Transcriptomic Analysis Reveals the Opposite Regulatory Effects of WRKY and CAMTA Transcription Factors on Total Tannin Production in Quercus fabri Fruit
Abstract
1. Introduction
2. Results
2.1. Total Tannin Content in Acorns at Different Developmental Stages
2.2. Transcription Factor Family Analysis
2.3. Protein Interaction Network Analysis Discovered Two Important Node Transcription Factors, WRKY and CAMTA
2.4. Identification of WRKY and CAMTA Transcription Factor Target Genes
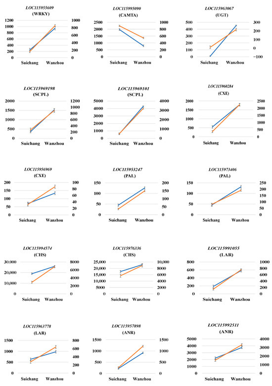
2.5. qRT-PCR Validation of Transcription Factor Gene and Target Gene Expression Levels
3. Discussion
4. Materials and Methods
4.1. Plant Materials
4.2. Determination of Tannin Content
4.3. Analysis of Transcription Factor Families in Transcriptome Data
4.4. Protein Interaction Network Analysis
4.5. Screening of Target Transcription Factors and Determination of Target Genes
4.6. Determination of Relative Expression Levels of Target Transcription Factor Genes and Target Genes via qRT-PCR Analysis
4.7. Statistical Analysis
5. Conclusions
Supplementary Materials
Author Contributions
Funding
Institutional Review Board Statement
Informed Consent Statement
Data Availability Statement
Conflicts of Interest
References
- Rao, N.R.; Rao, G.S. Development and evaluation of trimethoprimtannic acid complex. J. Inst. Chem. 2004, 1, 76. [Google Scholar]
- Ferreira, D.; Marais, J.P.; Slade, D. Heterogeneity of the interflavanyl bond in proanthocyanidins from natural sources lacking C-4 (C-ring) deoxy flavonoid nucleophiles. Phytochemistry 2005, 18, 66. [Google Scholar] [CrossRef] [PubMed]
- Lokman, M.S.; Zaafar, D.; Althagafi, H.A.; Daim, M.M.A.; Theyab, A.; Mufti, A.H.; Algahtani, M.; Habotta, O.A.; Alghamdi, A.; Alsharif, K.F. Antiulcer activity of proanthocyanidins is mediated via suppression of oxidative, inflammatory, and apoptotic machineries. J. Food Biochem. 2022, 46, e14070. [Google Scholar] [CrossRef] [PubMed]
- Ge, W.J.; Xu, Y.; Niu, M.; Jia, C.; Zhao, S.M. The differentiation between condensed and hydrolyzed tannins with different molecular weights in affecting the rheological property of wheat flour-based dough. J. Cereal Sci. 2023, 111, 103666. [Google Scholar] [CrossRef]
- Olumuyiwa, E.; Amund, O.; Ilori, M.; Schmidt, S. Utilization of tannic acid by bacteria in tropical aquatic and soil environments. Journal of Microbiology. Biotechnol. Food Sci. 2020, 3, 335–343. [Google Scholar]
- Akagi, T.; Ikegami, A.; Tsujimoto, T.; Kobayashi, S.; Sato, A. DkMyb4 is a MYB transcription factor involved in proanthocyanidin biosynthesis in persimmon fruit. Plant Physiol. 2009, 151, 2028–2045. [Google Scholar] [CrossRef]
- Ni, B.B.; Liu, H.; Wang, Z.S.; Zhang, G.Y.; Sang, Z.Y.; Liu, J.J.; He, C.Y.; Zhang, J.G. A chromosome-scale genome of Rhus chinensis Mill. provides new insights into plant–insect interaction and gallotannins biosynthesis. Plant J. 2024, 118, 766–786. [Google Scholar] [CrossRef]
