The Effect of CBM1 and Linker on the Oxidase, Peroxidase and Monooxygenase Activities of AA9 LPMOs: Insight into Their Correlation with the Nature of Reductants and Crystallinity of Celluloses
Abstract
1. Introduction
2. Results
2.1. Construction and Expression of the Wild-Type AA9 LPMOs and Variants
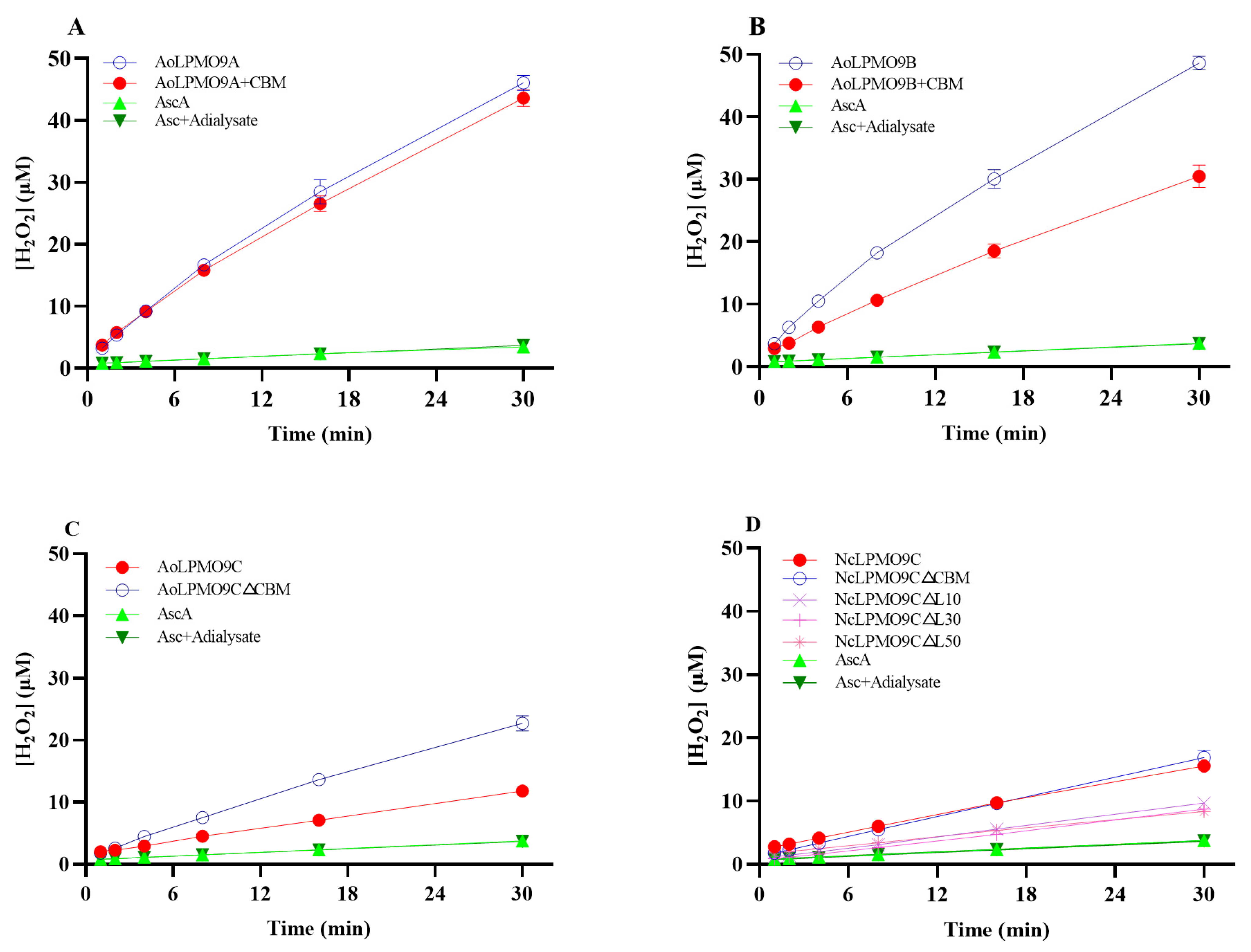
2.2. Oxidase Activity Analysis on Basis of H2O2 Generation by AA9 LPMOs
2.3. Kinetic Constants of Wild-Type AA9 LPMOs and Variants for 2,6-DMP and H2O2
2.4. Substrate Binding Affinity of Wild-Type AA9 LPMOs and Variants
2.5. Effects of CBM1 and Linker on Monooxygenase Activity of Wild-Type AA9 LPMOs and Variants Using AscA as the Electron Donor
2.6. Effects of CBM1 and Linker on Monooxygenase Activity of Wild-Type AA9 LPMOs and Variants Using AfCDH as the Electron Donor
2.7. Changes in H2O2 Concentration During Substrate-Oxidation Process of Wild-Type AA9 LPMOs and Variants Using AscA or AfCDH as Electron Donor
3. Discussion
4. Materials and Methods
4.1. Strains and Plasmids
4.2. Cellulosic Substrate Preparation
4.3. Construction of Variants
4.4. Expression and Purification of AA9 LPMO Variants and AfCDH
4.5. The Oxidase Activity Assay
4.6. The Peroxidase Activity Assay
4.7. Measurement of Adsorption Capacity
4.8. Effects of CBM1 and Linker on Monooxygenase Activity of Wild-Type AA9 LPMOs and Variants Using AfCDH or AscA as Electron Donor
4.9. H2O2 Concentration Measurement
4.10. Statistical Analysis
5. Conclusions
Supplementary Materials
Author Contributions
Funding
Institutional Review Board Statement
Informed Consent Statement
Data Availability Statement
Acknowledgments
Conflicts of Interest
Abbreviations
| CBM | Carbohydrate-binding module |
| AA9 | Auxiliary activity 9 |
| LPMO | Lytic polysaccharide monooxygenase |
| AscA | Ascorbic acid |
| CDH | Cellobiose dehydrogenase |
| GH | Glycoside hydrolase |
| CD | Catalytic domain |
| H2O2 | Hydrogen peroxide |
| 2,6-DMP | 2,6-dimethoxyphenol |
| DP | Degrees of polymerization |
| PASC | Phosphoric acid-swollen cellulose |
| PASC-80% | PASC by swelling with 80% phosphoric acid |
| NGS | N-glycosylation site |
| CrI | Crystallinity index |
| SDS-PAGE | Sodium dodecyl sulfate-polyacrylamide gel electrophoresis |
| HRP | Horseradish peroxidase |
| HPAEC-PAD | High-performance anion exchange chromatography with pulsed amperometric detection |
References
- Zhai, R.; Hu, J.G.; Jin, M.J. Towards efficient enzymatic saccharification of pretreated lignocellulose: Enzyme inhibition by lignin-derived phenolics and recent trends in mitigation strategies. Biotechnol. Adv. 2022, 61, 108044. [Google Scholar] [CrossRef] [PubMed]
- Saini, J.K.; Himanshu; Hemansi; Kaur, A. Mathur, Strategies to enhance enzymatic hydrolysis of lignocellulosic biomass for biorefinery applications: A review. Biores. Technol. 2022, 360, 127517. [Google Scholar] [CrossRef]
