Synthesis and Antitumor Activity Evaluation of Novel Echinatin Derivatives with a 1,3,4-Oxadiazole Moiety
Abstract
1. Introduction
2. Results and Discussion
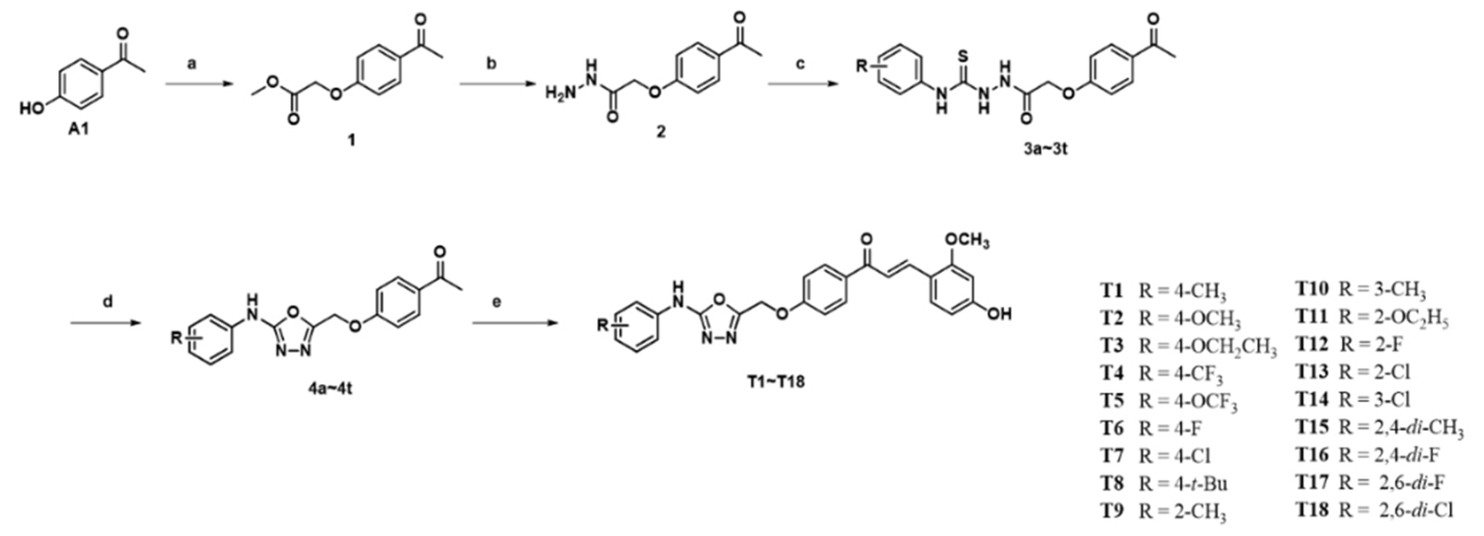
2.1. Chemistry
2.2. In Vitro Antiproliferative Activity Evaluation
2.3. Cell Colony Formation and Wound Healing Assays
2.4. Analysis of Apoptosis by Annexin V-FITC/PI and TUNEL Staining
2.5. T4 Induces ROS Generation and Accumulation
2.6. Cell Cycle Arrest Induced by Compound T4
2.7. Reverse Docking Analysis
2.8. In Vitro Enzymatic Assay
2.9. Western Blot Analysis and GreenNuc Living Cell Caspase 3 Activity Assay
3. Conclusions
4. Methods and Materials
4.1. Chemistry
4.1.1. General Information
4.1.2. General Procedure for the Synthesis of Methyl 2-(4-Acetylphenoxy)Acetate (1)
4.1.3. General Procedure for the Synthesis of 2-(4-Acetylphenoxy)Acetohydrazide (2)
4.1.4. General Procedure for the Synthesis of 2-[2-(4-Acetylphenoxy)Acetyl]-N-Arylmethyl-hydrazine-1-carbothioamide (3a–3r)
4.1.5. General Procedure for the Synthesis of 1-{4-{[5-(arylmethylamino)-1,3,4-oxadiazol-2-yl]methoxy}phenyl}ethan-1-one (4a–4r)
4.1.6. General Procedure for the Synthesis of Compound T1–T18
4.2. Pharmacology
4.2.1. Cell Cytotoxicity Assay
4.2.2. Cell Colony Formation Assay
4.2.3. Wound Healing Assay
4.2.4. Cell Apoptosis Assay
4.2.5. TUNEL Staining
4.2.6. Cell Cycle Assays
4.2.7. Intracellular ROS Generation
4.2.8. Docking Study
4.2.9. Biochemical c-KIT Activity Assay
4.2.10. Western Blotting Assay
4.2.11. GreenNuc Living Cell Caspase 3 Activity Assay
4.2.12. Statistical Analysis
Supplementary Materials
Author Contributions
Funding
Conflicts of Interest
References
- Camp, D.; Davis, R.A.; Campitelli, M.; Ebdon, J.; Quinn, R.J. Drug-like properties: Guiding principles for the design of natural product libraries. J. Nat. Prod. 2012, 75, 72–81. [Google Scholar] [CrossRef]
- Ji, S.; Li, Z.; Song, W.; Wang, Y.; Liang, W.; Li, K.; Tang, S.; Wang, Q.; Qiao, X.; Zhou, D.; et al. Bioactive constituents of Glycyrrhiza uralensis (Licorice): Discovery of the effective components of a traditional herbal medicine. J. Nat. Prod. 2016, 79, 281–292. [Google Scholar] [CrossRef]
- Xu, G.; Fu, S.; Zhan, X.; Wang, Z.; Zhang, P.; Shi, W.; Qin, N.; Chen, Y.; Wang, C.; Niu, M.; et al. Echinatin effectively protects against NLRP3 inflammasome–driven diseases by targeting HSP90. JCI Insight 2021, 6, e134601. [Google Scholar] [CrossRef] [PubMed]
- Tian, X.H.; Liu, C.L.; Jiang, H.L.; Zhang, Y.; Han, J.C.; Liu, J.; Chen, M. Cardioprotection provided by Echinatin against ischemia/reperfusion in isolated rat hearts. BMC Cardiovasc. Disord. 2016, 16, 119. [Google Scholar] [CrossRef] [PubMed]
