The Effect of 4-(Dimethylamino)phenyl-5-oxopyrrolidines on Breast and Pancreatic Cancer Cell Colony Formation, Migration, and Growth of Tumor Spheroids
Abstract
1. Introduction
2. Results and Discussion
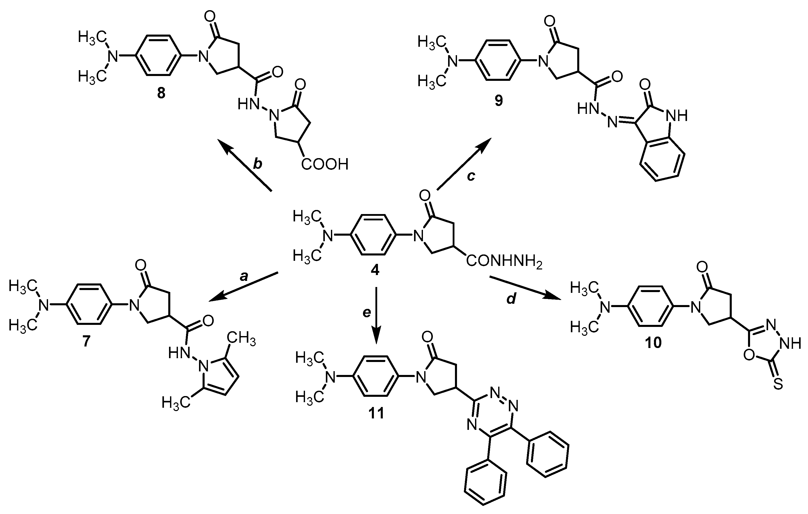
2.1. Chemistry
2.2. Pharmacology
2.2.1. Cytotoxicity
2.2.2. Effect on Cell Colony Formation
2.2.3. Effect on Cell Migration
2.2.4. Compound Effect in 3D Cultures
3. Materials and Methods
3.1. Chemistry
3.2. Pharmacology
3.2.1. Cell Culturing
3.2.2. Cell Viability Assay
3.2.3. Clonogenic Assay
3.2.4. Wound Healing Assay
3.2.5. Testing in 3D Cultures
3.3. Statistical Analysis
4. Conclusions
Supplementary Materials
Author Contributions
Funding
Institutional Review Board Statement
Informed Consent Statement
Data Availability Statement
Acknowledgments
Conflicts of Interest
References
- Kannan, S.; Shaik Syed Ali, P.; Sheeza, A. Short Report—Lethal and Aggressive Pancreatic Cancer: Molecular Pathogenesis, Cellular Heterogeneity, and Biomarkers of Pancreatic Ductal Adenocarcinoma. Eur. Rev. Med. Pharmacol. Sci. 2022, 26, 1017–1019. [Google Scholar] [CrossRef]
- Luu, A.M.; Herzog, T.; Hoehn, P.; Reinacher-Schick, A.; Munding, J.; Uhl, W.; Braumann, C. FOLFIRINOX Treatment Leading to Pathologic Complete Response of a Locally Advanced Pancreatic Cancer. J. Gastrointest. Oncol. 2018, 9, E9–E12. [Google Scholar] [CrossRef] [PubMed]
- Pereira, S.P.; Oldfield, L.; Ney, A.; Hart, P.A.; Keane, M.G.; Pandol, S.J.; Li, D.; Greenhalf, W.; Jeon, C.Y.; Koay, E.J.; et al. Early Detection of Pancreatic Cancer. Lancet Gastroenterol. Hepatol. 2020, 5, 698–710. [Google Scholar] [CrossRef] [PubMed]
- Yin, L.; Duan, J.-J.; Bian, X.-W.; Yu, S. Triple-Negative Breast Cancer Molecular Subtyping and Treatment Progress. Breast Cancer Res. 2020, 22, 61. [Google Scholar] [CrossRef]
- Gallego-Yerga, L.; Ceña, V.; Peláez, R. Potent and Selective Benzothiazole-Based Antimitotics with Improved Water Solubility: Design, Synthesis, and Evaluation as Novel Anticancer Agents. Pharmaceutics 2023, 15, 1698. [Google Scholar] [CrossRef] [PubMed]
- Barreca, M.; Spanò, V.; Rocca, R.; Bivacqua, R.; Gualtieri, G.; Raimondi, M.V.; Gaudio, E.; Bortolozzi, R.; Manfreda, L.; Bai, R.; et al. Identification of Pyrrolo[3′,4′:3,4]Cyclohepta[1,2-d][1,2]Oxazoles as Promising New Candidates for the Treatment of Lymphomas. Eur. J. Med. Chem. 2023, 254, 115372. [Google Scholar] [CrossRef]
- Du, Y.E.; Bae, E.S.; Lim, Y.; Cho, J.-C.; Nam, S.-J.; Shin, J.; Lee, S.K.; Nam, S.-I.; Oh, D.-C. Svalbamides A and B, Pyrrolidinone-Bearing Lipodipeptides from Arctic Paenibacillus sp. Mar. Drugs 2021, 19, 229. [Google Scholar] [CrossRef]
