Impact of Plant-Based School Meals on Gut Bifidobacterium spp. Abundance and Health Outcomes in Schoolchildren from Bahia, Brazil
Abstract
1. Introduction
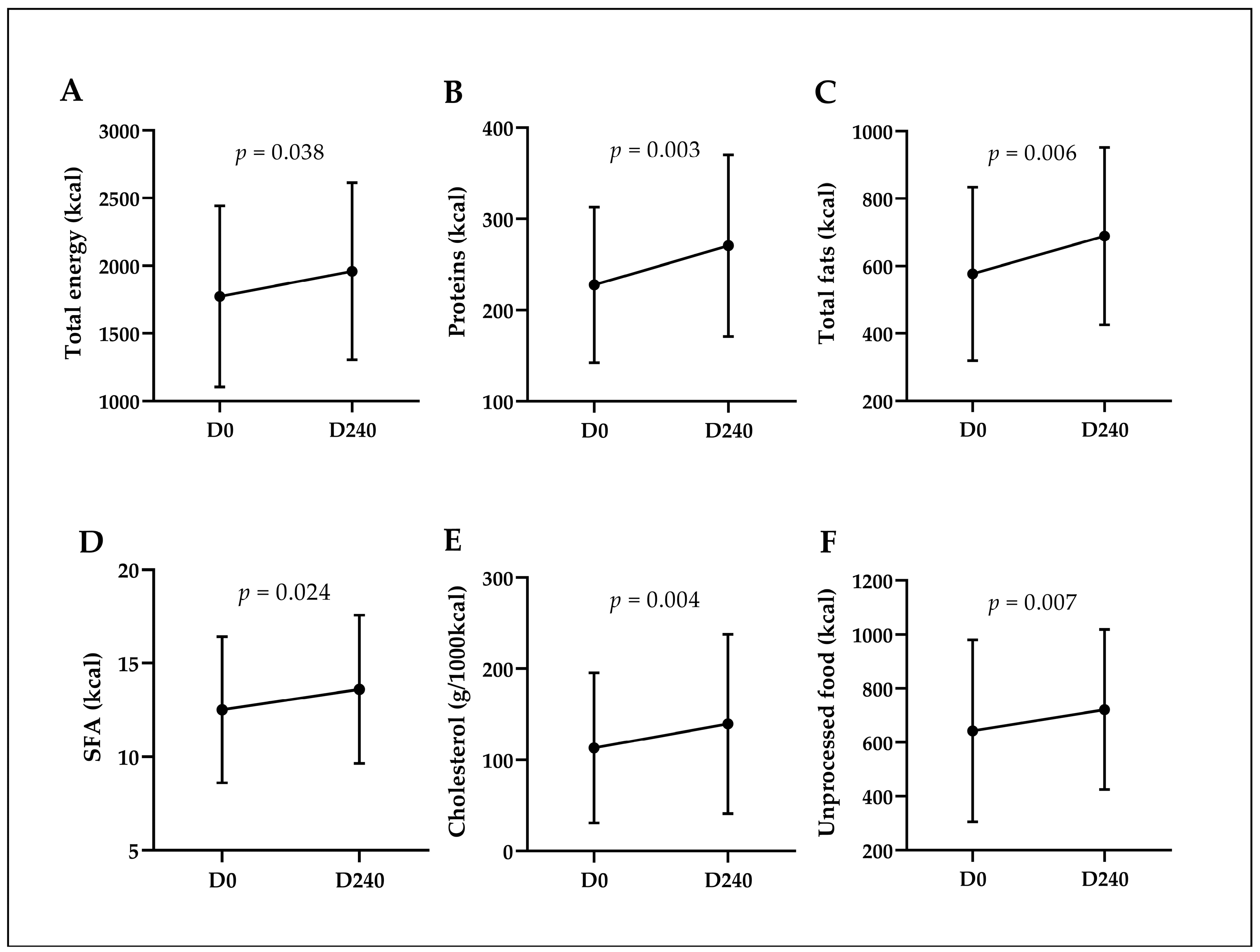
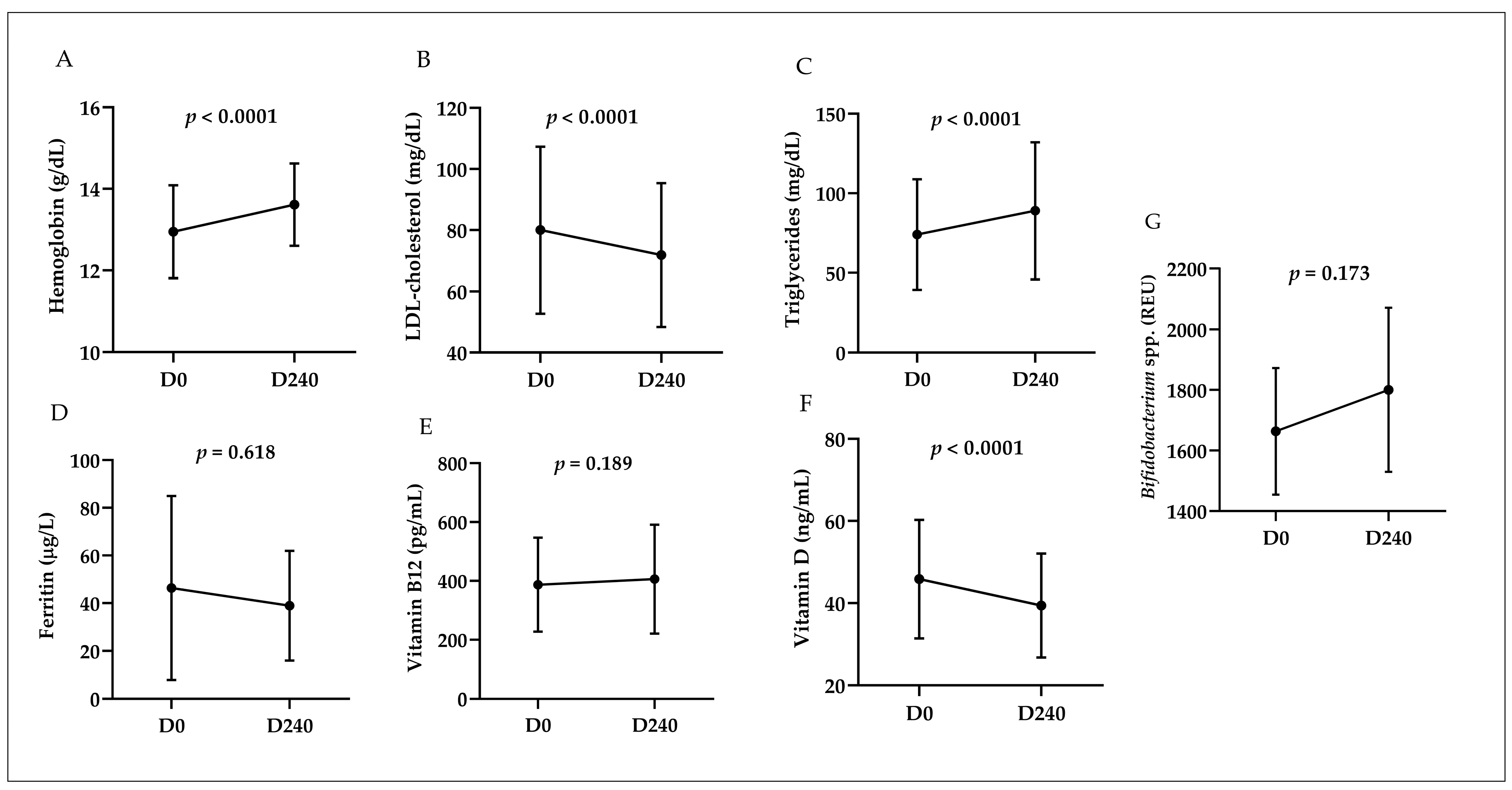
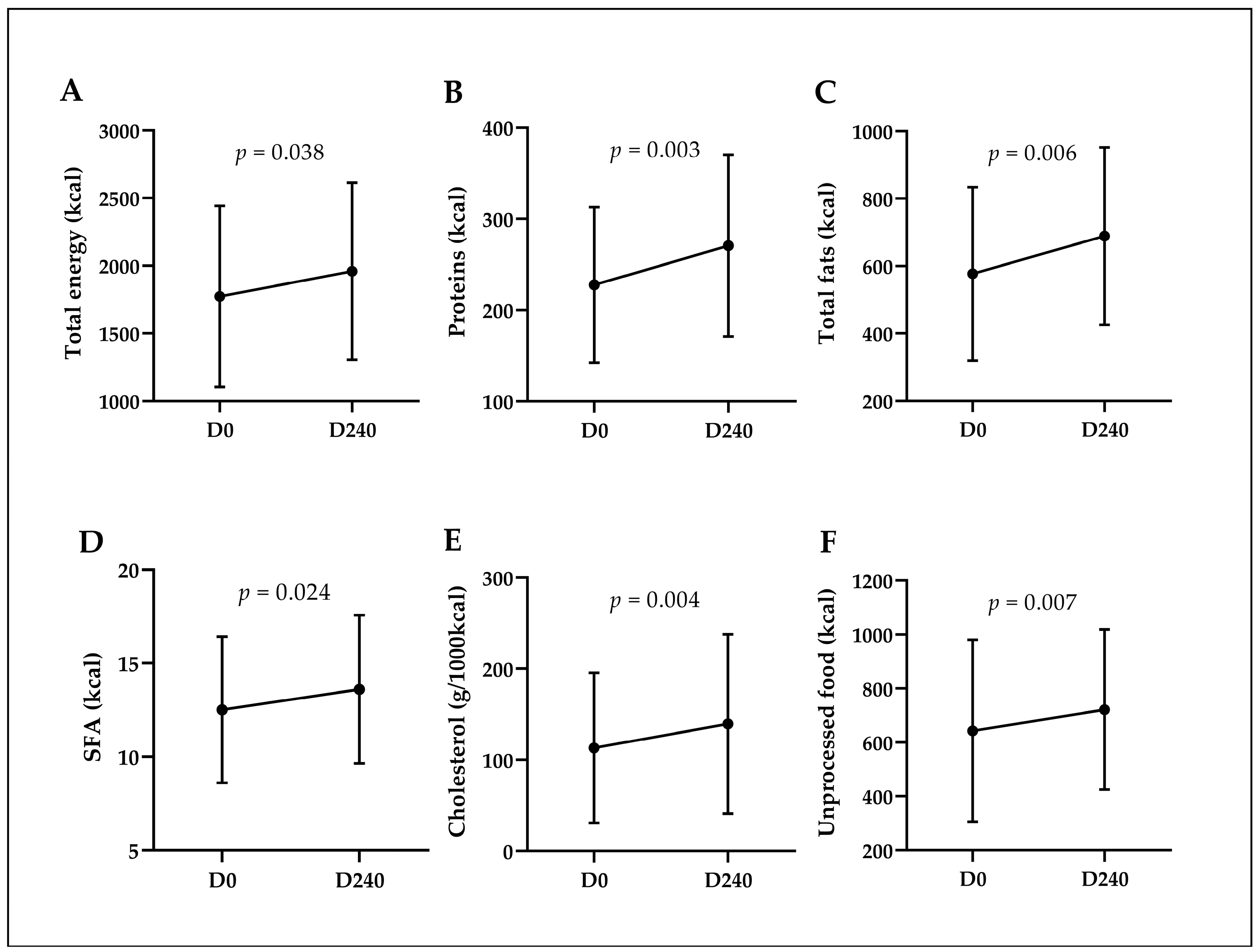
2. Results
3. Discussion
4. Materials and Methods
4.1. Study Design
4.2. Study Population
4.3. Intervention
4.4. Data Collection
4.4.1. Clinical Evaluation
4.4.2. Dietary Analysis
4.4.3. Anthropometric Measurements
4.4.4. Laboratory Examination
4.5. Statistical Analyses
5. Conclusions
Author Contributions
Funding
Institutional Review Board Statement
Informed Consent Statement
Data Availability Statement
Acknowledgments
Conflicts of Interest
References
- Kashyap, A.; Mackay, A.; Carter, B.; Fyfe, C.L.; Johnstone, A.M.; Myint, P.K. Investigating the Effectiveness of Very Low-Calorie Diets and Low-Fat Vegan Diets on Weight and Glycemic Markers in Type 2 Diabetes Mellitus: A Systematic Review and Meta-Analysis. Nutrients 2022, 14, 4870. [Google Scholar] [CrossRef] [PubMed]
- Koch, C.A.; Kjeldsen, E.W.; Frikke-Schmidt, R. Vegetarian or Vegan Diets and Blood Lipids: A Meta-Analysis of Randomized Trials. Eur. Heart J. 2023, 44, 2609–2622. [Google Scholar] [CrossRef] [PubMed]
- Dybvik, J.S.; Svendsen, M.; Aune, D. Vegetarian and Vegan Diets and the Risk of Cardiovascular Disease, Ischemic Heart Disease and Stroke: A Systematic Review and Meta-Analysis of Prospective Cohort Studies. Eur. J. Nutr. 2023, 62, 51–69. [Google Scholar] [CrossRef] [PubMed]
