Compared Inhibitory Activities of Tamoxifen and Avenanthramide B on Liver Esterase and Correlation Based on the Superimposed Structure Between Porcine and Human Liver Esterase
Abstract
1. Introduction
2. Results
2.1. Molecular Docking Simulation of Tamoxifen–PLE Interaction
2.2. Molecular Docking Simulation of Avenanthramide B–PLE Interaction
2.3. Validation of Docking Poses Between Avenanthramide and B-PLE Using Molecular Dynamics
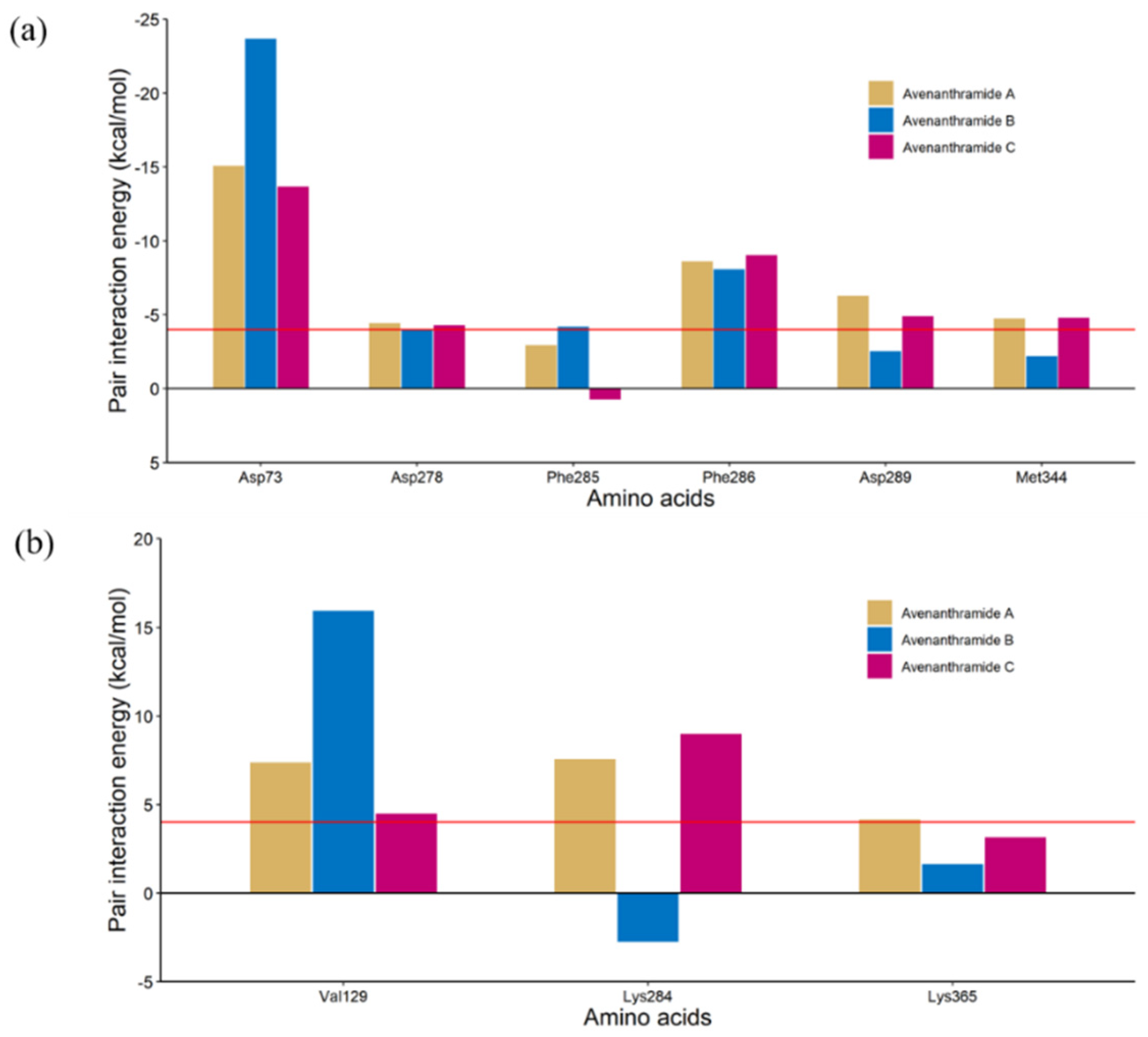
2.4. Avenanthramide B–PLE Interaction Analysis Using FMO Calculation
2.5. Esterase Inhibition of Tamoxifen and Avenanthramide B
3. Discussion
4. Materials and Methods
4.1. Materials and Esterase Inhibition Assay
4.2. Molecular Docking Simulation
4.3. FMO Calculation and PIEDA
4.4. Molecular Dynamics Simulation
5. Conclusions
Supplementary Materials
Author Contributions
Funding
Institutional Review Board Statement
Informed Consent Statement
Data Availability Statement
Conflicts of Interest
References
- Potter, P.M.; Wadkins, R.M. Carboxylesterases-detoxifying enzymes and targets for drug therapy. Curr. Med. Chem. 2006, 13, 1045–1054. [Google Scholar] [CrossRef] [PubMed]
- Ross, M.K.; Crow, J.A. Human carboxylesterases and their role in xenobiotic and endobiotic metabolism. J. Biochem. Mol. Toxicol. 2007, 21, 187–196. [Google Scholar] [CrossRef] [PubMed]
- Satoh, T.; Hosokawa, M. Structure, function and regulation of carboxylesterases. Chem. Biol. Interact. 2006, 162, 195–211. [Google Scholar] [CrossRef] [PubMed]
- Holmes, R.S.; Wright, M.W.; Laulederkind, S.J.; Cox, L.A.; Hosokawa, M.; Imai, T.; Ishibashi, S.; Lehner, R.; Miyazaki, M.; Perkins, E.J.; et al. Recommended nomenclature for five mammalian carboxylesterase gene families: Human, mouse, and rat genes and proteins. Mamm. Genome 2010, 21, 427–441. [Google Scholar] [CrossRef]
- Klein, D.J.; Thorn, C.F.; Desta, Z.; Flockhart, D.A.; Altman, R.B.; Klein, T.E. Pharm GKB summary: Tamoxifen pathway, pharmacokinetics. Pharmacogenet Genom. 2013, 23, 643–647. [Google Scholar] [CrossRef]
