Effect of Low-Frequency Renal Nerve Stimulation on Renal Glucose Release during Normoglycemia and a Hypoglycemic Clamp in Pigs
Abstract
1. Introduction
2. Results
2.1. General Characteristics of the Experiment and Changes of Vital Parameters
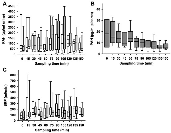
2.2. Effects of Examined Parameters in a Linear Mixed Model
2.3. SGN, Sodium Excretion and Urinary Flow Rate in a Wilcoxon Signed Rank Exact Test
3. Discussion
4. Methods
4.1. Experimental Animals, Surgical Procedures
4.2. LFS
4.3. Induced Polyuria and Maintenance of Blood Pressure
4.4. Hypoglycemic Clamp
4.5. Determination of Side-Dependent Glomerular Filtration Rate, Renal Plasma Flow and Gluconeogenesis
4.6. Pre-Analytical Methods
4.7. Quantitation of Inulin
4.8. Quantitation of PAH
4.9. Quantitation of Sodium Excretion
4.10. Statistical Analyses
5. Conclusions
Supplementary Materials
Author Contributions
Funding
Institutional Review Board Statement
Informed Consent Statement
Data Availability Statement
Acknowledgments
Conflicts of Interest
Abbreviations
References
- Frame, A.A.; Carmichael, C.Y.; Wainford, R.D. Renal Afferents. Curr. Hypertens. Rep. 2016, 18, 69. [Google Scholar] [CrossRef]
- Osborn, J.W.; Tyshynsky, R.; Vulchanova, L. Function of Renal Nerves in Kidney Physiology and Pathophysiology. Annu. Rev. Physiol. 2021, 83, 429–450. [Google Scholar] [CrossRef]
- Sakakura, K.; Ladich, E.; Cheng, Q.; Otsuka, F.; Yahagi, K.; Fowler, D.R.; Kolodgie, F.D.; Virmani, R.; Joner, M. Anatomic assessment of sympathetic peri-arterial renal nerves in man. J. Am. Coll. Cardiol. 2014, 64, 635–643. [Google Scholar] [CrossRef] [PubMed]
- van Amsterdam, W.A.; Blankestijn, P.J.; Goldschmeding, R.; Bleys, R.L. The morphological substrate for Renal Denervation: Nerve distribution patterns and parasympathetic nerves. A post-mortem histological study. Ann. Anat. 2016, 204, 71–79. [Google Scholar] [CrossRef] [PubMed]
- Imnadze, G.; Balzer, S.; Meyer, B.; Neumann, J.; Krech, R.H.; Thale, J.; Franz, N.; Warnecke, H.; Awad, K.; Hayek, S.S.; et al. Anatomic Patterns of Renal Arterial Sympathetic Innervation: New Aspects for Renal Denervation. J. Interv. Cardiol. 2016, 29, 594–600. [Google Scholar] [CrossRef] [PubMed]
- Noh, M.R.; Jang, H.S.; Kim, J.; Padanilam, B.J. Renal Sympathetic Nerve-Derived Signaling in Acute and Chronic kidney Diseases. Int. J. Mol. Sci. 2020, 21, 1647. [Google Scholar] [CrossRef] [PubMed]
- Summers, R.J.; Kuhar, M.J. Autoradiographic localization of beta-adrenoceptors in rat kidney. Eur. J. Pharmacol. 1983, 91, 305–310. [Google Scholar] [CrossRef] [PubMed]
- Summers, R.J.; Stephenson, J.A.; Kuhar, M.J. Localization of beta adrenoceptor subtypes in rat kidney by light microscopic autoradiography. J. Pharmacol. Exp. Ther. 1985, 232, 561–569. [Google Scholar] [PubMed]
- Struyker-Boudier, H.A.; Janssen, B.J.; Smits, J.F. Adrenoceptors in the kidney: Localization and pharmacology. Clin. Exp. Hypertens. A 1987, 9 (Suppl. 1), 135–150. [Google Scholar] [CrossRef] [PubMed]