- Zhao, Y.; Zhan, J.; Wang, Y.; Wang, D. The Relationship Between Plant-Based Diet and Risk of Digestive System Cancers: A Meta-Analysis Based on 3,059,009 Subjects. Front. Public. Health 2022, 10, 892153. [Google Scholar] [CrossRef] [PubMed]
- Wang, Y.; Liu, B.; Han, H.; Hu, Y.; Zhu, L.; Rimm, E.B.; Hu, F.B.; Sun, Q. Associations between Plant-Based Dietary Patterns and Risks of Type 2 Diabetes, Cardiovascular Disease, Cancer, and Mortality—A Systematic Review and Meta-Analysis. Nutr. J. 2023, 22, 46. [Google Scholar] [CrossRef]
- Neuenschwander, M.; Stadelmaier, J.; Eble, J.; Grummich, K.; Szczerba, E.; Kiesswetter, E.; Schlesinger, S.; Schwingshackl, L. Substitution of Animal-Based with Plant-Based Foods on Cardiometabolic Health and All-Cause Mortality: A Systematic Review and Meta-Analysis of Prospective Studies. BMC Med. 2023, 21, 404. [Google Scholar] [CrossRef]
- Beam, A.; Clinger, E.; Hao, L. Effect of Diet and Dietary Components on the Composition of the Gut Microbiota. Nutrients 2021, 13, 2795. [Google Scholar] [CrossRef]
- Ronan, V.; Yeasin, R.; Claud, E.C. Childhood Development and the Microbiome—The Intestinal Microbiota in Maintenance of Health and Development of Disease During Childhood Development. Gastroenterology 2021, 160, 495–506. [Google Scholar] [CrossRef] [PubMed]