- Zhou, Q.; Xiao, Q.; Zhang, Y.; Wang, X.; Xiao, Y.; Shi, D. Pig liver esterases PLE1 and PLE6: Heterologous expression, hydrolysis of common antibiotics and pharmacological consequences. Sci. Rep. 2019, 9, 15564. [Google Scholar] [CrossRef] [PubMed]
- Desforges, M.; Desjardins, J.; Zhang, C.; Talbot, P.J. The acetyl-esterase activity of the hemagglutinin-esterase protein of human coronavirus OC43 strongly enhances the production of infectious virus. J. Virol. 2013, 687, 3097–3107. [Google Scholar] [CrossRef]
- Early Breast Cancer Trialists’ Collaborative Group (EBCTCG). Effects of chemotherapy and hormonal therapy for early breast cancer on recurrence and 15-year survival: An overview of the randomised trials. Lancet 2005, 365, 1687–1717. [Google Scholar] [CrossRef]
- Jordan, V.C. New insights into the metabolism of tamoxifen and its role in the treatment and prevention of breast cancer. Steroids 2007, 72, 829–842. [Google Scholar] [CrossRef] [PubMed]
- Turner, M.J., 3rd; Fields, C.E.; Everman, D.B. Evidence for superoxide formation during hepatic metabolism of tamoxifen. Biochem. Pharmacol. 1991, 41, 1701–1705. [Google Scholar] [CrossRef]
- Lim, J.S.; Yap, Y.S.; Ng, R.C.; Wong, N.S.; Dent, R.; Habbal, M.Z.; Schaeffeler, E.; Eichelbaum, M.; Schroth, W.; Schwab, M.; et al. Tamoxifen metabolism predicts drug concentrations and outcome in premenopausal patients with early breast cancer. Pharmacogenomics J. 2015, 15, 84–94. [Google Scholar] [CrossRef]
- Fleming, C.D.; Bencharit, S.; Edwards, C.C.; Hyatt, J.L.; Tsurkan, L.; Bai, F.; Fraga, C.; Morton, C.L.; Howard-Williams, E.L.; Potter, P.M.; et al. Structural insights into drug processing by human carboxylesterase 1: Tamoxifen, mevastatin, and inhibition by benzil. J. Mol. Biol. 2005, 352, 165–177. [Google Scholar] [CrossRef] [PubMed]
- Mésange, F.; Sebbar, M.; Capdevielle, J.; Guillemot, J.C.; Ferrara, P.; Bayard, F.; Poirot, M.; Faye, J.C. Identification of two tamoxifen target proteins by photolabeling with 4-(2-morpholinoethoxy) benzophenone. Bioconjugate Chem. 2022, 13, 766–772. [Google Scholar] [CrossRef]
- Orias, F.; Bony, S.; Devaux, A. Tamoxifen ecotoxicity and resulting risks for aquatic ecosystems. Chemosphere 2015, 128, 79–84. [Google Scholar] [CrossRef]
