Anti-Inflammatory and Antioxidant Pyrrolo[3,4-d]pyridazinone Derivatives Interact with DNA and Bind to Plasma Proteins—Spectroscopic and In Silico Studies
Abstract
1. Introduction
2. Results and Discussion
2.1. Interaction with ctDNA
2.1.1. Molecular Docking Studies
2.1.2. Spectroscopic Studies
UV-Vis Spectroscopy
Fluorescence Spectroscopy
Circular Dichroism Spectroscopy
2.2. Interaction with Plasma Proteins
2.2.1. Molecular Docking Studies
2.2.2. Spectroscopic Studies
Fluorescence Spectroscopy
Circular Dichroism Spectroscopy
3. Materials and Methods
3.1. Materials
3.2. Molecular Docking
3.3. Spectroscopic Studies
3.3.1. Fluorescence Spectroscopy
Studies with Proteins
Studies with ctDNA
3.3.2. Circular Dichroism Spectroscopy
3.3.3. UV-Vis Spectroscopy
4. Conclusions
Supplementary Materials
Author Contributions
Funding
Institutional Review Board Statement
Informed Consent Statement
Data Availability Statement
Acknowledgments
Conflicts of Interest
References
- Szczukowski, Ł.; Redzicka, A.; Wiatrak, B.; Krzyżak, E.; Marciniak, A.; Gębczak, K.; Gębarowski, T.; Świątek, P. Design, synthesis, biological evaluation and in silico studies of novel pyrrolo[3,4-d]pyridazinone derivatives with promising anti-inflammatory and antioxidant activity. Bioorg. Chem. 2020, 102, 104035. [Google Scholar] [CrossRef] [PubMed]
- Asif, M. Various Chemical and Biological Activities of Pyridazinone Derivatives. Cent. Eur. J. Exp. Biol. 2017, 5, 1–19. [Google Scholar]
- Alam, M.T.; Asif, M. Pharmacological activities of pyridazines and pyridazinone Derivatives: A Review on biologically active scaffold. South Asian Res. J. Pharm. Sci. 2019, 01, 16–37. [Google Scholar] [CrossRef]
- Imran, M. Mohammad Asif Biologically Active Pyridazines and Pyridazinone Derivatives: A Scaffold for the Highly Functionalized Compounds. Russ. J. Bioorganic Chem. 2020, 46, 726–744. [Google Scholar] [CrossRef]
- Akhtar, W.; Shaquiquzzaman, M.; Akhter, M.; Verma, G.; Khan, M.F.; Alam, M.M. The therapeutic journey of pyridazinone. Eur. J. Med. Chem. 2016, 123, 256–281. [Google Scholar] [CrossRef]
- Szandruk-Bender, M.; Merwid-Ląd, A.; Wiatrak, B.; Danielewski, M.; Dzimira, S.; Szkudlarek, D.; Szczukowski, Ł.; Świątek, P.; Szeląg, A. Novel 1,3,4-oxadiazole derivatives of pyrrolo [3,4-d]pyridazinone exert anti-inflammatory activity without acute gastrotoxicity in the carrageenan-induced rat paw edema test. J. Inflamm. Res. 2021, 14, 5739–5756. [Google Scholar] [CrossRef] [PubMed]
- Szandruk-Bender, M.; Wiatrak, B.; Dzimira, S.; Merwid-Ląd, A.; Szczukowski, Ł.; Świątek, P.; Szeląg, A. Targeting Lineage-Specific Transcription Factors and Cytokines of the Th17/Treg Axis by Novel 1,3,4-Oxadiazole Derivatives of Pyrrolo[3,4-d]pyridazinone Attenuates TNBS-Induced Experimental Colitis. Int. J. Mol. Sci. 2022, 23, 9897. [Google Scholar] [CrossRef]
- Szandruk-Bender, M.; Wiatrak, B.; Szczukowski, Ł.; Świątek, P.; Rutkowska, M.; Dzimira, S.; Merwid-Ląd, A.; Danielewski, M.; Szeląg, A. Novel 1,3,4-oxadiazole derivatives of pyrrolo[3,4-d]pyridazinone exert antinociceptive activity in the tail-flick and formalin test in rodents and reveal reduced gastrotoxicity. Int. J. Mol. Sci. 2020, 21, 9685. [Google Scholar] [CrossRef]
- Nunn, C.M.; Van Meervelt, L.; Zhang, S.; Moore, M.H.; Kennard, O. DNA-drug interactions. The crystal structures of d(TGTACA) and d(TGATCA) complexed with daunomycin. J. Mol. Biol. 1991, 222, 167–177. [Google Scholar] [CrossRef]
- Sirajuddin, M.; Ali, S.; Badshah, A. Drug-DNA interactions and their study by UV-Visible, fluorescence spectroscopies and cyclic voltametry. J. Photochem. Photobiol. B Biol. 2013, 124, 1–19. [Google Scholar] [CrossRef]
- Fitos, I.; Visy, J.; Zsila, F.; Bikádi, Z.; Mády, G.; Simonyi, M. Specific ligand binding on genetic variants of human α 1-acid glycoprotein studied by circular dichroism spectroscopy. Biochem. Pharmacol. 2004, 67, 679–688. [Google Scholar] [CrossRef]
- Zsila, F.; Molnár, P.; Deli, J.; Lockwood, S.F. Circular dichroism and absorption spectroscopic data reveal binding of the natural cis-carotenoid bixin to human α1-acid glycoprotein. Bioorg. Chem. 2005, 33, 298–309. [Google Scholar] [CrossRef]
- Ying, L.; Chao, W.; Guanghua, L. Interaction of Jatrorrhizine with human gamma globulin in membrane mimetic environments: Probing of the binding mechanism and binding site by spectroscopic and molecular modeling methods. J. Mol. Struct. 2010, 980, 108–113. [Google Scholar] [CrossRef]