- Abrignani, V.; Salvo, A.; Pacinella, G.; Tuttolomondo, A. The Mediterranean Diet, Its Microbiome Connections, and Cardiovascular Health: A Narrative Review. Int. J. Mol. Sci. 2024, 25, 4942. [Google Scholar] [CrossRef]
- Lyu, Q.; Chen, R.-A.; Chuang, H.-L.; Zou, H.-B.; Liu, L.; Sung, L.-K.; Liu, P.-Y.; Wu, H.-Y.; Chang, H.-Y.; Cheng, W.-J.; et al. Bifidobacterium Alleviate Metabolic Disorders via Converting Methionine to 5’-Methylthioadenosine. Gut Microbes 2024, 16, 2300847. [Google Scholar] [CrossRef]
- Iddrisu, I.; Monteagudo-Mera, A.; Poveda, C.; Pyle, S.; Shahzad, M.; Andrews, S.; Walton, G.E. Malnutrition and Gut Microbiota in Children. Nutrients 2021, 13, 2727. [Google Scholar] [CrossRef] [PubMed]
- Dahl, W.J.; Rivero Mendoza, D.; Lambert, J.M. Diet, Nutrients and the Microbiome. Prog. Mol. Biol. Transl. Sci. 2020, 171, 237–263. [Google Scholar] [PubMed]
- Miclotte, L.; Van de Wiele, T. Food Processing, Gut Microbiota and the Globesity Problem. Crit. Rev. Food Sci. Nutr. 2019, 60, 1769–1782. [Google Scholar] [CrossRef] [PubMed]
- Hou, K.; Wu, Z.-X.; Chen, X.-Y.; Wang, J.-Q.; Zhang, D.; Xiao, C.; Zhu, D.; Koya, J.B.; Wei, L.; Li, J.; et al. Microbiota in Health and Diseases. Signal Transduct. Target. Ther. 2022, 7, 135. [Google Scholar] [CrossRef]
- Pellizoni, F.P.; Leite, A.Z.; Rodrigues, N.d.C.; Ubaiz, M.J.; Gonzaga, M.I.; Takaoka, N.N.C.; Mariano, V.S.; Omori, W.P.; Pinheiro, D.G.; Matheucci Junior, E.; et al. Detection of Dysbiosis and Increased Intestinal Permeability in Brazilian Patients with Relapsing-Remitting Multiple Sclerosis. Int. J. Environ. Res. Public. Health 2021, 18, 4621. [Google Scholar] [CrossRef] [PubMed]