- Liang, M.; Li, X.; Ouyang, X.; Xie, H.; Chen, D. Antioxidant mechanisms of echinatin and licochalcone A. Molecules 2018, 24, 3. [Google Scholar] [CrossRef] [PubMed]
- Kwak, A.W.; Lee, J.Y.; Lee, S.O.; Seo, J.H.; Park, J.W.; Choi, Y.H.; Cho, S.S.; Yoon, G.; Lee, M.H.; Shim, J.H. Echinatin induces reactive oxygen species-mediated apoptosis via JNK/p38 MAPK signaling pathway in colorectal cancer cells. Phytother. Res. 2023, 37, 563–577. [Google Scholar] [CrossRef] [PubMed]
- Li, T.; Ye, W.; Huang, B.; Lu, X.; Chen, X.; Lin, Y.; Wen, C.; Wang, X. Determination and pharmacokinetic study of echinatin by UPLC-MS/MS in rat plasma. J. Pharm. Biomed. Anal. 2019, 168, 133–137. [Google Scholar] [CrossRef] [PubMed]
- Zhang, J.; Xie, S.A.; Wang, J.; Liu, J.; Liu, Y.; Zhou, S.; Li, X.X.; Han, L.L.; Pang, W.; Yao, W.J.; et al. Echinatin maintains glutathione homeostasis in vascular smooth muscle cells to protect against matrix remodeling and arterial stiffening. Matrix Biol. 2023, 119, 1–18. [Google Scholar] [CrossRef] [PubMed]
- Xu, Z.; You, Y.; Tang, Q.; Zeng, H.; Zhao, T.; Wang, J.; Li, F. Echinatin mitigates sevoflurane-induced hippocampal neurotoxicity and cognitive deficits through mitigation of iron overload and oxidative stress. Pharm. Biol. 2022, 60, 1915–1924. [Google Scholar] [CrossRef]
- Hong, P.; Liu, Q.W.; Xie, Y.; Zhang, Q.H.; Liao, L.; He, Q.Y.; Li, B.; Xu, W.W. Echinatin suppresses esophageal cancer tumor growth and invasion through inducing AKT/mTOR-dependent autophagy and apoptosis. Cell Death Dis. 2020, 11, 524. [Google Scholar] [CrossRef]
- Lu, Q.; Huang, H.; Wang, X.; Luo, L.; Xia, H.; Zhang, L.; Xu, J.; Huang, Y.; Luo, X.; Luo, J. Echinatin inhibits the growth and metastasis of human osteosarcoma cells through Wnt/β-catenin and p38 signaling pathways. Pharmacol. Res. 2023, 191, 106760. [Google Scholar] [CrossRef]
- Kwak, A.W.; Choi, J.S.; Lee, M.H.; Oh, H.N.; Cho, S.S.; Yoon, G.; Liu, K.; Chae, J.I.; Shim, J.H. Retrochalcone echinatin triggers apoptosis of esophageal squamous cell carcinoma via ROS-and ER stress-mediated signaling pathways. Molecules 2019, 24, 4055. [Google Scholar] [CrossRef] [PubMed]
- Mishra, S.; Singh, P. Hybrid molecules: The privileged scaffolds for various pharmaceuticals. Eur. J. Med. Chem. 2016, 124, 500–536. [Google Scholar]
- Wu, Y.; Williams, J.; Calder, E.D.; Walport, L.J. Strategies to expand peptide functionality through hybridisation with a small molecule component. RSC Chem. Biol. 2021, 2, 151–165. [Google Scholar] [CrossRef] [PubMed]
