Ligand-Based Design of Selective Peptidomimetic uPA and TMPRSS2 Inhibitors with Arg Bioisosteres
Abstract
1. Introduction
2. Results
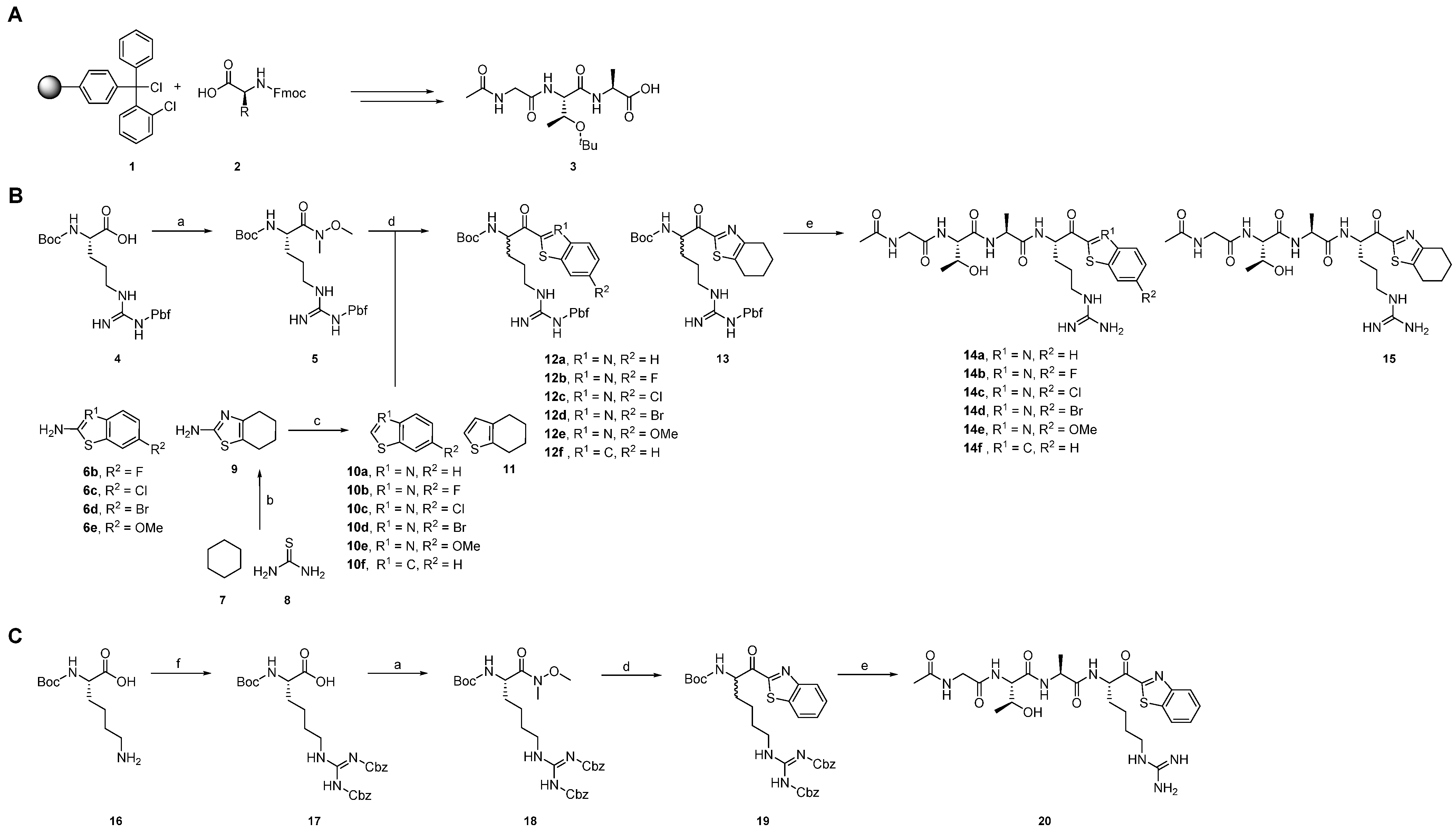
2.1. Chemistry
2.1.1. Synthesis of the (Homo)arginine-Based Inhibitors
2.1.2. Synthesis of the Phenyl/Cyclohexylguanidine-Based Inhibitors
2.2. Enzyme Inhibition Studies
2.2.1. Inhibition Studies with uPA Inhibitors
2.2.2. Inhibition Studies with TMPRSS2 Inhibitors
2.3. Parallel Artificial Membrane Permeation Assay (PAMPA)
3. Discussion
4. Materials and Methods
Supplementary Materials
Author Contributions
Funding
Institutional Review Board Statement
Informed Consent Statement
Data Availability Statement
Acknowledgments
Conflicts of Interest
Abbreviations
| Ac | acetyl |
| Ac-Gly | acetylglycine |
| AcOH | acetic acid |
| Ala | alanine |
| AMC | 7-amino-4-methyl coumarine |
| Asn | asparagine |
| Boc: | t-butyloxy carbonyl |
| Cbz | benzyloxycarbonyl |
| Cha | cyclohexylalanine |
| DCM | dichloromethane |
| DIEA | N,N-diisopropylethylamine |
| DMSO | dimethylsulfoxide |
| Et3N | triethylamine |
| Fmoc | 9-Fluorenylmethoxycarbonyl |
| h | hours |
| HATU | 2-(7-azabenzotriazol-1-yl)-N,N,N′,N′-tetramethyluronium hexafluorophosphate |
| MeOH | methanol |
| MERS-CoV | Middle East Respiratory Syndrome |
| n-BuLi | n-butyllithium |
| OtBu | O-tert-butyl |
| Pbf | Nω-2,2,4,6,7-pentamethyl-dihydrobenzofuran-5-sulfonyl |
| Phe | phenylalanine |
| pNA | para-nitroanilide |
| Pro | proline |
| quant | quantitative |
| RP-HPLC | reversed phase high pressure liquid chromatography |
| rt | room temperature |
| SARS-CoV-2 | severe acute respiratory syndrome coronavirus type 2 |
| SPPS | solid phase peptide synthesis |
| TA | thioanisole |
| TBTU | 2-(1H-Benzotriazole-1-yl)-1,1,3,3-tetramethylaminium tetrafluoroborate |
| TFA | trifluoroacetic acid |
| THF | tetrahydrofurane |
| TLP | trypsin-like serine protease |
| TMPRSS2 | transmembrane protease serine subtype 2 |
| tPA | tissue-type plasminogen activator |
| trt | triphenylmethyl |
| uPA | urokinase-type plasminogen activator |
| uPAR | urokinase-type plasminogen activator receptor |
References
- López-Otín, C.; Overall, C.M. Protease degradomics: A new challenge for proteomics. Nat. Rev. Mol. Cell Biol. 2002, 3, 509–519. [Google Scholar] [CrossRef] [PubMed]
- Di Cera, E. Serine proteases. IUBMB Life 2009, 61, 510–515. [Google Scholar] [CrossRef] [PubMed]
- Rawlings, N.D.; Morton, F.R.; Kok, C.Y.; Kong, J.; Barrett, A.J. MEROPS: The peptidase database. Nucleic Acids Res. 2007, 36, 320–325. [Google Scholar] [CrossRef] [PubMed]
- Ma, W.; Tang, C.; Lai, L. Specificity of Trypsin and Chymotrypsin: Loop-Motion-Controlled Dynamic Correlation as a Determinant. Biophys. J. 2005, 89, 1183–1193. [Google Scholar] [CrossRef] [PubMed]
- Lu, P.; Takai, K.; Weaver, V.M.; Werb, Z. Extracellular Matrix Degradation and Remodeling in Development and Disease. Cold Spring Harb. Perspect. Biol. 2011, 3, a005058. [Google Scholar] [CrossRef]