- Bolte, L.A.; Vich Vila, A.; Imhann, F.; Collij, V.; Gacesa, R.; Peters, V.; Wijmenga, C.; Kurilshikov, A.; Campmans-Kuijpers, M.J.E.; Fu, J.; et al. Long-Term Dietary Patterns Are Associated with pro-Inflammatory and Anti-Inflammatory Features of the Gut Microbiome. Gut 2021, 70, 1287–1298. [Google Scholar] [CrossRef]
- Malesza, I.J.; Malesza, M.; Walkowiak, J.; Mussin, N.; Walkowiak, D.; Aringazina, R.; Bartkowiak-Wieczorek, J.; Mądry, E. High-Fat, Western-Style Diet, Systemic Inflammation, and Gut Microbiota: A Narrative Review. Cells 2021, 10, 3164. [Google Scholar] [CrossRef]
- Pinart, M.; Dötsch, A.; Schlicht, K.; Laudes, M.; Bouwman, J.; Forslund, S.K.; Pischon, T.; Nimptsch, K. Gut Microbiome Composition in Obese and Non-Obese Persons: A Systematic Review and Meta-Analysis. Nutrients 2021, 14, 12. [Google Scholar] [CrossRef]
- dos Santos Farias, E.; Moreira, K.F.A.; dos Santos, J.P.; Gemelli, I.F.B.; da Costa, G.M.; de Souza, O.F. Overweight and Obesity: Prevalence in Children and Adolescents in Northern Brazil. J. Hum. Growth Dev. 2020, 30, 266–273. [Google Scholar] [CrossRef]
- IBGE (Instituto Brasileiro de Geografia e Estatística). Pesquisa de Orçamentos Familiares 2017–2018—Análise Do Consumo Alimentar No Brasil; IBGE: Rio de Janeiro, Brazil, 2020.