- Ibrahim, S.R.M.; Mohamed, G.A.; Moharram, A.M.; Youssef, D.T.A. Aegyptolidines A and B: New Pyrrolidine Alkaloids from the Fungus Aspergillus Aegyptiacus. Phytochem. Lett. 2015, 12, 90–93. [Google Scholar] [CrossRef]
- Lee, H.-S.; Jeong, G.-S. Salinosporamide A, a Marine-Derived Proteasome Inhibitor, Inhibits T Cell Activation through Regulating Proliferation and the Cell Cycle. Molecules 2020, 25, 5031. [Google Scholar] [CrossRef]
- Dai, W.; Lou, N.; Xie, D.; Hu, Z.; Song, H.; Lu, M.; Shang, D.; Wu, W.; Peng, J.; Yin, P.; et al. N-Ethyl-2-Pyrrolidinone-Substituted Flavan-3-Ols with Anti-Inflammatory Activity in Lipopolysaccharide-Stimulated Macrophages Are Storage-Related Marker Compounds for Green Tea. J. Agric. Food Chem. 2020, 68, 12164–12172. [Google Scholar] [CrossRef]
- Muneer, S.; Memon, S.; Pahnwar, Q.K.; Bhatti, A.A.; Khokhar, T.S. Synthesis and Investigation of Antimicrobial Properties of Pyrrolidine Appended Calix[4]Arene. J. Anal. Sci. Technol. 2017, 8, 3. [Google Scholar] [CrossRef][Green Version]
- Pendri, A.; Troyer, T.L.; Sofia, M.J.; Walker, M.A.; Naidu, B.N.; Banville, J.; Meanwell, N.A.; Dicker, I.; Lin, Z.; Krystal, M.; et al. Solid Phase Synthesis of Novel Pyrrolidinedione Analogs as Potent HIV-1 Integrase Inhibitors. J. Comb. Chem. 2010, 12, 84–90. [Google Scholar] [CrossRef] [PubMed]
- Kaminski, K. Novel Hybrid Anticonvulsants Derived from Pyrrolidine-2,5-Dione Scaffold with Broad Spectrum of Activity in the Preclinical Studies. Curr. Top. Med. Chem. 2017, 17, 858–874. [Google Scholar] [CrossRef] [PubMed]
- Elderwish, S.; Audebrand, A.; Nebigil, C.G.; Désaubry, L. Discovery of 3,3′-Pyrrolidinyl-Spirooxindoles as Cardioprotectant Prohibitin Ligands. Eur. J. Med. Chem. 2020, 186, 111859. [Google Scholar] [CrossRef]
- Hosseinzadeh, Z.; Ramazani, A.; Hosseinzadeh, K.; Razzaghi-Asl, N.; Gouranlou, F. An Overview on Chemistry and Biological Importance of Pyrrolidinone. Curr. Org. Synth. 2018, 15, 166–178. [Google Scholar] [CrossRef]
- Rojas, J.; Domínguez, J.N.; Charris, J.E.; Lobo, G.; Payá, M.; Ferrándiz, M.L. Synthesis and Inhibitory Activity of Dimethylamino-Chalcone Derivatives on the Induction of Nitric Oxide Synthase. Eur. J. Med. Chem. 2002, 37, 699–705. [Google Scholar] [CrossRef]
- Prasad, Y.R.; Rani, V.J.; Rao, A.S. In Vitro Antioxidant Activity and Scavenging Effects of Some Synthesized 4¢-Aminochalcones. Asian J. Chem. 2013, 25, 52–58. [Google Scholar] [CrossRef]
- Rathish, I.G.; Javed, K.; Ahmad, S.; Bano, S.; Alam, M.S.; Pillai, K.K.; Singh, S.; Bagchi, V. Synthesis and Antiinflammatory Activity of Some New 1,3,5-Trisubstituted Pyrazolines Bearing Benzene Sulfonamide. Bioorg. Med. Chem. Lett. 2009, 19, 255–258. [Google Scholar] [CrossRef]