- Vaaje-Kolstad, G.; Westereng, B.; Horn, S.J.; Liu, Z.L.; Zhai, H.; Sorlie, M.; Eijsink, V.G.H. An oxidative enzyme boosting the enzymatic conversion of recalcitrant polysaccharides. Science 2010, 330, 219–222. [Google Scholar] [CrossRef]
- Long, L.F.; Hu, Y.; Sun, F.B.; Gao, W.; Hao, Z.K.; Yin, H. Advances in lytic polysaccharide monooxygenases with the cellulose-degrading auxiliary activity family 9 to facilitate cellulose degradation for biorefinery. Int. J. Biol. Macromol. 2022, 219, 68–83. [Google Scholar] [CrossRef]
- Chylenski, P.; Bissaro, B.; Sorlie, M.; Rohr, A.K.; Varnai, A.; Horn, S.J.; Eijsink, V.G.H. Lytic polysaccharide monooxygenases in enzymatic processing of lignocellulosic biomass. ACS Catal. 2019, 9, 4970–4991. [Google Scholar] [CrossRef]
- Tang, C.J.; Gandla, M.L.; Joensson, L.J. LPMO-supported saccharification of biomass: Effects of continuous aeration of reaction mixtures with variable fractions of water-insoluble solids and cellulolytic enzymes. Biotechnol. Biofuels Bioprod. 2023, 16, 156. [Google Scholar] [CrossRef]
- Beeson, W.T.; Phillips, C.M.; Cate, J.H.D.; Marletta, M.A. Oxidative cleavage of cellulose by fungal copper-dependent polysaccharide monooxygenases. J. Am. Chem. Soc. 2012, 134, 890–892. [Google Scholar] [CrossRef] [PubMed]
- Bissaro, B.; Rohr, A.K.; Muller, G.; Chylenski, P.; Skaugen, M.; Forsberg, Z.; Horn, S.J.; Vaaje-Kolstad, G.; Eijsink, V.G.H. Oxidative cleavage of polysaccharides by monocopper enzymes depends on H2O2. Nat. Chem. Biol. 2017, 13, 1123–1128. [Google Scholar] [CrossRef]
- Hegnar, O.A.; Petrovic, D.M.; Bissaro, B.; Alfredsen, G.; Varnal, A.; Eijsink, V.G.H. pH-dependent relationship between catalytic activity and hydrogen peroxide production shown via characterization of a lytic polysaccharide monooxygenase from Gloeophyllum trabeum. Appl. Environ. Microbiol. 2018, 85, e02612-18. [Google Scholar] [CrossRef]
- Hangasky, J.A.; Iavarone, A.T.; Marletta, M.A. Reactivity of O2 versus H2O2 with polysaccharide monooxygenases. Proc. Natl. Acad. Sci. USA 2018, 115, 4915–4920. [Google Scholar] [CrossRef]
- Frommhagen, M.; Westphal, A.H.; van Berkel, W.J.H.; Kabel, M.A. Distinct substrate specificities and electron-donating systems of fungal lytic polysaccharide monooxygenases. Front. Microbiol. 2018, 9, 1080. [Google Scholar] [CrossRef] [PubMed]
- Kracher, D.; Scheiblbrandner, S.; Felice, A.K.G.; Breslmayr, E.; Preims, M.; Ludwicka, K.; Haltrich, D.; Eijsink, V.G.H.; Ludwig, R. Extracellular electron transfer systems fuel cellulose oxidative degradation. Science 2016, 352, 1098–1101. [Google Scholar] [CrossRef]
- Kittl, R.; Kracher, D.; Burgstaller, D.; Haltrich, D.; Ludwig, R. Production of four Neurospora crassa lytic polysaccharide monooxygenases in Pichia pastoris monitored by a fluorimetric assay. Biotechnol. Biofuels 2012, 5, 79. [Google Scholar] [CrossRef]
