Circulating miR-23b-3p, miR-30e-3p, and miR-205-5p as Novel Predictive Biomarkers for Ramucirumab–Paclitaxel Therapy Outcomes in Advanced Gastric Cancer
Abstract
1. Introduction
2. Results
2.1. Clinical–Pathological Features of the Patient Cohort
2.2. Identification of Differentially Expressed miRNAs Before Therapy
2.3. Analysis of the miRNA Targets and Pathways
2.4. Identification of miRNAs for Long-Term Responses
2.5. Validation of Deregulated miRNAs During Follow-Up
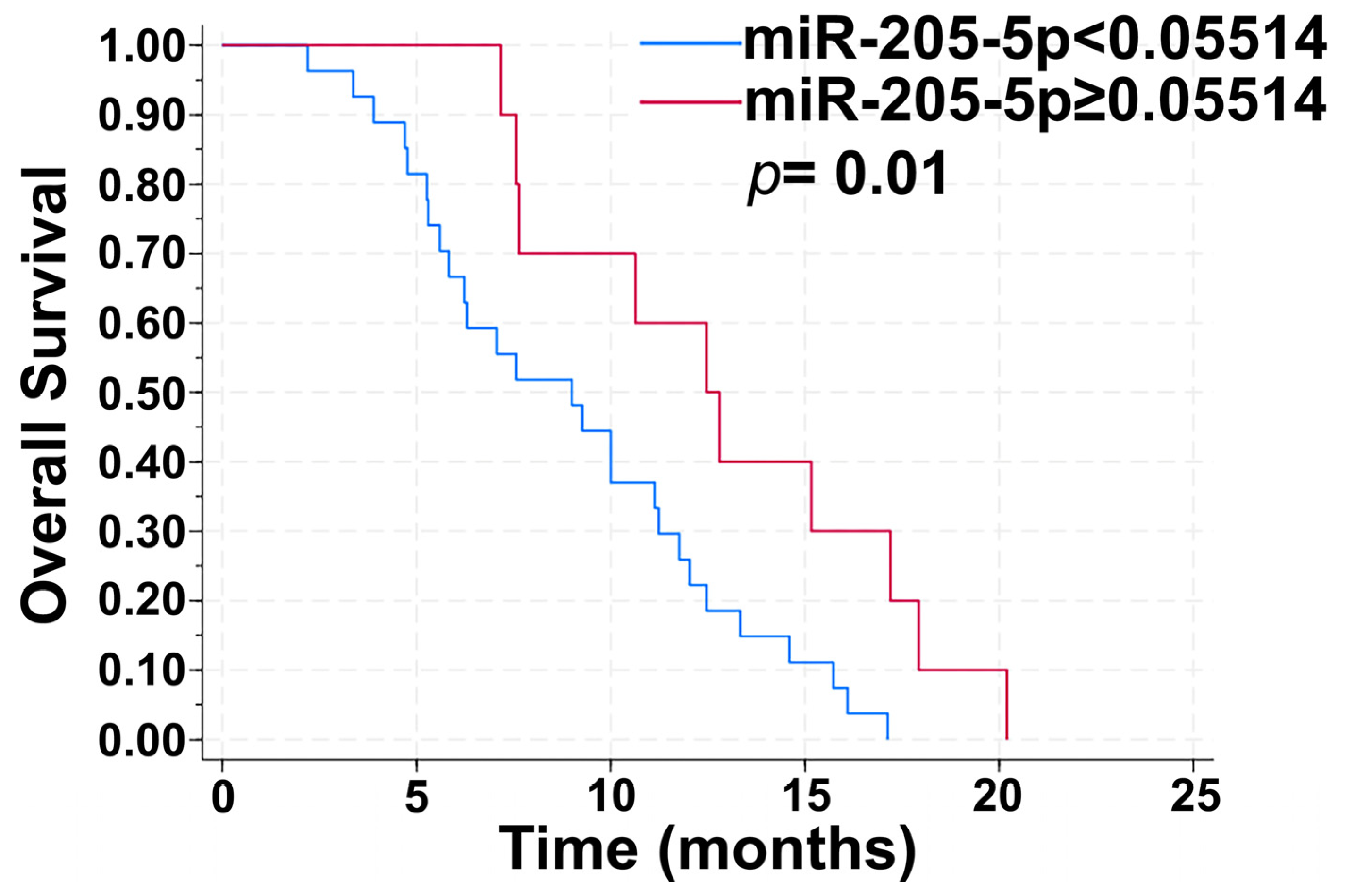
2.6. Prognostic Value of Circulating miR-205-5p
2.7. Circulating Levels of miR-30e-3p and miR-205-5p Were Correlated with Serum Ang2
3. Discussion
4. Materials and Methods
4.1. Study Design, Plasma Sample Collection, and Analysis
4.2. Plasma Preparation
4.3. miRNA Isolation
4.4. Reverse Transcription
4.5. miRNA Profiling Using a RT Array
4.6. miRNA Validation Using a Real-Time PCR
4.7. Bioinformatic and Statistical Analyses
5. Conclusions
Supplementary Materials
Author Contributions
Funding
Institutional Review Board Statement
Informed Consent Statement
Data Availability Statement
Acknowledgments
Conflicts of Interest
References
- Sung, H.; Ferlay, J.; Siegel, R.L.; Laversanne, M.; Soerjomataram, I.; Jemal, A.; Bray, F. Global Cancer Statistics 2020: GLOBOCAN Estimates of Incidence and Mortality Worldwide for 36 Cancers in 185 Countries. CA A Cancer J. Clin. 2021, 71, 209–249. [Google Scholar] [CrossRef]
- Janjigian, Y.Y.; Shitara, K.; Moehler, M.; Garrido, M.; Salman, P.; Shen, L.; Wyrwicz, L.; Yamaguchi, K.; Skoczylas, T.; Campos Bragagnoli, A.; et al. First-line nivolumab plus chemotherapy versus chemotherapy alone for advanced gastric, gastro-oesophageal junction, and oesophageal adenocarcinoma (CheckMate 649): A randomised, open-label, phase 3 trial. Lancet 2021, 398, 27–40. [Google Scholar] [CrossRef] [PubMed]
- Kang, Y.K.; Chen, L.T.; Ryu, M.H.; Oh, D.Y.; Oh, S.C.; Chung, H.C.; Lee, K.W.; Omori, T.; Shitara, K.; Sakuramoto, S.; et al. Nivolumab plus chemotherapy versus placebo plus chemotherapy in patients with HER2-negative, untreated, unresectable advanced or recurrent gastric or gastro-oesophageal junction cancer (ATTRACTION-4): A randomised, multicentre, double-blind, placebo-controlled, phase 3 trial. Lancet Oncol. 2022, 23, 234–247. [Google Scholar] [PubMed]
- Cunningham, D.; Starling, N.; Rao, S.; Iveson, T.; Nicolson, M.; Coxon, F.; Middleton, G.; Daniel, F.; Oates, J.; Norman, A.R. Capecitabine and oxaliplatin for advanced esophagogastric cancer. N. Engl. J. Med. 2008, 358, 36–46. [Google Scholar] [CrossRef] [PubMed]