- Yu, Q.; Huo, J.; Zhang, Y. Tamoxifen-induced hepatotoxicity via lipid accumulation and inflammation in zebrafish. Chemosphere 2020, 239, 124705. [Google Scholar] [CrossRef] [PubMed]
- Liu, B.; Wang, T.; Wang, H.; Zhang, L.; Xu, F.; Fang, R.; Li, L.; Cai, X.; Wu, Y.; Zhang, W.; et al. Oncoprotein HBXIP enhances HOXB13 acetylation and co-activates HOXB13 to confer tamoxifen resistance in breast cancer. Hematol. Oncol. 2018, 11, 26. [Google Scholar] [CrossRef]
- Sadiq-Butt, M.; Tahir-Nadeem, M.; Khan, M.K.; Shabir, R.; Butt, M.S. Oat: Unique among the cereals. Eur. J. Nutr. 2008, 47, 68–79. [Google Scholar] [CrossRef]
- Ren, Y.; Yang, X.; Niu, X.; Liu, S.; Ren, G. Chemical characterization of the avenanthramide-rich extract from oat and its effect on D-galactose-induced oxidative stress in mice. J. Agric. Food Chem. 2011, 59, 206–211. [Google Scholar] [CrossRef]
- Chen, C.Y.; Milbury, P.E.; Kwak, H.K.; Blumberg, J.B.; Collins, F.W.; Samuel, P. Avenanthramides and phenolic acids from oats are bioavailable and act synergistically with vitamin C to enhance hamster and human LDL resistance to oxidation. J. Nutr. 2004, 134, 1459–1466. [Google Scholar] [CrossRef]
- Dileep, K.V.; Ihara, K.; Mishima-Tsumagari, C.; Kukimoto-Niino, M.; Yonemochi, M.; Hanada, K.; Shirouzu, M.; Zhang, K.Y.J. Crystal structure of human acetylcholinesterase in complex with tacrine: Implications for drug discovery. Int. J. Biol. Macromol. 2022, 210, 172–181. [Google Scholar] [CrossRef]
- Zhou, Q.; Yan, B.; Sun, W.; Chen, Q.; Xiao, Q.; Xiao, Y.; Wang, X.; Shi, D. Pig Liver Esterases Hydrolyze Endocannabinoids and Promote Inflammatory Response. Front. Immunol. 2021, 12, 670427. [Google Scholar] [CrossRef] [PubMed]
- Kitaura, K.; Ikeo, E.; Asada, T.; Nakano, T.; Uebayasi, M. Fragment molecular orbital method: An approximate computational method for large molecules. Chem. Phys. Lett. 1999, 313, 701–706. [Google Scholar] [CrossRef]
- Fedorov, D.G.; Kitaura, K. Pair interaction energy decomposition analysis. J. Comput. Chem. 2007, 28, 222–237. [Google Scholar] [CrossRef]