- Kuusk, S.; Bissaro, B.; Kuusk, P.; Forsberg, Z.; Eijsink, V.G.H.; Sorlie, M.; Valjamae, P. Kinetics of H2O2-driven degradation of chitin by a bacterial lytic polysaccharide monooxygenase. J. Biol. Chem. 2018, 293, 523–531. [Google Scholar] [CrossRef] [PubMed]
- Stepnov, A.A.; Christensen, I.A.; Forsberg, Z.; Aachmann, F.L.; Courtade, G.; Eijsink, V.G.H. The impact of reductants on the catalytic efficiency of a lytic polysaccharide monooxygenase and the special role of dehydroascorbic acid. FEBS Lett. 2021, 596, 53–70. [Google Scholar] [CrossRef] [PubMed]
- Stepnov, A.A.; Forsberg, Z.; Sorlie, M.; Nguyen, G.S.; Wentzel, A.; Rohr, A.; Eijsink, V.G.H. Unraveling the roles of the reductant and free copper ions in LPMO kinetics. Biotechnol. Biofuels 2021, 14, 28. [Google Scholar] [CrossRef]
- Chorozian, K.; Karnaouri, A.; Georgaki-Kondyli, N.; Karantonis, A.; Topakas, E. Assessing the role of redox partners in TthLPMO9G and its mutants: Focus on H2O2 production and interaction with cellulose. Biotechnol. Biofuels Bioprod. 2024, 17, 19. [Google Scholar] [CrossRef]
- Srivastava, A.; Nagar, P.; Rathore, S.; Adlakha, N. The linker region promotes activity and binding efficiency of modular LPMO towards polymeric substrate. Microbiol. Spectr. 2022, 10, e0269721. [Google Scholar] [CrossRef]
- Dan, M.; Zheng, Y.; Zhao, G.; Hsieh, Y.S.Y.; Wang, D. Current insights of factors interfering the stability of lytic polysaccharide monooxygenases. Biotechnol. Adv. 2023, 67, 108216. [Google Scholar] [CrossRef]
- Valenzuela, S.V.; Valls, C.; Schink, V.; Sanchez, D.; Roncero, M.B.; Diaz, P.; Martínez, J.; Pastor, F.I.J. Differential activity of lytic polysaccharide monooxygenases on celluloses of different crystallinity. Effectiveness in the sustainable production of cellulose nanofibrils. Carbohyd Polym. 2019, 207, 59–67. [Google Scholar] [CrossRef]
- Wang, B.; Walton, P.H.; Rovira, C. Molecular mechanisms of oxygen activation and hydrogen peroxide formation in lytic polysaccharide monooxygenases. ACS Catal. 2019, 9, 4958–4969. [Google Scholar] [CrossRef] [PubMed]
- Courtade, G.; Forsberg, Z.; Heggset, E.B.; Eijsink, V.G.H.; Aachmann, F.L. The carbohydrate-binding module and linker of a modular lytic polysaccharide monooxygenase promote localized cellulose oxidation. J. Biol. Chem. 2018, 293, 13006–13015. [Google Scholar] [CrossRef] [PubMed]
- Forsberg, Z.; Courtade, G. On the impact of carbohydrate-binding modules (CBMs) in lytic polysaccharide monooxygenases (LPMOs). Essays Biochem. 2023, 67, 561–574. [Google Scholar] [CrossRef] [PubMed]
- Mandal, A.; Thakur, A.; Goyal, A. Role of carbohydrate binding modules, CBM3A and CBM3B in stability and catalysis by a β-1,4 endoglucanase, AtGH9C-CBM3A-CBM3B from Acetivibrio thermocellus ATCC 27405. Int. J. Biol. Macromol. 2023, 242, 125164. [Google Scholar] [CrossRef] [PubMed]