- Morzel, M.; Canon, F.; Guyot, S. Interactions between salivary proteins and dietary polyphenols: Potential consequences on gastrointestinal digestive events. J. Agric. Food Chem. 2022, 21, 70. [Google Scholar] [CrossRef]
- Zhang, C.C.; Yao, X.H.; Ren, H.D.; Chang, J.; Wang, K.L. RNA-seq reveals flavonoid biosynthesis-related genes in pecan (Carya illinoinensis) kernels. J. Agric. Food Chem. 2019, 67, 148–158. [Google Scholar] [CrossRef]
- Rouholamin, S.; Zahedi, B.; Nazarian-Firouzabadi, F.; Saei, A. Expression analysis of anthocyanin biosynthesis key regulatory genes involved in pomegranate (Punica granatum L.). Sci. Hortic. 2015, 186, 84–88. [Google Scholar] [CrossRef]
- Wu, L.W.; Xiong, S.F.; Shi, X.; Wang, Y.D. AP3 promotes the synthesis of condensed tannin in fruit by positively regulating ANR expression. Int. J. Biol. Macromol. 2024, 261, 129558. [Google Scholar] [CrossRef] [PubMed]
- Liu, W.J.; Wang, Y.C.; Yu, L.; Jiang, H.Y.; Guo, Z.W.; Xu, H.F.; Jiang, S.H.; Fang, H.C.; Zhang, J.; Su, M.Y.; et al. MdWRKY11 participates in anthocyanin accumulation in red-fleshed apples by affecting MYB transcription factors and the photoresponse factor MdHY5. J. Agric. Food Chem. 2019, 67, 8783–8793. [Google Scholar] [CrossRef] [PubMed]
- Nesi, N. The TT8 gene encodes a basic Helix-Loop-Helix domain protein required for expression of DFR and BAN genes in Arabidopsis siliques. Plant Cell 2000, 12, 1863–1878. [Google Scholar] [CrossRef] [PubMed]
- Deluc, L.; Bogs, J.; Walker, A.R.; Ferrier, T.; Decendit, A.; Merillon, J.M.; Robinson, S.P.; Barrieu, F. The transcription factor VvMYB5b contributes to the regulation of anthocyanin and proanthocyanidin biosynthesis in developing grape berries. Plant Physiol. 2008, 147, 2041–2053. [Google Scholar] [CrossRef]
- Terrier, N.; Torregrosa, L.; Ageorges, A.; Vialet, S.; Verriès, C.; Cheynier, V.; Romieu, C. Ectopic expression of VvMybPA2 promotes proanthocyanidin biosynthesis in grape-vine and suggests additional targets in the pathway. Plant Physiol. 2009, 149, 1028–1041. [Google Scholar] [CrossRef]
- Akagi, T.; Ikegami, A.; Yonemori, K. DkMyb2 wound-induced transcription factor of persimmon (Diospyros kaki Thunb.), contributes to proanthocyanidin regulation. Planta 2010, 232, 1045–1059. [Google Scholar] [CrossRef]
- Wang, N.; Nian, Y.; Li, R.; Shao, Y.Z.; Li, W. Transcription factor CpbHLH3 and CpXYN1 gene cooperatively regulate fruit texture and counteract 1-methylcyclopropene inhibition of softening in postharvest papaya (Carica papaya L.). J. Agric. Food Chem. 2022, 70, 9919–9930. [Google Scholar] [CrossRef]
- Hichri, I.; Heppel, S.C.; Pillet, J.; Léon, C.; Czemmel, S.; Delrot, S.; Lauvergeat, V.; Bogs, J. The basic Helix-Loop-Helix transcription factor MYC1 is involved in the regulation of the flavonoid biosynthesis pathway in grapevine. Mol. Plant 2010, 3, 509–523. [Google Scholar] [CrossRef]
- Li, R.; Lou, Y. Research advances on stress responsive WRKY transcription factors in plants. Acta Ecol. Sin. 2011, 31, 3223–3231. [Google Scholar]
