Biosynthesis of Phenolic Compounds of Medicago truncatula After Inoculation with Selected PGPR Strains
Abstract
1. Introduction
2. Results
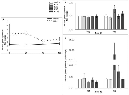
2.1. Effect of Rhizobacteria on the Expression of Phenylalanine Ammonia-Lyase (PAL) Genes
2.2. Effect of Rhizobacteria on Phenylalanine Ammonia-Lyase Activity
2.3. Effect on the Content of Phenolic Compounds
3. Discussion
4. Materials and Methods
4.1. Plant Culture and Inoculation
4.2. Determination of Total Phenolic Compounds
4.3. Analysis of Phenylalanine Ammonia-Lyase (PAL) Activity
4.4. Effect of Bacteria on PAL Gene Expression in M. truncatula
4.4.1. RNA Isolation from Roots/Seedlings and Reverse Transcription
4.4.2. Sequence Alignment and Primer Design for Gene Expression Analysis
4.4.3. Semi-Quantitative PCR Analysis of Gene Expression
4.5. Statistical Analyses
5. Conclusions
Supplementary Materials
Author Contributions
Funding
Institutional Review Board Statement
Informed Consent Statement
Data Availability Statement
Conflicts of Interest
References
- Trivedi, P.; Leach, J.E.; Tringe, S.G.; Sa, T.; Singh, B.K. Plant–Microbiome Interactions: From Community Assembly to Plant Health. Nat. Rev. Microbiol. 2020, 18, 607–621. [Google Scholar] [CrossRef] [PubMed]
- Trivedi, P.; Batista, B.D.; Bazany, K.E.; Singh, B.K. Plant–Microbiome Interactions under a Changing World: Responses, Consequences and Perspectives. New Phytol. 2022, 234, 1951–1959. [Google Scholar] [CrossRef] [PubMed]
- Agler, M.T.; Ruhe, J.; Kroll, S.; Morhenn, C.; Kim, S.-T.; Weigel, D.; Kemen, E.M. Microbial Hub Taxa Link Host and Abiotic Factors to Plant Microbiome Variation. PLoS Biol. 2016, 14, e1002352. [Google Scholar] [CrossRef]
- Trivedi, P.; Mattupalli, C.; Eversole, K.; Leach, J.E. Enabling Sustainable Agriculture through Understanding and Enhancement of Microbiomes. New Phytol. 2021, 230, 2129–2147. [Google Scholar] [CrossRef]
- Naylor, D.; Coleman-Derr, D. Drought Stress and Root-Associated Bacterial Communities. Front. Plant Sci. 2018, 8, 2223. [Google Scholar] [CrossRef]
- Berendsen, R.L.; Pieterse, C.M.J.; Bakker, P.A.H.M. The Rhizosphere Microbiome and Plant Health. Trends Plant Sci. 2012, 17, 478–486. [Google Scholar] [CrossRef]
- Whipps, J.M. Microbial Interactions and Biocontrol in the Rhizosphere. J. Exp. Bot. 2001, 52, 487–511. [Google Scholar] [CrossRef] [PubMed]
- Zhang, S.; Li, C.; Si, J.; Han, Z.; Chen, D. Action Mechanisms of Effectors in Plant-Pathogen Interaction. Int. J. Mol. Sci. 2022, 23, 6758. [Google Scholar] [CrossRef]
- Kloepper, J.W.; Schroth, M.N. Relationship of in Vitro Antibiosis of Plant Growth-Promoting Rhizobacteria to Plant Growth and the Displacement of Root Microflora. Phytopathology 1981, 71, 1020–1024. [Google Scholar] [CrossRef]