- Snavely, M.D.; Ziegler, M.G.; Insel, P.A. Subtype-selective down-regulation of rat renal cortical alpha- and beta-adrenergic receptors by catecholamines. Endocrinology 1985, 117, 2182–2189. [Google Scholar] [CrossRef]
- Burnstock, G.; Loesch, A. Sympathetic innervation of the kidney in health and disease: Emphasis on the role of purinergic cotransmission. Auton. Neurosci. Basic Clin. 2017, 204, 4–16. [Google Scholar] [CrossRef] [PubMed]
- Nakamura, A.; Johns, E.J. Effect of renal nerves on expression of renin and angiotensinogen genes in rat kidneys. Am. J. Physiol. 1994, 266, E230–E241. [Google Scholar] [CrossRef] [PubMed]
- DiBona, G.F. Neural control of the kidney: Functionally specific renal sympathetic nerve fibers. Am. J. Physiol. Regul. Integr. Comp. Physiol. 2000, 279, R1517–R1524. [Google Scholar] [CrossRef] [PubMed]
- Holdaas, H.; DiBona, G.F.; Kiil, F. Effect of low-level renal nerve stimulation on renin release from nonfiltering kidneys. Am. J. Physiol. 1981, 241, F156–F161. [Google Scholar] [CrossRef] [PubMed]
- DiBona, G.F.; Kopp, U.C. Neural control of renal function. Physiol. Rev. 1997, 77, 75–197. [Google Scholar] [CrossRef] [PubMed]
- Pontes, R.B.; Crajoinas, R.O.; Nishi, E.E.; Oliveira-Sales, E.B.; Girardi, A.C.; Campos, R.R.; Bergamaschi, C.T. Renal nerve stimulation leads to the activation of the Na+/H+ exchanger isoform 3 via angiotensin II type I receptor. Am. J. Physiol. Ren. Physiol. 2015, 308, F848–F856. [Google Scholar] [CrossRef] [PubMed]
- Osborn, J.L.; DiBona, G.F.; Thames, M.D. Beta-1 receptor mediation of renin secretion elicited by low-frequency renal nerve stimulation. J. Pharmacol. Exp. Ther. 1981, 216, 265–269. [Google Scholar] [PubMed]
- DiBona, G.F. Dynamic analysis of patterns of renal sympathetic nerve activity: Implications for renal function. Exp. Physiol. 2005, 90, 159–161. [Google Scholar] [CrossRef]
- DiBona, G.F.; Sawin, L.L. Effect of renal nerve stimulation on responsiveness of the rat renal vasculature. Am. J. Physiol. Ren. Physiol. 2002, 283, F1056–F1065. [Google Scholar] [CrossRef][Green Version]
- Schiller, A.M.; Pellegrino, P.R.; Zucker, I.H. Eppur Si Muove: The dynamic nature of physiological control of renal blood flow by the renal sympathetic nerves. Auton. Neurosci. Basic Clin. 2017, 204, 17–24. [Google Scholar] [CrossRef]
- Madhavan, M.; Desimone, C.V.; Ebrille, E.; Mulpuru, S.K.; Mikell, S.B.; Johnson, S.B.; Suddendorf, S.H.; Ladewig, D.J.; Gilles, E.J.; Danielsen, A.J.; et al. Transvenous stimulation of the renal sympathetic nerves increases systemic blood pressure: A potential new treatment option for neurocardiogenic syncope. J. Cardiovasc. Electrophysiol. 2014, 25, 1115–1118. [Google Scholar] [CrossRef] [PubMed]
- Veelken, R.; Vogel, E.M.; Hilgers, K.; Amann, K.; Hartner, A.; Sass, G.; Neuhuber, W.; Tiegs, G. Autonomic renal denervation ameliorates experimental glomerulonephritis. J. Am. Soc. Nephrol. 2008, 19, 1371–1378. [Google Scholar] [CrossRef] [PubMed]
