.; Liu, Y.; Wang, F.; Li, T.; Chen, Z.; Kong, D.; Bi, J.; Zhang, F.; Luo, X.; Wang, J.; et al. Enhanced Rice Salinity Tolerance via CRISPR/Cas9−Targeted Mutagenesis of the OsRR22 Gene. Mol. Breed. 2019, 39, 47. [Google Scholar] [CrossRef]
- Aycan, M.; Nahar, L.; Baslam, M.; Mitsui, T. B−Type Response Regulator hst1 Controls Salinity Tolerance in Rice by Regulating Transcription Factors and Antioxidant Mechanisms. Plant Physiol. Biochem. 2023, 196, 542–555. [Google Scholar] [CrossRef]
- Rana, M.M.; Takamatsu, T.; Baslam, M.; Kaneko, K.; Itoh, K.; Harada, N.; Sugiyama, T.; Ohnishi, T.; Kinoshita, T.; Takagi, H.; et al. Salt Tolerance Improvement in Rice through Efficient SNP Marker−Assisted Selection Coupled with Speed−Breeding. Int. J. Mol. Sci. 2019, 20, 2585. [Google Scholar] [CrossRef]
- Nahar, L.; Aycan, M.; Lopes Hornai, E.M.; Baslam, M.; Mitsui, T. Tolerance with High Yield Potential Is Provided by Lower Na+ Ion Accumulation and Higher Photosynthetic Activity in Tolerant YNU31−2−4 Rice Genotype under Salinity and Multiple Heat and Salinity Stress. Plants 2023, 12, 1910. [Google Scholar] [CrossRef]
- Fahad, S.; Bajwa, A.A.; Nazir, U.; Anjum, S.A.; Farooq, A.; Zohaib, A.; Sadia, S.; Nasim, W.; Adkins, S.; Saud, S.; et al. Crop Production under Drought and Heat Stress: Plant Responses and Management Options. Front. Plant. Sci. 2017, 8, 1147. [Google Scholar] [CrossRef]
- Oguz, M.C.; Aycan, M.; Oguz, E.; Poyraz, I.; Yildiz, M. Drought Stress Tolerance in Plants: Interplay of Molecular, Biochemical and Physiological Responses in Important Development Stages. Physiologia 2022, 2, 180–197. [Google Scholar] [CrossRef]
- Bhadouria, R.; Singh, R.; Srivastava, P.; Raghubanshi, A.S. Understanding the Ecology of Tree−Seedling Growth in Dry Tropical Environment: A Management Perspective. Energy. Ecol. Environ. 2016, 1, 296–309. [Google Scholar] [CrossRef]
- Wright, H.; DeLong, J.; Lada, R.; Prange, R. The Relationship between Water Status and Chlorophyll a Fluorescence in Grapes (Vitis spp.). Postharvest Biol. Technol. 2009, 51, 193–199. [Google Scholar] [CrossRef]
- Monteoliva, M.I.; Guzzo, C.; Posada, G.A. Breeding for Drought Tolerance by Monitoring Chlorophyll Content. Gene Tech. 2021, 10, 165. [Google Scholar] [CrossRef]
- Gu, J.; Zhou, Z.; Li, Z.; Chen, Y.; Wang, Z.; Zhang, H.; Yang, J. Photosynthetic Properties and Potentials for Improvement of Photosynthesis in Pale Green Leaf Rice under High Light Conditions. Front. Plant. Sci. 2017, 8, 1082. [Google Scholar] [CrossRef] [PubMed]
- Ort, D.R.; Merchant, S.S.; Alric, J.; Barkan, A.; Blankenship, R.E.; Bock, R.; Croce, R.; Hanson, M.R.; Hibberd, J.M.; Long, S.P.; et al. Redesigning Photosynthesis to Sustainably Meet Global Food and Bioenergy Demand. Proc. Natl. Acad. Sci. USA 2015, 112, 8529–8536. [Google Scholar] [CrossRef]
- Abdalla, M.; Ahmed, M.A.; Cai, G.; Wankmüller, F.; Schwartz, N.; Litig, O.; Javaux, M.; Carminati, A. Stomatal Closure during Water Deficit Is Controlled by Below−Ground Hydraulics. Ann. Bot. 2022, 129, 161–170. [Google Scholar] [CrossRef] [PubMed]
- Sadok, W.; Lopez, J.R.; Smith, K.P. Transpiration Increases under High−Temperature Stress: Potential Mechanisms, Trade−Offs and Prospects for Crop Resilience in a Warming World. Plant Cell Environ. 2021, 44, 2102–2116. [Google Scholar] [CrossRef] [PubMed]