- Lim, H.; Baek, A.; Kim, J.; Kim, M.S.; Liu, J.; Nam, K.Y.; Yoon, Y.; No, K.T. Hot spot profiles of SARS-CoV-2 and human ACE2 receptor protein protein interaction obtained by density functional tight binding fragment molecular orbital method. Sci. Rep. 2020, 10, 16862. [Google Scholar] [CrossRef]
- Lim, H.; Jin, X.; Kim, J.; Hwang, S.; Shin, K.B.; Choi, J.; Nam, K.Y.; No, K.T. Investigation of Hot Spot Region in XIAP Inhibitor Binding Site by Fragment Molecular Orbital Method. Comput. Struct. Biotechnol. J. 2019, 17, 1217–1225. [Google Scholar] [CrossRef] [PubMed]
- Gaus, M.; Cui, Q.; Elstner, M. DFTB3: Extension of the Self-Consistent-Charge Density-Functional Tight-Binding Method (SCC-DFTB). J. Chem. Theory Comput. 2011, 7, 931–948. [Google Scholar] [CrossRef]
- Okimoto, N.; Otsuka, T.; Hirano, Y.; Taiji, M. Use of the multilayer fragment molecular orbital method to predict the rank order of protein–ligand binding affinities: A case study using tankyrase 2 inhibitor. ACS Omega 2018, 3, 4475–4485. [Google Scholar] [CrossRef]
- Wang, J.; Williams, E.T.; Bourgea, J.; Wong, Y.N.; Patten, C.J. Characterization of recombinant human carboxylesterases: Fluorescein diacetate as a probe substrate for human carboxylesterase 2. Drug. Metab. Dispos. 2011, 39, 1329–1333. [Google Scholar] [CrossRef] [PubMed]
- Kusama, M.; Miyauchi, K.; Aoyama, H.; Sano, M.; Kimura, M.; Mitsuyama, S.; Komaki, K.; Doihara, H. Effects of toremifene (TOR) and tamoxifen (TAM) on serum lipids in postmenopausal patients with breast cancer. Breast Cancer Res. Treat. 2004, 88, 1–8. [Google Scholar] [CrossRef]
- Koenig, R.T.; Dickman, J.R.; Wise, M.L.; Ji, L.L. Avenanthramides are bioavailable and accumulate in hepatic, cardiac, and skeletal muscle tissue following oral gavage in rats. J. Agric. Food Chem. 2011, 59, 6438–6443. [Google Scholar] [CrossRef]
- Li, G.; Xu, L.; Zhang, H.; Liu, J.; Yan, J.; Yan, Y. A De Novo Designed Esterase with p-Nitrophenyl Acetate Hydrolysis Activity. Molecules 2020, 25, 4658. [Google Scholar] [CrossRef] [PubMed]
- Crystal Structure of Human Liver Carboxylesterase 1 in Complex with Tamoxifen. Available online: https://pdbj.org/emnavi/quick.php?id=pdb-1ya4 (accessed on 4 December 2024).