- Li, X.; Wang, X.; Liu, H.; Peng, Y.; Yan, Y.; Ni, T. Mechanism evaluation of the interactions between eight flavonoids and γ-globulin based on multi-spectroscopy. J. Mol. Struct. 2021, 1225, 129291. [Google Scholar] [CrossRef]
- Mallena, S.; Lee, M.P.H.; Bailly, C.; Neidle, S.; Kumar, A.; Boykin, D.W.; Wilson, W.D. Thiophene-based diamidine forms a “super” AT binding minor groove agent. J. Am. Chem. Soc. 2004, 126, 13659–13669. [Google Scholar] [CrossRef]
- Hasi, Q.M.; Guo, Y.; Yang, J.; Mu, X.; Chen, L.; Wang, S.; Xiao, C.; Zhang, Y.; Han, Z. Synthesis, DNA-binding abilities, and in vitro antitumor activity of water-soluble copper porphyrin and its Schiff-base complexes. New J. Chem. 2022, 46, 6811–6818. [Google Scholar] [CrossRef]
- Benesi, H.A.; Hildebrand, J.H. A Spectrophotometric Investigation of the Interaction of Iodine with Aromatic Hydrocarbons. J. Am. Chem. Soc. 1949, 71, 2703–2707. [Google Scholar] [CrossRef]
- Salem, A.A.; Lotfy, M.; Amin, A.; Ghattas, M.A. Characterization of human serum albumin’s interactions with safranal and crocin using multi-spectroscopic and molecular docking techniques. Biochem. Biophys. Rep. 2019, 20, 100670. [Google Scholar] [CrossRef] [PubMed]
- Sharfalddin, A.A.; Emwas, A.H.; Jaremko, M.; Hussien, M.A. Synthesis and theoretical calculations of metal-antibiotic chelation with thiamphenicol:in vitroDNA and HSA binding, molecular docking, and cytotoxicity studies. New J. Chem. 2021, 45, 9598–9613. [Google Scholar] [CrossRef]
- Popović, A.; Nikolić, M.; Mijajlović, M.; Ratković, Z.; Jevtić, V.; Trifunović, S.R.; Radić, G.; Zarić, M.; Canović, P.; Milovanović, M.; et al. DNA binding and antitumor activities of zinc(II) complexes with some S-alkenyl derivatives of thiosalicylic acid. Transit. Met. Chem. 2019, 44, 219–228. [Google Scholar] [CrossRef]
- Arif, R.; Nayab, P.S.; Ansari, I.A.; Shahid, M.; Irfan, M.; Alam, S.; Abid, M. Rahisuddin Synthesis, molecular docking and DNA binding studies of phthalimide-based copper(II) complex: In vitro antibacterial, hemolytic and antioxidant assessment. J. Mol. Struct. 2018, 1160, 142–153. [Google Scholar] [CrossRef]
- Vardevanyan, P.O.; Antonyan, A.P.; Parsadanyan, M.A.; Davtyan, H.G.; Karapetyan, A.T. The binding of ethidium bromide with DNA: Interaction with single- and double-stranded structures. Exp. Mol. Med. 2003, 35, 527–533. [Google Scholar] [CrossRef] [PubMed]
- Olmsted, J.; Kearns, D.R. Mechanism of Ethidium Bromide Fluorescence Enhancement on Binding to Nucleic Acids. Biochemistry 1977, 16, 3647–3654. [Google Scholar] [CrossRef] [PubMed]
- Sigmon, J.; Larcom, L.L. The effect of ethidium bromide on mobility of DNA fragments in agarose gel electrophoresis. Electrophoresis 1996, 17, 1524–1527. [Google Scholar] [CrossRef]
- Nayab, P.S.; Pulaganti, M.; Chitta, S.K.; Oves, M. Rahisuddin Synthesis, spectroscopic studies of novel N-substituted phthalimides and evaluation of their antibacterial, antioxidant, DNA binding and molecular docking studies. Bangladesh J. Pharmacol. 2015, 10, 703–713. [Google Scholar] [CrossRef]
- Zhang, G.; Hu, X.; Fu, P. Spectroscopic studies on the interaction between carbaryl and calf thymus DNA with the use of ethidium bromide as a fluorescence probe. J. Photochem. Photobiol. B Biol. 2012, 108, 53–61. [Google Scholar] [CrossRef]
- Jana, B.; Senapati, S.; Ghosh, D.; Bose, D.; Chattopadhyay, N. Spectroscopic exploration of mode of binding of ctDNA with 3-hydroxyflavone: A contrast to the mode of binding with flavonoids having additional hydroxyl groups. J. Phys. Chem. B 2012, 116, 639–645. [Google Scholar] [CrossRef]
- Wani, T.A.; Alsaif, N.; Bakheit, A.H.; Zargar, S.; Al-Mehizia, A.A.; Khan, A.A. Interaction of an abiraterone with calf thymus DNA: Investigation with spectroscopic technique and modelling studies. Bioorg. Chem. 2020, 100, 103957. [Google Scholar] [CrossRef] [PubMed]
- Uma, V.; Kanthimathi, M.; Weyhermuller, T.; Nair, B.U. Oxidative DNA cleavage mediated by a new copper (II) terpyridine complex: Crystal structure and DNA binding studies. J. Inorg. Biochem. 2005, 99, 2299–2307. [Google Scholar] [CrossRef]