- Cruz De Carvalho, M.H. Drought Stress and Reactive Oxygen Species: Production, Scavenging and Signaling. Plant Signal. Behav. 2008, 3, 156–165. [Google Scholar] [CrossRef] [PubMed]
- Su, L.J.; Zhang, J.H.; Gomez, H.; Murugan, R.; Hong, X.; Xu, D.; Jiang, F.; Peng, Z.Y. Reactive Oxygen Species−Induced Lipid Peroxidation in Apoptosis, Autophagy, and Ferroptosis. Oxid. Med. Cell Longev. 2019, 2019, 5080843. [Google Scholar] [CrossRef]
- Nahar, L.; Aycan, M.; Hanamata, S.; Baslam, M.; Mitsui, T. Impact of Single and Combined Salinity and High−Temperature Stresses on Agro−Physiological, Biochemical, and Transcriptional Responses in Rice and Stress−Release. Plants 2022, 11, 501. [Google Scholar] [CrossRef]
- Cvikrová, M.; Gemperlová, L.; Martincová, O.; Vanková, R. Effect of Drought and Combined Drought and Heat Stress on Polyamine Metabolism in Proline−over−Producing Tobacco Plants. Plant Physiol. Biochem. 2013, 73, 7–15. [Google Scholar] [CrossRef]
- Kavi Kishor, P.B.; Suravajhala, P.; Rathnagiri, P.; Sreenivasulu, N. Intriguing Role of Proline in Redox Potential Conferring High Temperature Stress Tolerance. Front. Plant. Sci. 2022, 13, 867531. [Google Scholar] [CrossRef] [PubMed]
- Rajput, V.D.; Harish; Singh, R.K.; Verma, K.K.; Sharma, L.; Quiroz-Figueroa, F.R.; Meena, M.; Gour, V.S.; Minkina, T.; Sushkova, S.; et al. Recent Developments in Enzymatic Antioxidant Defence Mechanism in Plants with Special Reference to Abiotic Stress. Biology 2021, 10, 267. [Google Scholar] [CrossRef] [PubMed]
- Liu, J.; Xie, X.; Du, J.; Sun, J.; Bai, X. Effects of Simultaneous Drought and Heat Stress on Kentucky Bluegrass. Sci. Hortic. 2008, 115, 190–195. [Google Scholar] [CrossRef]
- Ru, C.; Hu, X.; Chen, D.; Wang, W.; Zhen, J. Photosynthetic, Antioxidant Activities, and Osmoregulatory Responses in Winter Wheat Differ during the Stress and Recovery Periods under Heat, Drought, and Combined Stress. Plant Sci. 2023, 327, 111557. [Google Scholar] [CrossRef]
- Liu, J.; Hasanuzzaman, M.; Wen, H.; Zhang, J.; Peng, T.; Sun, H.; Zhao, Q. High Temperature and Drought Stress Cause Abscisic Acid and Reactive Oxygen Species Accumulation and Suppress Seed Germination Growth in Rice. Protoplasma 2019, 256, 1217–1227. [Google Scholar] [CrossRef]
- Gong, M.; Jiang, D.; Liu, R.; Tian, S.; Xing, H.; Chen, Z.; Shi, R.; Li, H.L. Influence of High−Temperature and Intense Light on the Enzymatic Antioxidant System in Ginger (Zingiber officinale Roscoe) Plantlets. Metabolites 2023, 13, 992. [Google Scholar] [CrossRef]
- To, J.P.C.; Kieber, J.J. Cytokinin Signaling: Two−Components and More. Trends Plant Sci. 2008, 13, 85–92. [Google Scholar] [CrossRef]
- Hwang, I.; Sheen, J. Two−Component Circuitry in Arabidopsis Cytokinin Signal Transduction. Nature 2001, 413, 383–389. [Google Scholar] [CrossRef]
- Wallmeroth, N.; Jeschke, D.; Slane, D.; Nägele, J.; Veerabagu, M.; Mira-Rodado, V.; Berendzen, K.W. ARR22 Overexpression Can Suppress Plant Two−Component Regulatory Systems. PLoS ONE 2019, 14, e0212056. [Google Scholar] [CrossRef]
- Machado, S.; Paulsen, G.M. Combined Effects of Drought and High Temperature on Water Relations of Wheat and Sorghum. Plant Soil. 2001, 233, 179–187. [Google Scholar] [CrossRef]