- IBGE (Instituto Brasileiro de Geografia e Estatística). Pesquisa Nacional de Saúde Do Escolar: 2015. Available online: https://biblioteca.ibge.gov.br/visualizacao/livros/liv97870.pdf (accessed on 15 August 2022).
- BRASIL. Ministério da Saúde VIGITEL—Sistema de Vigilância de Fatores de Risco e Proteção Para Doenças Crônicas Por Inquérito Telefônico—2017. Available online: https://bvsms.saude.gov.br/bvs/publicacoes/vigitel_brasil_2017_vigilancia_fatores_riscos.pdf (accessed on 15 August 2022).
- Khan, M.; Bell, R. Effects of a School Based Intervention on Children’s Physical Activity and Healthy Eating: A Mixed-Methods Study. Int. J. Environ. Res. Public. Health 2019, 16, 4320. [Google Scholar] [CrossRef]
- Mandracchia, F.; Tarro, L.; Llauradó, E.; Valls, R.M.; Solà, R. Interventions to Promote Healthy Meals in Full-Service Restaurants and Canteens: A Systematic Review and Meta-Analysis. Nutrients 2021, 13, 1350. [Google Scholar] [CrossRef] [PubMed]
- Van Cauwenberghe, E.; Maes, L.; Spittaels, H.; Van Lenthe, F.J.; Brug, J.; Oppert, J.M.; De Bourdeaudhuij, I. Effectiveness of School-Based Interventions in Europe to Promote Healthy Nutrition in Children and Adolescents: Systematic Review of Published and ‘Grey’ Literature. Br. J. Nutr. 2010, 103, 781–797. [Google Scholar] [CrossRef] [PubMed]
- BRASIL. Ministério da Educação PNAE—Programa Nacional de Alimentação Escolar. Available online: https://www.fnde.gov.br/index.php/legislacoes/institucional-leis/item/3345-lei-n-11947-de-16-de-junho-de-2009 (accessed on 15 August 2022).
- MPBA. Ministério Público da Bahia Programa Escola Sustentável. Available online: https://www.mpba.mp.br/projeto/escola-sustentavel (accessed on 15 August 2022).