- Bano, S.; Javed, K.; Ahmad, S.; Rathish, I.G.; Singh, S.; Alam, M.S. Synthesis and Biological Evaluation of Some New 2-Pyrazolines Bearing Benzene Sulfonamide Moiety as Potential Anti-Inflammatory and Anti-Cancer Agents. Eur. J. Med. Chem. 2011, 46, 5763–5768. [Google Scholar] [CrossRef] [PubMed]
- Raudszus, R.; Nowotny, R.; Gertzen, C.G.W.; Schöler, A.; Krizsan, A.; Gockel, I.; Kalwa, H.; Gohlke, H.; Thieme, R.; Hansen, F.K. Fluorescent Analogs of Peptoid-Based HDAC Inhibitors: Synthesis, Biological Activity and Cellular Uptake Kinetics. Bioorg. Med. Chem. 2019, 27, 115039. [Google Scholar] [CrossRef] [PubMed]
- Balandis, B.; Ivanauskaitė, G.; Smirnovienė, J.; Kantminienė, K.; Matulis, D.; Mickevičius, V.; Zubrienė, A. Synthesis and Structure–Affinity Relationship of Chlorinated Pyrrolidinone-Bearing Benzenesulfonamides as Human Carbonic Anhydrase Inhibitors. Bioorg. Chem. 2020, 97, 103658. [Google Scholar] [CrossRef] [PubMed]
- Rutkauskas, K.; Zubrienė, A.; Tumosienė, I.; Kantminienė, K.; Mickevičius, V.; Matulis, D. Benzenesulfonamides Bearing Pyrrolidinone Moiety as Inhibitors of Carbonic Anhydrase IX: Synthesis and Binding Studies. Med. Chem. Res. 2017, 26, 235–246. [Google Scholar] [CrossRef]
- Vaškevičienė, I.; Paketurytė, V.; Pajanok, N.; Žukauskas, Š.; Sapijanskaitė, B.; Kantminienė, K.; Mickevičius, V.; Zubrienė, A.; Matulis, D. Pyrrolidinone-Bearing Methylated and Halogenated Benzenesulfonamides as Inhibitors of Carbonic Anhydrases. Bioorg. Med. Chem. 2019, 27, 322–337. [Google Scholar] [CrossRef] [PubMed]
- Vaickelionienė, R.; Petrikaitė, V.; Vaškevičienė, I.; Pavilonis, A.; Mickevičius, V. Synthesis of Novel Sulphamethoxazole Derivatives and Exploration of Their Anticancer and Antimicrobial Properties. PLoS ONE 2023, 18, e0283289. [Google Scholar] [CrossRef] [PubMed]
- Zubrickė, I.; Jonuškienė, I.; Kantminienė, K.; Tumosienė, I.; Petrikaitė, V. Synthesis and In Vitro Evaluation as Potential Anticancer and Antioxidant Agents of Diphenylamine-Pyrrolidin-2-One-Hydrazone Derivatives. Int. J. Mol. Sci. 2023, 24, 16804. [Google Scholar] [CrossRef] [PubMed]
- Franken, N.A.P.; Rodermond, H.M.; Stap, J.; Haveman, J.; Van Bree, C. Clonogenic Assay of Cells in Vitro. Nat. Protoc. 2006, 1, 2315–2319. [Google Scholar] [CrossRef] [PubMed]
- Rodriguez, L.G.; Wu, X.; Guan, J.-L. Wound-Healing Assay. In Cell Migration; Humana Press: Totowa, NJ, USA, 2004; Volume 294, pp. 23–30. ISBN 978-1-59259-860-1. [Google Scholar]
- Bassi, G.; Grimaudo, M.A.; Panseri, S.; Montesi, M. Advanced Multi-Dimensional Cellular Models as Emerging Reality to Reproduce In Vitro the Human Body Complexity. Int. J. Mol. Sci. 2021, 22, 1195. [Google Scholar] [CrossRef]
- Rostamizadeh, S.; Sadeghi, K. One-Pot Synthesis of 1,2,4-Triazines. Synth. Commun. 2002, 32, 1899–1902. [Google Scholar] [CrossRef]