- Kypr, J.; Kejnovská, I.; Renciuk, D.; Vorlícková, M. Circular dichroism and conformational polymorphism of DNA. Nucleic Acids Res. 2009, 37, 1713–1725. [Google Scholar] [CrossRef]
- Arjmand, F.; Jamsheera, A.; Mohapatra, D.K. Synthesis, characterization and in vitro DNA binding and cleavage studies of Cu(II)/Zn(II) dipeptide complexes. J. Photochem. Photobiol. B Biol. 2013, 121, 75–85. [Google Scholar] [CrossRef]
- Karidi, K.; Garoufis, A.; Tsipis, A.; Hadjiliadis, N.; Den Dulk, H.; Reedijk, J. Synthesis, characterization, in vitro antitumor activity, DNA-binding properties and electronic structure (DFT) of the new complex cis-(Cl,Cl)[RuIICl2(NO+)(terpy)]Cl. Dalt. Trans. 2005, 7, 1176–1187. [Google Scholar] [CrossRef]
- Schönfeld, D.L.; Ravelli, R.B.G.; Mueller, U.; Skerra, A. The 1.8-Å Crystal Structure of α1-Acid Glycoprotein (Orosomucoid) Solved by UV RIP Reveals the Broad Drug-Binding Activity of This Human Plasma Lipocalin. J. Mol. Biol. 2008, 384, 393–405. [Google Scholar] [CrossRef]
- Wedemayer, G.J.; Patten, P.A.; Wang, L.H.; Schultz, P.G.; Stevens, R.C. Structural insights into the evolution of an antibody combining site. Science 1997, 276, 1665–1669. [Google Scholar] [CrossRef] [PubMed]
- Azad, M.A.K.; Huang, J.X.; Cooper, M.A.; Roberts, K.D.; Thompson, P.E.; Nation, R.L.; Li, J.; Velkov, T. Structure–activity relationships for the binding of polymyxins with human α-1-acid glycoprotein. Biochem. Pharmacol. 2012, 84, 278. [Google Scholar] [CrossRef]
- Albani, J.R. Relation between the secondary structure of carbohydrate residues of α1-acid glycoprotein (orosomucoid) and the fluorescence of the protein. Carbohydr. Res. 2003, 338, 1097–1101. [Google Scholar] [CrossRef] [PubMed]
- Owczarzy, A.; Zięba, A.; Pożycka, J.; Kulig, K.; Rogóż, W.; Szkudlarek, A.; Maciążek-jurczyk, M. Spectroscopic studies of quinobenzothiazine derivative in terms of the in vitro interaction with selected human plasma proteins. Part 1. Molecules 2021, 26, 4776. [Google Scholar] [CrossRef]
- Chen, G.Z.; Huang, X.Z.; Xu, J.G.; Zneng, Z.Z.; Wang, Z.B. The Methods of Fluorescence Analysis, 2nd ed.; Science: Beijing, China, 1990. [Google Scholar]
- Phys, J.C.; Lakowicz, J.R.; Weber, G. Quenching of Fluorescence by Oxygen. A Probe for Structural Fluctuations in Macromoleculest. Biochemistry 1972, 12, 4161–4170. [Google Scholar]
- Anand, U.; Mukherjee, S. Reversibility in protein folding: Effect of β-cyclodextrin on bovine serum albumin unfolded by sodium dodecyl sulphate. Phys. Chem. Chem. Phys. 2013, 15, 9375–9383. [Google Scholar] [CrossRef]
- Ware, W.R. Oxygen quenching of fluorescence in solution: An experimental study of the diffusion process. J. Phys. Chem. 1962, 66, 455–458. [Google Scholar] [CrossRef]
- Lakowicz, J.R. (Ed.) Principles of Fluorescence Spectroscopy, 3rd ed.; Springer: Boston, MA, USA, 2006; ISBN 978-0-387-31278-1. [Google Scholar]
- Klotz, I.M.; Urquhart, J.M. The Binding of Organic Ions by Proteins. Effect of Temperature. J. Am. Chem. Soc. 1949, 71, 847–851. [Google Scholar] [CrossRef]
- Ross, P.D.; Subramanian, S. Thermodynamics of Protein Association Reactions: Forces Contributing to Stability. Biochemistry 1981, 20, 3096–3102. [Google Scholar] [CrossRef] [PubMed]
- Shahabadi, N.; Mohammadi, S.; Alizadeh, R. DNA interaction studies of a new platinum(II) complex containing different aromatic dinitrogen ligands. Bioinorg. Chem. Appl. 2011, 2011, 429241. [Google Scholar] [CrossRef]
- Marmur, J. A procedure for the isolation of deoxyribonucleic acid from micro-organisms. J. Mol. Biol. 1961, 3, 208-IN1. [Google Scholar] [CrossRef]
- Becke, A.D. Density-functional thermochemistry. III. The role of exact exchange. J. Chem. Phys. 1993, 98, 5648. [Google Scholar] [CrossRef]
- Lee, C.; Yang, W.; Parr, R.G. Development of the Colle-Salvetti correlation-energy formula into a functional of the electron density. Phys. Rev. B 1988, 37, 785–789. [Google Scholar] [CrossRef]
- Perdew, J.P.; Wang, Y. Accurate and simple analytic representation of the electron-gas correlation energy. Phys. Rev. B 1992, 45, 13244–13249. [Google Scholar] [CrossRef] [PubMed]
- Frisch, M.J.; Trucks, G.W.; Schlegel, H.B.; Scuseria, G.E.; Robb, M.A.; Cheeseman, J.R.; Scalmani, G.; Barone, V.; Petersson, G.A.; Nakatsuji, H.; et al. Gaussian~16 {R}evision {C}.01 2016. Available online: https://gaussian.com/citation/ (accessed on 1 September 2023).