- Nakamura, A.; Ishiwata, D.; Visootsat, A.; Uchiyama, T.; Mizutani, K.; Kaneko, S.; Murata, T.; Igarashi, K.; Iino, R. Domain architecture divergence leads to functional divergence in binding and catalytic domains of bacterial and fungal cellobiohydrolases. J. Biol. Chem. 2020, 295, 14606–14617. [Google Scholar] [CrossRef]
- Shi, Q.C.; Abdel-Hamid, A.M.; Sun, Z.Y.; Cheng, Y.F.; Tu, T.; Cann, I.; Yao, B.; Zhu, W.Y. Carbohydrate-binding modules facilitate the enzymatic hydrolysis of lignocellulosic biomass: Releasing reducing sugars and dissociative lignin available for producing biofuels and chemicals. Biotechnol. Adv. 2023, 65, 108126. [Google Scholar] [CrossRef]
- Crouch, L.I.; Labourel, A.; Walton, P.H.; Davies, G.J.; Gilbert, H.J. The contribution of non-catalytic carbohydrate binding modules to the activity of lytic polysaccharide monooxygenases. J. Biol. Chem. 2016, 291, 7439–7449. [Google Scholar] [CrossRef]
- Raji, O.; Eijsink, V.G.H.; Master, E.; Forsberg, Z. Modularity impacts cellulose surface oxidation by a lytic polysaccharide monooxygenase from Streptomyces coelicolor. Cellulose 2023, 30, 10783–10794. [Google Scholar] [CrossRef]
- Chalak, A.; Villares, A.; Moreau, C.; Haon, M.; Grisel, S.; d’Orlando, A.; Herpoël-Gimbert, I.; Labourel, A.; Cathala, B.; Berrin, J.G. Influence of the carbohydrate-binding module on the activity of a fungal AA9 lytic polysaccharide monooxygenase on cellulosic substrates. Biotechnol. Biofuels 2019, 12, 206. [Google Scholar] [CrossRef]
- von Ossowski, I.; Eaton, J.T.; Czjzek, M.; Perkins, S.J.; Frandsen, T.P.; Schülein, M.; Panine, P.; Henrissat, B.; Receveur-Bréchot, V. Protein disorder: Conformational distribution of the flexible linker in a chimeric double cellulase. Biophys. J. 2005, 88, 2823–2832. [Google Scholar] [CrossRef]
- Sammond, D.W.; Payne, C.M.; Brunecky, R.; Himmel, M.E.; Crowley, M.F.; Beckham, G.T. Cellulase linkers are optimized based on domain type and function: Insights from sequence analysis, biophysical measurements, and molecular simulation. PLoS ONE 2012, 7, e48615. [Google Scholar] [CrossRef] [PubMed]
- Badino, S.F.; Bathke, J.K.; Sorensen, T.H.; Windahl, M.S.; Jensen, K.; Peters, G.H.J.; Borch, K.; Westh, P. The influence of different linker modifications on the catalytic activity and cellulose affinity of cellobiohydrolase Cel7A from Hypocrea jecorina. Protein Eng. Des. Sel. 2017, 30, 495–501. [Google Scholar] [CrossRef] [PubMed]
- Ruiz, D.M.; Turowski, V.R.; Murakami, M.T. Effects of the linker region on the structure and function of modular GH5 cellulases. Sci. Rep. 2016, 6, 28504. [Google Scholar] [CrossRef]
- Wang, Z.; Zhang, T.R.; Long, L.K.; Ding, S.J. Altering the linker in processive GH5 endoglucanase 1 modulates lignin binding and catalytic properties. Biotechnol. Biofuels 2018, 11, 332. [Google Scholar] [CrossRef]