- Isler, M.; Giller, T.; Schwalm, G.; Steger, M.; Hilpert, K.; Valdenaire, O.; Breu, V. Pyrrolidone Carboxamides. WO Patent WO2003059905A1, 24 July 2003. [Google Scholar]
- Phillips, M.A. The Formation of 2-Substituted Benziminazoles. J. Chem. Soc. 1928, 2393–2399. [Google Scholar] [CrossRef]
- Yu, X.; Shi, L.; Ke, S. Acylhydrazone Derivatives as Potential Anticancer Agents: Synthesis, Bio-Evaluation and Mechanism of Action. Bioorg. Med. Chem. Lett. 2015, 25, 5772–5776. [Google Scholar] [CrossRef]
- Cocco, M.T.; Congiu, C.; Lilliu, V.; Onnis, V. Synthesis and in Vitro Antitumoral Activity of New Hydrazinopyrimidine-5-Carbonitrile Derivatives. Bioorg. Med. Chem. 2006, 14, 366–372. [Google Scholar] [CrossRef] [PubMed]
- Tumosienė, I.; Kantminienė, K.; Klevinskas, A.; Petrikaitė, V.; Jonuškienė, I.; Mickevičius, V. Antioxidant and Anticancer Activity of Novel Derivatives of 3-[(4-Methoxyphenyl)Amino]Propanehydrazide. Molecules 2020, 25, 2980. [Google Scholar] [CrossRef] [PubMed]
- Paytash, P.L.; Sparrow, E.; Gathe, J.C. The Reaction of Itaconic Acid with Primary Amines. J. Am. Chem. Soc. 1950, 72, 1415–1416. [Google Scholar] [CrossRef]
- Ainsworth, C. The Condensation of Carboxylic Acid Hydrazides with Carbon Disulfide. J. Am. Chem. Soc. 1956, 78, 4475–4478. [Google Scholar] [CrossRef]
- Abdel-Rahman, R.M.; Makki, M.S.T.; Ali, T.E.; Ibrahim, M.A. 1,2,4-Triazine Chemistry Part IV: Synthesis and Chemical Behavior of 3-Functionalized 5,6-Diphenyl-1,2,4-Triazines towards Some Nucleophilic and Electrophilic Reagents: 1,2,4-Triazine Chemistry Part IV: Synthesis and Chemical Behavior of 3-Functionalized 5,6-Diphenyl-1,2,4-Triazines. J. Heterocycl. Chem. 2015, 52, 1595–1607. [Google Scholar] [CrossRef]
- Listro, R.; Malacrida, A.; Ambrosio, F.A.; Rossino, G.; Di Giacomo, M.; Cavalloro, V.; Garbagnoli, M.; Linciano, P.; Rossi, D.; Cavaletti, G.; et al. From Nature to Synthetic Compounds: Novel 1(N),2,3 Trisubstituted-5-Oxopyrrolidines Targeting Multiple Myeloma Cells. Int. J. Mol. Sci. 2022, 23, 13061. [Google Scholar] [CrossRef] [PubMed]
- Pal, A.; Curtin, J.F.; Kinsella, G.K. In Silico and in Vitro Screening for Potential Anticancer Candidates Targeting GPR120. Bioorganic Med. Chem. Lett. 2021, 31, 127672. [Google Scholar] [CrossRef]
- Abebe, F.A.; Hopkins, M.D.; Vodnala, S.N.; Sheaff, R.J.; Lamar, A.A. Development of a Rapid In Vitro Screening Assay Using Metabolic Inhibitors to Detect Highly Selective Anticancer Agents. ACS Omega 2021, 6, 18333–18343. [Google Scholar] [CrossRef]
- Šermukšnytė, A.; Kantminienė, K.; Jonuškienė, I.; Tumosienė, I.; Petrikaitė, V. The Effect of 1,2,4-Triazole-3-Thiol Derivatives Bearing Hydrazone Moiety on Cancer Cell Migration and Growth of Melanoma, Breast, and Pancreatic Cancer Spheroids. Pharmaceuticals 2022, 15, 1026. [Google Scholar] [CrossRef]