- Morris, G.M.; Huey, R.; Lindstrom, W.; Sanner, M.F.; Belew, R.K.; Goodsell, D.S.; Olson, A.J. AutoDock4 and AutoDockTools4: Automated Docking with Selective Receptor Flexibility. J. Comput. Chem. 2009, 30, 2785. [Google Scholar] [CrossRef] [PubMed]
- Trott, O.; Olson, A.J. AutoDock Vina: Improving the speed and accuracy of docking with a new scoring function, efficient optimization, and multithreading. J. Comput. Chem. 2010, 31, 455–461. [Google Scholar] [CrossRef]
- Pettersen, E.F.; Goddard, T.D.; Huang, C.C.; Meng, E.C.; Couch, G.S.; Croll, T.I.; Morris, J.H.; Ferrin, T.E. UCSF ChimeraX: Structure visualization for researchers, educators, and developers. Protein Sci. 2021, 30, 70–82. [Google Scholar] [CrossRef]
- Laskowski, R.A.; Swindells, M.B. LigPlot+: Multiple LigandÀProtein Interaction Diagrams for Drug Discovery. J. Chem. Inf. Model 2011, 51, 26. [Google Scholar] [CrossRef] [PubMed]
- Wanwimolruk, S.; Brooks, P.; Birkett, D. Protein binding of non-steroidal anti-inflammatory drugs in plasma and synovial fluid of arthritic patients. Br. J. Clin. Pharmacol. 1983, 15, 91–94. [Google Scholar] [CrossRef] [PubMed]
- Lin, J.H.; Cocchetto, D.M.; Duggan, D.E. Protein Binding as a Primary Determinant of the Clinical Pharmacokinetic Properties of Non-Steroidal Anti-Inflammatory Drugs. Clin. Pharmacokinet. 1987, 12, 402–432. [Google Scholar] [CrossRef] [PubMed]
- Montero, M.T.; Estelrich, J.; Valls, O. Binding of non-steroidal anti-inflammatory drugs to human serum albumin. Int. J. Pharm. 1990, 62, 21–25. [Google Scholar] [CrossRef]
- Israili, Z.H.; Dayton, P.G. Human alpha-1-glycoprotein and its interactions with drugs. Drug Metab. Rev. 2001, 33, 161–235. [Google Scholar] [CrossRef]




















| DNA | AAG | GG | |
|---|---|---|---|
| 1 | −9.5 | −9.5 | −7.7 |
| 2 | −8.8 | −9.7 | −7.6 |
| 3 | −10.4 | −10.6 | −7.9 |
| 4 | −10.1 | −10.6 | −8.8 |
| 5 | −10.7 | −10.9 | −9.0 |
