Genomic Insights into High-Altitude Adaptation: A Comparative Analysis of Roscoea alpina and R. purpurea in the Himalayas
Abstract
1. Introduction
2. Results
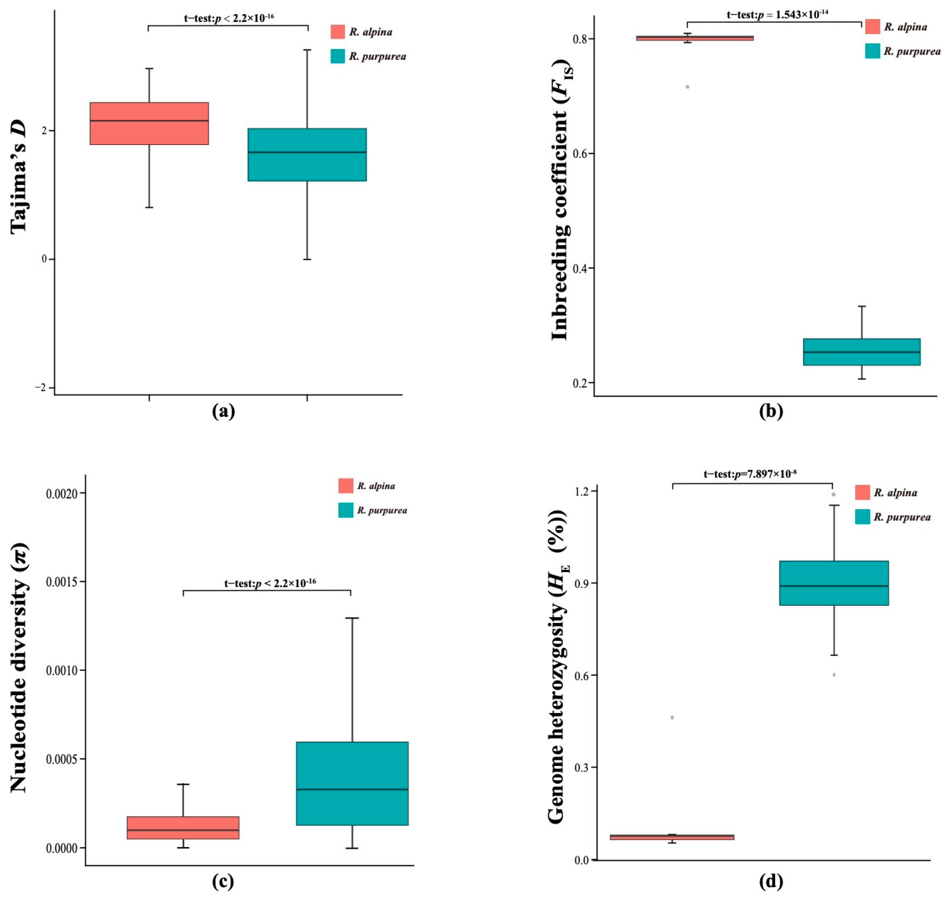
2.1. Genomic Feature Investigation
2.2. Difference in Demographic History
2.3. Candidate Genes Associated with High-Altitude Adaptation
3. Discussion
3.1. Genomic Features for Adaptive Evolution in the High Himalayas
3.2. Difference in Demographic History within the Himalayas
3.3. Candidate Genes Associated with High-Altitude Adaptation
4. Materials and Methods
4.1. Resequencing and Variant Discovery
4.2. Genomic Feature Investigation
4.3. Demographic Inferences
4.4. Identification of Candidate Genes Associated with High-Altitude Adaptation
5. Conclusions
Supplementary Materials
Author Contributions
Funding
Institutional Review Board Statement
Informed Consent Statement
Data Availability Statement
Conflicts of Interest
References
- Singh, S.; Singh, R. High-altitude clear-sky direct solar ultraviolet irradiance at Leh and Hanle in the western Himalayas: Observations and model calculations. J. Geophys. Res. Atmos. 2004, 109, D19201. [Google Scholar] [CrossRef]
- Stres, B.; Sul, W.J.; Murovec, B.; Tiedje, J.M. Recently deglaciated high-altitude soils of the Himalaya: Diverse environments, heterogenous bacterial communities and long-range dust inputs from the upper troposphere. PLoS ONE 2013, 8, e76440. [Google Scholar] [CrossRef]
- Monge, C.; León-Velarde, F. Physiological adaptation to high altitude: Oxygen transport in mammals and birds. Physiol. Rev. 1991, 71, 1135–1172. [Google Scholar] [CrossRef]
- Storz, J.F.; Scott, G.R.; Cheviron, Z.A. Phenotypic plasticity and genetic adaptation to high-altitude hypoxia in vertebrates. J. Exp. Biol. 2010, 213, 4125–4136. [Google Scholar] [CrossRef] [PubMed]
- Hoffmann, A.A.; Sgrò, C.M. Climate change and evolutionary adaptation. Nature 2011, 470, 479485. [Google Scholar] [CrossRef] [PubMed]
- Gong, J.R.; Zhang, Z.H.; Zhang, C.L.; Zhang, J.Q.; Ran, A. Ecophysiological responses of three tree species to a high-altitude environment in the southeastern Tibetan Plateau. Forests 2018, 9, 48. [Google Scholar] [CrossRef]
- Gros-Balthazard, M.; Besnard, G.; Sarah, G.; Holtz, Y.; Leclercq, J.; Santoni, S.; Wegmann, D.; Glemin, S.; Khadari, B. Evolutionary transcriptomics reveals the origins of olives and the genomic changes associated with their domestication. Plant J. 2019, 100, 143–157. [Google Scholar] [CrossRef] [PubMed]
- Halbritter, A.H.; Fior, S.; Keller, I.; Billeter, R.; Edwards, P.J.; Holderegger, R.; Karrenberg, S.; Pluess, A.R.; Widmer, A.; Alexander, J.M. Trait differentiation and adaptation of plants along elevation gradients. J. Evol. Biol. 2018, 31, 784–800. [Google Scholar] [CrossRef] [PubMed]
- Zhang, X.; Kuang, T.; Dong, W.; Qian, Z.; Zhang, H.; Landis, J.B.; Feng, T.; Li, L.; Sun, Y.; Huang, J.; et al. Genomic convergence underlying high-altitude adaptation in alpine plants. J. Integr. Plant Biol. 2023, 65, 1620–1635. [Google Scholar] [CrossRef] [PubMed]
- Jaganathan, G.K.; Dalrymple, S.E.; Pritchard, H.W. Seed survival at low temperatures: A potential Sselecting factor influencing community level changes in high altitudes under climate change. Crit. Rev. Plant Sci. 2020, 39, 479–492. [Google Scholar] [CrossRef]