- Glick, B.R.; Holguin, G.; Patten, C.L.; Penrose, D.M. Biochemical and Genetic Mechanisms Used by Plant Growth Promoting Bacteria; World Scientific: Singapore, 1999; ISBN 1783262133. [Google Scholar]
- Bhattacharyya, P.N.; Jha, D.K. Plant Growth-Promoting Rhizobacteria (PGPR): Emergence in Agriculture. World J. Microbiol. Biotechnol. 2012, 28, 1327–1350. [Google Scholar] [CrossRef]
- Mendes, R.; Kruijt, M.; De Bruijn, I.; Dekkers, E.; Van Der Voort, M.; Schneider, J.H.M.; Piceno, Y.M.; DeSantis, T.Z.; Andersen, G.L.; Bakker, P.A.H.M. Deciphering the Rhizosphere Microbiome for Disease-Suppressive Bacteria. Science 2011, 332, 1097–1100. [Google Scholar] [CrossRef]
- Martínez-Viveros, O.; Jorquera, M.A.; Crowley, D.E.; Gajardo, G.; Mora, M.L. Mechanisms and Practical Considerations Involved in Plant Growth Promotion by Rhizobacteria. J. Soil Sci. Plant Nutr. 2010, 10, 293–319. [Google Scholar] [CrossRef]
- Pieterse, C.M.J.; Zamioudis, C.; Berendsen, R.L.; Weller, D.M.; Van Wees, S.C.M.; Bakker, P.A.H.M. Induced Systemic Resistance by Beneficial Microbes. Annu. Rev. Phytopathol. 2014, 52, 347–375. [Google Scholar] [CrossRef]
- Shah, A.; Nazari, M.; Antar, M.; Msimbira, L.A.; Naamala, J.; Lyu, D.; Rabileh, M.; Zajonc, J.; Smith, D.L. PGPR in Agriculture: A Sustainable Approach to Increasing Climate Change Resilience. Front. Sustain. Food Syst. 2021, 5, 667546. [Google Scholar] [CrossRef]
- Aroca, R.; Ruiz-Lozano, J.M.; Zamarreño, Á.M.; Paz, J.A.; García-Mina, J.M.; Pozo, M.J.; López-Ráez, J.A. Arbuscular Mycorrhizal Symbiosis Influences Strigolactone Production under Salinity and Alleviates Salt Stress in Lettuce Plants. J. Plant Physiol. 2013, 170, 47–55. [Google Scholar] [CrossRef]
- Choudhary, D.K.; Prakash, A.; Johri, B.N. Induced Systemic Resistance (ISR) in Plants: Mechanism of Action. Indian J. Microbiol. 2007, 47, 289–297. [Google Scholar] [CrossRef] [PubMed]
- Bakker, P.A.H.M.; Doornbos, R.F.; Zamioudis, C.; Berendsen, R.L.; Pieterse, C.M.J. Induced Systemic Resistance and the Rhizosphere Microbiome. Plant Pathol. J. 2013, 29, 136–143. [Google Scholar] [CrossRef]
- Pieterse, C.M.J.; Van der Does, D.; Zamioudis, C.; Leon-Reyes, A.; Van Wees, S.C.M. Hormonal Modulation of Plant Immunity. Annu. Rev. Cell Dev. Biol. 2012, 28, 489–521. [Google Scholar] [CrossRef]
- Van Loon, L.C.; Bakker, P.A.H.M.; Pieterse, C.M.J. Systemic resistance induced by rhizosphere bacteria. Annu. Rev. Phytopathol. 1998, 36, 453–483. [Google Scholar] [CrossRef]
- Yu, Y.; Gui, Y.; Li, Z.; Jiang, C.; Guo, J.; Niu, D. Induced Systemic Resistance for Improving Plant Immunity by Beneficial Microbes. Plants 2022, 11, 386. [Google Scholar] [CrossRef]
- Daroodi, Z.; Taheri, P.; Tarighi, S. Direct Antagonistic Activity and Tomato Resistance Induction of the Endophytic Fungus Acrophialophora Jodhpurensis against Rhizoctonia Solani. Biol. Control 2021, 160, 104696. [Google Scholar] [CrossRef]