- Rossi, L.; Ferrari, M.; Martone, D.; Benvenuti, L.; De Santis, A. The Promotions of Sustainable Lunch Meals in School Feeding Programs: The Case of Italy. Nutrients 2021, 13, 1571. [Google Scholar] [CrossRef] [PubMed]
- Ribal, J.; Fenollosa, M.L.; García-Segovia, P.; Clemente, G.; Escobar, N.; Sanjuán, N. Designing Healthy, Climate Friendly and Affordable School Lunches. Int. J. Life Cycle Assess. 2016, 21, 631–645. [Google Scholar] [CrossRef]
- Batlle-Bayer, L.; Bala, A.; Aldaco, R.; Vidal-Monés, B.; Colomé, R.; Fullana-i-Palmer, P. An Explorative Assessment of Environmental and Nutritional Benefits of Introducing Low-Carbon Meals to Barcelona Schools. Sci. Total Environ. 2021, 756, 143879. [Google Scholar] [CrossRef]
- Eustachio Colombo, P.; Patterson, E.; Lindroos, A.K.; Parlesak, A.; Elinder, L.S. Sustainable and Acceptable School Meals through Optimization Analysis: An Intervention Study. Nutr. J. 2020, 19, 61. [Google Scholar] [CrossRef]
- Menezes, C.A.; Magalhães, L.B.; da Silva, J.T.; da Silva Lago, R.M.R.; Gomes, A.N.; Ladeia, A.M.T.; Vianna, N.A.; Oliveira, R.R. Ultra-Processed Food Consumption Is Related to Higher Trans Fatty Acids, Sugar Intake, and Micronutrient-Impaired Status in Schoolchildren of Bahia, Brazil. Nutrients 2023, 15, 381. [Google Scholar] [CrossRef]
- Kluczkovski, A.; Menezes, C.A.; da Silva, J.T.; Bastos, L.; Lait, R.; Cook, J.; Cruz, B.; Cerqueira, B.; Lago, R.M.R.S.; Gomes, A.N.; et al. An Environmental and Nutritional Evaluation of School Food Menus in Bahia, Brazil That Contribute to Local Public Policy to Promote Sustainability. Nutrients 2022, 14, 1519. [Google Scholar] [CrossRef]
- Mascarenhas, J.M.O.; Silva, R.d.C.R.; Machado, M.E.P.C.; Santos, C.A.d.S.T.; Marchioni, D.M.L.; Barreto, M.L. Validation of a Food Frequency Questionnaire Designed for Adolescents in Salvador, Bahia, Brazil. Revista de Nutrição 2016, 29, 163–171. [Google Scholar] [CrossRef]
- López-Gil, J.F.; García-Hermoso, A.; Sotos-Prieto, M.; Cavero-Redondo, I.; Martínez-Vizcaíno, V.; Kales, S.N. Mediterranean Diet-Based Interventions to Improve Anthropometric and Obesity Indicators in Children and Adolescents: A Systematic Review with Meta-Analysis of Randomized Controlled Trials. Adv. Nutr. 2023, 14, 858–869. [Google Scholar] [CrossRef]
- Rosell-Díaz, M.; Santos-González, E.; Motger-Albertí, A.; Ramió-Torrentà, L.; Garre-Olmo, J.; Pérez-Brocal, V.; Moya, A.; Jové, M.; Pamplona, R.; Puig, J.; et al. Gut Microbiota Links to Serum Ferritin and Cognition. Gut Microbes 2023, 15, 2290318. [Google Scholar] [CrossRef] [PubMed]
- Mori, B.; Barcellos, J.F.M.; Lima, L.E.R.; Zaranza, V.; Autran, R.G.; Camargo, E.B.; Souza, C.S.M. Relationship between Vitamin D and Physical Activity: Systematic Review and Meta-Analysis. Braz. J. Biol. 2022, 82, e263882. [Google Scholar] [CrossRef] [PubMed]
- Jensen, C.F. Vitamin B12 Levels in Children and Adolescents on Plant-Based Diets: A Systematic Review and Meta-Analysis. Nutr. Rev. 2023, 81, 951–966. [Google Scholar] [CrossRef] [PubMed]
- López-Gil, J.F.; García-Hermoso, A.; Martínez-González, M.Á.; Rodríguez-Artalejo, F. Mediterranean Diet and Cardiometabolic Biomarkers in Children and Adolescents. JAMA Netw. Open 2024, 7, e2421976. [Google Scholar] [CrossRef] [PubMed]