- Hansson, H.; Karkehabadi, S.; Mikkelsen, N.; Douglas, N.R.; Kim, S.; Lam, A.; Kaper, T.; Kelemen, B.; Meier, K.K.; Jones, S.M.; et al. High-resolution structure of a lytic polysaccharide monooxygenase from Hypocrea jecorina reveals a predicted linker as an integral part of the catalytic domain. J. Biol. Chem. 2017, 292, 19099–19109. [Google Scholar] [CrossRef] [PubMed]
- Courtade, G.; Wimmer, R.; Røhr, K.; Preims, M.; Felice, A.K.G.; Dimarogona, M.; Vaaje-Kolstad, G.; Sørlie, M.; Sandgren, M.; Ludwig, R.; et al. Interactions of a fungal lytic polysaccharide monooxygenase with beta-glucan substrates and cellobiose dehydrogenase. Proc. Natl. Acad. Sci. USA 2016, 113, 5922–5927. [Google Scholar] [CrossRef]
- Cheng, C.; Haider, J.; Liu, P.; Yang, J.; Tan, Z.; Huang, T.; Lin, J.; Jiang, M.; Liu, H.; Zhu, L. Engineered LPMO significantly boosting cellulase-catalyzed depolymerization of cellulose. J. Agric. Food Chem. 2020, 68, 15257–15266. [Google Scholar] [CrossRef]
- Gao, W.; Li, T.; Zhou, H.; Ju, J.; Yin, H. Carbohydrate-binding modules enhance H2O2 tolerance by promoting lytic polysaccharide monooxygenase active site H2O2 consumption. J. Biol. Chem. 2024, 300, 105573. [Google Scholar] [CrossRef] [PubMed]
- Kuuskeri, J.; Häkkinen, M.; Laine, P.; Smolander, O.P.; Tamene, F.; Miettinen, S.; Nousiainen, P.; Kemell, M.; Auvinen, P.; Lundell, T. Time-scale dynamics of proteome and transcriptome of the white-rot fungus Phlebia radiata: Growth on spruce wood and decay effect on lignocellulose. Biotechnol. Biofuels 2016, 9, 192. [Google Scholar] [CrossRef]
- Jagadeeswaran, G.; Gainey, L.; Prade, R.; Mort, A.J. A family of AA9 lytic polysaccharide monooxygenases in Aspergillus nidulans is differentially regulated by multiple substrates and at least one is active on cellulose and xyloglucan. Appl. Microbiol. Biotechnol. 2016, 100, 4535–4547. [Google Scholar] [CrossRef]
- Chen, K.X.; Zhang, X.; Long, L.K.; Ding, S.J. Comparison of C4-oxidizing and C1/C4-oxidizing AA9 LPMOs in substrate adsorption, H2O2-driven activity and synergy with cellulase on celluloses of different crystallinity. Carbohyd. Polym. 2021, 269, 118305. [Google Scholar] [CrossRef] [PubMed]
- Stepnov, A.A.; Eijsink, V.G.H.; Forsberg, Z. Enhanced in situ H2O2 production explains synergy between an LPMO with a cellulose-binding domain and a single-domain LPMO. Sci. Rep. 2022, 12, 6129. [Google Scholar] [CrossRef] [PubMed]
- Ma, L.; Wang, M.; Gao, Y.; Wu, Y.; Zhu, C.; An, S.; Tang, S.; She, Q.; Gao, J.; Meng, X. Functional study of a lytic polysaccharide monooxygenase MsLPMO3 from Morchella sextelata in the oxidative degradation of cellulose. Enzym. Microb. Technol. 2024, 173, 110376. [Google Scholar] [CrossRef] [PubMed]