- Oncul, S.; Afshar-Kharghan, V. The interaction between the complement system and hemostatic factors. Curr. Opin. Hematol. 2020, 27, 341–352. [Google Scholar] [CrossRef]
- Ferguson, T.E.G.G.; Reihill, J.A.; Martin, S.L.; Walker, B. Novel Inhibitors and Activity-Based Probes Targeting Trypsin-Like Serine Proteases. Front. Chem. 2022, 10, 782608. [Google Scholar] [CrossRef]
- Yaron, J.R.; Zhang, L.; Guo, Q.; Haydel, S.E.; Lucas, A.R. Fibrinolytic Serine Proteases, Therapeutic Serpins and Inflammation: Fire Dancers and Firestorms. Front. Cardiovasc. Med. 2021, 8, 648947. [Google Scholar] [CrossRef]
- Eatemadi, A.; Aiyelabegan, H.T.; Negahdari, B.; Mazlomi, M.A.; Daraee, H.; Daraee, N.; Eatemadi, R.; Sadroddiny, E. Role of protease and protease inhibitors in cancer pathogenesis and treatment. Biomed. Pharmacother. 2017, 86, 221–231. [Google Scholar] [CrossRef]
- Wu, Q.; Kuo, H.-C.; Deng, G.G. Serine proteases and cardiac function. Biochim. Biophys. Acta-Proteins Proteom. 2005, 1751, 82–94. [Google Scholar] [CrossRef]
- Nitsche, C.; Holloway, S.; Schirmeister, T.; Klein, C.D. Biochemistry and Medicinal Chemistry of the Dengue Virus Protease. Chem. Rev. 2014, 114, 11348–11381. [Google Scholar] [CrossRef] [PubMed]
- Dreymann, N.; Wuensche, J.; Sabrowski, W.; Moeller, A.; Czepluch, D.; Van, D.V.; Fuessel, S.; Menger, M.M. Inhibition of Human Urokinase-Type Plasminogen Activator (uPA) Enzyme Activity and Receptor Binding by DNA Aptamers as Potential Therapeutics through Binding to the Different Forms of uPA. Int. J. Mol. Sci. 2022, 23, 4890–4912. [Google Scholar] [CrossRef] [PubMed]
- Mahmood, N.; Mihalcioiu, C.; Rabbani, S.A. Multifaceted Role of the Urokinase-Type Plasminogen Activator (uPA) and Its Receptor (uPAR): Diagnostic, Prognostic, and Therapeutic Applications. Front. Oncol. 2018, 8, 24. [Google Scholar] [CrossRef] [PubMed]
- Mekkawy, A.H.; Pourgholami, M.H.; Morris, D.L. Involvement of Urokinase-Type Plasminogen Activator System in Cancer: An Overview. Med. Res. Rev. 2014, 34, 918–956. [Google Scholar] [CrossRef] [PubMed]
- Masucci, M.T.; Minopoli, M.; Di Carluccio, G.; Motti, M.L.; Carriero, M.V. Therapeutic Strategies Targeting Urokinase and Its Receptor in Cancer. Cancers 2022, 14, 498. [Google Scholar] [CrossRef] [PubMed]
- Buckley, B.J.; Aboelela, A.; Minaei, E.; Jiang, L.X.; Xu, Z.; Ali, U.; Fildes, K.; Cheung, C.-Y.; Cook, S.M.; Johnson, D.C.; et al. 6-Substituted Hexamethylene Amiloride (HMA) Derivatives as Potent and Selective Inhibitors of the Human Urokinase Plasminogen Activator for Use in Cancer. J. Med. Chem. 2018, 61, 8299–8320. [Google Scholar] [CrossRef] [PubMed]
- Ma, D.; Gerard, R.D.; Li, X.-Y.; Alizadeh, H.; Niederkorn, J.Y. Inhibition of Metastasis of Intraocular Melanomas by Adenovirus-Mediated Gene Transfer of Plasminogen Activator Inhibitor Type 1 (PAI-1) in an Athymic Mouse Model. Blood 1997, 90, 2738–2746. [Google Scholar] [CrossRef] [PubMed]