- Zeng, S.; Pöttler, M.; Lan, B.; Grützmann, R.; Pilarsky, C.; Yang, H. Chemoresistance in Pancreatic Cancer. Int. J. Mol. Sci. 2019, 20, 4504. [Google Scholar] [CrossRef]
- Nedeljković, M.; Damjanović, A. Mechanisms of Chemotherapy Resistance in Triple-Negative Breast Cancer—How We Can Rise to the Challenge. Cells 2019, 8, 957. [Google Scholar] [CrossRef]
- Ioele, G.; Chieffallo, M.; Occhiuzzi, M.A.; De Luca, M.; Garofalo, A.; Ragno, G.; Grande, F. Anticancer Drugs: Recent Strategies to Improve Stability Profile, Pharmacokinetic and Pharmacodynamic Properties. Molecules 2022, 27, 5436. [Google Scholar] [CrossRef]
- Martins, P.; Jesus, J.; Santos, S.; Raposo, L.; Roma-Rodrigues, C.; Baptista, P.; Fernandes, A. Heterocyclic Anticancer Compounds: Recent Advances and the Paradigm Shift towards the Use of Nanomedicine’s Tool Box. Molecules 2015, 20, 16852–16891. [Google Scholar] [CrossRef]
- Brix, N.; Samaga, D.; Belka, C.; Zitzelsberger, H.; Lauber, K. Analysis of Clonogenic Growth In Vitro. Nat. Protoc. 2021, 16, 4963–4991. [Google Scholar] [CrossRef]
- Jamshed, M.B.; Munir, F.; Shahid, N.; Sadiq, U.; Muhammad, S.A.; Ghanem, N.B.; Zhong, H.; Li, X.; Zhang, Q. Antitumor Activity and Combined Inhibitory Effect of Ceritinib with Gemcitabine in Pancreatic Cancer. Am. J. Physiol. Gastrointest. Liver Physiol. 2020, 318, G109–G119. [Google Scholar] [CrossRef] [PubMed]
- Franco, M.S.; Roque, M.C.; Oliveira, M.C. Short and Long-Term Effects of the Exposure of Breast Cancer Cell Lines to Different Ratios of Free or Co-Encapsulated Liposomal Paclitaxel and Doxorubicin. Pharmaceutics 2019, 11, 178. [Google Scholar] [CrossRef] [PubMed]
- Kai, K.; Kondo, K.; Wang, X.; Xie, X.; Pitner, M.K.; Reyes, M.E.; Torres-Adorno, A.M.; Masuda, H.; Hortobagyi, G.N.; Bartholomeusz, C.; et al. Antitumor Activity of KW-2450 against Triple-Negative Breast Cancer by Inhibiting Aurora A and B Kinases. Mol. Cancer Ther. 2015, 14, 2687–2699. [Google Scholar] [CrossRef] [PubMed]
- Janoniene, A.; Mazutis, L.; Matulis, D.; Petrikaite, V. Inhibition of Carbonic Anhydrase IX Suppresses Breast Cancer Cell Motility at the Single-Cell Level. Int. J. Mol. Sci. 2021, 22, 11571. [Google Scholar] [CrossRef] [PubMed]
- Benien, P.; Swami, A. 3D Tumor Models: History, Advances and Future Perspectives. Future Oncol. 2014, 10, 1311–1327. [Google Scholar] [CrossRef]
- Hirschhaeuser, F.; Menne, H.; Dittfeld, C.; West, J.; Mueller-Klieser, W.; Kunz-Schughart, L.A. Multicellular Tumor Spheroids: An Underestimated Tool Is Catching up Again. J. Biotechnol. 2010, 148, 3–15. [Google Scholar] [CrossRef]