- Guo, Q.; Li, Y.; Lou, Y.; Shi, M.; Jiang, Y.; Zhou, J.; Sun, Y.; Xue, Q.; Lai, H. Bacillus Amyloliquefaciens Ba13 Induces Plant Systemic Resistance and Improves Rhizosphere Microecology against Tomato Yellow Leaf Curl Virus Disease. Appl. Soil Ecol. 2019, 137, 154–166. [Google Scholar] [CrossRef]
- Wang, M.; Xue, J.; Ma, J.; Feng, X.; Ying, H.; Xu, H. Streptomyces Lydicus M01 Regulates Soil Microbial Community and Alleviates Foliar Disease Caused by Alternaria Alternata on Cucumbers. Front. Microbiol. 2020, 11, 942. [Google Scholar] [CrossRef]
- Chakraborty, U.; Chakraborty, B.; Basnet, M. Plant Growth Promotion and Induction of Resistance in Camellia Sinensis by Bacillus Megaterium. J. Basic Microbiol. 2006, 46, 186–195. [Google Scholar] [CrossRef]
- Dixon, R.A.; Paiva, N.L. Stress-Induced Phenylpropanoid Metabolism. Plant Cell 1995, 7, 1085. [Google Scholar] [CrossRef]
- Vogt, T. Phenylpropanoid Biosynthesis. Mol. Plant 2010, 3, 2–20. [Google Scholar] [CrossRef]
- Liu, R.; Xu, S.; Li, J.; Hu, Y.; Lin, Z. Expression Profile of a PAL Gene from Astragalus Membranaceus Var. Mongholicus and Its Crucial Role in Flux into Flavonoid Biosynthesis. Plant Cell Rep. 2006, 25, 705–710. [Google Scholar] [CrossRef]
- Singh, K.; Kumar, S.; Rani, A.; Gulati, A.; Ahuja, P.S. Phenylalanine Ammonia-Lyase (PAL) and Cinnamate 4-Hydroxylase (C4H) and Catechins (Flavan-3-Ols) Accumulation in Tea. Funct. Integr. Genom. 2009, 9, 125–134. [Google Scholar] [CrossRef]
- Hahlbrock, K.; Scheel, D. Physiology and Molecular Biology of Phenylpropanoid Metabolism. Annu. Rev. Plant Biol. 1989, 40, 347–369. [Google Scholar] [CrossRef]
- Gholami, A.; De Geyter, N.; Pollier, J.; Goormachtig, S.; Goossens, A. Natural Product Biosynthesis in Medicago Species. Nat. Prod. Rep. 2014, 31, 356–380. [Google Scholar] [CrossRef]
- Schwede, T.F.; Rétey, J.; Schulz, G.E. Crystal Structure of Histidine Ammonia-Lyase Revealing a Novel Polypeptide Modification as the Catalytic Electrophile. Biochemistry 1999, 38, 5355–5361. [Google Scholar] [CrossRef] [PubMed]
- Purwar, S.; Sundaram, S.; Sinha, S.; Gupta, A.; Dobriyall, N.; Kumar, A. Expression and in Silico Characterization of Phenylalanine Ammonium Lyase against Karnal Bunt (Tilletia indica) in Wheat (Triticum aestivum). Bioinformation 2013, 9, 1013. [Google Scholar] [CrossRef]
- Rawal, H.C.; Singh, N.K.; Sharma, T.R. Conservation, Divergence, and Genome-Wide Distribution of PAL and POX A Gene Families in Plants. Int. J. Genom. 2013, 2013, 678969. [Google Scholar] [CrossRef]
- Wanner, L.A.; Li, G.; Ware, D.; Somssich, I.E.; Davis, K.R. The Phenylalanine Ammonia-Lyase Gene Family in Arabidopsis Thaliana. Plant Mol. Biol. 1995, 27, 327–338. [Google Scholar] [CrossRef]
- Raes, J.; Rohde, A.; Christensen, J.H.; Van de Peer, Y.; Boerjan, W. Genome-Wide Characterization of the Lignification Toolbox in Arabidopsis. Plant Physiol. 2003, 133, 1051–1071. [Google Scholar] [CrossRef] [PubMed]