- Xiao, L.; Kirabo, A.; Wu, J.; Saleh, M.A.; Zhu, L.; Wang, F.; Takahashi, T.; Loperena, R.; Foss, J.D.; Mernaugh, R.L.; et al. Renal Denervation Prevents Immune Cell Activation and Renal Inflammation in Angiotensin II-Induced Hypertension. Circ. Res. 2015, 117, 547–557. [Google Scholar] [CrossRef] [PubMed]
- Esler, M.; Rumantir, M.; Wiesner, G.; Kaye, D.; Hastings, J.; Lambert, G. Sympathetic nervous system and insulin resistance: From obesity to diabetes. Am. J. Hypertens. 2001, 14, 304s–309s. [Google Scholar] [CrossRef] [PubMed]
- Huang, B.; Scherlag, B.J.; Yu, L.; Lu, Z.; He, B.; Jiang, H. Renal sympathetic denervation for treatment of ventricular arrhythmias: A review on current experimental and clinical findings. Clin. Res. Cardiol. 2015, 104, 535–543. [Google Scholar] [CrossRef] [PubMed]
- Mancia Chairperson, G.; Kreutz Co-Chair, R.; Brunström, M.; Burnier, M.; Grassi, G.; Januszewicz, A.; Muiesan, M.L.; Tsioufis, K.; Agabiti-Rosei, E.; Algharably, E.A.E.; et al. 2023 ESH Guidelines for the management of arterial hypertension The Task Force for the management of arterial hypertension of the European Society of Hypertension Endorsed by the European Renal Association (ERA) and the International Society of Hypertension (ISH). J. Hypertens. 2023, 41, 1874–2071. [Google Scholar] [CrossRef]
- DiBona, G.F.; Esler, M. Translational medicine: The antihypertensive effect of renal denervation. Am. J. Physiol. Regul. Integr. Comp. Physiol. 2010, 298, R245–R253. [Google Scholar] [CrossRef] [PubMed]
- Al Raisi, S.I.; Pouliopoulos, J.; Swinnen, J.; Thiagalingam, A.; Kovoor, P. Renal Artery Denervation in Resistant Hypertension: The Good, The Bad and The Future. Heart Lung Circ. 2020, 29, 94–101. [Google Scholar] [CrossRef]
- Böhm, M.; Kario, K.; Kandzari, D.E.; Mahfoud, F.; Weber, M.A.; Schmieder, R.E.; Tsioufis, K.; Pocock, S.; Konstantinidis, D.; Choi, J.W.; et al. Efficacy of catheter-based renal denervation in the absence of antihypertensive medications (SPYRAL HTN-OFF MED Pivotal): A multicentre, randomised, sham-controlled trial. Lancet 2020, 395, 1444–1451. [Google Scholar] [CrossRef]
- Mahfoud, F.; Kandzari, D.E.; Kario, K.; Townsend, R.R.; Weber, M.A.; Schmieder, R.E.; Tsioufis, K.; Pocock, S.; Dimitriadis, K.; Choi, J.W.; et al. Long-term efficacy and safety of renal denervation in the presence of antihypertensive drugs (SPYRAL HTN-ON MED): A randomised, sham-controlled trial. Lancet 2022, 399, 1401–1410. [Google Scholar] [CrossRef]
- Azizi, M.; Mahfoud, F.; Weber, M.A.; Sharp, A.S.P.; Schmieder, R.E.; Lurz, P.; Lobo, M.D.; Fisher, N.D.L.; Daemen, J.; Bloch, M.J.; et al. Effects of Renal Denervation vs Sham in Resistant Hypertension After Medication Escalation: Prespecified Analysis at 6 Months of the RADIANCE-HTN TRIO Randomized Clinical Trial. JAMA Cardiol. 2022, 7, 1244–1252. [Google Scholar] [CrossRef]
- Azizi, M.; Schmieder, R.E.; Mahfoud, F.; Weber, M.A.; Daemen, J.; Davies, J.; Basile, J.; Kirtane, A.J.; Wang, Y.; Lobo, M.D.; et al. Endovascular ultrasound renal denervation to treat hypertension (RADIANCE-HTN SOLO): A multicentre, international, single-blind, randomised, sham-controlled trial. Lancet 2018, 391, 2335–2345. [Google Scholar] [CrossRef]