- Ahsan, M.J. 1, 3, 4-Oxadiazole Containing Compounds as Therapeutic Targets for Cancer Therapy. Mini Rev. Med. Chem. 2022, 22, 164–197. [Google Scholar] [CrossRef] [PubMed]
- Boström, J.; Hogner, A.; Llinàs, A.; Wellner, E.; Plowright, A.T. Oxadiazoles in medicinal chemistry. J. Med. Chem. 2012, 55, 1817–1830. [Google Scholar] [CrossRef] [PubMed]
- Al-Wahaibi, L.H.; Mohamed, A.A.; Tawfik, S.S.; Hassan, H.M.; El-Emam, A.A. 1, 3, 4-Oxadiazole N-Mannich bases: Synthesis, antimicrobial, and anti-proliferative activities. Molecules 2021, 26, 2110. [Google Scholar] [CrossRef] [PubMed]
- Zoroddu, S.; Corona, P.; Sanna, L.; Borghi, F.; Bordoni, V.; Asproni, B.; Pinna, G.; Bagella, L.; Murineddu, G. Novel 1, 3, 4-oxadiazole chalcogen analogues: Synthesis and cytotoxic activity. Eur. J. Med. Chem. 2022, 238, 114440. [Google Scholar] [CrossRef]
- Ripa, L.; Sandmark, J.; Hughes, G.; Shamovsky, I.; Gunnarsson, A.; Johansson, J.; Llinas, A.; Collins, M.; Jung, B.; Novén, A.; et al. Selective and Bioavailable HDAC6 2-(Difluoromethyl)-1, 3, 4-oxadiazole Substrate Inhibitors and Modeling of Their Bioactivation Mechanism. J. Med. Chem. 2023, 66, 14188–14207. [Google Scholar] [CrossRef]
- Saitoh, M.; Kunitomo, J.; Kimura, E.; Iwashita, H.; Uno, Y.; Onishi, T.; Uchiyama, N.; Kawamoto, T.; Tanaka, T.; Mol, C.D.; et al. 2-{3-[4-(Alkylsulfinyl) phenyl]-1-benzofuran-5-yl}-5-methyl-1, 3, 4-oxadiazole derivatives as novel inhibitors of glycogen synthase kinase-3β with good brain permeability. J. Med. Chem. 2009, 52, 6270–6286. [Google Scholar] [CrossRef]
- Valente, S.; Trisciuoglio, D.; De Luca, T.; Nebbioso, A.; Labella, D.; Lenoci, A.; Bigogno, C.; Dondio, G.; Miceli, M.; Brosch, G.; et al. 1, 3, 4-Oxadiazole-containing histone deacetylase inhibitors: Anticancer activities in cancer cells. J. Med. Chem. 2014, 57, 6259–6265. [Google Scholar] [CrossRef]
- Zhong, Y.; Li, Z.N.; Jiang, X.Y.; Tian, X.; Deng, M.H.; Cheng, M.S.; Yang, H.L.; Liu, Y. Identification of Novel Artemisinin Hybrids Induce Apoptosis and Ferroptosis in MCF-7 Cells. Int. J. Mol. Sci. 2022, 23, 15768. [Google Scholar] [CrossRef] [PubMed]
- Bajaj, S.; Asati, V.; Singh, J.; Roy, P.P. 1, 3, 4-Oxadiazoles: An emerging scaffold to target growth factors, enzymes and kinases as anticancer agents. Eur. J. Med. Chem. 2015, 97, 124–141. [Google Scholar] [CrossRef] [PubMed]
- Rai, K.L.; Linganna, N. Synthesis and evaluation of antimitotic activity of alkylated 2-amino-1, 3, 4-oxadiazole derivatives. Il Farm. 2000, 55, 389–392. [Google Scholar]