- Tyagi, A.; Yadav, A.; Tripathi, A.M.; Roy, S. High light intensity plays a major role in emergence of population level variation in Arabidopsis thaliana along an altitudinal gradient. Sci. Rep. 2016, 23, 26160. [Google Scholar] [CrossRef] [PubMed]
- Wu, C.; Sun, Y.; Yang, G.; Li, L.; Sun, W.; Wang, Z.; Zhang, H.; Li, Y. Natural variation in stress response induced by low CO2 in Arabidopsis thaliana. Open Life Sci. 2020, 21, 923–938. [Google Scholar] [CrossRef] [PubMed]
- León, J.; Castillo, M.C.; Gayubas, B. The hypoxia-reoxygenation stress in plants. J. Exp. Bot. 2021, 72, 5841–5856. [Google Scholar] [CrossRef] [PubMed]
- Agati, G.; Azzarello, E.; Pollastri, S.; Tattini, M. Flavonoids as antioxidants in plants: Location and functional significance. Plant Sci. 2012, 196, 67–76. [Google Scholar] [CrossRef] [PubMed]
- Zhang, P.F.; Wang, Y.B.; Zhang, J.B.; Maddock, S.; Snook, M.; Peterson, T. A maize QTL for silk maysin levels contains duplicated Myb-homologous genes which jointly regulate flavone biosynthesis. Plant Mol. Biol. 2003, 52, 1–15. [Google Scholar] [CrossRef] [PubMed]
- Casati, P.; Walbot, V. Differential accumulation of maysin and rhamnosylisoorientin in leaves of high-altitude landraces of maize after UV-B exposure. Plant Cell Environ. 2005, 28, 788–799. [Google Scholar] [CrossRef]
- Flood, P.J.; Hancock, A.M. The genomic basis of adaptation in plants. Curr. Opin. Plant Biol. 2017, 36, 88–94. [Google Scholar] [CrossRef]
- Tiffin, P.; Ross-Ibarra, J. Advances and limits of using population genetics to understand local adaptation. Trends Ecol. Evol. 2014, 29, 673–780. [Google Scholar] [CrossRef]
- Stapley, J.; Reger, J.; Feulner, P.G.D.; Smadja, C.; Galindo, J.; Ekblom, R.; Bennison, C.; Ball, A.D.; Beckerman, A.P.; Slate, J. Adaptation genomics: The next generation. Trends Ecol. Evol. 2010, 25, 705–712. [Google Scholar] [CrossRef]
- Ekblom, R.; Galindo, J. Applications of next generation sequencing in molecular ecology of non-model organisms. Heredity 2011, 107, 1–15. [Google Scholar] [CrossRef]
- Zaborowska, J.; Labiszak, B.; Perry, A.; Cavers, S.; Wachowiak, W. Candidate genes for the high-altitude adaptations of two mountain pine taxa. Int. J. Mol. Sci. 2021, 22, 3477. [Google Scholar] [CrossRef]
- Abbas, M.; Sharma, G.; Dambire, C.; Marquez, J.; Alonso-Blanco, C.; Proano, K.; Holdsworth, M.J. An oxygen-sensing mechanism for angiosperm adaptation to altitude. Nature 2022, 606, 565–569. [Google Scholar] [CrossRef]
- Wu, Z.Y. Origin and Evolution of the Flora of Tibet; Science Press: Beijing, China, 1988. [Google Scholar]
- Chang, H.T.; Kong, Y.C.; But, P.H. The origin and its affinity of the Nepalese flora. Acta Sci. Nat. Univ. Sunyatseni 1988, 2, 1–12. [Google Scholar]
- Singh, J.S.; Singh, S.P. Forest vegetation of the Himalaya. Bot. Rev. 1987, 53, 80–192. [Google Scholar] [CrossRef]
- Vetaas, O.R.; Grytnes, J.A. Distribution of vascular plant species richness and endemic richness along the Himalayan elevation gradient in Nepal. Glob. Ecol. Biogeogr. 2002, 11, 291–301. [Google Scholar] [CrossRef]
- Zhao, J.L.; Paudel, B.R.; Yu, X.Q.; Zhang, J.; Li, Q.J. Speciation along the elevation gradient: Divergence of Roscoea species within the south slope of the Himalayas. Mol. Phylogenet. Evol. 2021, 164, 107292. [Google Scholar] [CrossRef]