- Williams, B.; Mancia, G.; Spiering, W.; Agabiti Rosei, E.; Azizi, M.; Burnier, M.; Clement, D.L.; Coca, A.; de Simone, G.; Dominiczak, A.; et al. 2018 ESC/ESH Guidelines for the management of arterial hypertension. Eur. Heart J. 2018, 39, 3021–3104. [Google Scholar] [CrossRef]
- Barbato, E.; Azizi, M.; Schmieder, R.E.; Lauder, L.; Böhm, M.; Brouwers, S.; Bruno, R.M.; Dudek, D.; Kahan, T.; Kandzari, D.E.; et al. Renal denervation in the management of hypertension in adults. A clinical consensus statement of the ESC Council on Hypertension and the European Association of Percutaneous Cardiovascular Interventions (EAPCI). Eur. Heart J. 2023, 44, 1313–1330. [Google Scholar] [CrossRef]
- Hoogerwaard, A.F.; Elvan, A. Is renal denervation still a treatment option in cardiovascular disease? Trends Cardiovasc. Med. 2019, 30, 189–195. [Google Scholar] [CrossRef]
- Chen, P.S.; Chen, L.S.; Fishbein, M.C.; Lin, S.F.; Nattel, S. Role of the autonomic nervous system in atrial fibrillation: Pathophysiology and therapy. Circ. Res. 2014, 114, 1500–1515. [Google Scholar] [CrossRef]
- Linz, D.; Hohl, M.; Elliott, A.D.; Lau, D.H.; Mahfoud, F.; Esler, M.D.; Sanders, P.; Böhm, M. Modulation of renal sympathetic innervation: Recent insights beyond blood pressure control. Clin. Auton. Res. 2018, 28, 375–384. [Google Scholar] [CrossRef] [PubMed]
- Hou, Y.; Hu, J.; Po, S.S.; Wang, H.; Zhang, L.; Zhang, F.; Wang, K.; Zhou, Q. Catheter-based renal sympathetic denervation significantly inhibits atrial fibrillation induced by electrical stimulation of the left stellate ganglion and rapid atrial pacing. PLoS ONE 2013, 8, e78218. [Google Scholar] [CrossRef]
- Mahfoud, F.; Ewen, S.; Ukena, C.; Linz, D.; Sobotka, P.A.; Cremers, B.; Bohm, M. Expanding the indication spectrum: Renal denervation in diabetes. EuroIntervention J. EuroPCR Collab. Work. Group. Interv. Cardiol. Eur. Soc. Cardiol. 2013, 9 (Suppl. R), R117–R121. [Google Scholar] [CrossRef] [PubMed]
- Mahfoud, F.; Schlaich, M.; Kindermann, I.; Ukena, C.; Cremers, B.; Brandt, M.C.; Hoppe, U.C.; Vonend, O.; Rump, L.C.; Sobotka, P.A.; et al. Effect of renal sympathetic denervation on glucose metabolism in patients with resistant hypertension: A pilot study. Circulation 2011, 123, 1940–1946. [Google Scholar] [CrossRef] [PubMed]
- Tsioufis, C.; Dimitriadis, K.; Kasiakogias, A.; Kalos, T.; Liatakis, I.; Koutra, E.; Nikolopoulou, L.; Kordalis, A.; Ella, R.O.; Lau, E.O.; et al. Effects of multielectrode renal denervation on elevated sympathetic nerve activity and insulin resistance in metabolic syndrome. J. Hypertens. 2017, 35, 1100–1108. [Google Scholar] [CrossRef]
- Greven, J.; van Eys, B.; Jacobs, W. Stimulation of glucose release of the rat kidney in vivo by epinephrine and isoprenaline. Pharmacology 1975, 13, 265–271. [Google Scholar] [CrossRef]