- Ossowski, L.; Russo-Payne, H.; Wilson, L.E. Inhibition of Urokinase-type Plasminogen Activator by Antibodies: The Effect on Dissemination of a Human Tumor in the Nude Mouse. Cancer Res. 1991, 51, 274–281. [Google Scholar]
- Schmitt, M.; Harbeck, N.; Brünner, N.; Jänicke, F.; Meisner, C.; Mühlenweg, B.; Jansen, H.; Dorn, J.; Nitz, U.; Kantelhardt, E.J.; et al. Cancer therapy trials employing level-of-evidence-1 disease forecast cancer biomarkers uPA and its inhibitor PAI-1. Expert Rev. Mol. Diagn. 2011, 11, 617–634. [Google Scholar] [CrossRef]
- Leow, M.K.-S. Correlating Cell Line Studies With Tissue Distribution of DPP4/TMPRSS2 and Human Biological Samples May Better Define the Viral Tropism of MERS-CoV. J. Infect. Dis. 2013, 208, 1350–1351. [Google Scholar] [CrossRef][Green Version]
- Bertram, S.; Heurich, A.; Lavender, H.; Gierer, S.; Danisch, S.; Perin, P.; Lucas, J.M.; Nelson, P.S.; Pöhlmann, S.; Soilleux, E.J. Influenza and SARS-Coronavirus Activating Proteases TMPRSS2 and HAT Are Expressed at Multiple Sites in Human Respiratory and Gastrointestinal Tracts. PLoS ONE 2012, 7, e35876. [Google Scholar] [CrossRef] [PubMed]
- Simmons, G.; Zmora, P.; Gierer, S.; Heurich, A.; Pöhlmann, S. Proteolytic activation of the SARS-coronavirus spike protein: Cutting enzymes at the cutting edge of antiviral research. Antivir. Res. 2013, 100, 605–614. [Google Scholar] [CrossRef] [PubMed]
- Mahoney, M.; Damalanka, V.C.; Tartell, M.A.; Chung, D.H.; Lourenço, A.L.; Pwee, D.; Mayer Bridwell, A.E.; Hoffmann, M.; Voss, J.; Karmakar, P.; et al. A novel class of TMPRSS2 inhibitors potently block SARS-CoV-2 and MERS-CoV viral entry and protect human epithelial lung cells. Proc. Natl. Acad. Sci. USA 2021, 118, e2108728118. [Google Scholar] [CrossRef] [PubMed]
- Hoffmann, M.; Kleine-Weber, H.; Schroeder, S.; Krüger, N.; Herrler, T.; Erichsen, S.; Schiergens, T.S.; Herrler, G.; Wu, N.H.; Nitsche, A.; et al. SARS-CoV-2 Cell Entry Depends on ACE2 and TMPRSS2 and Is Blocked by a Clinically Proven Protease Inhibitor. Cell 2020, 181, 271–280.e8. [Google Scholar] [CrossRef]
- Jackson, C.B.; Farzan, M.; Chen, B.; Choe, H. Mechanisms of SARS-CoV-2 entry into cells. Nat. Rev. Mol. Cell Biol. 2022, 23, 3–20. [Google Scholar] [CrossRef]
- Zhao, M.M.; Yang, W.L.; Yang, F.Y.; Zhang, L.; Huang, W.J.; Hou, W.; Fan, C.F.; Jin, R.H.; Feng, Y.M.; Wang, Y.C.; et al. Cathepsin L plays a key role in SARS-CoV-2 infection in humans and humanized mice and is a promising target for new drug development. Signal Transduct. Target. Ther. 2021, 6, 134. [Google Scholar] [CrossRef]
- Bestle, D.; Heindl, M.R.; Limburg, H.; Pilgram, O.; Moulton, H.; Stein, D.A.; Hardes, K.; Eickmann, M.; Dolnik, O.; Rohde, C.; et al. TMPRSS2 and furin are both essential for proteolytic activation of SARS-CoV-2 in human airway cells. Life Sci. Alliance 2020, 3, e1–e14. [Google Scholar] [CrossRef]
- Li, F.; Han, M.; Dai, P.; Xu, W.; He, J.; Tao, X.; Wu, Y.; Tong, X.; Xia, X.; Guo, W.; et al. Distinct mechanisms for TMPRSS2 expression explain organ-specific inhibition of SARS-CoV-2 infection by enzalutamide. Nat. Commun. 2021, 12, 866. [Google Scholar] [CrossRef]