- Tuskan, G.A.; Difazio, S.; Jansson, S.; Bohlmann, J.; Grigoriev, I.; Hellsten, U.; Putnam, N.; Ralph, S.; Rombauts, S.; Salamov, A. The Genome of Black Cottonwood, Populus Trichocarpa (Torr. & Gray). Science 2006, 313, 1596–1604. [Google Scholar] [CrossRef]
- Bagal, U.R.; Leebens-Mack, J.H.; Lorenz, W.W.; Dean, J.F.D. The Phenylalanine Ammonia Lyase (PAL) Gene Family Shows a Gymnosperm-Specific Lineage. BMC Genom. 2012, 13, S1. [Google Scholar] [CrossRef] [PubMed]
- Dong, C.; Ning, C.A.O.; Zhang, Z.; Shang, Q. Phenylalanine Ammonia-Lyase Gene Families in Cucurbit Species: Structure, Evolution, and Expression. J. Integr. Agric. 2016, 15, 1239–1255. [Google Scholar] [CrossRef]
- Feng, Y.; Huang, Q.; Zhang, R.; Li, J.; Luo, K.; Chen, Y. Molecular characterisation of PAL gene family reveals their role in abiotic stress response in lucerne (Medicago sativa). Crop Pasture Sci. 2022, 73, 300–311. [Google Scholar] [CrossRef]
- Ren, W.; Wang, Y.; Xu, A.; Zhao, Y. Genome-Wide Identification and Characterization of the Phenylalanine Ammonia-Lyase (PAL) Gene Family in Medicago Truncatula. Legume Res. Int. J. 2019, 42, 461–466. [Google Scholar] [CrossRef]
- Handberg, K.; Stougaard, J. Lotus Japonicus, an Autogamous, Diploid Legume Species for Classical and Molecular Genetics. Plant J. 1992, 2, 487–496. [Google Scholar] [CrossRef]
- Tadege, M.; Wen, J.; He, J.; Tu, H.; Kwak, Y.; Eschstruth, A.; Cayrel, A.; Endre, G.; Zhao, P.X.; Chabaud, M. Large-scale Insertional Mutagenesis Using the Tnt1 Retrotransposon in the Model Legume Medicago Truncatula. Plant J. 2008, 54, 335–347. [Google Scholar] [CrossRef] [PubMed]
- Young, N.D.; Debellé, F.; Oldroyd, G.E.D.; Geurts, R.; Cannon, S.B.; Udvardi, M.K.; Benedito, V.A.; Mayer, K.F.X.; Gouzy, J.; Schoof, H. The Medicago Genome Provides Insight into the Evolution of Rhizobial Symbioses. Nature 2011, 480, 520–524. [Google Scholar] [CrossRef] [PubMed]
- Roy, B.A.; Kirchner, J.W. Evolutionary Dynamics of Pathogen Resistance and Tolerance. Evolution 2000, 54, 51–63. [Google Scholar] [CrossRef]
- Glazebrook, J. Contrasting Mechanisms of Defense against Biotrophic and Necrotrophic Pathogens. Annu. Rev. Phytopathol. 2005, 43, 205–227. [Google Scholar] [CrossRef]
- Huang, J.; Gu, M.; Lai, Z.; Fan, B.; Shi, K.; Zhou, Y.-H.; Yu, J.-Q.; Chen, Z. Functional Analysis of the Arabidopsis PAL Gene Family in Plant Growth, Development, and Response to Environmental Stress. Plant Physiol. 2010, 153, 1526–1538. [Google Scholar] [CrossRef]
- Kim, D.S.; Hwang, B.K. An Important Role of the Pepper Phenylalanine Ammonia-Lyase Gene (PAL1) in Salicylic Acid-Dependent Signalling of the Defence Response to Microbial Pathogens. J. Exp. Bot. 2014, 65, 2295–2306. [Google Scholar] [CrossRef]