- Jiman, A.A.; Chhabra, K.H.; Lewis, A.G.; Cederna, P.S.; Seeley, R.J.; Low, M.J.; Bruns, T.M. Electrical stimulation of renal nerves for modulating urine glucose excretion in rats. Bioelectron. Med. 2018, 4, 7. [Google Scholar] [CrossRef] [PubMed]
- Meyer, C.; Stumvoll, M.; Welle, S.; Woerle, H.J.; Haymond, M.; Gerich, J. Relative importance of liver, kidney, and substrates in epinephrine-induced increased gluconeogenesis in humans. Am. J. Physiol. Endocrinol. Metab. 2003, 285, E819–E826. [Google Scholar] [CrossRef]
- Woerle, H.J.; Meyer, C.; Popa, E.M.; Cryer, P.E.; Gerich, J.E. Renal compensation for impaired hepatic glucose release during hypoglycemia in type 2 diabetes: Further evidence for hepatorenal reciprocity. Diabetes 2003, 52, 1386–1392. [Google Scholar] [CrossRef]
- Alsahli, M.; Gerich, J.E. Renal glucose metabolism in normal physiological conditions and in diabetes. Diabetes Res. Clin. Pract. 2017, 133, 1–9. [Google Scholar] [CrossRef]
- Gerich, J.E. Role of the kidney in normal glucose homeostasis and in the hyperglycaemia of diabetes mellitus: Therapeutic implications. Diabet. Med. A J. Br. Diabet. Assoc. 2010, 27, 136–142. [Google Scholar] [CrossRef] [PubMed]
- Legouis, D.; Faivre, A.; Cippà, P.E.; de Seigneux, S. Renal gluconeogenesis: An underestimated role of the kidney in systemic glucose metabolism. Nephrol. Dial. Transpl. 2022, 37, 1417–1425. [Google Scholar] [CrossRef]
- Bischoff, S.J.; Schmidt, M.; Lehmann, T.; Schwab, M.; Matziolis, G.; Saemann, A.; Schiffner, R. Renal glucose release during hypoglycemia is partly controlled by sympathetic nerves-a study in pigs with unilateral surgically denervated kidneys. Physiol. Rep. 2015, 3, e12603. [Google Scholar] [CrossRef]
- Schiffner, R.; Rodriguez-Gonzalez, G.L.; Rakers, F.; Nistor, M.; Nathanielsz, P.W.; Daneva, T.; Schwab, M.; Lehmann, T.; Schmidt, M. Effects of Late Gestational Fetal Exposure to Dexamethasone Administration on the Postnatal Hypothalamus-Pituitary-Adrenal Axis Response to Hypoglycemia in Pigs. Int. J. Mol. Sci. 2017, 18, 2241. [Google Scholar] [CrossRef] [PubMed]
- Nistor, M.; Schmidt, M.; Klingner, C.; Klingner, C.; Schwab, M.; Bischoff, S.J.; Matziolis, G.; Rodríguez-González, G.L.; Schiffner, R. Renal Glucose Release after Unilateral Renal Denervation during a Hypoglycemic Clamp in Pigs with an Altered Hypothalamic Pituitary Adrenal Axis after Late-Gestational Dexamethasone Injection. Int. J. Mol. Sci. 2023, 24, 12738. [Google Scholar] [CrossRef] [PubMed]
- Wright, E.M.; Hirayama, B.A.; Loo, D.F. Active sugar transport in health and disease. J. Intern. Med. 2007, 261, 32–43. [Google Scholar] [CrossRef] [PubMed]
- Meyer, C.; Dostou, J.M.; Welle, S.L.; Gerich, J.E. Role of human liver, kidney, and skeletal muscle in postprandial glucose homeostasis. Am. J. Physiol. Endocrinol. Metab. 2002, 282, E419–E427. [Google Scholar] [CrossRef] [PubMed]
- Cersosimo, E.; Garlick, P.; Ferretti, J. Renal glucose production during insulin-induced hypoglycemia in humans. Diabetes 1999, 48, 261–266. [Google Scholar] [CrossRef] [PubMed]