- Wettstein, L.; Knaff, P.M.; Kersten, C.; Müller, P.; Weil, T.; Conzelmann, C.; Müller, J.A.; Brückner, M.; Hoffmann, M.; Pöhlmann, S.; et al. Peptidomimetic inhibitors of TMPRSS2 block SARS-CoV-2 infection in cell culture. Commun. Biol. 2022, 5, 681. [Google Scholar] [CrossRef]
- Sanders, B.C.; Pokhrel, S.; Labbe, A.D.; Mathews, I.I.; Cooper, C.J.; Davidson, R.B.; Phillips, G.; Weiss, K.L.; Zhang, Q.; O’Neill, H.; et al. Potent and selective covalent inhibition of the papain-like protease from SARS-CoV-2. Nat. Commun. 2023, 14, 1733. [Google Scholar] [CrossRef]
- Welker, A.; Kersten, C.; Müller, C.; Madhugiri, R.; Zimmer, C.; Müller, P.; Zimmermann, R.; Hammerschmidt, S.; Maus, H.; Ziebuhr, J.; et al. Structure-Activity Relationships of Benzamides and Isoindolines Designed as SARS-CoV Protease Inhibitors Effective against SARS-CoV-2. ChemMedChem 2021, 16, 340–354. [Google Scholar] [CrossRef]
- Kincaid, J.R.; Caravez, J.C.; Iyer, K.S.; Kavthe, R.D.; Fleck, N.; Aue, D.H.; Lipshutz, B.H. A sustainable synthesis of the SARS-CoV-2 Mpro inhibitor nirmatrelvir, the active ingredient in Paxlovid. Commun. Chem. 2022, 5, 156. [Google Scholar] [CrossRef]
- Joossens, J.; Ali, O.M.; El-Sayed, I.; Surpateanu, G.; Van der Veken, P.; Lambeir, A.-M.; Setyono-Han, B.; Foekens, J.A.; Schneider, A.; Schmalix, W.; et al. Small, Potent, and Selective Diaryl Phosphonate Inhibitors for Urokinase-Type Plasminogen Activator with In Vivo Antimetastatic Properties. J. Med. Chem. 2007, 50, 6638–6646. [Google Scholar] [CrossRef]
- Zeslawska, E.; Jacob, U.; Schweinitz, A.; Coombs, G.; Bode, W.; Madison, E. Crystals of Urokinase Type Plasminogen Activator Complexes Reveal the Binding Mode of Peptidomimetic Inhibitors. J. Mol. Biol. 2003, 328, 109–118. [Google Scholar] [CrossRef]
- Lonsdale, R.; Ward, R.A. Structure-based design of targeted covalent inhibitors. Chem. Soc. Rev. 2018, 47, 3816–3830. [Google Scholar] [CrossRef]
- Baillie, T.A. Targeted Covalent Inhibitors for Drug Design. Angew. Chem. Int. Ed. 2016, 55, 13408–13421. [Google Scholar] [CrossRef]
- De Cesco, S.; Kurian, J.; Dufresne, C.; Mittermaier, A.K.; Moitessier, N. Covalent inhibitors design and discovery. Eur. J. Med. Chem. 2017, 138, 96–114. [Google Scholar] [CrossRef]
- Sun, G.; Sui, Y.; Zhou, Y.; Ya, J.; Yuan, C.; Jiang, L.; Huang, M. Structural Basis of Covalent Inhibitory Mechanism of TMPRSS2-Related Serine Proteases by Camostat. J. Virol. 2021, 95, 10–1128. [Google Scholar] [CrossRef]
- Müller, P.; Meta, M.; Meidner, J.L.; Schwickert, M.; Meyr, J.; Schwickert, K.; Kersten, C.; Zimmer, C.; Hammerschmidt, S.J.; Frey, A.; et al. Investigation of the Compatibility between Warheads and Peptidomimetic Sequences of Protease Inhibitors—A Comprehensive Reactivity and Selectivity Study. Int. J. Mol. Sci. 2023, 24, 7226. [Google Scholar] [CrossRef]