- Scartozzi, M.; Bittoni, A.; Pistelli, M.; Galizia, E.; Berardi, R.; Giampieri, R.; Faloppi, L.; Cascinu, S. Toward molecularly selected chemotherapy for advanced gastric cancer: State of the art and future perspectives. Cancer Treat. Rev. 2009, 35, 451–462. [Google Scholar] [CrossRef] [PubMed]
- Deng, N.; Goh, L.K.; Wang, H.; Das, K.; Tao, J.; Tan, I.B.; Zhang, S.; Lee, M.; Wu, J.; Lim, K.H.; et al. A comprehensive survey of genomic alterations in gastric cancer reveals systematic patterns of molecular exclusivity and co-occurrence among distinct therapeutic targets. Gut 2012, 61, 673–684. [Google Scholar] [CrossRef]
- Bang, Y.J.; Van Cutsem, E.; Feyereislova, A.; Chung, H.C.; Shen, L.; Sawaki, A.; Lordick, F.; Ohtsu, A.; Omuro, Y.; Satoh, T.; et al. Trastuzumab in combination with chemotherapy versus chemotherapy alone for treatment of HER2-positive advanced gastric or gastro-oesophageal junction cancer (ToGA): A phase 3, open-label, randomised controlled trial. Lancet 2010, 376, 687–697. [Google Scholar] [CrossRef]
- Smyth, E.C.; Nilsson, M.; Grabsch, H.I.; van Grieken, N.C.; Lordick, F. Gastric cancer. Lancet 2020, 396, 635–648. [Google Scholar] [CrossRef] [PubMed]
- Fuchs, C.S.; Tomasek, J.; Yong, C.J.; Dumitru, F.; Passalacqua, R.; Goswami, C.; Safran, H.; Dos Santos, L.V.; Aprile, G.; Ferry, D.R.; et al. Ramucirumab monotherapy for previously treated advanced gastric or gastro-oesophageal junction adenocarcinoma (REGARD): An international, randomised, multicentre, placebo-controlled, phase 3 trial. Lancet 2014, 383, 31–39. [Google Scholar] [CrossRef]
- Wilke, H.; Muro, K.; Van Cutsem, E.; Oh, S.C.; Bodoky, G.; Shimada, Y.; Hironaka, S.; Sugimoto, N.; Lipatov, O.; Kim, T.Y.; et al. Ramucirumab plus paclitaxel versus placebo plus paclitaxel in patients with previously treated advanced gastric or gastro-oesophageal junction adenocarcinoma (RAINBOW): A double-blind, randomised phase 3 trial. Lancet Oncol. 2014, 15, 1224–1235. [Google Scholar] [CrossRef] [PubMed]
- Solimando, A.G.; Summa, S.; Vacca, A.; Ribatti, D. Cancer-Associated Angiogenesis: The Endothelial Cell as a Checkpoint for Immunological Patrolling. Cancers 2020, 12, 3380. [Google Scholar] [CrossRef] [PubMed]
- Refolo, M.G.; Lotesoriere, C.; Messa, C.; Caruso, M.G.; D’Alessandro, R. Integrated immune gene expression signature and molecular classification in gastric cancer: New insights. J. Leukoc. Biol. 2020, 108, 633–646. [Google Scholar] [CrossRef] [PubMed]
- Mitchell, P.S.; Parkin, R.K.; Kroh, E.M.; Fritz, B.R.; Wyman, S.K.; Pogosova-Agadjanyan, E.L.; Peterson, A.; Noteboom, J.; O’Briant, K.C.; Allen, A.; et al. Circulating microRNAs as stable blood-based markers for cancer detection. Proc. Natl. Acad. Sci. USA 2008, 105, 10513–10518. [Google Scholar] [PubMed]