- Triplitt, C.L. Understanding the kidneys’ role in blood glucose regulation. Am. J. Manag. Care 2012, 18, S11–S16. [Google Scholar] [PubMed]
- Gerich, J.E. Hepatorenal glucose reciprocity in physiologic and pathologic conditions. Diabetes Nutr. Metab. 2002, 15, 298–302; discussion 293–302. [Google Scholar] [PubMed]
- Osborn, J.L.; Roman, R.J.; Harland, R.W. Mechanisms of antinatriuresis during low-frequency renal nerve stimulation in anesthetized dogs. Am. J. Physiol. 1985, 249, R360–R367. [Google Scholar] [CrossRef] [PubMed]
- Johns, E.J. The role of angiotensin II in the antidiuresis and antinatriuresis induced by stimulation of the sympathetic nerves to the rat kidney. J. Auton. Pharmacol. 1987, 7, 205–214. [Google Scholar] [CrossRef]
- Takahara, A.; Dohmoto, H.; Hisa, H.; Satoh, S.; Yoshimoto, R. Cilnidipine attenuates renal nerve stimulation-induced renal vasoconstriction and antinatriuresis in anesthetized dogs. Jpn. J. Pharmacol. 1997, 75, 27–32. [Google Scholar] [CrossRef]
- Bell-Reuss, E.; Trevino, D.L.; Gottschalk, C.W. Effect of renal sympathetic nerve stimulation on proximal water and sodium reabsorption. J. Clin. Investig. 1976, 57, 1104–1107. [Google Scholar] [CrossRef]
- Kilgore, K.L.; Bhadra, N. Reversible nerve conduction block using kilohertz frequency alternating current. Neuromodulation 2014, 17, 242–254; discussion 245–254. [Google Scholar] [CrossRef]
- Joseph, L.; Butera, R.J. High-frequency stimulation selectively blocks different types of fibers in frog sciatic nerve. IEEE Trans. Neural Syst. Rehabil. Eng. 2011, 19, 550–557. [Google Scholar] [CrossRef] [PubMed]
- Joseph, L.; Butera, R.J. Unmyelinated Aplysia nerves exhibit a nonmonotonic blocking response to high-frequency stimulation. IEEE Trans. Neural Syst. Rehabil. Eng. 2009, 17, 537–544. [Google Scholar] [CrossRef] [PubMed]
- Kopp, U.C. Neural Control of Kidney Function; Morgan & Claypool Life Sciences: San Rafael, CA, USA, 2011. [Google Scholar]
- Kirkpatrick, J.J.; Foutz, S.; Leslie, S.W. Anatomy, Abdomen and Pelvis: Kidney Nerves. In StatPearls; StatPearls Publishing: Treasure Island, FL, USA, 2022. [Google Scholar]
- AlMarabeh, S.; Abdulla, M.H.; O’Halloran, K.D. Is Aberrant Reno-Renal Reflex Control of Blood Pressure a Contributor to Chronic Intermittent Hypoxia-Induced Hypertension? Front. Physiol. 2019, 10, 465. [Google Scholar] [CrossRef]
- Hermansson, K.; Ojteg, G.; Wolgast, M. The reno-renal reflex; evaluation from renal blood flow measurements. Acta Physiol. Scand. 1984, 120, 207–215. [Google Scholar] [CrossRef]
- Kopp, U.C. Role of renal sensory nerves in physiological and pathophysiological conditions. Am. J. Physiol. Regul. Integr. Comp. Physiol. 2015, 308, R79–R95. [Google Scholar] [CrossRef]
- Golin, R.; Genovesi, S.; Stella, A.; Zanchetti, A. Afferent pathways of neural reno-renal reflexes controlling sodium and water excretion in the cat. J. Hypertens. 1987, 5, 417–424. [Google Scholar] [CrossRef] [PubMed]