- Kwon, H.; Ha, H.; Jeon, H.; Jang, J.; Son, S.-H.; Lee, K.; Park, S.-K.; Byun, Y. Structure-activity relationship studies of dipeptide-based hepsin inhibitors with Arg bioisosteres. Bioorg. Chem. 2021, 107, 104521. [Google Scholar] [CrossRef]
- Hoffmann, M.; Hofmann-Winkler, H.; Smith, J.C.; Krüger, N.; Arora, P.; Sørensen, L.K.; Søgaard, O.S.; Hasselstrøm, J.B.; Winkler, M.; Hempel, T.; et al. Camostat mesylate inhibits SARS-CoV-2 activation by TMPRSS2-related proteases and its metabolite GBPA exerts antiviral activity. EBioMedicine 2021, 65, 103255. [Google Scholar] [CrossRef] [PubMed]
- Han, Z.; Harris, P.K.; Karmakar, P.; Kim, T.; Owusu, B.Y.; Wildman, S.A.; Klampfer, L.; Janetka, J.W. α-Ketobenzothiazole Serine Protease Inhibitors of Aberrant HGF/c-MET and MSP/RON Kinase Pathway Signaling in Cancer. ChemMedChem 2016, 11, 585–599. [Google Scholar] [CrossRef] [PubMed]
- Ludewig, S.; Kossner, M.; Schiller, M.; Baumann, K.; Schirmeister, T. Enzyme Kinetics and Hit Validation in Fluorimetric Protease Assays. Curr. Top. Med. Chem. 2010, 10, 368–382. [Google Scholar] [CrossRef] [PubMed]
- Li, C.Y.; de Veer, S.J.; Law, R.H.P.; Whisstock, J.C.; Craik, D.J.; Swedberg, J.E. Characterising the Subsite Specificity of Urokinase-Type Plasminogen Activator and Tissue-Type Plasminogen Activator using a Sequence-Defined Peptide Aldehyde Library. ChemBioChem 2019, 20, 46–50. [Google Scholar] [CrossRef] [PubMed]
- Green, K.A.; Lund, L.R. ECM degrading proteases and tissue remodelling in the mammary gland. BioEssays 2005, 27, 894–903. [Google Scholar] [CrossRef] [PubMed]
- Ortiz-Zapater, E.; Peiró, S.; Roda, O.; Corominas, J.M.; Aguilar, S.; Ampurdanés, C.; Real, F.X.; Navarro, P. Tissue Plasminogen Activator Induces Pancreatic Cancer Cell Proliferation by a Non-Catalytic Mechanism That Requires Extracellular Signal-Regulated Kinase 1/2 Activation through Epidermal Growth Factor Receptor and Annexin A2. Am. J. Pathol. 2007, 170, 1573–1584. [Google Scholar] [CrossRef] [PubMed]
- Tanaka, K.A.; Key, N.S.; Levy, J.H. Blood Coagulation: Hemostasis and Thrombin Regulation. Anesth. Analg. 2009, 108, 1433–1446. [Google Scholar] [CrossRef]
- Borensztajn, K.; Spek, C.A. Blood coagulation factor Xa as an emerging drug target. Expert Opin. Ther. Targets 2011, 15, 341–349. [Google Scholar] [CrossRef]
- List, K.; Bugge, T.H.; Szabo, R. Matriptase: Potent Proteolysis on the Cell Surface. Mol. Med. 2006, 12, 1–7. [Google Scholar] [CrossRef]
- Gustafsson, D.; Nyström, J.E.; Carlsson, S.; Bredberg, U.; Eriksson, U.; Gyzander, E.; Elg, M.; Antonsson, T.; Hoffmann, K.J.; Ungell, A.L.; et al. The Direct Thrombin Inhibitor Melagatran and Its Oral Prodrug H 376/95: Intestinal Absorption Properties, Biochemical and Pharmacodynamic Effects. Thromb. Res. 2001, 101, 171–181. [Google Scholar] [CrossRef]
- Sibinovska, N.; Žakelj, S.; Trontelj, J.; Kristan, K. Applicability of RPMI 2650 and Calu-3 Cell Models for Evaluation of Nasal Formulations. Pharmaceutics 2022, 14, 369. [Google Scholar] [CrossRef]