- Zhao, J.L.; Zhong, J.S.; Fan, Y.L.; Xia, Y.M.; Li, Q.J. A preliminary species-level phylogeny of the alpine ginger Roscoea: Implications for speciation. J. Syst. Evol. 2017, 55, 215–224. [Google Scholar] [CrossRef]
- Cowley, E. The Genus Roscoea; The Royal Botanic Gardens: Kew, UK, 2007. [Google Scholar]
- Zhao, J.L.; Xia, Y.M.; Cannon, C.H.; Kress, W.J.; Li, Q.J. Evolutionary diversification of alpine ginger reflects the early uplift of the Himalayan–Tibetan Plateau and rapid extrusion of Indochina. Gondwana Res. 2016, 32, 232–241. [Google Scholar] [CrossRef]
- Ngamriabsakul, C.; Newman, M.; Cronk, Q. Phylogeny and disjunction in Roscoea (Zingiberaceae). Edinb. J. Bot. 2000, 57, 39–61. [Google Scholar] [CrossRef]
- Paudel, B.R.; Dyer, A.G.; Garcia, J.E.; Shrestha, M. The effect of elevational gradient on alpine gingers (Roscoea alpina and R. purpurea) in the Himalayas. PeerJ 2019, 7, e7503. [Google Scholar] [CrossRef]
- Paudel, B.R.; Shrestha, M.; Burd, M.; Adhikari, S.; Sun, Y.S.; Li, Q.J. Coevolutionary elaboration of pollination-related traits in an alpine ginger (Roscoea purpurea) and a tabanid fly in the Nepalese Himalayas. New Phytol. 2016, 211, 1402–1411. [Google Scholar] [CrossRef] [PubMed]
- Zhang, X.X.; Liu, B.G.; Li, Y.; Liu, Y.; He, Y.X.; Qian, Z.Q.; Li, J.X. Landscape genetics reveals that adaptive genetic divergence in Pinus bungeana (Pinaceae) is driven by environmental variables relating to ecological habitats. BMC Evol. Biol. 2019, 19, 160. [Google Scholar] [CrossRef] [PubMed]
- Hartfield, M.; Bataillon, T.; Glemin, S. The evolutionary interplay between adaptation and self-fertilization. Trends Genet. 2017, 33, 420–431. [Google Scholar] [CrossRef]
- Walter, G.M.; Clark, J.; Cristaudo, A.; Terranova, D.; Nevado, B.; Catara, S.; Paunov, M.; Velikova, V.; Filatov, D.; Cozzolino, S.; et al. Adaptive divergence generates distinct plastic responses in two closely related Senecio species. Evolution 2022, 76, 1229–1245. [Google Scholar] [CrossRef] [PubMed]
- Shockey, J.M.; Fulda, M.S.; Browse, J.A. Arabidopsis contains nine long-chain acyl-coenzyme a synthetase genes that participate in fatty acid and glycerolipid metabolism. Plant Physiol. 2002, 129, 1710–1722. [Google Scholar] [CrossRef]
- Naested, H.; Holm, A.; Jenkins, T.; Nielsen, H.B.; Harris, C.A.; Beale, M.H.; Andersen, M.; Mant, A.; Scheller, H.; Camara, B.; et al. Arabidopsis VARIEGATED 3 encodes a chloroplast-targeted, zinc-finger protein required for chloroplast and palisade cell development. J. Cell Sci. 2004, 117, 4807–4818. [Google Scholar] [CrossRef]
- Dong, Y.; Yang, X.; Liu, J.; Wang, B.H.; Liu, B.L.; Wang, Y.Z. Pod shattering resistance associated with domestication is mediated by a NAC gene in soybean. Nat. Commun. 2014, 5, 3352. [Google Scholar] [CrossRef]
- Ohnishi, T. Recent advances in brassinosteroid biosynthetic pathway: Insight into novel brassinosteroid shortcut pathway. J. Pestic. Sci. 2018, 43, 159–167. [Google Scholar] [CrossRef]
- Yang, S.Q.; Li, W.Q.; Miao, H.; Gan, P.F.; Qiao, L.; Chang, Y.L.; Shi, C.H.; Chen, K.M. REL2, a gene encoding an unknown function protein which contains DUF630 and DUF632 domains controls leaf rolling in rice. Rice 2016, 9, 37. [Google Scholar] [CrossRef]