- Genovesi, S.; Pieruzzi, F.; Centonza, L.; Wijnmaalen, P.; Zanchetti, A.; Stella, A. Electrophysiological evidence of ipsilateral reno-renal reflexes in the cat. J. Auton. Nerv. Syst. 1997, 65, 45–48. [Google Scholar] [CrossRef]
- Shafik, A. Response of the renal pelvis and ureter to distension of the contralateral renal pelvis and ureter: Identification of the reno-renal pelvic reflex. World J. Urol. 1998, 16, 359–364. [Google Scholar] [CrossRef]
- Holst, U.; Tuckus, G.; Frokiaer, J.; Djurhuus, J.C.; Mortensen, J. Contralateral response in renal pelvic pressure and diuresis during increasing ipsilateral pelvic pressure and flow: A study of the normal and denervated upper urinary tract in pigs. BJU Int. 2002, 90, 742–747. [Google Scholar] [CrossRef]
- Chung, S.T.; Chacko, S.K.; Sunehag, A.L.; Haymond, M.W. Measurements of Gluconeogenesis and Glycogenolysis: A Methodological Review. Diabetes 2015, 64, 3996–4010. [Google Scholar] [CrossRef] [PubMed]
- Committee for the Update of the Guide for the Care and Use of Laboratory Animals; Institute for Laboratory Animal Research. Guide for the Care and Use of Laboratory Animals; The National Academies Press: Washington, DC, USA, 2011; Volume 8. [Google Scholar]
- Constanzo, L. Physiology; Lippincott William and Wilkens: Philadelphia, PA, USA, 2007; Volume 4. [Google Scholar]
- Reubi, F.C. Glomerular Filtration Rate, Renal Blood Flow and Blood Viscosity during and after Diabetic Coma. Circ. Res. 1953, 1, 410–413. [Google Scholar] [CrossRef] [PubMed]
- Soveri, I.; Berg, U.B.; Bjork, J.; Elinder, C.G.; Grubb, A.; Mejare, I.; Sterner, G.; Back, S.E.; Group, S.G.R. Measuring GFR: A systematic review. Am. J. Kidney Dis. Off. J. Natl. Kidney Found. 2014, 64, 411–424. [Google Scholar] [CrossRef] [PubMed]
- Roe, J.H.; Epstein, J.H.; Goldstein, N.P. A Photometric Method for the Determination of Inulin in Plasma and Urine. J. Biol. Chem. 1949, 178, 839–845. [Google Scholar] [CrossRef]
- Agarwal, R. Rapid microplate method for PAH estimation. Am. J. Physiol.-Ren. Physiol. 2002, 283, F236–F241. [Google Scholar] [CrossRef][Green Version]








| Variables | Parameters |
|---|---|
| Sex (nmale/nfemale) | 0/7 |
| Age (days) | 85 ± 7 |
| Weight (kg) | 37 ± 4 |
| Weight of left kidney (g) | 97 ± 18 |
| Weight of right kidney (g) | 97 ± 21 |
| Heart rate at baseline (bpm) | 104 ± 9 |
| Heart rate during normoglycemia (bpm) | 113 ± 9 |
| Heart rate at the end of hypoglycemia (bpm) | 169 ± 22 |
| Blood pressure at baseline (systolic/diastolic) (mmHg) | 106/64 ± 5/5 |
| Blood pressure at the end of hypoglycemia (systolic/diastolic) (mmHg) | 114/73 ± 8/7 |
| Body temperature at baseline (°C) | 37.8 ± 0.4 |
| Body temperature at the end of hypoglycemia (°C) | 36.9 ± 0.3 |
| Data are given as means ± SD, n = 7 |
| Number of Animal | |||||||
|---|---|---|---|---|---|---|---|
| 1 | 2 | 3 | 4 | 5 | 6 | 7 | |
| Body site of stimulation | |||||||
| left | left | left | left | left | left | left | |
| Urine volume of stimulated kidney (mL) | |||||||
| Before stimulation | 10 | 2 | 10 | 20 | 28 | 32 | 100 |