- Elezović, A.; Marić, A.; Biščević, A.; Hadžiabdić, J.; Škrbo, S.; Špirtović-Halilović, S.; Rahić, O.; Vranić, E.; Elezović, A. In vitro pH dependent passive transport of ketoprofen and metformin. ADMET DMPK 2020, 9, 57–68. [Google Scholar] [CrossRef]
- Butnarasu, C.; Caron, G.; Pacheco, D.P.; Petrini, P.; Visentin, S. Cystic Fibrosis Mucus Model to Design More Efficient Drug Therapies. Mol. Pharm. 2022, 19, 520–531. [Google Scholar] [CrossRef]
- Hauel, N.H.; Nar, H.; Priepke, H.; Ries, U.; Stassen, J.-M.; Wienen, W. Structure-Based Design of Novel Potent Nonpeptide Thrombin Inhibitors. J. Med. Chem. 2002, 45, 1757–1766. [Google Scholar] [CrossRef]
- Schade, D.; Kotthaus, J.; Riebling, L.; Kotthaus, J.; Müller-Fielitz, H.; Raasch, W.; Hoffmann, A.; Schmidtke, M.; Clement, B. Zanamivir Amidoxime- and N-Hydroxyguanidine-Based Prodrug Approaches to Tackle Poor Oral Bioavailability. J. Pharm. Sci. 2015, 104, 3208–3219. [Google Scholar] [CrossRef]
- Dave, V.S.; Gupta, D.; Yu, M.; Nguyen, P.; Varghese Gupta, S. Current and evolving approaches for improving the oral permeability of BCS Class III or analogous molecules. Drug Dev. Ind. Pharm. 2017, 43, 177–189. [Google Scholar] [CrossRef]
- Fuchs, N.; Meta, M.; Schuppan, D.; Nuhn, L.; Schirmeister, T. Novel Opportunities for Cathepsin S Inhibitors in Cancer Immunotherapy by Nanocarrier-Mediated Delivery. Cells 2020, 9, 2021. [Google Scholar] [CrossRef]
- Lee, J.; Choi, M.-K.; Song, I.-S. Recent Advances in Doxorubicin Formulation to Enhance Pharmacokinetics and Tumor Targeting. Pharmaceuticals 2023, 16, 802. [Google Scholar] [CrossRef]
- Kansy, M.; Senner, F.; Gubernator, K. Physicochemical High Throughput Screening: Parallel Artificial Membrane Permeation Assay in the Description of Passive Absorption Processes. J. Med. Chem. 1998, 41, 1007–1010. [Google Scholar] [CrossRef]
- St-Georges, C.; Désilets, A.; Béliveau, F.; Ghinet, M.; Dion, S.P.; Colombo, É.; Boudreault, P.-L.; Najmanovich, R.J.; Leduc, R.; Marsault, É. Modulating the selectivity of matriptase-2 inhibitors with unnatural amino acids. Eur. J. Med. Chem. 2017, 129, 110–123. [Google Scholar] [CrossRef]
- Costanzo, M.J.; Yabut, S.C.; Almond, H.R.; Andrade-Gordon, P.; Corcoran, T.W.; de Garavilla, L.; Kauffman, J.A.; Abraham, W.M.; Recacha, R.; Chattopadhyay, D.; et al. Potent, Small-Molecule Inhibitors of Human Mast Cell Tryptase. Antiasthmatic Action of a Dipeptide-Based Transition-State Analogue Containing a Benzothiazole Ketone. J. Med. Chem. 2003, 46, 3865–3876. [Google Scholar] [CrossRef]
- Furlan, A.; Colombo, F.; Kover, A.; Issaly, N.; Tintori, C.; Angeli, L.; Leroux, V.; Letard, S.; Amat, M.; Asses, Y.; et al. Identification of new aminoacid amides containing the imidazo[2,1-b]benzothiazol-2-ylphenyl moiety as inhibitors of tumorigenesis by oncogenic Met signaling. Eur. J. Med. Chem. 2012, 47, 239–254. [Google Scholar] [CrossRef]
- Capaldo, L.; Quadri, L.L.; Merli, D.; Ravelli, D. Photoelectrochemical cross-dehydrogenative coupling of benzothiazoles with strong aliphatic C–H bonds. Chem. Commun. 2021, 57, 4424–4427. [Google Scholar] [CrossRef]