- Zhou, B.; Zeng, L. Elucidating the role of highly homologous Nicotiana benthamiana ubiquitin E2 gene family members in plant immunity through an improved virus-induced gene silencing approach. Plant Methods 2017, 13, 59. [Google Scholar] [CrossRef]
- Toller, A.; Brownfield, L.; Neu, C.; Twell, D.; Schulze-Lefert, P. Dual function of Arabidopsis glucan synthase-like genes GSL8 and GSL10 in male gametophyte development and plant growth. Plant J. 2008, 54, 911–923. [Google Scholar] [CrossRef]
- Chen, Y.; Zhang, B.; Li, C.; Lei, C.; Kong, C.; Yang, Y.; Gong, M. A comprehensive expression analysis of the expansin gene family in potato (Solanum tuberosum) discloses stress-responsive expansin-like B genes for drought and heat tolerances. PLoS ONE 2019, 14, e0219837. [Google Scholar] [CrossRef]
- Huang, W.; Pi, L.; Liang, W.; Xu, B.; Wang, H.; Cai, R.; Huang, H. The proteolytic function of the Arabidopsis 26S proteasome is required for specifying leaf adaxial identity. Plant Cell 2006, 18, 2479–2492. [Google Scholar] [CrossRef][Green Version]
- Pagnussat, G.C.; Yu, H.J.; Ngo, Q.A.; Rajani, S.; Mayalagu, S.; Johnson, C.S.; Capron, A.; Xie, L.F.; Ye, D.; Sundaresan, V. Genetic and molecular identification of genes required for female gametophyte development and function in Arabidopsis. Development 2005, 132, 603–614. [Google Scholar] [CrossRef] [PubMed]
- Sugano, S.; Andronis, C.; Ong, M.; Green, R.; Tobin, E. The protein kinase CK2 is involved in regulation of circadian rhythms in Arabidopsis. Proc. Natl. Acad. Sci. USA 1999, 96, 12362–12366. [Google Scholar] [CrossRef]
- Triwitayakorn, K.; Njiti, V.N.; Iqbal, M.J.; Yaegashi, S.; Town, C.; Lightfoot, D.A. Genomic analysis of a region encompassing QRfs1 and QRfs2: Genes that underlie soybean resistance to sudden death syndrome. Genome 2005, 48, 125–138. [Google Scholar] [CrossRef] [PubMed]
- Restrepo-Montoya, D.; Brueggeman, R.; McClean, P.E.; Osorno, J.M. Computational identification of receptor-like kinases “RLK” and receptor-like proteins “RLP” in legumes. BMC Genom. 2020, 21, 459. [Google Scholar] [CrossRef] [PubMed]
- Ma, L.; Xue, N.; Fu, X.; Zhang, H.; Li, G. Arabidopsis thaliana FAR-RED ELONGATED HYPOCOTYLS3 (FHY3) and FAR-RED-IMPAIRED RESPONSE1 (FAR1) modulate starch synthesis in response to light and sugar. New Phytol. 2017, 213, 1682–1696. [Google Scholar] [CrossRef] [PubMed]
- Cui, G.; Li, B.; He, W.; Yin, X.; Liu, S.; Lian, L.; Zhang, Y.; Liang, W.; Zhang, P. Physiological analysis of the effect of altitudinal gradients on Leymus secalinus on the Qinghai-Tibetan Plateau. PLoS ONE 2018, 13, e0202881. [Google Scholar] [CrossRef] [PubMed]
- Pierrugues, O.; Brutesco, C.; Oshiro, J.; Gouy, M.; Deveaux, Y.; Carman, G.M.; Thuriaux, P.; Kazmaier, M. Lipid phosphate phosphatases in Arabidopsis. Regulation of the AtLPP1 gene in response to stress. J. Biol. Chem. 2001, 276, 20300–20308. [Google Scholar] [CrossRef]
- Wright, S.I.; Kalisz, S.; Slotte, T. Evolutionary consequences of self-fertilization in plants. Proc. Biol. Sci. 2013, 280, 20130133. [Google Scholar] [CrossRef]