- Monteón-Ojeda, A.; Mora-Aguilera, J.A.; Hernández-Castro, E.; Sandoval-Islas, J.S.; Azuara-Domínguez, A.; Damián-Nava, A. Induction of Systemic Acquired Resistance Associated with the Enzyme Activity of Phenylalanine Ammonia-Lyase, Peroxidase, and Polyphenoloxidase and Its Effect on the Severity of Anthracnose on Nursery Mango Plants. Arch. Phytopathol. Plant Prot. 2022, 55, 1250–1264. [Google Scholar] [CrossRef]
- Tonnessen, B.W.; Manosalva, P.; Lang, J.M.; Baraoidan, M.; Bordeos, A.; Mauleon, R.; Oard, J.; Hulbert, S.; Leung, H.; Leach, J.E. Rice Phenylalanine Ammonia-Lyase Gene OsPAL4 Is Associated with Broad Spectrum Disease Resistance. Plant Mol. Biol. 2015, 87, 273–286. [Google Scholar] [CrossRef]
- Liu, Y.; Liu, L.; Yang, S.; Zeng, Q.; He, Z.; Liu, Y. Cloning, Characterization and Expression of the Phenylalanine Ammonia-Lyase Gene (PaPAL) from Spruce Picea Asperata. Forests 2019, 10, 613. [Google Scholar] [CrossRef]
- Wu, Z.; Gui, S.; Wang, S.; Ding, Y. Molecular Evolution and Functional Characterisation of an Ancient Phenylalanine Ammonia-Lyase Gene (NnPAL1) from Nelumbo Nucifera: Novel Insight into the Evolution of the PAL Family in Angiosperms. BMC Evol. Biol. 2014, 14, 1–14. [Google Scholar] [CrossRef] [PubMed]
- Shine, M.B.; Yang, J.; El-Habbak, M.; Nagyabhyru, P.; Fu, D.; Navarre, D.; Ghabrial, S.; Kachroo, P.; Kachroo, A. Cooperative Functioning between Phenylalanine Ammonia Lyase and Isochorismate Synthase Activities Contributes to Salicylic Acid Biosynthesis in Soybean. New Phytol. 2016, 212, 627–636. [Google Scholar] [CrossRef] [PubMed]
- Thomas, J.; Kim, H.R.; Rahmatallah, Y.; Wiggins, G.; Yang, Q.; Singh, R.; Glazko, G.; Mukherjee, A. RNA-Seq Reveals Differentially Expressed Genes in Rice (Oryza sativa) Roots during Interactions with Plant-Growth Promoting Bacteria, Azospirillum Brasilense. PLoS ONE 2019, 14, e0217309. [Google Scholar] [CrossRef] [PubMed]
- Jain, S.; Vaishnav, A.; Varma, A.; Choudhary, D.K. Comparative Expression Analysis of Defence-Related Genes in Bacillus-treated Glycine max upon challenge inoculation with selective fungal phytopathogens. Curr. Sci. 2018, 115, 1950. [Google Scholar] [CrossRef]
- Chen, Y.; Li, F.; Tian, L.; Huang, M.; Deng, R.; Li, X.; Chen, W.; Wu, P.; Li, M.; Jiang, H. The Phenylalanine Ammonia Lyase Gene LjPAL1 Is Involved in Plant Defense Responses to Pathogens and Plays Diverse Roles in Lotus Japonicus-Rhizobium Symbioses. Mol. Plant-Microbe Interact. 2017, 30, 739–753. [Google Scholar] [CrossRef]
- Chen, T.; Duan, L.; Zhou, B.; Yu, H.; Zhu, H.; Cao, Y.; Zhang, Z. Interplay of Pathogen-Induced Defense Responses and Symbiotic Establishment in Medicago Truncatula. Front. Microbiol. 2017, 8, 973. [Google Scholar] [CrossRef]
- Ali, M.B.; McNear, D.H. Induced Transcriptional Profiling of Phenylpropanoid Pathway Genes Increased Flavonoid and Lignin Content in Arabidopsisleaves in Response to Microbial Products. BMC Plant Biol. 2014, 14, 1–14. [Google Scholar] [CrossRef]