- Wang, J.; Zhang, K.Y.; Liu, S.M.; Sen, S. Tumor-associated circulating microRNAs as biomarkers of cancer. Molecules 2014, 19, 1912–1938. [Google Scholar] [CrossRef]
- Condrat, C.E.; Thompson, D.C.; Barbu, M.G.; Bugnar, O.L.; Boboc, A.; Cretoiu, D.; Suciu, N.; Cretoiu, S.M.; Voinea, S.C. miRNAs as Biomarkers in Disease: Latest Findings Regarding Their Role in Diagnosis and Prognosis. Cells 2020, 9, 276. [Google Scholar] [CrossRef]
- Wang, H.; Tan, G.; Dong, L.; Cheng, L.; Li, K.; Wang, Z.; Luo, H. Circulating MiR-125b as a marker predicting chemoresistance in breast cancer. PLoS ONE 2012, 7, e34210. [Google Scholar] [CrossRef]
- Toledano-Fonseca, M.; Gomez-Espana, M.A.; Elez, E.; Gravalos, C.; Garcia-Alfonso, P.; Rodriguez, R.; Losa, F.; Ales Diaz, I.; Grana, B.; Valladares-Ayerbes, M.; et al. A signature of circulating microRNAs predicts the response to treatment with FOLFIRI plus aflibercept in metastatic colorectal cancer patients. Biomed. Pharmacother. 2023, 159, 114272. [Google Scholar] [CrossRef]
- D’Alessandro, R.; Refolo, M.G.; Schirizzi, A.; De Leonardis, G.; Donghia, R.; Guerra, V.; Giannelli, G.; Lolli, I.R.; Laterza, M.M.; De Vita, F.; et al. Corrigendum: Variations in circulating levels of angiopoietin-2 over time are predictive of ramucirumab-paclitaxel therapy outcome in advanced gastric cancer: Results of prospective study. Front. Oncol. 2023, 13, 1187014. [Google Scholar] [CrossRef]
- Liu, Z.L.; Chen, H.H.; Zheng, L.L.; Sun, L.P.; Shi, L. Angiogenic signaling pathways and anti-angiogenic therapy for cancer. Signal Transduct. Target. Ther. 2023, 8, 198. [Google Scholar] [CrossRef]
- Lopes-Coelho, F.; Martins, F.; Pereira, S.A.; Serpa, J. Anti-Angiogenic Therapy: Current Challenges and Future Perspectives. Int. J. Mol. Sci. 2021, 22, 3765. [Google Scholar] [CrossRef]
- Bartel, D.P. MicroRNAs: Genomics, biogenesis, mechanism, and function. Cell 2004, 116, 281–297. [Google Scholar] [CrossRef]
- Tsujiura, M.; Ichikawa, D.; Komatsu, S.; Shiozaki, A.; Takeshita, H.; Kosuga, T.; Konishi, H.; Morimura, R.; Deguchi, K.; Fujiwara, H.; et al. Circulating microRNAs in plasma of patients with gastric cancers. Br. J. Cancer 2010, 102, 1174–1179. [Google Scholar] [CrossRef]
- Giuppi, M.; La Salvia, A.; Evangelista, J.; Ghidini, M. The Role and Expression of Angiogenesis-Related miRNAs in Gastric Cancer. Biology 2021, 10, 146. [Google Scholar] [CrossRef]
- Suarez, Y.; Sessa, W.C. MicroRNAs as novel regulators of angiogenesis. Circ. Res. 2009, 104, 442–454. [Google Scholar] [CrossRef]