| Compound | Kapp [M−1] | ΔG [kJmol] | %H |
|---|---|---|---|
| 1 | 2.82 × 103 | −1.97 × 104 | 6.64 |
| 2 | 8.30 × 102 | −1.67 × 104 | 5.97 |
| 3 | 6.71 × 103 | −2.18 × 104 | 7.33 |
| 4 | 7.02 × 103 | −2.19 × 104 | 11.61 |
| 5 | 3.06 × 103 | −1.99 × 104 | 9.92 |
| Compound | KSV × 103 [M−1] | % Displacement (Ex) |
|---|---|---|
| 1 | 3.35 | 24.72 |
| 2 | 3.28 | 25.82 |
| 3 | 3.85 | 27.86 |
| 4 | 3.96 | 28.08 |
| 5 | 3.41 | 29.06 |
| Compound | KSV × 103 [M−1] | % Reduction in KSV | |
|---|---|---|---|
| Absent ctDNA | Present ctDNA | ||
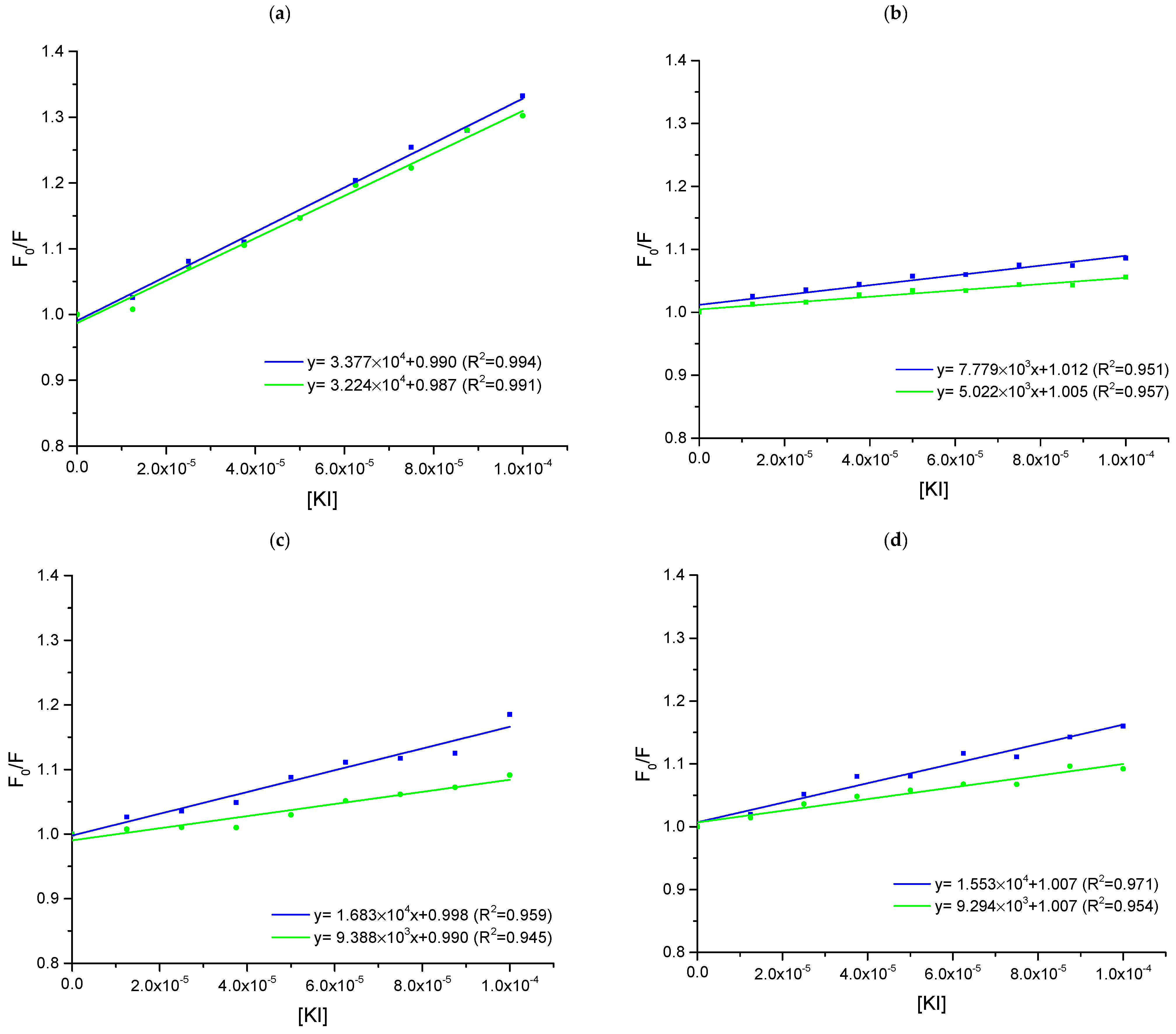
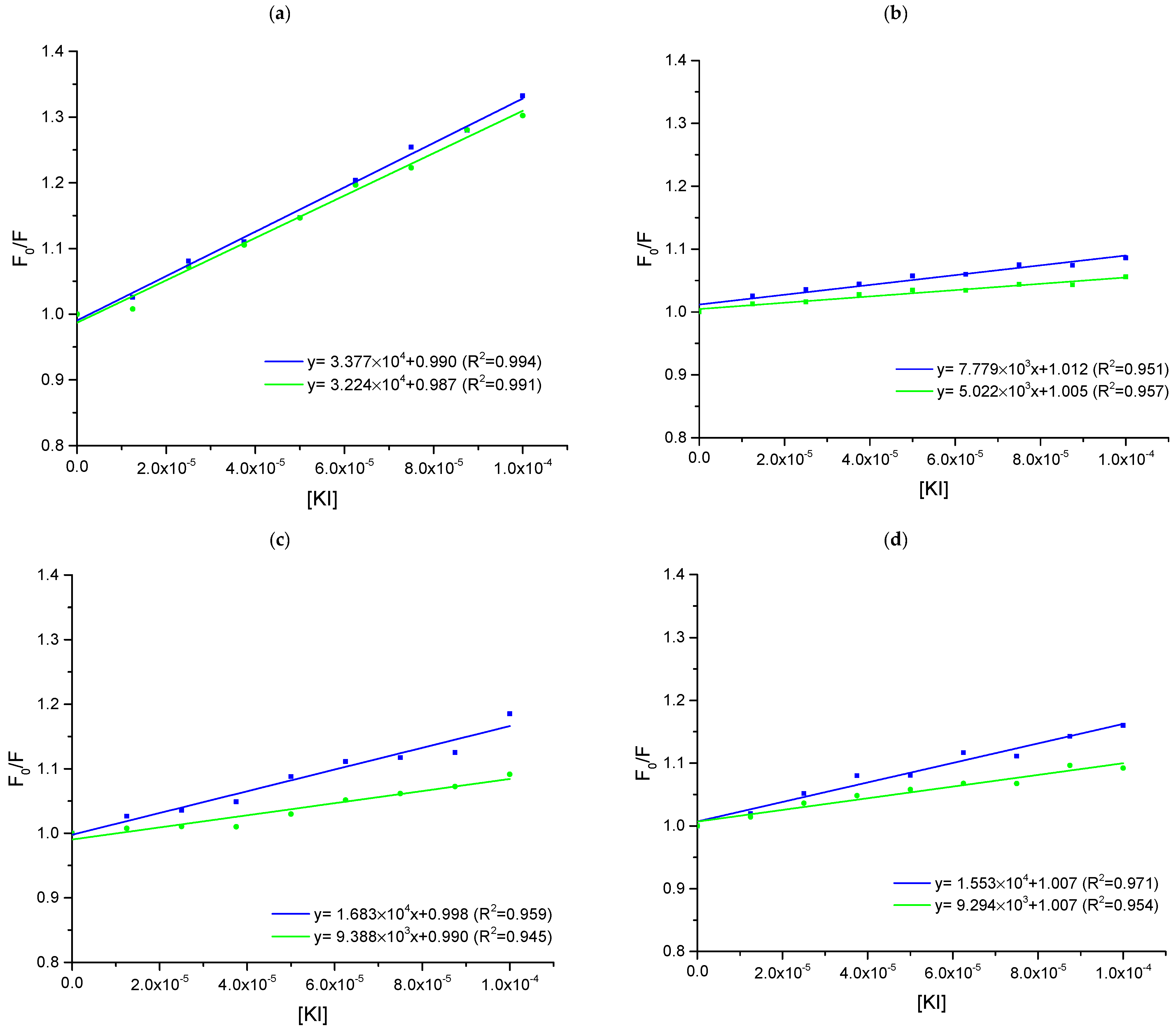
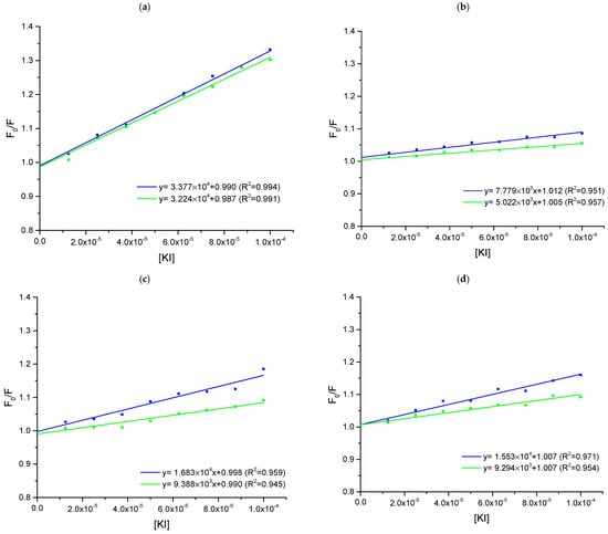
| 1 | 33.77 | 32.24 | 4.5 |
| 2 | 7.78 | 5.02 | 35.5 |
| 3 | 16.83 | 9.39 | 44.2 |
| 5 | 15.53 | 9.24 | 40.5 |
| Quenching | Binding | Thermodynamic | |||||||
|---|---|---|---|---|---|---|---|---|---|
| T [K] | Ksv∙104 [dm3·mol−1] | kq∙1012 [dm3·mol−1·s−1] | logKb | Kb∙104 [dm3·mol−1] | n | ΔG° [kJ∙mol−1] | ΔH° [kJ∙mol−1] | ΔS° [J∙mol−1∙K−1] | |
| 1 | 297 | 6.60 ± 0.10 | 11.0 | 4.49 ± 0.07 | 3.09 | 0.94 ± 0.01 | −27.11 | −155.65 | −432.83 |
| 303 | 4.94 ± 0.18 | 8.23 | 4.10 ± 0.30 | 1.26 | 0.90 ± 0.05 | ||||
| 308 | 3.55 ± 0.27 | 5.92 | 3.49 ± 0.29 | 0.31 | 0.82 ± 0.08 | ||||
| 2 | 297 | 26.15 ± 0.53 | 43.58 | 4.66 ± 0.10 | 4.57 | 0.87 ± 0.02 | −26.17 | −109.55 | −280.76 |
| 303 | 13.58 ± 0.59 | 22.63 | 4.17 ± 0.15 | 1.48 | 0.83 ± 0.03 | ||||
| 308 | 13.45 ± 0.68 | 22.42 | 3.98 ± 0.20 | 0.95 | 0.84 ± 0.02 | ||||
| 3 | 297 | 26.12 ± 0.56 | 43.53 | 4.66 ± 0.10 | 4.57 | 0.87 ± 0.02 | −25.40 | −159.25 | −450.70 |
| 303 | 13.68 ± 0.57 | 22.80 | 3.91 ± 0.26 | 0.81 | 0.79 ± 0.04 | ||||
| 308 | 12.30 ± 0.86 | 20.50 | 3.47 ± 0.30 | 0.29 | 0.71 ± 0.08 | ||||
| 4 | 297 | 43.26 ± 1.24 | 72.10 | 4.70 ± 0.07 | 5.01 | 0.83 ± 0.02 | −26.78 | −80.00 | −165.70 |
| 303 | 23.88 ± 1.40 | 39.80 | 4.47 ± 0.23 | 2.95 | 0.84 ± 0.04 | ||||