- Bhattacharyya, C.; Banerjee, S.; Acharya, U.; Mitra, A.; Mallick, I.; Haldar, A.; Haldar, S.; Ghosh, A.; Ghosh, A. Evaluation of Plant Growth Promotion Properties and Induction of Antioxidative Defense Mechanism by Tea Rhizobacteria of Darjeeling, India. Sci. Rep. 2020, 10, 15536. [Google Scholar] [CrossRef]
- Singh, R.P.; Jha, P.N. The PGPR Stenotrophomonas Maltophilia SBP-9 Augments Resistance against Biotic and Abiotic Stress in Wheat Plants. Front. Microbiol. 2017, 8. [Google Scholar] [CrossRef]
- Basha, S.A.; Sarma, B.K.; Singh, D.P.; Annapurna, K.; Singh, U.P. Differential Methods of Inoculation of Plant Growth-Promoting Rhizobacteria Induce Synthesis of Phenylalanine Ammonia-Lyase and Phenolic Compounds Differentially in Chickpca. Folia Microbiol. 2006, 51, 463–468. [Google Scholar] [CrossRef]
- Bahadur, A.; Singh, U.P.; Sarnia, B.K.; Singh, D.P.; Singh, K.P.; Singh, A. Foliar Application of Plant Growth-Promoting Rhizobacteria Increases Antifungal Compounds in Pea (Pisum sativum) against Erysiphe Pisi. Mycobiology 2007, 35, 129–134. [Google Scholar] [CrossRef] [PubMed]
- Singh, U.P.; Sarma, B.K.; Singh, D.P. Effect of Plant Growth-Promoting Rhizobacteria and Culture Filtrate of Sclerotium Rolfsii on Phenolic and Salicylic Acid Contents in Chickpea (Cicer arietinum). Curr. Microbiol. 2003, 46, 131–140. [Google Scholar] [CrossRef] [PubMed]
- Jain, A.; Singh, S.; Kumar Sarma, B.; Bahadur Singh, H. Microbial Consortium–Mediated Reprogramming of Defence Network in Pea to Enhance Tolerance against Sclerotinia Sclerotiorum. J. Appl. Microbiol. 2012, 112, 537–550. [Google Scholar] [CrossRef] [PubMed]
- Singh, A.; Sarma, B.K.; Upadhyay, R.S.; Singh, H.B. Compatible Rhizosphere Microbes Mediated Alleviation of Biotic Stress in Chickpea through Enhanced Antioxidant and Phenylpropanoid Activities. Microbiol. Res. 2013, 168, 33–40. [Google Scholar] [CrossRef]
- Meena, B.; Radhajeyalakshmi, R.; Vidhyasekaran, P.; Velazhahan, R. Effect of Foliar Application of Pseudomonas Fluoresencens on Activities of Phenylalanine Ammonia-Lyase, Chitinase and β-1,3–Glucanase and Accumulation of Phenolics in Rice. Acta Phytopathol. Entomol. Hung. 2000, 34, 307–315. [Google Scholar] [CrossRef]
- Jasinski, M.; Banasiak, J.; Radom, M.; Kalitkiewicz, A.; Figlerowicz, M. Full-Size ABC Transporters from the ABCG Subfamily in Medicago Truncatula. Mol. Plant-Microbe Interact. 2009, 22, 921–931. [Google Scholar] [CrossRef]
- Edwards, R.; Kessmann, H. Isoflavonoid Phytoalexins and Their Biosynthetic Enzymes. Mol. Plant Pathol. 1992, 2, 45–62. [Google Scholar] [CrossRef]
- Bradford, M.M. A Rapid and Sensitive Method for the Quantitation of Microgram Quantities of Protein Utilizing the Principle of Protein-Dye Binding. Anal. Biochem. 1976, 72, 248–254. [Google Scholar] [CrossRef]