- Park, N.R.; Cha, J.H.; Sung, P.S.; Jang, J.W.; Choi, J.Y.; Yoon, S.K.; Bae, S.H. MiR-23b-3p suppresses epithelial-mesenchymal transition, migration, and invasion of hepatocellular carcinoma cells by targeting c-MET. Heliyon 2022, 8, e11135. [Google Scholar] [CrossRef]
- Grossi, I.; Salvi, A.; Baiocchi, G.; Portolani, N.; De Petro, G. Functional Role of microRNA-23b-3p in Cancer Biology. Microrna 2018, 7, 156–166. [Google Scholar] [CrossRef]
- Minemura, C.; Asai, S.; Koma, A.; Kase-Kato, I.; Tanaka, N.; Kikkawa, N.; Kasamatsu, A.; Yokoe, H.; Hanazawa, T.; Uzawa, K.; et al. Identification of Tumor-Suppressive miR-30e-3p Targets: Involvement of SERPINE1 in the Molecular Pathogenesis of Head and Neck Squamous Cell Carcinoma. Int. J. Mol. Sci. 2022, 23, 3808. [Google Scholar] [CrossRef]
- Wu, H.; Chen, J.; Li, D.; Liu, X.; Li, L.; Wang, K. MicroRNA-30e Functions as a Tumor Suppressor in Cervical Carcinoma Cells through Targeting GALNT7. Transl. Oncol. 2017, 10, 876–885. [Google Scholar] [CrossRef] [PubMed]
- Ferrari, E.; Gandellini, P. Unveiling the ups and downs of miR-205 in physiology and cancer: Transcriptional and post-transcriptional mechanisms. Cell Death Dis. 2020, 11, 980. [Google Scholar] [CrossRef]
- Yang, W.; Tan, S.; Yang, L.; Chen, X.; Yang, R.; Oyang, L.; Lin, J.; Xia, L.; Wu, N.; Han, Y.; et al. Exosomal miR-205-5p enhances angiogenesis and nasopharyngeal carcinoma metastasis by targeting desmocollin-2. Mol. Ther. Oncolytics 2022, 24, 612–623. [Google Scholar] [CrossRef]
- He, L.; Zhu, W.; Chen, Q.; Yuan, Y.; Wang, Y.; Wang, J.; Wu, X. Ovarian cancer cell-secreted exosomal miR-205 promotes metastasis by inducing angiogenesis. Theranostics 2019, 9, 8206–8220. [Google Scholar] [CrossRef]
- Zhang, J.; Pang, X.; Chen, Z.; Zhang, Z.; Lei, L.; Xu, H.; Wen, L.; Zhu, J.; Jiang, Y.; Cui, Y.; et al. MiR-205-5p suppresses angiogenesis in gastric cancer by downregulating the expression of VEGFA and FGF1. Exp. Cell Res. 2021, 404, 112579. [Google Scholar] [CrossRef] [PubMed]
- Hu, Y.; Qiu, Y.; Yague, E.; Ji, W.; Liu, J.; Zhang, J. miRNA-205 targets VEGFA and FGF2 and regulates resistance to chemotherapeutics in breast cancer. Cell Death Dis. 2016, 7, e2291. [Google Scholar] [CrossRef] [PubMed]
- Zhao, Y.; Liu, L.; Li, G.; Wu, Y.; Cui, Y.; Xie, L. Tumor-exosomal miR-205-5p as a diagnostic biomarker for colorectal cancer. Clin. Transl. Oncol. 2024. [CrossRef] [PubMed]




| Parameters * | Group | p ^ | |
|---|---|---|---|
| CD (n = 22) | RP (n = 18) | ||
| Gender (M) (%) | 16 (72.73) | 13 (72.22) | 0.97 ¥ |
| Age (yrs) | 66.83 (13.78) | 68.57 (12.76) | 0.83 |
| Histological type (%) | 0.73 ¥ | ||
| Intestinal | 7 (31.82) | 6 (40.00) | |
| Diffused/mixed | 15 (68.18) | 9 (60.00) | |