- van Ginkel, M.; Flipphi, R.C.H. Why self-fertilizing plants still exist in wild populations: Diversity assurance through stress-induced male sterility may promote selective outcrossing and recombination. Agronomy 2020, 10, 349. [Google Scholar] [CrossRef]
- Zhang, Z.Q.; Li, Q.J. Autonomous selfing provides reproductive assurance in an alpine ginger Roscoea schneideriana (Zingiberaceae). Ann. Bot. 2008, 102, 531–538. [Google Scholar] [CrossRef] [PubMed]
- Bliss, L.C. Adaptations of arctic and alpine plants to environmental conditions. Arctic 1962, 15, 117–144. [Google Scholar] [CrossRef]
- García-Camacho, R.; Totland, Ø. Pollen limitation in the alpine: A meta-analysis. Arct. Antarctic. Alp. Res. 2009, 41, 103–111. [Google Scholar] [CrossRef]
- Bingham, R.A.; Orthner, A.R. Efficient pollination of alpine plants. Nature 1998, 391, 238–239. [Google Scholar] [CrossRef]
- Golding, G.B.; Strobeck, C. Linkage disequilibrium in a finite population that is partially selfing. Genetics 1980, 94, 777–789. [Google Scholar] [CrossRef]
- Pollak, E. On the theory of partially inbreeding finite populations. I. Partial selfing. Genetics 1987, 117, 353–360. [Google Scholar] [CrossRef] [PubMed]
- Gaut, B.S.; Long, A.D. The lowdown on linkage disequilibrium. Plant Cell 2003, 15, 1502–1506. [Google Scholar] [CrossRef]
- Paudel, B.R.; Shrestha, M.; Dyer, A.G.; Li, Q.J. Ginger and the beetle: Evidence of primitive pollination system in a Himalayan endemic alpine ginger (Roscoea alpina, Zingiberaceae). PLoS ONE 2017, 12, e0180460. [Google Scholar] [CrossRef]
- Flint-Garcia, S.A.; Thornsberry, J.M.; Buckler, E.S.t. Structure of linkage disequilibrium in plants. Annu. Rev. Plant Biol. 2003, 54, 357–374. [Google Scholar] [CrossRef]
- Felsenstein, J. The effect of linkage on directional selection. Genetics 1965, 52, 349–363. [Google Scholar] [CrossRef]
- Nagylaki, T. Quasilinkage equilibrium and the evolution of two-locus systems. Proc. Natl. Acad. Sci. USA 1974, 71, 526–530. [Google Scholar] [CrossRef]
- Kimura, M. Attainment of quasi linkage equilibrium when gene frequencies are changing by natural selection. Genetics 1965, 52, 875–890. [Google Scholar] [CrossRef]
- Charlesworth, B.; Morgan, M.T.; Charlesworth, D. The effect of deleterious mutations on neutral molecular variation. Genetics 1993, 134, 1289–1303. [Google Scholar] [CrossRef]
- Tajima, F. Statistical Method for Testing the Neutral Mutation Hypothesis by DNA Polymorphism. Genetics 1989, 123, 585–595. [Google Scholar] [CrossRef]
- Stajich, J.E.; Hahn, M.W. Disentangling the effects of demography and selection in human history. Mol. Biol. Evol. 2005, 22, 63–73. [Google Scholar] [CrossRef] [PubMed]
- Kosiński, P.; Sękiewicz, K.; Walas, Ł.; Boratynski, A.; Dering, M. Spatial genetic structure of the endemic alpine plant Salix serpillifolia: Genetic swamping on nunataks due to secondary colonization? Alp. Bot. 2019, 129, 107–121. [Google Scholar] [CrossRef]
- Bingham, R.A.; Ranker, T.A. Genetic diversity in alpine and foothill populations of Campanula rotundifolia (Campanulaceae). Int. J. Plant Sci. 2000, 161, 403–411. [Google Scholar] [CrossRef] [PubMed]
- Frankham, R.; Ballou, J.D.; Briscoe, D.A. An Introduction to Conservation Genetics, 2nd ed.; Cambridge University Press: Cambridge, UK, 2010. [Google Scholar]