- Hoang, H.; Liu, W.; Zhan, W.; Zou, S.; Xu, L.; Zhan, Y.; Cheng, H.; Chen, Z.; Zhou, H.; Wang, Y. Reductant-independent oxidative cleavage of cellulose by a novel marine fungal lytic polysaccharide monooxygenase. Int. J. Biol. Macromol. 2024, 276, 133929. [Google Scholar] [CrossRef] [PubMed]
- Ma, L.; Li, G.; Xu, H.; Liu, Z.; Wan, Q.; Liu, D.; Shen, Q. Structural and functional study of a novel lytic polysaccharide monooxygenase cPMO2 from compost sample in the oxidative degradation of cellulose. Chem. Eng. J. 2022, 433, 134509. [Google Scholar] [CrossRef]
- Sun, P.; Huang, Z.; Banerjee, S.; Kadowaki, M.A.S.; Veersma, R.J.; Magri, S.; Hilgers, R.; Muderspach, S.J.; Laurent, C.V.; Ludwig, R.; et al. AA16 oxidoreductases boost cellulose-active AA9 lytic polysaccharide monooxygenases from Myceliophthora thermophila. ACS Catal. 2023, 13, 4454–4467. [Google Scholar] [CrossRef]
- Tan, T.C.; Kracher, D.; Gandini, R.; Sygmund, C.; Kittl, R.; Haltrich, D.; Hällberg, B.M.; Ludwig, R.; Divne, C. Structural basis for cellobiose dehydrogenase action during oxidative cellulose degradation. Nat. Commun. 2015, 6, 7542–7553. [Google Scholar] [CrossRef]
- Munzone, A.; Eijsink, V.G.; Berrin, J.G.; Bissaro, B. Expanding the catalytic landscape of metalloenzymes with lytic polysaccharide monooxygenases. Nat. Rev. Chem. 2024, 8, 106–119. [Google Scholar] [CrossRef]
- Kuusk, S.; Eijsink, V.G.; Väljamäe, P. The “life-span” of lytic polysaccharide monooxygenases (LPMOs) correlates to the number of turnovers in the reductant peroxidase reaction. J. Biol. Chem. 2023, 299, 105094. [Google Scholar] [CrossRef]
- Kont, R.; Bissaro, B.; Eijsink, V.G.H.; Väljamäe, P. Kinetic insights into the peroxygenase activity of cellulose-active lytic polysaccharide monooxygenases (LPMOs). Nat. Commun. 2020, 11, 5786. [Google Scholar] [CrossRef]
- Loose, J.S.M.; Arntzen, M.; Bissaro, B.; Ludwig, R.; Eijsink, V.G.H.; Vaaje-Kolstad, G. Multipoint precision binding of substrate protects LPMOs from self-destructive off-pathway processes. Biochemistry 2018, 57, 4114–4124. [Google Scholar] [CrossRef] [PubMed]
- Kracher, D.; Forsberg, Z.; Bissaro, B.; Gangl, S.; Preims, M.; Sygmund, C.; Eijsink, V.G.H.; Ludwig, R. Polysaccharide oxidation by lytic polysaccharide monooxygenase is enhanced by engineered cellobiose dehydrogenase. FEBS J. 2020, 287, 897–908. [Google Scholar] [CrossRef] [PubMed]
- Kuusk, S.; Kont, R.; Kuusk, P.; Heering, A.; Sørlie, M.; Bissaro, B.; Eijsink, V.G.H.; Väljamäe, P. Kinetic insights into the role of the reductant in H2O2-driven degradation of chitin by a bacterial lytic polysaccharide monooxygenase. J. Biol. Chem. 2019, 294, 1516–1528. [Google Scholar] [CrossRef] [PubMed]
- Rieder, L.; Stepnov, A.A.; Sørlie, M.; Eijsink, V.G. Fast and specific peroxygenase reactions catalyzed by fungal mono-copper enzymes. Biochemistry 2021, 60, 3633–3643. [Google Scholar] [CrossRef] [PubMed]