- Meehl, G.A.; Tebaldi, C. More Intense, More Frequent, and Longer Lasting Heat Waves in the 21st Century. Science 2004, 305, 994–997. [Google Scholar] [CrossRef] [PubMed]
- Hlaváčová, M.; Klem, K.; Rapantová, B.; Novotná, K.; Urban, O.; Hlavinka, P.; Smutná, P.; Horáková, V.; Škarpa, P.; Pohanková, E.; et al. Interactive Effects of High Temperature and Drought Stress during Stem Elongation, Anthesis and Early Grain Filling on the Yield Formation and Photosynthesis of Winter Wheat. Field Crops Res. 2018, 221, 182–195. [Google Scholar] [CrossRef]
- Sujarit, A.; Cheaupan, K.; Chattham, N. Detection of Rice Grain Chalkiness Level with Volume Estimation from Image Processing. Proc. SPIE. 2020, 11331, 113310J. [Google Scholar] [CrossRef]
- Bernardo, M. Edge Detection Techniques for Rice Grain Quality Analysis Using Image Processing Techniques. J. Eng. Emer. Technol. 2022, 1, 1–5. [Google Scholar] [CrossRef]
- Billah, M.; Aktar, S.; Brestic, M.; Zivcak, M.; Khaldun, A.B.M.; Uddin, M.S.; Bagum, S.A.; Yang, X.; Skalicky, M.; Mehari, T.G.; et al. Progressive Genomic Approaches to Explore Drought- and Salt-Induced Oxidative Stress Responses in Plants under Changing Climate. Plants 2021, 10, 1910. [Google Scholar] [CrossRef] [PubMed]
- Wen, F.; Qin, T.; Wang, Y.; Dong, W.; Zhang, A.; Tan, M.; Jiang, M. OsHK3 Is a Crucial Regulator of Abscisic Acid Signaling Involved in Antioxidant Defense in Rice. J. Integr. Plant. Biol. 2015, 57, 213–228. [Google Scholar] [CrossRef] [PubMed]
- Sun, L.; Zhang, Q.; Wu, J.; Zhang, L.; Jiao, X.; Zhang, S.; Zhang, Z.; Sun, D.; Lu, T.; Sun, Y. Two Rice Authentic Histidine Phosphotransfer Proteins, OsAHP1 and OsAHP2, Mediate Cytokinin Signaling and Stress Responses in Rice. Plant Physiol. 2014, 165, 335–345. [Google Scholar] [CrossRef] [PubMed]
- Urao, T.; Yakubov, B.; Yamaguchi-Shinozaki, K.; Shinozaki, K. Stress−Responsive Expression of Genes for Two−Component Response Regulator−like Proteins in Arabidopsis thaliana. FEBS Lett. 1998, 427, 175–178. [Google Scholar] [CrossRef] [PubMed]
- Jain, M.; Tyagi, A.K.; Khurana, J.P. Molecular Characterization and Differential Expression of Cytokinin−Responsive Type−A Response Regulators in Rice (Oryza sativa). BMC Plant Biol. 2006, 6, 1–11. [Google Scholar] [CrossRef] [PubMed]
- Nishiyama, R.; Watanabe, Y.; Fujita, Y.; Le, D.T.; Kojima, M.; Werner, T.; Vankova, R.; Yamaguchi-Shinozaki, K.; Shinozaki, K.; Kakimoto, T.; et al. Analysis of Cytokinin Mutants and Regulation of Cytokinin Metabolic Genes Reveals Important Regulatory Roles of Cytokinins in Drought, Salt and Abscisic Acid Responses, and Abscisic Acid Biosynthesis. Plant Cell 2011, 23, 2169–2183. [Google Scholar] [CrossRef] [PubMed]
- Bhaskar, A.; Paul, L.K.; Sharma, E.; Jha, S.; Jain, M.; Khurana, J.P. OsRR6, a Type−A Response Regulator in Rice, Mediates Cytokinin, Light and Stress Responses When over−Expressed in Arabidopsis. Plant Physiol. Biochem. 2021, 161, 98–112. [Google Scholar] [CrossRef] [PubMed]
- Cao, L.; Lu, X.; Wang, G.; Zhang, Q.; Zhang, X.; Fan, Z.; Cao, Y.; Wei, L.; Wang, T.; Wang, Z. Maize ZmbZIP33 Is Involved in Drought Resistance and Recovery Ability Through an Abscisic Acid−Dependent Signaling Pathway. Front. Plant Sci. 2021, 12, 629903. [Google Scholar] [CrossRef] [PubMed]
- Ahmad, I.; Mian, A.; Maathuis, F.J.M. Overexpression of the Rice AKT1 Potassium Channel Affects Potassium Nutrition and Rice Drought Tolerance. J. Exp. Bot. 2016, 67, 2689–2698. [Google Scholar] [CrossRef]