- Körner, C.; Paulsen, J. A world-wide study of high altitude treeline temperatures. J. Biogeogr. 2004, 31, 713–732. [Google Scholar] [CrossRef]
- Catalan, J.; Ninot, J.M.; Aniz, M.M. The high mountain conservation in a changing world. In High Mountain Conservation in a Changing World. Advances in Global Change Research; Catalan, J., Ninot, J.M., Aniz, M.M., Eds.; Springer: Cham, Switzerland, 2017; Volume 62, pp. 3–36. [Google Scholar] [CrossRef][Green Version]
- Rana, S.K.; Price, T.D.; Qian, H. Plant species richness across the Himalaya driven by evolutionary history and current climate. Ecosphere 2019, 10, e02945. [Google Scholar] [CrossRef]
- Chen, Y.X.; Xu, J.; Liu, J.; Li, T.G.; Xiong, Z.F.; Zhang, P.; Yan, H. Climatic and tectonic constraints on the Plio-Pleistocene evolution of the Indonesian Throughflow intermediate water recorded by benthic δ18O from IODP site U1482. Quat. Sci. Rev. 2022, 295, 107666. [Google Scholar] [CrossRef]
- Gossmann, T.I.; Woolfit, M.; Eyre-Walker, A. Quantifying the variation in the effective population size within a genome. Genetics 2011, 189, 1389–1402. [Google Scholar] [CrossRef] [PubMed]
- Becher, H.; Jackson, B.C.; Charlesworth, B. Patterns of genetic variability in genomic regions with low rates of recombination. Curr. Biol. 2020, 30, 94–100. [Google Scholar] [CrossRef] [PubMed]
- Campos, J.L.; Halligan, D.L.; Haddrill, P.R.; Charlesworth, B. The relation between recombination rate and patterns of molecular evolution and variation in Drosophila melanogaster. Mol. Biol. Evol. 2014, 31, 1010–1028. [Google Scholar] [CrossRef] [PubMed]
- Barrett, S.C.H.; Harder, L.D.; Worley, A.C. The comparative biology of pollination and mating in flowering plants. Phil. Trans. R. Soc. Lond. B 1996, 351, 1271–1280. [Google Scholar] [CrossRef]
- Burri, R. Evolution: Small populations, low recombination, big trouble? Curr. Biol. 2021, 31, R282–R284. [Google Scholar] [CrossRef]
- Blumthaler, M.; Ambach, W.; Ellinger, R. Increase in solar UV radiation with altitude. J. Photoch. Photobio. B 1997, 39, 130–134. [Google Scholar] [CrossRef]
- Körner, C. Alpine Plant Life; Springer: Berlin/Heidelberg, Germany, 2003. [Google Scholar] [CrossRef]
- Wang, X.; Liu, S.J.; Zuo, H.; Zheng, W.K.; Zhang, S.S.; Huang, Y.; Pingcuo, G.S.; Ying, H.; Zhao, F.; Li, Y.R.; et al. Genomic basis of high-altitude adaptation in Tibetan Prunus fruit trees. Curr. Biol. 2021, 31, 3848–3860.e8. [Google Scholar] [CrossRef]
- Bolger, A.M.; Lohse, M.; Usadel, B. Trimmomatic: A flexible trimmer for Illumina sequence data. Bioinformatics 2014, 30, 2114–2120. [Google Scholar] [CrossRef]
- Li, H.; Durbin, R. Fast and accurate short read alignment with Burrows-Wheeler transform. Bioinformatics 2009, 25, 1754–1760. [Google Scholar] [CrossRef]
- Li, H.; Handsaker, B.; Wysoker, A.; Fennell, T.; Ruan, J.; Homer, N.; Marth, G.; Abecasis, G.; Durbin, R. The Sequence Alignment/Map format and SAMtools. Bioinformatics 2009, 25, 2078–2079. [Google Scholar] [CrossRef]
- McKenna, A.; Hanna, M.; Banks, E.; Sivachenko, A.; Cibulskis, K.; Kernytsky, A.; Garimella, K.; Altshuler, D.; Gabriel, S.; Daly, M.; et al. The Genome Analysis Toolkit: A MapReduce framework for analyzing next-generation DNA sequencing data. Genome Res. 2010, 20, 1297–1303. [Google Scholar] [CrossRef]