| T stage (%) | 0.67 ¥ | ||
| T0 | 3 (15.00) | 4 (25.00) | |
| T+ | 17 (85.00) | 12 (75.00) | |
| N stage (%) | 0.35 ¥ | ||
| N0 | 4 (20.00) | 1 (6.25) | |
| N+ | 16 (80.00) | 15 (93.75) | |
| M stage (%) | 0.006 ¥ | ||
| Mx | 1 (5.00) | 7 (43.75) | |
| M0 | 13 (65.00) | 3 (18.75) | |
| M1 | 6 (30.00) | 6 (37.50) | |
| PFS II line (months) | 8.21 (4.93) | 2.68 (1.25) | <0.0001 |
| Median survival (months) | 11.77 (6.47) | 6.30 (5.23) | 0.002 |
| ID miRNA | FC | p-Value |
|---|---|---|
| hsa-miR-26a-5p | −1.592 | 0.037 |
| hsa-miR-26b-5p | −1.733 | 0.029 |
| hsa-miR-19a-3p | −1.500 | 0.041 |
| hsa-let-7g-5p | −1.646 | 0.040 |
| hsa-miR-154-5p | −2.785 | 0.031 |
| hsa-miR-23b-3p | −1.585 | 0.021 |
| hsa-let-7d-5p | −1.667 | 0.025 |
| hsa-let-7c-5p | −1.515 | 0.035 |
| hsa-miR-193a-5p | −2.451 | 0.032 |
| hsa-miR-885-5p | −2.480 | 0.043 |
| hsa-miR-376c-3p | −3.020 | 0.045 |
| hsa-miR-374a-5p | −2.099 | 0.049 |
| hsa-miR-30e-3p | −2.004 | 0.025 |
| VEGFC | FLT4 (VEGFR3) | ANGPT2 (ANG-2) | |
|---|---|---|---|
| hsa-miR-26a-5p | ✓ | ✓ | ✓ |
| hsa-miR-26b-5p | - | ✓ | ✓ |
| hsa-miR-19a-3p | - | - | ✓ |
| hsa-let-7g-5p | - | - | ✓ |
| hsa-miR-154-5p | ✓ | - | - |
| hsa-miR-23b-3p | ✓ | ✓ | ✓ |
| hsa-let-7d-5p | ✓ | - | ✓ |
| hsa-let-7c-5p | ✓ | - | ✓ |
| hsa-miR-193a-5p | ✓ | ✓ | ✓ |
| hsa-miR-885-5p | - | - | ✓ |
| hsa-miR-376c-3p | - | - | ✓ |
| hsa-miR-374a-5p | ✓ | ✓ | ✓ |
| hsa-miR-30e-3p | ✓ | - | ✓ |
| ID miRNA | FC | p-Value |
|---|---|---|
| hsa-miR-26a-5p | −1.825 | 0.033 |
| hsa-miR-26b-5p | −1.769 | 0.018 |
| hsa-miR-485-3p | −2.691 | 0.013 |
| hsa-miR-126-5p | −1.695 | 0.027 |
| hsa-miR-23b-3p | −1.524 | 0.035 |
| hsa-let-7d-5p | −1.628 | 0.038 |
| hsa-miR-132-3p | −2.332 | 0.050 |
| hsa-miR-205-5p | −4.766 | 0.046 |
| hsa-miR-378a-3p | −1.881 | 0.045 |
| hsa-miR-193a-5p | −2.517 | 0.042 |
| hsa-miR-885-5p | −3.818 | 0.041 |
| hsa-miR-2110 | −3.771 | 0.048 |
| hsa-miR-376c-3p | −2.772 | 0.050 |
| hsa-miR-30e-3p | −2.241 | 0.012 |
| ID miRNAs | FC RP vs. CD PFS > 10 | p-Value |
|---|---|---|
| hsa-miR-26a-5p | −2.011 | 0.044 |
| hsa-miR-26b-5p | −1.669 | 0.044 |
| hsa-miR-485-3p | −3.131 | 0.022 |
| hsa-miR-339-3p | −2.023 | 0.011 |
| hsa-miR-382-5p | −3.890 | 0.034 |
| hsa-miR-106b-5p | −1.620 | 0.050 |
| hsa-miR-132-3p | −2.730 | 0.050 |
| hsa-miR-421 | 2.130 | 0.046 |
| hsa-miR-205-5p | −3.992 | 0.035 |
| hsa-miR-378a-3p | −2.353 | 0.011 |
| hsa-miR-885-5p | −5.349 | 0.037 |
| hsa-miR-140-5p | −2.376 | 0.050 |
| hsa-miR-376c-3p | −3.097 | 0.050 |
| hsa-miR-199a-5p | −3.817 | 0.041 |
| hsa-miR-363-3p | −1.580 | 0.043 |
| hsa-miR-30e-3p | −2.561 | 0.007 |
| Parameters * | Cycles | p ^ | ||||
|---|---|---|---|---|---|---|