- Kerns, E.H.; Di, L.; Petusky, S.; Farris, M.; Ley, R.; Jupp, P. Combined Application of Parallel Artificial Membrane Permeability Assay and Caco-2 Permeability Assays in Drug Discovery. J. Pharm. Sci. 2004, 93, 1440–1453. [Google Scholar] [CrossRef]
- Avdeef, A. Absorption and Drug Development; Wiley: Hoboken, NJ, USA, 2003. [Google Scholar] [CrossRef]
- Sugano, K.; Hamada, H.; Machida, M.; Ushio, H. High Throughput Prediction of Oral Absorption: Improvement of the Composition of the Lipid Solution Used in Parallel Artificial Membrane Permeation Assay. SLAS Discov. 2001, 6, 189–196. [Google Scholar] [CrossRef]
- Hammerschmidt, S.J.; Maus, H.; Weldert, A.C.; Gütschow, M.; Kersten, C. Improving binding entropy by higher ligand symmetry?—A case study with human matriptase. RSC Med. Chem. 2023, 14, 969–982. [Google Scholar] [CrossRef]
- Ehnebom, J.; Pusa, S.; Björquist, P.; Deinum, J. Comparison of chromogenic substrates for tissue plasminogen activator and the effects on the stability of plasminogen activator inhibitor type-1. Fibrinolysis Proteolysis 1997, 11, 287–293. [Google Scholar] [CrossRef]
- Tapp, H.J.; Grundmann, C.; Kusch, M.; Konig, H. Calibrating Thrombin Generation in Different Samples: Less Effort with a Less Efficient Substrate. Open Atheroscler. Thromb. J. 2009, 2, 6–11. [Google Scholar] [CrossRef]
- Edwards, S.T.; Betz, A.; James, H.L.; Thompson, E.; Yonkovich, S.J.; Sinha, U. Differences between human and rabbit coagulation factor X—Implications for in vivo models of thrombosis. Thromb. Res. 2002, 106, 71–79. [Google Scholar] [CrossRef]
- Wilkinson, D.J.; Habgood, A.; Lamb, H.K.; Thompson, P.; Hawkins, A.R.; Désilets, A.; Leduc, R.; Steinmetzer, T.; Hammami, M.; Lee, M.S.; et al. Matriptase Induction of Metalloproteinase-Dependent Aggrecanolysis In Vitro and In Vivo: Promotion of Osteoarthritic Cartilage Damage by Multiple Mechanisms. Arthritis Rheumatol. 2017, 69, 1601–1611. [Google Scholar] [CrossRef]
- Steinmetzer, T.; Schweinitz, A.; Stürzebecher, A.; Dönnecke, D.; Uhland, K.; Schuster, O.; Steinmetzer, P.; Müller, F.; Friedrich, R.; Than, M.E.; et al. Secondary Amides of Sulfonylated 3-Amidinophenylalanine. New Potent and Selective Inhibitors of Matriptase. J. Med. Chem. 2006, 49, 4116–4126. [Google Scholar] [CrossRef]




![]() | |||||||
|---|---|---|---|---|---|---|---|
| Compound | Ki [nM] [SI] | ||||||
| P1 | uPA | TMPRSS2 55.6% | Matriptase 68.9% | tPA 66.7 | Thrombin 60.0% | Factor Xa 62.2% | |
![]() | 14a | 141 ± 28 | 5 ± 1 [0.04] | 32 ± 14 [0.2] | n.a. | 4390 ± 1480 [31] | 3360 ± 320 [24] |
![]() | 29 | 29 ± 2 | 10 ±4 [0.3] | 133 ± 3 [4] | n.a. | n.a. | n.a. |
![]() | 38 | 39 ± 5 | 73 ± 16 [1.8] | 626 ± 74 [16] | n.a. | n.a. | n.a. |
![]() | 20 | n.a. | n.a. | n.a. | n.a. | n.a. | n.a. |
![]() | 45 | n.a. | n.a. | n.a. | n.a. | n.a. | n.a. |
![]() | |||||||
|---|---|---|---|---|---|---|---|
| Compound | Ki [nM] [SI] | ||||||
| R | uPA | TMPRSS2 55.6% | Matriptase 68.9% | tPA 66.7 | Thrombin 60.0% | Factor Xa 62.2% | |