- Fuchs, I.; Stölzle, S.; Ivashikina, N.; Hedrich, R. Rice K+ Uptake Channel OsAKT1 Is Sensitive to Salt Stress. Planta 2005, 221, 212–221. [Google Scholar] [CrossRef]
- Wu, Y.S.; Yang, C.Y. Ethylene−Mediated Signaling Confers Thermotolerance and Regulates Transcript Levels of Heat Shock Factors in Rice Seedlings under Heat Stress. Bot. Stud. 2019, 60, 23. [Google Scholar] [CrossRef]
- Che, J.; Yamaji, N.; Shen, R.F.; Ma, J.F. An Al−Inducible Expansin Gene, OsEXPA10 Is Involved in Root Cell Elongation of Rice. Plant J. 2016, 88, 132–142. [Google Scholar] [CrossRef]
- Tan, J.; Wang, M.; Shi, Z.; Miao, X. OsEXPA10 Mediates the Balance between Growth and Resistance to Biotic Stress in Rice. Plant Cell Rep. 2018, 37, 993–1002. [Google Scholar] [CrossRef]
- Wang, F.; Niu, H.; Xin, D.; Long, Y.; Wang, G.; Liu, Z.; Li, G.; Zhang, F.; Qi, M.; Ye, Y.; et al. OsIAA18, an Aux/IAA Transcription Factor Gene, Is Involved in Salt and Drought Tolerance in Rice. Front. Plant. Sci. 2021, 12, 738660. [Google Scholar] [CrossRef] [PubMed]
- Sahid, S.; Roy, C.; Shee, D.; Datta, R.; Paul, S. Jacalin Domain−Containing Protein OsSalT Interacts with OsDREB2A and OsNAC1 to Impart Drought Stress Tolerance in Planta. Environ. Exp. Bot. 2021, 183, 104362. [Google Scholar] [CrossRef]
- Shiraya, T.; Mori, T.; Maruyama, T.; Sasaki, M.; Takamatsu, T.; Oikawa, K.; Itoh, K.; Kaneko, K.; Ichikawa, H.; Mitsui, T. Golgi/Plastid−Type Manganese Superoxide Dismutase Involved in Heat−Stress Tolerance during Grain Filling of Rice. Plant Biotechnol. J. 2015, 13, 1251–1263. [Google Scholar] [CrossRef] [PubMed]
- Aycan, M.; Beyaz, R.; Bahadir, A.; Yildiz, M. The Effect of Magnetic Field Strength on Shoot Regeneration and Agrobacterium Tumefaciens−Mediated Gene Transfer in Flax (Linum usitatissimum L.). Czech J. Genet. Plant Breed. 2019, 55, 20–27. [Google Scholar] [CrossRef]
- Yoshida, S.; Forno, D.A.; Cock, J.H.; Gomez, K.A. Routine Procedure for Growing Rice Plants in Culture Solution. In Laboratory Manual for Physiological Studies of Rice; The International Rice Research Institute: Manila, Philippines, 1976; ISBN 9711040352. [Google Scholar]
- Grimme, L.H.; Boardman, N.K. Photochemical Activities of a Particle Fraction P1 Obtained from the Green Alga Chlorella fusca. Biochem. Biophys. Res. Commun. 1972, 49, 1617–1623. [Google Scholar] [CrossRef]
- Sade, N.; Vinocur, B.J.; Diber, A.; Shatil, A.; Ronen, G.; Nissan, H.; Wallach, R.; Karchi, H.; Moshelion, M. Improving Plant Stress Tolerance and Yield Production: Is the Tonoplast Aquaporin SlTIP2;2 a Key to Isohydric to Anisohydric Conversion? New Phytol. 2009, 181, 651–661. [Google Scholar] [CrossRef]
- Bates, L.S.; Waldren, R.P.; Teare, I.D. Rapid Determination of Free Proline for Water−Stress Studies. Plant Soil 1973, 39, 205–207. [Google Scholar] [CrossRef]
- Dhindsa, R.S.; Matowe, W. Drought Tolerance in Two Mosses: Correlated with Enzymatic Defence against Lipid Peroxidation. J. Exp. Bot. 1981, 32, 79–91. [Google Scholar] [CrossRef]
- Tejera García, N.A.; Olivera, M.; Iribarne, C.; Lluch, C. Partial Purification and Characterization of a Non−Specific Acid Phosphatase in Leaves and Root Nodules of Phaseolus Vulgaris. Plant Physiol. Biochem. 2004, 42, 585–591. [Google Scholar] [CrossRef]