- Browning, S.R.; Browning, B.L. Rapid and accurate haplotype phasing and missing-data inference for whole-genome association studies by use of localized haplotype clustering. Am. J. Hum. Genet. 2007, 81, 1084–1097. [Google Scholar] [CrossRef]
- Chikhi, R.; Medvedev, P. Informed and automated k-mer size selection for genome assembly. Bioinformatics 2014, 30, 31–37. [Google Scholar] [CrossRef]
- Gao, F.; Ming, C.; Hu, W.; Li, H. New software for the fast estimation of population recombination rates (FastEPRR) in the genomic era. G3-Genes Genom. Genet. 2016, 6, 1563–1571. [Google Scholar] [CrossRef]
- Danecek, P.; Auton, A.; Abecasis, G.; Albers, C.A.; Banks, E.; DePristo, M.A.; Handsaker, R.E.; Lunter, G.; Marth, G.T.; Sherry, S.T.; et al. The variant call format and VCFtools. Bioinformatics 2011, 27, 2156–2158. [Google Scholar] [CrossRef] [PubMed]
- Vurture, G.W.; Sedlazeck, F.J.; Nattestad, M.; Underwood, C.J.; Fang, H.; Gurtowski, J.; Schatz, M.C. GenomeScope: Fast reference-free genome profiling from short reads. Bioinformatics 2017, 33, 2202–2204. [Google Scholar] [CrossRef] [PubMed]
- Li, H.; Qu, W.; Obrycki, J.J.; Meng, L.; Zhou, X.; Chu, D.; Li, B. Optimizing sample size for population genomic study in a global invasive lady beetle, Harmonia Axyridis. Insects 2020, 5, 290. [Google Scholar] [CrossRef]
- Qu, W.M.; Liang, N.; Wu, Z.K.; Zhao, Y.G.; Chu, D. Minimum sample sizes for invasion genomics: Empirical investigation in an invasive whitefly. Ecol. Evol. 2019, 10, 38–49. [Google Scholar] [CrossRef] [PubMed]
- Nadachowska-Brzyska, K.; Burri, R.; Smeds, L.; Ellegren, H. PSMC analysis of effective population sizes in molecular ecology and its application to black-and-white Ficedula flycatchers. Mol. Ecol. 2016, 25, 1058–1072. [Google Scholar] [CrossRef] [PubMed]
- Wang, M.; Zhang, L.; Zhang, Z.; Li, M.; Wang, D.; Zhang, X.; Xi, Z.; Keefover-Ring, K.; Smart, L.B.; DiFazio, S.P.; et al. Phylogenomics of the genus Populus reveals extensive interspecific gene flow and balancing selection. New Phytol. 2020, 225, 1370–1382. [Google Scholar] [CrossRef]
- Weissensteiner, M.H.; Bunikis, I.; Catalán, A.; Francoijs, K.J.; Knief, U.; Heim, W.; Peona, V.; Pophaly, S.D.; Sedlazeck, F.J.; Suh, A.; et al. Discovery and population genomics of structural variation in a songbird genus. Nat. Commun. 2020, 11, 3403. [Google Scholar] [CrossRef]
- Li, K.; Zhang, S.; Song, X.; Weyrich, A.; Wang, Y.; Liu, X.; Wan, N.; Liu, J.; Lövy, M.; Cui, H.; et al. Genome evolution of blind subterranean mole rats: Adaptive peripatric versus sympatric speciation. Proc. Natl. Acad. Sci. USA 2020, 117, 32499–32508. [Google Scholar] [CrossRef] [PubMed]
- Liu, X.; Liu, W.; Lenstra, J.A.; Zheng, Z.; Wu, X.; Yang, J.; Li, B.; Yang, Y.; Qiu, Q.; Liu, H.; et al. Evolutionary origin of genomic structural variations in domestic yaks. Nat. Commun. 2023, 14, 5617. [Google Scholar] [CrossRef] [PubMed]





| Environmental Stresses | Genes | Annotations | References |
|---|---|---|---|
| Light intensity | AAEs | Participates in fatty acid and glycerolipid metabolism | [37] |
| Light intensity | VAR3 | Part of a protein complex required for chlorophyll and carotenoid synthesis | [38] |
| Light intensity, biotic and abiotic stress | SHAT1-5 | Provides high pod-shatter resistance | [39] |