![]() | 14a | 141 ± 28 | 5 ± 1 [0.04] | 32 ± 14 [0.2] | n.a. | 4390 ± 1480 [31] | 3360 ± 320 [23] |
![]() | 14b | 388 ± 95 | - | - | - | - | - |
![]() | 14c | 82 ± 6 | 9 ± 1 [0.1] | 59 ± 9 [0.7] | n.a. | 456 ± 72 [5] | 2447 ± 99 [30] |
![]() | 14d | 60 ± 15 | 6 ± 1 [0.1] | 38 ± 2 [0.6] | n.a. | 450 ± 69 [8] | 2847 ± 844 [47] |
![]() | 14e | 178 ± 19 | - | - | - | - | - |
![]() | 14f | n.a. | - | - | - | - | - |
![]() | 15 | 435 ± 33 | - | - | - | - | - |
![]() | ||||||||
|---|---|---|---|---|---|---|---|---|
| Compound | Ki [nM] [SI] | |||||||
| P2 | P1 | TMPRSS2 | uPA 53.2% | Matriptase 66.7% | tPA 62.2% | Thrombin 57.8% | Factor Xa 66.7% | |
| Pro | Arg [31] | 2.5 | - | 5.2 [2] | - | 1046 [418] | 41.1 [16] | |
| Pro | ![]() | 30 | 5 ± 1 | 479 ± 17 [96] | 60 ± 8 [12] | n.a. | n.a. | n.a. |
| Pro | ![]() | 39 | 44 ± 7 | 936 ± 100 [21] | 1198 ± 181 [27] | n.a. | n.a. | n.a. |
| Phe | ![]() | 31 | 0.4 ± 0.1 | 3574 ± 421 [>5000] | 252 ± 67 [630] | n.a. | n.a. | n.a. |
| Cha | ![]() | 32 | 34 ± 4 | 2688 ± 217 [79] | 3333 ± 1141 [98] | n.a. | n.a. | n.a. |
![]() | ![]() | 33 | 5 ± 2 | 5264 ± 922 [1052] | 1443 ± 90 [289] | n.a. | n.a. | n.a. |
Disclaimer/Publisher’s Note: The statements, opinions and data contained in all publications are solely those of the individual author(s) and contributor(s) and not of MDPI and/or the editor(s). MDPI and/or the editor(s) disclaim responsibility for any injury to people or property resulting from any ideas, methods, instructions or products referred to in the content. |
© 2024 by the authors. Licensee MDPI, Basel, Switzerland. This article is an open access article distributed under the terms and conditions of the Creative Commons Attribution (CC BY) license (https://creativecommons.org/licenses/by/4.0/).
Share and Cite
Müller, P.; Zimmer, C.; Frey, A.; Holzmann, G.; Weldert, A.C.; Schirmeister, T. Ligand-Based Design of Selective Peptidomimetic uPA and TMPRSS2 Inhibitors with Arg Bioisosteres. Int. J. Mol. Sci. 2024, 25, 1375. https://doi.org/10.3390/ijms25031375
Müller P, Zimmer C, Frey A, Holzmann G, Weldert AC, Schirmeister T. Ligand-Based Design of Selective Peptidomimetic uPA and TMPRSS2 Inhibitors with Arg Bioisosteres. International Journal of Molecular Sciences. 2024; 25(3):1375. https://doi.org/10.3390/ijms25031375
Chicago/Turabian StyleMüller, Patrick, Collin Zimmer, Ariane Frey, Gideon Holzmann, Annabelle Carolin Weldert, and Tanja Schirmeister. 2024. "Ligand-Based Design of Selective Peptidomimetic uPA and TMPRSS2 Inhibitors with Arg Bioisosteres" International Journal of Molecular Sciences 25, no. 3: 1375. https://doi.org/10.3390/ijms25031375
APA StyleMüller, P., Zimmer, C., Frey, A., Holzmann, G., Weldert, A. C., & Schirmeister, T. (2024). Ligand-Based Design of Selective Peptidomimetic uPA and TMPRSS2 Inhibitors with Arg Bioisosteres. International Journal of Molecular Sciences, 25(3), 1375. https://doi.org/10.3390/ijms25031375






