- Xie, Z.W.; Wang, L.J.; Chen, J.Y.; Wang, J.; Su, Y.J.; Yang, X.S.; Cao, Q.H. Studies on WRKY transcription factors and their biological functions in plants. J. Agric. Sci. Technol. 2016, 18, 46–54. [Google Scholar]
- Galon, Y.; Nave, R.; Boyce, J.M.; Nachmias, D.; Knight, M.; Fromm, H. Calmodulin-binding transcription activator (CAMTA) 3 mediates biotic defense responses in Arabidopsis. Febs Lett. 2008, 582, 943–948. [Google Scholar] [CrossRef] [PubMed]
- Galon, Y.; Aloni, R.; Nachmias, D.; Snir, O.; Feldmesser, E.; Scrase-Field, S.; Boyce, J.M.; Bouché, N.; Knight, M.R.; Fromm, H. Calmodulin-binding transcription activator 1 mediates auxin signaling and responds to stresses in Arabidopsis. Planta 2010, 232, 165–178. [Google Scholar] [CrossRef] [PubMed]
- Yang, Y.J.; Sun, T.; Xu, L.Q.; Pi, E.X.; Wang, S.; Wang, H.Z.; Shen, C.J. Genome-wide identification of CAMTA gene family members in Medicago truncatula and their expression during root nodule symbiosis and hormone treatments. Front. Plant Sci. 2015, 6, 459. [Google Scholar] [CrossRef] [PubMed]
- Wang, G.P.; Zeng, H.Q.; Hu, X.Y.; Zhu, Y.Y.; Chen, Y.; Shen, C.J.; Wang, H.Z.; Poovaiah, B.W.; Du, L.Q. Identification and expression analyses of calmodulin-binding transcription activator genes in soybean. Plant Soil 2015, 386, 205–221. [Google Scholar] [CrossRef]
- Wu, L.W.; Xiong, S.F.; Chen, Y.C.; Wang, Y.D. Transcriptome analysis reveals important regulatory factors for condensed tannin synthesis in acorn. Physiol. Plant. 2024, 176, e14333. [Google Scholar] [CrossRef]
- Yamamoto, R.; Genda, R.; Fukuhara, K.; Ogata, T.; Yonemori, K. Distribution of tannin cells in persimmon tree and the basic chemical composition of tannins in calluses derived from persimmon leaflets. Acta Hortic. 2022, 223–230. [Google Scholar] [CrossRef]
- Wang, H.; Asker, K.; Zhan, C.; Wang, N. Transcriptomic and metabolic analysis of fruit development and identification of genes involved in raffinose and hydrolysable tannin biosynthesis in walnuts. J. Agric. Food Chem. 2021, 69, 8050–8062. [Google Scholar] [CrossRef]
- Jing, S.J.; Zhou, X.; Song, Y.; Yu, D.Q. Heterologous expression of OsWRKY23 gene enhances pathogen defense and dark-induced leaf senescence in Arabidopsis. Plant Growth Regul. 2009, 58, 181–190. [Google Scholar] [CrossRef]
- Ishida, T.; Hattori, S.; Sano, R.; Inoue, K.; Shirano, Y.; Hayashi, H.; Shibata, D.; Sato, S.; Kato, T.; Tabata, S. Arabidopsis TRANSPARENT TESTA GLABRA2 is directly regulated by R2R3 MYB transcription factors and is involved in regulation of GLABRA2 transcription in epidermal differentiation. Plant Cell 2007, 19, 2531–2543. [Google Scholar] [CrossRef]
- Zhu, Z.G.; Shi, J.L.; Cao, J.L.; He, M.Y.; Wang, Y.J. VpWRKY3, a biotic and abiotic stress-related transcription factor from the Chinese wild Vitis pseudoreticulata. Plant Cell Rep. 2012, 31, 2109–2120. [Google Scholar] [CrossRef]
- Abbruscato, P.; Nepusz, T.; Mizzi, L.; Corvo, M.D.; Morandini, P.; Fumasoni, I.; Michel, C.; Paccanaro, A.; Guiderdoni, E.; Schaffrath, U.; et al. OsWRKY22, a monocot WRKY gene, plays a role in the resistance response to blast. Mol. Plant Pathol. 2012, 13, 828–841. [Google Scholar] [CrossRef] [PubMed]