| 308 | 20.21 ± 1.37 | 33.68 | 4.22 ± 0.18 | 1.66 | 0.81 ± 0.03 | ||||
| 5 | 297 | 55.71± 2.78 | 92.85 | 4.15 ± 0.07 | 1.41 | 0.72 ± 0.02 | −23.77 | −93.87 | −236.03 |
| 303 | 23.91 ± 1.43 | 39.85 | 3.95 ± 0.13 | 0.89 | 0.76 ± 0.02 | ||||
| 308 | 22.56 ± 1.82 | 37.6 | 3.54 ± 0.12 | 0.35 | 0.69 ± 0.02 | ||||
| Quenching | Binding | Thermodynamic | |||||||
|---|---|---|---|---|---|---|---|---|---|
| T [K] | Ksv∙104 [dm3·mol−1] | kq∙1012 [dm3·mol−1·s−1] | logKb | Kb∙104 [dm3·mol−1] | n | ΔG° [kJ∙mol−1] | ΔH° [kJ∙mol−1] | ΔS° [J∙mol−1∙K−1] | |
| 1 | 297 | 10.24 ± 0.36 | 17.07 | 5.19 ± 0.17 | 15.48 | 1.03 ± 0.03 | −29.44 | −155.02 | −422.85 |
| 303 | 9.29 ± 0.33 | 15.48 | 4.60 ± 0.14 | 3.98 | 0.94 ± 0.04 | ||||
| 308 | 7.14 ± 0.22 | 11.90 | 4.22 ± 0.15 | 1.66 | 0.89 ± 0.03 | ||||
| 2 | 297 | 18.81 ± 0.49 | 31.35 | 5.19 ± 0.20 | 15.49 | 0.99 ± 0.04 | −29.67 | −97.62 | −228.80 |
| 303 | 11.15 ± 0.39 | 18.58 | 4.94 ± 0.24 | 8.71 | 0.98 ± 0.03 | ||||
| 308 | 7.21 ± 0.20 | 12.02 | 4.57 ± 0.23 | 3.72 | 0.95 ± 0.04 | ||||
| 3 | 297 | 9.65 ± 0.11 | 16.08 | 4.57 ± 0.09 | 3.72 | 0.93 ± 0.02 | −26.13 | −78.71 | −177.09 |
| 303 | 9.20 ± 0.41 | 15.33 | 4.37 ± 0.10 | 2.34 | 0.90 ± 0.03 | ||||
| 308 | 7.11 ± 0.34 | 11.85 | 4.07 ± 0.13 | 1.17 | 0.86 ± 0.04 | ||||
| 4 | 297 | 20.01 ± 0.48 | 33.35 | 5.34 ± 0.13 | 21.88 | 1.01 ± 0.02 | −30.32 | −71.87 | −139.92 |
| 303 | 16.00 ± 0.46 | 26.67 | 5.07 ± 0.21 | 11.75 | 0.98 ± 0.04 | ||||
| 308 | 14.67 ± 0.55 | 24.45 | 4.89 ± 0.17 | 7.76 | 0.95 ± 0.03 | ||||
| 5 | 297 | 18.68± 0.33 | 31.13 | 6.01 ± 0.08 | 102.33 | 1.12 ± 0.02 | −34.12 | −54.02 | −67.01 |
| 303 | 16.05 ± 0.44 | 26.75 | 5.83 ± 0.20 | 67.61 | 1.11 ± 0.04 | ||||
| 308 | 12.94 ± 0.74 | 21.57 | 5.66 ± 0.23 | 45.71 | 1.10 ± 0.04 | ||||
| AAG: Analyzed Compound Molar Ratio | % α-Helix | % β-Sheet | % β-Turn | % Other | RMSD |
|---|---|---|---|---|---|
| Compound 1 | |||||