- Zorov, D.B.; Juhaszova, M.; Sollott, S.J. Mitochondrial reactive oxygen species (ROS) and ROS-induced ROS release. Physiol. Rev. 2014, 94, 909–950. [Google Scholar] [CrossRef] [PubMed]
- James, A.M.; Cochemé, H.M.; Murphy, M.P. Mitochondria-targeted redox probes as tools in the study of oxidative damage and ageing. Mech. Ageing Dev. 2005, 126, 982–986. [Google Scholar] [CrossRef]
- Zhang, C.; Ibrahim, P.N.; Zhang, J.; Burton, E.A.; Habets, G.; Zhang, Y.; Powell, B.; West, B.L.; Matusow, B.; Tsang, G.; et al. Design and pharmacology of a highly specific dual FMS and KIT kinase inhibitor. Proc. Natl. Acad. Sci. USA 2013, 110, 5689–5694. [Google Scholar] [CrossRef]
- Liu, H.; Li, Z.; Huo, S.; Wei, Q.; Ge, L. Induction of G0/G1 phase arrest and apoptosis by CRISPR/Cas9-mediated knockout of CDK2 in A375 melanocytes. Mol. Clin. Oncol. 2020, 12, 9–14. [Google Scholar] [CrossRef]
- Goto, K.; Takai, T.; Fukumoto, T.; Anan, T.; Kimura, T.; Ansai, S.I.; Oshitani, Y.; Murata, Y.; Sakuma, T.; Hirose, T. CD117 (KIT) is a useful immunohistochemical marker for differentiating porocarcinoma from squamous cell carcinoma. J. Cutan. Pathol. 2016, 43, 219–226. [Google Scholar] [CrossRef]
- Ponti, G.; Manfredini, M.; Greco, S.; Pellacani, G.; Depenni, R.; Tomasi, A.; Maccaferri, M.; Cascinu, S. BRAF, NRAS and C-KIT advanced melanoma: Clinico-pathological features, targeted-therapy strategies and survival. Anticancer Res. 2017, 37, 7043–7048. [Google Scholar]
- Zhong, Y.; Tian, X.; Jiang, X.; Dang, W.; Cheng, M.; Li, N.; Liu, Y. Novel Ziyuglycoside II derivatives inhibit MCF-7 cell proliferation via inducing apoptosis and autophagy. Bioorganic Chem. 2023, 139, 106752. [Google Scholar] [CrossRef] [PubMed]
- Fu, S.; Liu, J.; Li, C.; Wei, J.; Yue, H.; Yang, A.; Wang, K.; Wu, Y.; Hou, Y.; Zhao, Y. Structure-based drug design, synthesis, and biological evaluation of novel 1,3,5-triazine or pyrimidine derivatives containing benzoyl hydrazine moiety as PI3Kα selective inhibitors. Bioorganic Chem. 2023, 160, 106738. [Google Scholar] [CrossRef] [PubMed]














| Compound | R | IC50 (μM) | |||
|---|---|---|---|---|---|
| K562 b | KU812 c | HT-29 d | HCT116 e | ||
| T1 | 4-CH3 | 22.05 ± 0.12 | 9.55 ± 0.17 | 7.10 ± 0.45 | 4.85 ± 0.32 |
| T2 | 4-OCH3 | >30 | 13.31 ± 0.39 | 8.78 ± 0.12 | 3.97 ± 0.53 |
| T3 | 4-OC2H5 | 15.50 ± 1.09 | 17.19 ± 0.67 | 5.16 ± 0.11 | 2.47 ± 0.56 |
| T4 | 4-CF3 | 8.60 ± 0.61 | 8.09 ± 0.91 | 2.87 ± 0.32 | 1.71 ± 0.46 |
| T5 | 4-OCF3 | >30 | 12.45 ± 0.02 | 3.64 ± 0.21 | 3.94 ± 0.33 |
| T6 | 4-F | >30 | 16.90 ± 1.58 | >30 | 4.39 ± 0.71 |
| T7 | 4-Cl | >30 | 17.52 ± 1.77 | >30 | 2.08 ± 0.54 |