- Wang, H.H.; Hao, J.; Chen, X.J.; Hao, Z.; Wang, X.; Lou, Y.G.; Peng, Y.L.; Guo, Z.J. Overexpression of rice WRKY89 enhances ultraviolet B tolerance and disease resistance in rice plants. Plant Mol. Biol. 2007, 65, 799–815. [Google Scholar] [CrossRef]
- Shi, W.; Hao, L.; Li, J.; Liu, D.; Guo, X.H. The Gossypium hirsutum WRKY gene GhWRKY39-1 promotes pathogen infection defense responses and mediates salt stress tolerance in transgenic Nicotiana benthamiana. Plant Cell Rep. 2014, 33, 483–498. [Google Scholar] [CrossRef] [PubMed]
- Wei, W.; Liang, D.W.; Bian, X.H.; Shen, M.; Xiao, J.H.; Zhang, W.K.; Ma, B.; Lin, Q.; Lv, J.; Chen, X.; et al. GmWRKY54 improves drought tolerance through activating genes in abscisic acid and Ca2+ signaling pathways in transgenic soybean. Plant J. 2019, 100, 384–398. [Google Scholar] [CrossRef]
- Li, C.X.; Hou, X.Y.; Qi, N.; Liu, H.W.; Li, Y.H.; Huang, D.J.; Wang, C.L.; Liao, W. Insight into ripening-associated transcription factors in tomato: A review. Sci. Hortic. 2021, 288, 110363. [Google Scholar] [CrossRef]
- Sun, T.J.; Huang, J.H.; Xu, Y.; Verma, V.; Jing, B.B.; Sun, Y.L.; Orduna, A.R.; Tian, H.N.; Huang, X.C.; Xia, S.T.; et al. Redundant CAMTA transcription factors negatively regulate the biosynthesis of salicylic acid and N-hydroxypipecolic acid by modulating the expression of SARD1 and CBP60g. Mol. Plant 2020, 13, 144–156. [Google Scholar] [CrossRef]
- Gao, J.F.; Shen, L.; Yuan, J.L.; Zheng, H.L.; Su, Q.S.; Yang, W.G.; Zhang, L.Q.; Nnaemeka, V.E.; Sun, J.; Ke, L.P.; et al. Functional analysis of GhCHS, GhANR and GhLAR in colored fiber formation of Gossypium hirsutum L. BMC Plant Biol. 2019, 19, 455. [Google Scholar] [CrossRef] [PubMed]
- Chen, H.T.; Shi, Y.; An, L.; Yang, X.H.; Liu, J.; Dai, Z.M.; Zhang, Y.; Li, T.L.; Ahammed, G.J. Overexpression of SlWRKY6 enhances drought tolerance by strengthening antioxidant defense and stomatal closure via ABA signaling in Solanum lycopersicum L. Plant Physiol. Biochem. 2024, 213, 108855. [Google Scholar] [CrossRef] [PubMed]
- Chen, S.L.; Zhang, L.P.; Cai, X.M.; Li, X.; Bian, L.; Luo, Z.X.; Li, Z.Q.; Chen, Z.M.; Xin, Z.J. (E)-Nerolidol is a volatile signal that induces defenses against insects and pathogens in tea plants. Hortic. Res. 2020, 7, 52. [Google Scholar] [CrossRef]
- Reddy, M.K.; Gupta, S.K.; Jacob, M.R.; Khan, S.I.; Ferreira, D. Antioxidant, antimalarial and antimicrobial activities of tannin-rich fractions, ellagitannins and phenolic acids from Punica granatum L. Planta Medica 2007, 73, 461–467. [Google Scholar] [CrossRef]
- Li, D.S.; Zhang, L.P.; Pu, J.W. Study on inhibition effects of the degraded black wattle tannin on microorganisms. Biomass Chem. Eng. 2006, 40, 11–14. [Google Scholar]
- Du, L.Q.; Ali, G.S.; Simons, K.A.; Hou, J.G.; Yang, T.B.; Reddy, A.S.N.; Poovaiah, B.W. Ca2+/calmodulin regulates salicylic-acid-mediated plant immunity. Nature 2009, 457, 1154–1158. [Google Scholar] [CrossRef] [PubMed]