| Light intensity, biotic and abiotic stress | BRs | Brassinosteroid biosynthesis | [40] |
| Biotic and abiotic stress | REL2 | Controls leaf rolling | [41] |
| Biotic and abiotic stress | E2 | Involved in plant biotic and abiotic stress responses | [42] |
| Biotic and abiotic stress | CALS9 | Involved in sporophytic and gametophytic development | [43] |
| Biotic and abiotic stress | StEXPA3 | Likely plays a role in tuber development | [44] |
| Biotic and abiotic stress | RPN8a | Determines leaf polarity | [45] |
| Biotic and abiotic stress | MEE40 | May be involved in female gametophyte development | [46] |
| Circadian clock | CK2 | Influences the circadian clock | [47] |
| Pathogen reduction | RFS2 | Involved in the partial resistance to the spread of Fusarium virguliforme root infections | [48] |
| Pathogen reduction | RLK | Regulates plant development and defense responses | [49] |
| Pathogen reduction, hypobaric hypoxia | PER65 | Involved in the response to wounding, pathogen attack, and oxidative stress | https://www.uniprot.org/uniprotkb/Q9FJR1/entry (accessed on 22 February 2023). |
| Hypobaric hypoxia, light intensity | FAR1 | Modulates starch synthesis in response to light and sugar | [50] |
| Hypobaric hypoxia, low temperatures | POD | Carbohydrate or soluble sugar synthesis in plants of alpine regions | [51] |
| Molecular damage | AtLPP1 | Reported to be induced by genotoxic stress (gamma ray or UV-B) and elicitor treatments with mastoparan and harpin | [52] |
Disclaimer/Publisher’s Note: The statements, opinions and data contained in all publications are solely those of the individual author(s) and contributor(s) and not of MDPI and/or the editor(s). MDPI and/or the editor(s) disclaim responsibility for any injury to people or property resulting from any ideas, methods, instructions or products referred to in the content. |
© 2024 by the authors. Licensee MDPI, Basel, Switzerland. This article is an open access article distributed under the terms and conditions of the Creative Commons Attribution (CC BY) license (https://creativecommons.org/licenses/by/4.0/).
Share and Cite
Wang, Y.-L.; Li, L.; Paudel, B.R.; Zhao, J.-L. Genomic Insights into High-Altitude Adaptation: A Comparative Analysis of Roscoea alpina and R. purpurea in the Himalayas. Int. J. Mol. Sci. 2024, 25, 2265. https://doi.org/10.3390/ijms25042265
Wang Y-L, Li L, Paudel BR, Zhao J-L. Genomic Insights into High-Altitude Adaptation: A Comparative Analysis of Roscoea alpina and R. purpurea in the Himalayas. International Journal of Molecular Sciences. 2024; 25(4):2265. https://doi.org/10.3390/ijms25042265
Chicago/Turabian StyleWang, Ya-Li, Li Li, Babu Ram Paudel, and Jian-Li Zhao. 2024. "Genomic Insights into High-Altitude Adaptation: A Comparative Analysis of Roscoea alpina and R. purpurea in the Himalayas" International Journal of Molecular Sciences 25, no. 4: 2265. https://doi.org/10.3390/ijms25042265
APA StyleWang, Y.-L., Li, L., Paudel, B. R., & Zhao, J.-L. (2024). Genomic Insights into High-Altitude Adaptation: A Comparative Analysis of Roscoea alpina and R. purpurea in the Himalayas. International Journal of Molecular Sciences, 25(4), 2265. https://doi.org/10.3390/ijms25042265