| T8 | 4-t-Bu | 19.48 ± 0.12 | 12.02 ± 1.28 | 4.94 ± 0.25 | 6.51 ± 0.19 |
| T9 | 2-CH3 | >30 | >30 | >30 | 10.02 ± 0.93 |
| T10 | 3-CH3 | >30 | >30 | >30 | 7.62 ± 1.23 |
| T11 | 2-OC2H5 | >30 | >30 | >30 | >30 |
| T12 | 2-F | >30 | >30 | 12.79 ± 0.98 | 6.14 ± 1.45 |
| T13 | 2-Cl | >30 | >30 | 13.88 ± 0.67 | 10.20 ± 0.87 |
| T14 | 3-Cl | >30 | >30 | 13.19 ± 0.53 | 9.83 ± 1.98 |
| T15 | 2,4-di-CH3 | >30 | >30 | >30 | >30 |
| T16 | 2,4-di-F | >30 | >30 | >30 | >30 |
| T17 | 2,6-di-F | >30 | >30 | >30 | >30 |
| T18 | 2,6-di-Cl | >30 | >30 | >30 | >30 |
| Echinatin | / | >30 | 13.77 ± 0.33 | 10.39 ± 0.87 | 4.54 ± 0.76 |
| Adriamycin | / | 4.22 ± 0.44 | 4.14 ± 0.53 | 2.70 ± 0.71 | 1.50 ± 0.19 |
| Compound | HCT116 | CCC-HIE-2 | SI |
|---|---|---|---|
| T4 | 1.71 ± 0.46 | 27.56 ± 1.37 | 16.1 |
| Compound | IC50 (μM) |
|---|---|
| PLX647 | 0.068 |
| T3 | 0.237 |
| T4 | 0.178 |
| T8 | 0.613 |
Disclaimer/Publisher’s Note: The statements, opinions and data contained in all publications are solely those of the individual author(s) and contributor(s) and not of MDPI and/or the editor(s). MDPI and/or the editor(s) disclaim responsibility for any injury to people or property resulting from any ideas, methods, instructions or products referred to in the content. |
© 2024 by the authors. Licensee MDPI, Basel, Switzerland. This article is an open access article distributed under the terms and conditions of the Creative Commons Attribution (CC BY) license (https://creativecommons.org/licenses/by/4.0/).
Share and Cite
Tian, X.; Sun, Z.; Zhong, Y.; Yang, H.; Cheng, M.; Liu, Y. Synthesis and Antitumor Activity Evaluation of Novel Echinatin Derivatives with a 1,3,4-Oxadiazole Moiety. Int. J. Mol. Sci. 2024, 25, 2254. https://doi.org/10.3390/ijms25042254
Tian X, Sun Z, Zhong Y, Yang H, Cheng M, Liu Y. Synthesis and Antitumor Activity Evaluation of Novel Echinatin Derivatives with a 1,3,4-Oxadiazole Moiety. International Journal of Molecular Sciences. 2024; 25(4):2254. https://doi.org/10.3390/ijms25042254
Chicago/Turabian StyleTian, Xing, Zihan Sun, Ye Zhong, Huali Yang, Maosheng Cheng, and Yang Liu. 2024. "Synthesis and Antitumor Activity Evaluation of Novel Echinatin Derivatives with a 1,3,4-Oxadiazole Moiety" International Journal of Molecular Sciences 25, no. 4: 2254. https://doi.org/10.3390/ijms25042254
APA StyleTian, X., Sun, Z., Zhong, Y., Yang, H., Cheng, M., & Liu, Y. (2024). Synthesis and Antitumor Activity Evaluation of Novel Echinatin Derivatives with a 1,3,4-Oxadiazole Moiety. International Journal of Molecular Sciences, 25(4), 2254. https://doi.org/10.3390/ijms25042254