| 1 (T0) | 2 (T3) | 3 (T6) | 4 (T12) | 6 (Tpr) | ||
| miR-23b-3p | 1.17 (0.92) | 1.41 (1.93) | 0.69 (0.45) | 0.34 (0.33) | 0.39 (0.30) | 0.001 |
| miR-30e-3p | 0.05 (0.13) | 0.07 (0.11) | 0.02 (0.003) | 0.01 (0.03) | 0.01 (0.04) | 0.02 |
| miR-205-5p | 0.19 (0.58) | 0.04 (0.04) | 0.01 (0.01) | 0.01 (0.06) | 0.02 (0.24) | 0.04 |
Disclaimer/Publisher’s Note: The statements, opinions and data contained in all publications are solely those of the individual author(s) and contributor(s) and not of MDPI and/or the editor(s). MDPI and/or the editor(s) disclaim responsibility for any injury to people or property resulting from any ideas, methods, instructions or products referred to in the content. |
© 2024 by the authors. Licensee MDPI, Basel, Switzerland. This article is an open access article distributed under the terms and conditions of the Creative Commons Attribution (CC BY) license (https://creativecommons.org/licenses/by/4.0/).
Share and Cite
Piccinno, E.; Schirizzi, A.; Scalavino, V.; De Leonardis, G.; Donghia, R.; Fantasia, A.; Ricci, A.D.; Lotesoriere, C.; Giannelli, G.; Serino, G.; et al. Circulating miR-23b-3p, miR-30e-3p, and miR-205-5p as Novel Predictive Biomarkers for Ramucirumab–Paclitaxel Therapy Outcomes in Advanced Gastric Cancer. Int. J. Mol. Sci. 2024, 25, 13498. https://doi.org/10.3390/ijms252413498
Piccinno E, Schirizzi A, Scalavino V, De Leonardis G, Donghia R, Fantasia A, Ricci AD, Lotesoriere C, Giannelli G, Serino G, et al. Circulating miR-23b-3p, miR-30e-3p, and miR-205-5p as Novel Predictive Biomarkers for Ramucirumab–Paclitaxel Therapy Outcomes in Advanced Gastric Cancer. International Journal of Molecular Sciences. 2024; 25(24):13498. https://doi.org/10.3390/ijms252413498
Chicago/Turabian StylePiccinno, Emanuele, Annalisa Schirizzi, Viviana Scalavino, Giampiero De Leonardis, Rossella Donghia, Alessia Fantasia, Angela Dalia Ricci, Claudio Lotesoriere, Gianluigi Giannelli, Grazia Serino, and et al. 2024. "Circulating miR-23b-3p, miR-30e-3p, and miR-205-5p as Novel Predictive Biomarkers for Ramucirumab–Paclitaxel Therapy Outcomes in Advanced Gastric Cancer" International Journal of Molecular Sciences 25, no. 24: 13498. https://doi.org/10.3390/ijms252413498
APA StylePiccinno, E., Schirizzi, A., Scalavino, V., De Leonardis, G., Donghia, R., Fantasia, A., Ricci, A. D., Lotesoriere, C., Giannelli, G., Serino, G., & D’Alessandro, R. (2024). Circulating miR-23b-3p, miR-30e-3p, and miR-205-5p as Novel Predictive Biomarkers for Ramucirumab–Paclitaxel Therapy Outcomes in Advanced Gastric Cancer. International Journal of Molecular Sciences, 25(24), 13498. https://doi.org/10.3390/ijms252413498