- Trott, O.; Olson, A.J. AutoDock Vina: Improving the speed and accuracy of docking with a new scoring function, efficient optimization, and multithreading. J. Comput. Chem. 2010, 31, 455–461. [Google Scholar] [CrossRef] [PubMed]
- Pettersen, E.F.; Goddard, T.D.; Huang, C.C.; Couch, G.S.; Greenblatt, D.M.; Meng, E.C.; Ferrin, T.E. UCSF Chimera—A visualization system for exploratory research and analysis. J. Comput. Chem. 2004, 25, 1605–1612. [Google Scholar] [CrossRef]
- Barca, G.M.; Bertoni, C.; Carrington, L.; Datta, D.; De Silva, N.; Deustua, J.E.; Fedorov, D.G.; Gour, J.R.; Gunina, A.O.; Guidez, E.; et al. Recent developments in the general atomic and molecular electronic structure system. J. Chem. Phys. 2020, 152, 154102. [Google Scholar] [CrossRef] [PubMed]
- Abraham, M.J.; Murtola, T.; Schulz, R.; Páll, S.; Smith, J.C.; Hess, B.; Lindahl, E. GROMACS: High performance molecular simulations through multi-level parallelism from laptops to supercomputers. SoftwareX 2015, 1, 19–25. [Google Scholar] [CrossRef]
- Huang, J.; Rauscher, S.; Nawrocki, G.; Ran, T.; Feig, M.; De Groot, B.L.; Grubmüller, H.; MacKerell, A.D., Jr. CHARMM36m: An improved force field for folded and intrinsically disordered proteins. Nat. Methods 2017, 14, 71–73. [Google Scholar] [CrossRef]
- Yoo, J.; Aksimentiev, A. New tricks for old dogs: Improving the accuracy of biomolecular force fields by pair-specific corrections to non-bonded interactions. Phys. Chem. Chem. Phys. 2018, 20, 8432–8449. [Google Scholar] [CrossRef]
- Darden, T.; York, D.; Pedersen, L. Particle mesh Ewald: An N log (N) method for Ewald sums in large systems. J. Chem. Phys. 1993, 98, 10089–10092. [Google Scholar] [CrossRef]
- Hess, B.; Bekker, H.; Berendsen, H.J.; Fraaije, J.G. LINCS: A linear constraint solver for molecular simulations. J. Comput. Chem. 1997, 18, 1463–1472. [Google Scholar] [CrossRef]
- Miyamoto, S.; Kollman, P.A. Settle: An analytical version of the SHAKE and RATTLE algorithm for rigid water models. J. Comput. Chem. 1992, 13, 952–962. [Google Scholar] [CrossRef]
- Valdés-Tresanco, M.S.; Valdés-Tresanco, M.E.; Valiente, P.A.; Moreno, E. gmx_MMPBSA: A new tool to perform end-state free energy calculations with GROMACS. J. Chem. Theory Comput. 2021, 17, 6281–6291. [Google Scholar] [CrossRef] [PubMed]






| Compound Name | Residue | PIE a | Component of PIE (kcal/mol) b | ||||
|---|---|---|---|---|---|---|---|
| ES | EX | CT | DI | SL | |||
| Avenanthramide A | Attractive | ||||||
| Asp73 | −15.070 | −1.064 | 0.132 | 0.003 | −4.273 | −9.868 | |
| Asp278 | −4.420 | −0.656 | 0.000 | 0.000 | −0.056 | −3.708 | |
| Phe285 | −2.940 | 0.128 | 0.420 | −0.103 | −3.618 | 0.233 | |
| Phe286 | −8.603 | −3.960 | 0.195 | −0.034 | −4.984 | 0.180 | |
| Asp289 | −6.278 | −3.981 | 0.000 | 0.000 | −0.123 | −2.174 | |
| Met344 | −4.753 | −4.212 | 0.002 | −0.003 | −1.594 | 1.054 | |
| Repulsive | |||||||
| Val129 | 7.359 | −1.178 | 8.561 | −0.081 | −0.384 | 0.441 | |
| Lys284 | 7.551 | 4.793 | −0.001 | 0.000 | −0.965 | 3.724 | |
| Lys365 | 4.148 | 1.946 | 0.000 | 0.000 | −0.010 | 2.212 | |
| Avenanthramide B | Attractive | ||||||
| Asp73 | −23.682 | −16.924 | −0.413 | −0.318 | −3.728 | −2.299 | |
| Asp278 | −4.026 | −1.519 | 0.000 | 0.000 | −0.076 | −2.431 | |