| 1:0 | 21.5 | 35.9 | 10.7 | 31.8 | 0.0025 |
| 1:1 | 21.0 | 36.1 | 10.7 | 32.2 | 0.0022 |
| 1:2 | 21.0 | 36.1 | 10.7 | 32.1 | 0.0023 |
| Compound 2 | |||||
| 1:0 | 22.2 | 35.6 | 10.9 | 31.3 | 0.0024 |
| 1:1 | 22.0 | 35.8 | 10.9 | 31.3 | 0.0025 |
| 1:2 | 22.1 | 35.7 | 10.9 | 31.3 | 0.0024 |
| Compound 3 | |||||
| 1:0 | 21.3 | 36.6 | 10.6 | 31.6 | 0.0024 |
| 1:1 | 21.2 | 36.3 | 10.6 | 31.9 | 0.0024 |
| 1:2 | 21.2 | 36.3 | 10.6 | 32.0 | 0.0025 |
| Compound 4 | |||||
| 1:0 | 21.6 | 35.9 | 10.8 | 31.6 | 0.0024 |
| 1:1 | 21.9 | 35.9 | 10.8 | 31.4 | 0.0026 |
| 1:2 | 21.8 | 36.0 | 10.8 | 31.3 | 0.0023 |
| Compound 5 | |||||
| 1:0 | 21.2 | 36.4 | 10.5 | 31.8 | 0.0020 |
| 1:1 | 21.4 | 36.3 | 10.5 | 31.8 | 0.0023 |
| 1:2 | 21.3 | 36.5 | 10.5 | 31.7 | 0.0024 |
| GG: Analyzed Compound Molar Ratio | % α-Helix | % Β-Sheet | % β-Turn | % Other | RMSD |
|---|---|---|---|---|---|
| Compound 1 | |||||
| 1:0 | 9.4% | 38.0% | 13.3% | 39.3% | 0.0021 |
| 1:1 | 9.3% | 38.2% | 13.3% | 39.2% | 0.0020 |
| 1:2 | 9.3% | 38.1% | 13.3% | 39.2% | 0.0023 |
| Compound 2 | |||||
| 1:0 | 9.1% | 38.1% | 13.3% | 39.4% | 0.0020 |
| 1:1 | 8.9% | 38.0% | 13.4% | 39.7% | 0.0022 |
| 1:2 | 8.8% | 38.1% | 13.4% | 39.7% | 0.0018 |
| Compound 3 | |||||
| 1:0 | 9.2% | 38.0% | 13.4% | 39.4% | 0.0023 |
| 1:1 | 9.1% | 38.0% | 13.4% | 39.5% | 0.0022 |
| 1:2 | 9.1% | 38.2% | 13.3% | 39.3% | 0.0022 |
| Compound 4 | |||||
| 1:0 | 8.9% | 38.1% | 13.3% | 39.6% | 0.0022 |
| 1:1 | 8.8% | 37.9% | 13.4% | 40.0% | 0.0020 |
| 1:2 | 8.8% | 38.4% | 13.3% | 39.5% | 0.0018 |
| Compound 5 | |||||
| 1:0 | 9.2% | 38.1% | 13.3% | 39.3% | 0.0022 |
| 1:1 | 9.0% | 38.0% | 13.4% | 39.5% | 0.0023 |
| 1:2 | 9.0% | 38.1% | 13.4% | 39.5% | 0.0021 |
Disclaimer/Publisher’s Note: The statements, opinions and data contained in all publications are solely those of the individual author(s) and contributor(s) and not of MDPI and/or the editor(s). MDPI and/or the editor(s) disclaim responsibility for any injury to people or property resulting from any ideas, methods, instructions or products referred to in the content. |