| After 15′ of stimulation | 16 | 4 | 15 | 18 | 26 | 32 | 32 |
| Urine volume of non-stimulated kidney (mL) | |||||||
| No-stimulation | 44 | 3 | 36 | 12 | 20 | 80 | 140 |
| No-stimulation after 15′ | 8 | 16 | 30 | 28 | 60 | 40 | 55 |
| SGN of stimulated kidney (mmol/min) | |||||||
| Before stimulation | 0.00536 | 0.0239 | 0.0049 | 0.0266 | 0.0043 | 0.0405 | −0.0974 |
| After 15′ of stimulation | 0.02024 | 0.2046 | 0.0850 | 0.0012 | 0.0105 | 0.0356 | 0.0 |
| SGN of non-stimulated kidney (mmol/min) | |||||||
| No-stimulation | 0.03824 | −0.0686 | 0.0194 | 0.0166 | 0.0068 | 0.0017 | 0.0472 |
| No-stimulation after 15′ | −0.00084 | −0.0692 | 0.0548 | −0.0343 | 0.0169 | −0.0664 | 0.0021 |
| Urinary sodium of stimulated kidney (mmol/L) | |||||||
| Before stimulation | 114 | 82.8 | 84,4 | 116 | 111 | 98 | 115 |
| After 15′ of stimulation | 97 | 67.2 | 74.7 | 85 | 117 | 82 | 102 |
| Urinary sodium of non-stimulated kidney (mmol/L) | |||||||
| No-stimulation | 114.4 | 85.1 | 115.8 | 107 | 111 | 102 | 119 |
| No-stimulation after 15′ | 101.5 | 68.7 | 107.1 | 107 | 135 | 102 | 110 |
Disclaimer/Publisher’s Note: The statements, opinions and data contained in all publications are solely those of the individual author(s) and contributor(s) and not of MDPI and/or the editor(s). MDPI and/or the editor(s) disclaim responsibility for any injury to people or property resulting from any ideas, methods, instructions or products referred to in the content. |
© 2024 by the authors. Licensee MDPI, Basel, Switzerland. This article is an open access article distributed under the terms and conditions of the Creative Commons Attribution (CC BY) license (https://creativecommons.org/licenses/by/4.0/).
Share and Cite
Nistor, M.; Schmidt, M.; Klingner, C.; Klingner, C.; Matziolis, G.; Shayganfar, S.; Schiffner, R. Effect of Low-Frequency Renal Nerve Stimulation on Renal Glucose Release during Normoglycemia and a Hypoglycemic Clamp in Pigs. Int. J. Mol. Sci. 2024, 25, 2041. https://doi.org/10.3390/ijms25042041
Nistor M, Schmidt M, Klingner C, Klingner C, Matziolis G, Shayganfar S, Schiffner R. Effect of Low-Frequency Renal Nerve Stimulation on Renal Glucose Release during Normoglycemia and a Hypoglycemic Clamp in Pigs. International Journal of Molecular Sciences. 2024; 25(4):2041. https://doi.org/10.3390/ijms25042041
Chicago/Turabian StyleNistor, Marius, Martin Schmidt, Carsten Klingner, Caroline Klingner, Georg Matziolis, Sascha Shayganfar, and René Schiffner. 2024. "Effect of Low-Frequency Renal Nerve Stimulation on Renal Glucose Release during Normoglycemia and a Hypoglycemic Clamp in Pigs" International Journal of Molecular Sciences 25, no. 4: 2041. https://doi.org/10.3390/ijms25042041
APA StyleNistor, M., Schmidt, M., Klingner, C., Klingner, C., Matziolis, G., Shayganfar, S., & Schiffner, R. (2024). Effect of Low-Frequency Renal Nerve Stimulation on Renal Glucose Release during Normoglycemia and a Hypoglycemic Clamp in Pigs. International Journal of Molecular Sciences, 25(4), 2041. https://doi.org/10.3390/ijms25042041