- Bytautaite, M.; Petrikaite, V. Comparative Study of Lipophilic Statin Activity in 2D and 3D In Vitro Models of Human Breast Cancer Cell Lines MDA-MB-231 and MCF-7. OncoTargets Ther. 2020, 13, 13201–13209. [Google Scholar] [CrossRef] [PubMed]
- Braciuliene, A.; Janulis, V.; Petrikaite, V. The Chemo-Sensitizing Effect of Doxorubicin of Apple Extract-Enriched Triterpenic Complex on Human Colon Adenocarcinoma and Human Glioblastoma Cell Lines. Pharmaceutics 2022, 14, 2593. [Google Scholar] [CrossRef] [PubMed]
- Skaraitė, I.; Maccioni, E.; Petrikaitė, V. Anticancer Activity of Sunitinib Analogues in Human Pancreatic Cancer Cell Cultures under Normoxia and Hypoxia. Int. J. Mol. Sci. 2023, 24, 5422. [Google Scholar] [CrossRef] [PubMed]









Disclaimer/Publisher’s Note: The statements, opinions and data contained in all publications are solely those of the individual author(s) and contributor(s) and not of MDPI and/or the editor(s). MDPI and/or the editor(s) disclaim responsibility for any injury to people or property resulting from any ideas, methods, instructions or products referred to in the content. |
© 2024 by the authors. Licensee MDPI, Basel, Switzerland. This article is an open access article distributed under the terms and conditions of the Creative Commons Attribution (CC BY) license (https://creativecommons.org/licenses/by/4.0/).
Share and Cite
Kairytė, K.; Vaickelionienė, R.; Grybaitė, B.; Anusevičius, K.; Mickevičius, V.; Petrikaitė, V. The Effect of 4-(Dimethylamino)phenyl-5-oxopyrrolidines on Breast and Pancreatic Cancer Cell Colony Formation, Migration, and Growth of Tumor Spheroids. Int. J. Mol. Sci. 2024, 25, 1834. https://doi.org/10.3390/ijms25031834
Kairytė K, Vaickelionienė R, Grybaitė B, Anusevičius K, Mickevičius V, Petrikaitė V. The Effect of 4-(Dimethylamino)phenyl-5-oxopyrrolidines on Breast and Pancreatic Cancer Cell Colony Formation, Migration, and Growth of Tumor Spheroids. International Journal of Molecular Sciences. 2024; 25(3):1834. https://doi.org/10.3390/ijms25031834
Chicago/Turabian StyleKairytė, Karolina, Rita Vaickelionienė, Birutė Grybaitė, Kazimieras Anusevičius, Vytautas Mickevičius, and Vilma Petrikaitė. 2024. "The Effect of 4-(Dimethylamino)phenyl-5-oxopyrrolidines on Breast and Pancreatic Cancer Cell Colony Formation, Migration, and Growth of Tumor Spheroids" International Journal of Molecular Sciences 25, no. 3: 1834. https://doi.org/10.3390/ijms25031834
APA StyleKairytė, K., Vaickelionienė, R., Grybaitė, B., Anusevičius, K., Mickevičius, V., & Petrikaitė, V. (2024). The Effect of 4-(Dimethylamino)phenyl-5-oxopyrrolidines on Breast and Pancreatic Cancer Cell Colony Formation, Migration, and Growth of Tumor Spheroids. International Journal of Molecular Sciences, 25(3), 1834. https://doi.org/10.3390/ijms25031834