- Livak, K.J.; Schmittgen, T.D. Analysis of Relative Gene Expression Data Using Real-Time Quantitative PCR and the 2−ΔΔCT Method. Methods 2001, 25, 402–408. [Google Scholar] [CrossRef]









| Gene Name | Gene Product Name | Locus Number | Sequence for PCR Primers (5′ → 3′) | Sequence for qPCR Primers (5′ → 3′) |
|---|---|---|---|---|
| MtPAL 1 | phenylalanine ammonia-lyase 1 | Medtr1g064090 | TACCACTTCGCGGTACAATCAC TATGCTCCATAATAGCAGCAGCTT | not tested |
| MtPAL 2 | phenylalanine ammonia-lyase 2 | Medtr1g094780 | GCTTCATTGGTTCTTTTTGATACAA TTCCTCCATGAAGTGCCTTATCC | CACTTCAGAAGCCCAAACAAGATAG TGTTGCGTATCGAATCACTTCAA |
| MtPAL 3 | phenylalanine ammonia-lyase 3 | Medtr2g094960 | ACAAGATTAGCTTTGGCTGCT GCCACTTGACTCAGTCTTTTCT | GCGATGGCTGCATATTGTTCT TTATGCTGTTCAGCGCTTTGG |
| MtPAL 4 | phenylalanine ammonia-lyase 4 | Medtr5g098720 | ACACCAATCTTGCCATTGCG TCCATAATAGCAGCTGCCTCG | AGCAGGTCTGAGTTCTGGGTTCT GAAGCCACACCAGATCCAACA |
| MtPAL 6 | phenylalanine ammonia-lyase 6 | Medtr7g101425 | TACACGTTTGGCTCTCGCAT TGGCTACTTGACTTACGGTGT | not tested |
| ACT | actin 2 | Medtr7g026230 | TATCATAGATGGTTGGAACAGGACC GGAGACAGCCAGGACCAGC | TCAATGTGCCTGCCATGTATGT CTCACACCGTCACCAGAATCC |
Disclaimer/Publisher’s Note: The statements, opinions and data contained in all publications are solely those of the individual author(s) and contributor(s) and not of MDPI and/or the editor(s). MDPI and/or the editor(s) disclaim responsibility for any injury to people or property resulting from any ideas, methods, instructions or products referred to in the content. |
© 2024 by the authors. Licensee MDPI, Basel, Switzerland. This article is an open access article distributed under the terms and conditions of the Creative Commons Attribution (CC BY) license (https://creativecommons.org/licenses/by/4.0/).
Share and Cite
Kisiel, A.; Miller, T.; Łobodzińska, A.; Rybak, K. Biosynthesis of Phenolic Compounds of Medicago truncatula After Inoculation with Selected PGPR Strains. Int. J. Mol. Sci. 2024, 25, 12684. https://doi.org/10.3390/ijms252312684
Kisiel A, Miller T, Łobodzińska A, Rybak K. Biosynthesis of Phenolic Compounds of Medicago truncatula After Inoculation with Selected PGPR Strains. International Journal of Molecular Sciences. 2024; 25(23):12684. https://doi.org/10.3390/ijms252312684
Chicago/Turabian StyleKisiel, Anna, Tymoteusz Miller, Adrianna Łobodzińska, and Kinga Rybak. 2024. "Biosynthesis of Phenolic Compounds of Medicago truncatula After Inoculation with Selected PGPR Strains" International Journal of Molecular Sciences 25, no. 23: 12684. https://doi.org/10.3390/ijms252312684
APA StyleKisiel, A., Miller, T., Łobodzińska, A., & Rybak, K. (2024). Biosynthesis of Phenolic Compounds of Medicago truncatula After Inoculation with Selected PGPR Strains. International Journal of Molecular Sciences, 25(23), 12684. https://doi.org/10.3390/ijms252312684