- Kont, R.; Pihlajaniemi, V.; Niemelä, K.; Kuusk, S.; Marjamaa, K.; Väljamäe, P. H2O2 in liquid fractions of hydrothermally pretreated biomasses: Implications of lytic polysaccharide monooxygenases. ACS Sustain. Chem. Eng. 2021, 9, 16220–16231. [Google Scholar] [CrossRef]
- Chen, K.X.; Liu, X.C.; Long, L.K.; Ding, S.J. Cellobiose dehydrogenase from Volvariella volvacea and its effect on the saccharification of cellulose. Process Biochem. 2017, 60, 52–58. [Google Scholar] [CrossRef]
- Chen, K.X.; Yang, J.H.; Ding, S.J.; Long, L.K. Unique lysine-rich sequence on the CYT domain of AfCDH enhances its interdomain electron transfer and activation of AA9 LPMOs. ACS Sustain. Chem. Eng. 2022, 10, 5810–5824. [Google Scholar] [CrossRef]
- Stepnov, A.A.; Eijsink, V.G.H. Looking at LPMO reactions through the lens of the HRP/Amplex Red assay. Method. Enzymol. 2023, 679, 163–189. [Google Scholar] [CrossRef]
- Breslmayr, E.; Hanžek, M.; Hanrahan, A.; Leitner, C.; Kittl, R.; Šantek, B.; Oostenbrink, C.; Ludwig, R. A fast and sensitive activity assay for lytic polysaccharide monooxygenase. Biotechnol. Biofuels 2018, 11, 79. [Google Scholar] [CrossRef]
- Shi, Y.; Chen, K.; Long, L.; Ding, S. A highly xyloglucan active lytic polysaccharide monooxygenase EpLPMO9A from Eupenicillium parvum 4-14 shows boosting effect on hydrolysis of complex lignocellulosic substrates. Int. J. Biol. Macromol. 2021, 167, 202–213. [Google Scholar] [CrossRef]






| Enzymes | H2O2 Generation Rate (min−1) | Enzymes | H2O2 Generation Rate (µM/min/µmol) |
|---|---|---|---|
| AoLPMO9A | 500.0 ± 3.3 | NcLPMO9C∆CBM | 170.0 ± 10.0 |
| AoLPMO9A+CBM | 456.7 ± 10.0 | NcLPMO9C∆L10 | 100.0 ± 10.0 |
| AoLPMO9B | 510.0 ± 13.3 | NcLPMO9C∆L30 | 93.3 ± 3.3 |
| AoLPMO9B+CBM | 320.0 ± 10.0 | NcLPMO9C∆L50 | 80.0 ± 3.3 |
| AoLPMO9C | 106.7 ± 6.7 | AscA | 33.3 ± 6.7 |
| AoLPMO9C∆CBM | 243.3 ± 10.0 | AscA + dialysate | 33.3 ± 3.3 |
| NcLPMO9C | 150.0 ± 16.7 |
| 2,6-DMP | H2O2 | ||||
|---|---|---|---|---|---|
| Enzyme | Km (mM) | kcat (s−1) | Enzyme | Km (mM) | kcat (s−1) |
| AoLPMO9A | 1.76 ± 0.31 | 1.48 ± 0.09 | AoLPMO9A | 1.23 ± 0.11 | 1.83 ± 0.04 |
| AoLPMO9A+CBM | 1.58 ± 0.22 | 1.58 ± 0.07 | AoLPMO9A+CBM | 1.12 ± 0.09 | 2.04 ± 0.05 |
| AoLPMO9B | 1.55 ± 0.14 | 1.33 ± 0.04 | AoLPMO9B | 0.81 ± 0.13 | 1.83 ± 0.08 |
| AoLPMO9B+CBM | 1.16 ± 0.16 | 1.02 ± 0.04 | AoLPMO9B+CBM | 0.88 ± 0.09 | 1.69 ± 0.04 |
| AoLPMO9C | 0.46 ± 0.07 | 0.07 ± 0.002 | AoLPMO9C | 1.13 ± 0.31 | 0.23 ± 0.02 |
| AoLPMO9C∆CBM | 0.40 ± 0.05 | 0.09 ± 0.002 | AoLPMO9C∆CBM | 0.23 ± 0.08 | 0.28 ± 0.02 |
| NcLPMO9C | 0.94 ± 0.09 | 0.58 ± 0.02 | NcLPMO9C | 0.17 ± 0.05 | 0.47 ± 0.01 |
| NcLPMO9C∆CBM | 1.28 ± 0.12 | 0.53 ± 0.01 | NcLPMO9C∆CBM | 0.15 ± 0.05 | 0.34 ± 0.02 |