- Cakmak, I.; Marschner, H. Magnesium Deficiency and High Light Intensity Enhance Activities of Superoxide Dismutase, Ascorbate Peroxidase, and Glutathione Reductase in Bean Leaves. Plant Physiol. 1992, 98, 1222–1227. [Google Scholar] [CrossRef] [PubMed]
- Aebi, H. Catalase in Vitro. In Methods in Enzymology; Academic Press: Cambridge, MA, USA, 1984; Volume 105, pp. 121–126. ISBN 0076-6879. [Google Scholar]
- Amako, K.; Chen, G.X.; Asada, K. Separate Assays Specific for Ascorbate Peroxidase and Guaiacol Peroxidase and for the Chloroplastic and Cytosolic Isozymes of Ascorbate Peroxidase in Plants. Plant Cell Physiol. 1994, 35, 497–504. [Google Scholar] [CrossRef]
- Simms, D.; Cizdziel, P.; Chomczynski, P. TRIzol: A New Reagent for Optimal Single−Step Isolation of RNA. Focus 1993, 15, 99–102. [Google Scholar] [CrossRef]
- Livak, K.J.; Schmittgen, T.D. Analysis of Relative Gene Expression Data Using Real−Time Quantitative PCR and the 2−ΔΔCT Method. Methods 2001, 25, 402–408. [Google Scholar] [CrossRef]
- Hothorn, T.; Bretz, F.; Westfall, P. Simultaneous Inference in General Parametric Models. Biom. J. 2008, 50, 346–363. [Google Scholar] [CrossRef]
- Kassambara, A.; Mundt, F. Factoextra: Extract and Visualize the Results of Multivariate Data Analyses. R Package Version 1.0.7. Available online: https://CRAN.R-project.org/package=factoextra (accessed on 15 November 2023).
- Kolde, R. Pretty Heatmaps. R Package Version 1.0.10. Available online: https://CRAN.R-project.org/package=pheatmap (accessed on 20 November 2023).






Disclaimer/Publisher’s Note: The statements, opinions and data contained in all publications are solely those of the individual author(s) and contributor(s) and not of MDPI and/or the editor(s). MDPI and/or the editor(s) disclaim responsibility for any injury to people or property resulting from any ideas, methods, instructions or products referred to in the content. |
© 2024 by the authors. Licensee MDPI, Basel, Switzerland. This article is an open access article distributed under the terms and conditions of the Creative Commons Attribution (CC BY) license (https://creativecommons.org/licenses/by/4.0/).
Share and Cite
Lopes Hornai, E.M.; Aycan, M.; Mitsui, T. The Promising B−Type Response Regulator hst1 Gene Provides Multiple High Temperature and Drought Stress Tolerance in Rice. Int. J. Mol. Sci. 2024, 25, 2385. https://doi.org/10.3390/ijms25042385
Lopes Hornai EM, Aycan M, Mitsui T. The Promising B−Type Response Regulator hst1 Gene Provides Multiple High Temperature and Drought Stress Tolerance in Rice. International Journal of Molecular Sciences. 2024; 25(4):2385. https://doi.org/10.3390/ijms25042385
Chicago/Turabian StyleLopes Hornai, Ermelinda Maria, Murat Aycan, and Toshiaki Mitsui. 2024. "The Promising B−Type Response Regulator hst1 Gene Provides Multiple High Temperature and Drought Stress Tolerance in Rice" International Journal of Molecular Sciences 25, no. 4: 2385. https://doi.org/10.3390/ijms25042385
APA StyleLopes Hornai, E. M., Aycan, M., & Mitsui, T. (2024). The Promising B−Type Response Regulator hst1 Gene Provides Multiple High Temperature and Drought Stress Tolerance in Rice. International Journal of Molecular Sciences, 25(4), 2385. https://doi.org/10.3390/ijms25042385