| Phe285 | −4.199 | 0.303 | 0.575 | −0.099 | −4.407 | −0.571 | |
| Phe286 | −8.080 | −1.910 | 0.425 | −0.119 | −5.153 | −1.323 | |
| Asp289 | −2.522 | 0.509 | 0.000 | 0.000 | −0.137 | −2.894 | |
| Met344 | −2.207 | −0.570 | 0.000 | 0.000 | −1.391 | −0.246 | |
| Repulsive | |||||||
| Val129 | 15.942 | 0.579 | 15.411 | −0.133 | −0.157 | 0.242 | |
| Lys284 | −2.752 | −7.505 | −0.021 | −0.140 | −1.138 | 6.052 | |
| Lys365 | 1.630 | −0.239 | 0.000 | 0.000 | −0.010 | 1.879 | |
| Avenanthramide C | Attractive | ||||||
| Asp73 | −13.672 | −2.866 | 0.124 | −0.034 | −4.115 | −6.781 | |
| Asp278 | −4.287 | −1.987 | 0.000 | 0.000 | −0.061 | −2.239 | |
| Phe285 | 0.741 | 1.122 | 1.934 | 0.245 | −2.921 | 0.361 | |
| Phe286 | −9.027 | −4.630 | 0.313 | −0.043 | −4.894 | 0.227 | |
| Asp289 | −4.893 | −3.389 | 0.000 | 0.000 | −0.104 | −1.399 | |
| Met344 | −4.800 | −3.821 | 0.001 | −0.002 | −1.744 | 0.766 | |
| Repulsive | |||||||
| Val129 | 4.476 | 0.369 | 5.009 | −0.079 | −0.950 | 0.127 | |
| Lys284 | 8.991 | 9.097 | −0.006 | 0.000 | −1.223 | 1.123 | |
| Lys365 | 3.150 | 1.482 | 0.000 | 0.000 | −0.009 | 1.677 | |
Disclaimer/Publisher’s Note: The statements, opinions and data contained in all publications are solely those of the individual author(s) and contributor(s) and not of MDPI and/or the editor(s). MDPI and/or the editor(s) disclaim responsibility for any injury to people or property resulting from any ideas, methods, instructions or products referred to in the content. |
© 2024 by the authors. Licensee MDPI, Basel, Switzerland. This article is an open access article distributed under the terms and conditions of the Creative Commons Attribution (CC BY) license (https://creativecommons.org/licenses/by/4.0/).
Share and Cite
Lim, H.; Hwang, S.; Cho, S.-H.; Bak, Y.-S.; Yang, W.-S.; Park, D.; Kim, C.-H. Compared Inhibitory Activities of Tamoxifen and Avenanthramide B on Liver Esterase and Correlation Based on the Superimposed Structure Between Porcine and Human Liver Esterase. Int. J. Mol. Sci. 2024, 25, 13291. https://doi.org/10.3390/ijms252413291
Lim H, Hwang S, Cho S-H, Bak Y-S, Yang W-S, Park D, Kim C-H. Compared Inhibitory Activities of Tamoxifen and Avenanthramide B on Liver Esterase and Correlation Based on the Superimposed Structure Between Porcine and Human Liver Esterase. International Journal of Molecular Sciences. 2024; 25(24):13291. https://doi.org/10.3390/ijms252413291
Chicago/Turabian StyleLim, Hakseong, Sungbo Hwang, Seung-Hak Cho, Young-Seok Bak, Woong-Suk Yang, Daeui Park, and Cheorl-Ho Kim. 2024. "Compared Inhibitory Activities of Tamoxifen and Avenanthramide B on Liver Esterase and Correlation Based on the Superimposed Structure Between Porcine and Human Liver Esterase" International Journal of Molecular Sciences 25, no. 24: 13291. https://doi.org/10.3390/ijms252413291
APA StyleLim, H., Hwang, S., Cho, S.-H., Bak, Y.-S., Yang, W.-S., Park, D., & Kim, C.-H. (2024). Compared Inhibitory Activities of Tamoxifen and Avenanthramide B on Liver Esterase and Correlation Based on the Superimposed Structure Between Porcine and Human Liver Esterase. International Journal of Molecular Sciences, 25(24), 13291. https://doi.org/10.3390/ijms252413291