© 2024 by the authors. Licensee MDPI, Basel, Switzerland. This article is an open access article distributed under the terms and conditions of the Creative Commons Attribution (CC BY) license (https://creativecommons.org/licenses/by/4.0/).
Share and Cite
Kotynia, A.; Krzyżak, E.; Żądło, J.; Witczak, M.; Szczukowski, Ł.; Mucha, J.; Świątek, P.; Marciniak, A. Anti-Inflammatory and Antioxidant Pyrrolo[3,4-d]pyridazinone Derivatives Interact with DNA and Bind to Plasma Proteins—Spectroscopic and In Silico Studies. Int. J. Mol. Sci. 2024, 25, 1784. https://doi.org/10.3390/ijms25031784
Kotynia A, Krzyżak E, Żądło J, Witczak M, Szczukowski Ł, Mucha J, Świątek P, Marciniak A. Anti-Inflammatory and Antioxidant Pyrrolo[3,4-d]pyridazinone Derivatives Interact with DNA and Bind to Plasma Proteins—Spectroscopic and In Silico Studies. International Journal of Molecular Sciences. 2024; 25(3):1784. https://doi.org/10.3390/ijms25031784
Chicago/Turabian StyleKotynia, Aleksandra, Edward Krzyżak, Julia Żądło, Maja Witczak, Łukasz Szczukowski, Jakub Mucha, Piotr Świątek, and Aleksandra Marciniak. 2024. "Anti-Inflammatory and Antioxidant Pyrrolo[3,4-d]pyridazinone Derivatives Interact with DNA and Bind to Plasma Proteins—Spectroscopic and In Silico Studies" International Journal of Molecular Sciences 25, no. 3: 1784. https://doi.org/10.3390/ijms25031784
APA StyleKotynia, A., Krzyżak, E., Żądło, J., Witczak, M., Szczukowski, Ł., Mucha, J., Świątek, P., & Marciniak, A. (2024). Anti-Inflammatory and Antioxidant Pyrrolo[3,4-d]pyridazinone Derivatives Interact with DNA and Bind to Plasma Proteins—Spectroscopic and In Silico Studies. International Journal of Molecular Sciences, 25(3), 1784. https://doi.org/10.3390/ijms25031784