- Camargo, J.D.S.A.A.; de Oliveira Zamarchi, T.B.; da Silva Balieiro, A.A.; Pessoa, F.A.C.; Camargo, L.M.A. Prevalence of Obesity, High Blood Pressure, Dyslipidemia and Their Associated Factors in Children and Adolescents in a Municipality in the Brazilian Amazon Region. J. Hum. Growth Dev. 2021, 31, 37–46. [Google Scholar] [CrossRef]
- Faria-Neto, J.R.; Bento, V.F.R.; Baena, C.P.; Olandoski, M.; De Oliveira Gonçalves, L.G.; De Azevedo Abreu, G.; Kuschnir, M.C.C.; Bloch, K.V. ERICA: Prevalence of Dyslipidemia in Brazilian Adolescents. Rev. Saude Publica 2016, 50, 1s–10s. [Google Scholar] [CrossRef]
- Kuschnir, M.C.C.; Bloch, K.V.; Szklo, M.; Klein, C.H.; Barufaldi, L.A.; De Azevedo Abreu, G.; Schaan, B.; Da Veiga, G.V.; Da Silva, T.L.N.; De Vasconcellos, M.T.L.; et al. ERICA: Prevalence of Metabolic Syndrome in Brazilian Adolescents. Rev. Saude Publica 2016, 50, 1s–13s. [Google Scholar] [CrossRef]
- Barber, T.M.; Kabisch, S.; Pfeiffer, A.F.H.; Weickert, M.O. The Effects of the Mediterranean Diet on Health and Gut Microbiota. Nutrients 2023, 15, 2150. [Google Scholar] [CrossRef]
- Ozsoy, S.; Sultanoglu, N.; Sanlidag, T. The Role of Mediterranean Diet and Gut Microbiota in Type-2 Diabetes Mellitus Associated with Obesity (Diabesity). J. Prev. Med. Hyg. 2022, 63, E87–E92. [Google Scholar]
- Rinott, E.; Meir, A.Y.; Tsaban, G.; Zelicha, H.; Kaplan, A.; Knights, D.; Tuohy, K.; Scholz, M.U.; Koren, O.; Stampfer, M.J.; et al. The Effects of the Green-Mediterranean Diet on Cardiometabolic Health Are Linked to Gut Microbiome Modifications: A Randomized Controlled Trial. Genome Med. 2022, 14, 29. [Google Scholar] [CrossRef]
- Menezes, C.A.; Zanette, D.L.; Magalhães, L.B.; da Silva, J.T.; Lago, R.M.R.S.; Gomes, A.N.; dos Santos, R.A.; Ladeia, A.M.T.; Vianna, N.A.; Oliveira, R.R. Higher Bifidobacterium Spp. Fecal Abundance Is Associated with a Lower Prevalence of Hyperglycemia and Cardiovascular Risk Markers among Schoolchildren from Bahia, Brazil. PLoS ONE 2023, 18, e0290813. [Google Scholar] [CrossRef] [PubMed]
- Fava, F.; Ulaszewska, M.M.; Scholz, M.; Stanstrup, J.; Nissen, L.; Mattivi, F.; Vermeiren, J.; Bosscher, D.; Pedrolli, C.; Tuohy, K.M. Impact of Wheat Aleurone on Biomarkers of Cardiovascular Disease, Gut Microbiota and Metabolites in Adults with High Body Mass Index: A Double-Blind, Placebo-Controlled, Randomized Clinical Trial. Eur. J. Nutr. 2022, 61, 2651–2671. [Google Scholar] [CrossRef] [PubMed]
- Crispim, S.P. Manual Fotográfico de Quantificação Alimentar, 1st ed.; Universidade Federal do Paraná: Curitiba, Brazil, 2017; ISBN 9788568566084. [Google Scholar]
- UNICAMP TBCA—Tabela Brasileira de Composição de Alimentos. Available online: http://www.tbca.net.br/base-dados/composicao_alimentos.php (accessed on 15 August 2022).
- IBGE (Instituto Brasileiro de Geografia e Estatística). POF—Pesquisa de Orçamentos Familiares 2008–2009—Tabelas de Composição Nutricional Dos Alimentos Consumidos No Brasil. Available online: https://biblioteca.ibge.gov.br/visualizacao/livros/liv50002.pdf (accessed on 15 August 2022).
- BRASIL. Ministério da Saúde Guia Alimentar Para a População Brasileira. Available online: https://bvsms.saude.gov.br/bvs/publicacoes/guia_alimentar_populacao_brasileira_2ed.pdf (accessed on 15 August 2022).
- WHO. World Health Organization Curva de Crescimento Infantil—IMC/I (5–19 Anos). Available online: https://www.who.int/toolkits/growth-reference-data-for-5to19-years/indicators/bmi-for-age (accessed on 15 August 2022).