- Jacob, F.; Kracher, B.; Mine, A.; Seyfferth, C.; Blanvillain-Baufumé, S.; Parker, J.E.; Tsuda, K.; Schulze-Lefert, P.; Maekawa, T. A dominant-interfering camta3 mutation compromises primary transcriptional outputs mediated by both cell surface and intracellular immune receptors in Arabidopsis thaliana. New Phytol. 2018, 217, 1667–1680. [Google Scholar] [CrossRef] [PubMed]
- Wang, R.Y.; Liu, X.Q.; Zhu, H.Q.; Yang, Y.M.; Cui, R.F.; Fan, Y.K.; Zhai, X.H.; Yang, Y.F.; Zhang, S.S.; Zhang, J.Y.; et al. Transcription factors GmERF1 and GmWRKY6 synergistically regulate low phosphorus tolerance in soybean. Plant Physiol. 2023, 192, 1099–1114. [Google Scholar] [CrossRef]




| Gene | Number of W-Box (WRKY Cis-Acting Element) | Number of CG-Box (CAMTA Cis-Acting Element) | |
|---|---|---|---|
| UGT | LOC115963067 | 1 | |
| SCPL | LOC115969198 | 1 | 1 |
| LOC115969101 | 2 | ||
| CXE | LOC115960284 | 1 | |
| LOC115956969 | 3 | ||
| PAL | LOC115953247 | 1 | |
| LOC115973406 | 1 | 2 | |
| CHS | LOC115994574 | 1 | 1 |
| LOC115976336 | 1 | ||
| LAR | LOC115991055 | 1 | |
| LOC115963778 | 3 | 1 | |
| ANR | LOC115957898 | 2 | 1 |
| LOC115992511 | 1 | 1 | |
Disclaimer/Publisher’s Note: The statements, opinions and data contained in all publications are solely those of the individual author(s) and contributor(s) and not of MDPI and/or the editor(s). MDPI and/or the editor(s) disclaim responsibility for any injury to people or property resulting from any ideas, methods, instructions or products referred to in the content. |
© 2024 by the authors. Licensee MDPI, Basel, Switzerland. This article is an open access article distributed under the terms and conditions of the Creative Commons Attribution (CC BY) license (https://creativecommons.org/licenses/by/4.0/).
Share and Cite
Cai, Y.; Xiong, S.; Wang, Y.; Chen, Y.; Wu, L. Transcriptomic Analysis Reveals the Opposite Regulatory Effects of WRKY and CAMTA Transcription Factors on Total Tannin Production in Quercus fabri Fruit. Int. J. Mol. Sci. 2024, 25, 13103. https://doi.org/10.3390/ijms252313103
Cai Y, Xiong S, Wang Y, Chen Y, Wu L. Transcriptomic Analysis Reveals the Opposite Regulatory Effects of WRKY and CAMTA Transcription Factors on Total Tannin Production in Quercus fabri Fruit. International Journal of Molecular Sciences. 2024; 25(23):13103. https://doi.org/10.3390/ijms252313103
Chicago/Turabian StyleCai, Yuqing, Shifa Xiong, Yangdong Wang, Yicun Chen, and Liwen Wu. 2024. "Transcriptomic Analysis Reveals the Opposite Regulatory Effects of WRKY and CAMTA Transcription Factors on Total Tannin Production in Quercus fabri Fruit" International Journal of Molecular Sciences 25, no. 23: 13103. https://doi.org/10.3390/ijms252313103
APA StyleCai, Y., Xiong, S., Wang, Y., Chen, Y., & Wu, L. (2024). Transcriptomic Analysis Reveals the Opposite Regulatory Effects of WRKY and CAMTA Transcription Factors on Total Tannin Production in Quercus fabri Fruit. International Journal of Molecular Sciences, 25(23), 13103. https://doi.org/10.3390/ijms252313103