| NcLPMO9C∆L10 | 0.64 ± 0.11 | 0.39 ± 0.02 | NcLPMO9C∆L10 | 0.37 ± 0.11 | 0.33 ± 0.02 |
| NcLPMO9C∆L30 | 0.87 ± 0.14 | 0.29 ± 0.01 | NcLPMO9C∆L30 | 0.31 ± 0.08 | 0.33 ± 0.02 |
| NcLPMO9C∆L50 | 0.72 ± 0.10 | 0.41 ± 0.02 | NcLPMO9C∆L50 | 0.36 ± 0.12 | 0.32 ± 0.02 |
| Enzymes | BMax (μmol/g PASC) | Kd (μM) | Enzymes | BMax (μmol/g PASC) | Kd (μM) |
|---|---|---|---|---|---|
| AoLPMO9A | 1.51 ± 0.53 | 8.84 ± 6.42 | NcLPMO9C | 2.34 ± 0.34 | 1.64 ± 0.64 |
| AoLPMO9A+CBM | 3.99 ± 0.17 | 1.01 ± 0.22 | NcLPMO9C∆CBM | 0.43 ± 0.13 | 1.76 ± 1.12 |
| AoLPMO9B | 0.48 ± 0.13 | 6.09 ± 3.32 | NcLPMO9C∆L10 | 2.69 ± 0.21 | 1.36 ± 0.57 |
| AoLPMO9B+CBM | 2.46 ± 0.28 | 0.35 ± 0.21 | NcLPMO9C∆L30 | 4.56 ± 0.32 | 1.54 ± 0.43 |
| AoLPMO9C | 4.07 ± 0.46 | 0.78 ± 0.43 | NcLPMO9C∆L50 | 4.85 ± 0.22 | 0.89 ± 0.27 |
| AoLPMO9C∆CBM | 1.65 ± 0.62 | 16.68 ± 9.47 |
Disclaimer/Publisher’s Note: The statements, opinions and data contained in all publications are solely those of the individual author(s) and contributor(s) and not of MDPI and/or the editor(s). MDPI and/or the editor(s) disclaim responsibility for any injury to people or property resulting from any ideas, methods, instructions or products referred to in the content. |
© 2024 by the authors. Licensee MDPI, Basel, Switzerland. This article is an open access article distributed under the terms and conditions of the Creative Commons Attribution (CC BY) license (https://creativecommons.org/licenses/by/4.0/).
Share and Cite
Zhao, X.; Xie, F.; Chen, K.; Long, L.; Ding, S. The Effect of CBM1 and Linker on the Oxidase, Peroxidase and Monooxygenase Activities of AA9 LPMOs: Insight into Their Correlation with the Nature of Reductants and Crystallinity of Celluloses. Int. J. Mol. Sci. 2024, 25, 12616. https://doi.org/10.3390/ijms252312616
Zhao X, Xie F, Chen K, Long L, Ding S. The Effect of CBM1 and Linker on the Oxidase, Peroxidase and Monooxygenase Activities of AA9 LPMOs: Insight into Their Correlation with the Nature of Reductants and Crystallinity of Celluloses. International Journal of Molecular Sciences. 2024; 25(23):12616. https://doi.org/10.3390/ijms252312616
Chicago/Turabian StyleZhao, Xu, Fei Xie, Kaixiang Chen, Liangkun Long, and Shaojun Ding. 2024. "The Effect of CBM1 and Linker on the Oxidase, Peroxidase and Monooxygenase Activities of AA9 LPMOs: Insight into Their Correlation with the Nature of Reductants and Crystallinity of Celluloses" International Journal of Molecular Sciences 25, no. 23: 12616. https://doi.org/10.3390/ijms252312616
APA StyleZhao, X., Xie, F., Chen, K., Long, L., & Ding, S. (2024). The Effect of CBM1 and Linker on the Oxidase, Peroxidase and Monooxygenase Activities of AA9 LPMOs: Insight into Their Correlation with the Nature of Reductants and Crystallinity of Celluloses. International Journal of Molecular Sciences, 25(23), 12616. https://doi.org/10.3390/ijms252312616