- Fernández, J.R.; Redden, D.T.; Pietrobelli, A.; Allison, D.B. Waist Circumference Percentiles in Nationally Representative Samples of African-American, European-American, and Mexican-American Children and Adolescents. J. Pediatr. 2004, 145, 439–444. [Google Scholar] [CrossRef] [PubMed]
- McCarthy, H.D.; Ashwell, M. A Study of Central Fatness Using Waist-to-Height Ratios in UK Children and Adolescents over Two Decades Supports the Simple Message—‘Keep Your Waist Circumference to Less than Half Your Height’. Int. J. Obes. 2006, 30, 988–992. [Google Scholar] [CrossRef] [PubMed]
- Nambiar, S.; Truby, H.; Abbott, R.A.; Davies, P.S.W. Validating the Waist-Height Ratio and Developing Centiles for Use amongst Children and Adolescents. Acta Paediatr. 2009, 98, 148–152. [Google Scholar] [CrossRef]
- Albesiano, E.; Messmer, B.T.; Damle, R.N.; Allen, S.L.; Rai, K.R.; Chiorazzi, N. Activation-Induced Cytidine Deaminase in Chronic Lymphocytic Leukemia B Cells: Expression as Multiple Forms in a Dynamic, Variably Sized Fraction of the Clone. Blood 2003, 102, 3333–3339. [Google Scholar] [CrossRef]





| Laboratory Findings | |||
|---|---|---|---|
| D0 (n = 122) n (%) | D240 (n = 106) n (%) | p 1 | |
| Low hemoglobin | 13 (11) | 2 (2) | 0.007 |
| Low ferritin | 8 (7) | 7 (7) | 1.000 |
| Vitamin D deficiency | 1 (1) | 2 (2) | 0.598 |
| Vitamin B12 deficiency | 19 (16) | 8 (9) | 0.210 |
| Hyperglycemia | 7 (6) | 3 (4) | 0.743 |
| High total cholesterol | 17 (14) | 6 (6) | 0.049 |
| High LDL-cholesterol | 6 (5) | 1 (1) | 0.127 |
| Hypertriglyceridemia | 16 (13) | 24 (23) | 0.079 |
| Outcomes | Intervention | BIF Abundance | ||||
|---|---|---|---|---|---|---|
| EC | SE | p | EC | SE | p | |
| BMI | −0.090 | 0.311 | 0.772 | −0.00015 | 0.00011 | 0.167 |
| WHtR | −0.010 | 0.004 | 0.023 | −0.00001 | 0.00001 | 0.070 |
| Hemoglobin | 0.752 | 0.125 | <0.001 | 0.00001 | 0.00003 | 0.516 |
| FBG | 2.159 | 1.317 | 0.101 | −0.00068 | 0.00034 | 0.043 |
| Total Cholesterol | −0.322 | 3.180 | 0.919 | −0.00181 | 0.00105 | 0.086 |
| LDL-C | −7.488 | 2.836 | 0.008 | −0.00203 | 0.00082 | 0.012 |
| Triglycerides | 17.041 | 5.136 | <0.001 | −0.00057 | 0.00120 | 0.631 |
Disclaimer/Publisher’s Note: The statements, opinions and data contained in all publications are solely those of the individual author(s) and contributor(s) and not of MDPI and/or the editor(s). MDPI and/or the editor(s) disclaim responsibility for any injury to people or property resulting from any ideas, methods, instructions or products referred to in the content. |
© 2024 by the authors. Licensee MDPI, Basel, Switzerland. This article is an open access article distributed under the terms and conditions of the Creative Commons Attribution (CC BY) license (https://creativecommons.org/licenses/by/4.0/).
Share and Cite
Menezes, C.A.; Zanette, D.L.; Magalhães, L.B.; Lago, R.M.R.d.S.; Gomes, A.N.; dos Santos, R.A.; Ledeia, A.M.T.; Vianna, N.A.; Oliveira, R.R. Impact of Plant-Based School Meals on Gut Bifidobacterium spp. Abundance and Health Outcomes in Schoolchildren from Bahia, Brazil. Int. J. Mol. Sci. 2024, 25, 13073. https://doi.org/10.3390/ijms252313073
Menezes CA, Zanette DL, Magalhães LB, Lago RMRdS, Gomes AN, dos Santos RA, Ledeia AMT, Vianna NA, Oliveira RR. Impact of Plant-Based School Meals on Gut Bifidobacterium spp. Abundance and Health Outcomes in Schoolchildren from Bahia, Brazil. International Journal of Molecular Sciences. 2024; 25(23):13073. https://doi.org/10.3390/ijms252313073
Chicago/Turabian StyleMenezes, Camilla Almeida, Dalila Lucíola Zanette, Letícia Bastos Magalhães, Renata Maria Rabello da Silva Lago, Alexvon Nunes Gomes, Ronald Alves dos Santos, Ana Marice Teixeira Ledeia, Nelzair Araújo Vianna, and Ricardo Riccio Oliveira. 2024. "Impact of Plant-Based School Meals on Gut Bifidobacterium spp. Abundance and Health Outcomes in Schoolchildren from Bahia, Brazil" International Journal of Molecular Sciences 25, no. 23: 13073. https://doi.org/10.3390/ijms252313073
APA StyleMenezes, C. A., Zanette, D. L., Magalhães, L. B., Lago, R. M. R. d. S., Gomes, A. N., dos Santos, R. A., Ledeia, A. M. T., Vianna, N. A., & Oliveira, R. R. (2024). Impact of Plant-Based School Meals on Gut Bifidobacterium spp. Abundance and Health Outcomes in Schoolchildren from Bahia, Brazil. International Journal of Molecular Sciences, 25(23), 13073. https://doi.org/10.3390/ijms252313073

