Genome-Wide Identification and Analysis of WD40 Family and Its Expression in F. vesca at Different Coloring Stages
Abstract
1. Introduction
2. Results and Analysis
2.1. Identification, Physicochemical Properties, and Secondary Structure Analysis of F. vesca WD40 Gene Family
2.2. Evolutionary Tree, Motif, and Gene Structure Analysis of F. vesca WD40 Gene Family
2.3. Chromosomal Localization, Subcellular Localization, and Covariance Analysis of F. vesca WD40 Gene Family
2.4. Promoter and Tissue-Specific Analysis of F. vesca WD40 Gene Family
2.5. Codon Preference and Selection Pressure Analysis of the F. vesca WD40 Gene Family
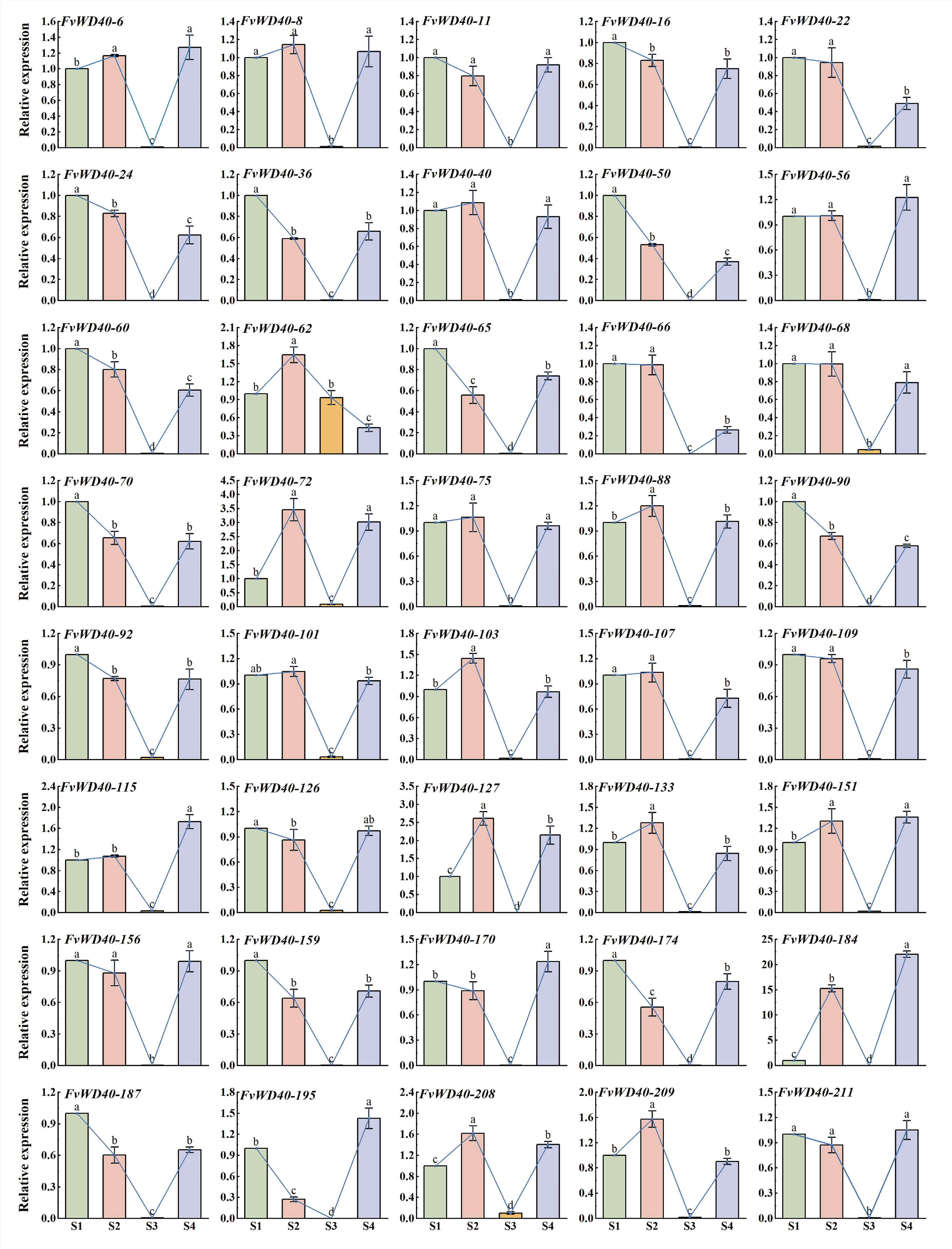
2.6. Expression Analysis of FvWD40 Gene Family at Different Fruit Coloring Stages
3. Discussion
4. Materials and Methods
4.1. Plant Materials
4.2. Identification of FvWD40 Gene Family
4.3. Analysis of the FvWD40 Family Evolutionary Tree, Motif, and Gene Structure
4.4. Analysis of Chromosomal Localization, Secondary Structure, and Subcellular Localization of FvWD40 Genes
4.5. Analysis of Promoter Cis-Acting Elements, Covariance, and Selective Pressure in FvWD40 Gene Family
4.6. Codon Preference and Tissue Specificity Analysis of the FvWD40 Gene Family
4.7. Extraction of RNA from F. vesca Fruit
4.8. qRT-PCR Analysis
4.9. Statistical Analysis of Data
5. Conclusions
Supplementary Materials
Author Contributions
Funding
Institutional Review Board Statement
Informed Consent Statement
Data Availability Statement
Acknowledgments
Conflicts of Interest
References
- Migliori, V.; Mapelli, M.; Guccione, E. On WD40 proteins: Propelling our knowledge of transcriptional control? Epigenetics 2012, 7, 815–822. [Google Scholar] [CrossRef] [PubMed]
- Stirnimann, C.U.; Petsalaki, E.; Russell, R.B.; Müller, C.W. WD40 proteins propel cellular networks. Trends Biochem. Sci. 2010, 35, 565–574. [Google Scholar] [CrossRef] [PubMed]
- Wang, C.; Dong, X.; Han, L.; Su, X.D.; Zhang, Z.; Li, J.; Song, J. Identification of WD40 repeats by secondary structure-aided profile-profile alignment. J. Theor. Biol. 2016, 398, 122–129. [Google Scholar] [CrossRef] [PubMed]
- Wang, Y.; Jiang, F.; Zhuo, Z.; Wu, X.H.; Wu, Y.D. A method for WD40 repeat detection and secondary structure prediction. PLoS ONE 2013, 8, e65705. [Google Scholar] [CrossRef] [PubMed]
- Li, Q.; Zhao, P.; Li, J.; Zhang, C.; Wang, L.; Ren, Z. Genome-wide analysis of the WD-repeat protein family in cucumber and Arabidopsis. Mol. Genet. Genom. 2014, 289, 103–124. [Google Scholar] [CrossRef]
- Yang, Y.; Cai, Q.; Wang, Y.; Li, L.; Sun, Z. Genome-Wide Exploration of the WD40 Gene Family in Eggplant (Solanum melongena L.) and Analysis of Its Function in Fruit Color Formation. Agronomy 2024, 14, 521. [Google Scholar] [CrossRef]
- Yan, C.; Yang, T.; Wang, B.; Yang, H.; Wang, J.; Yu, Q. Genome-Wide Identification of the WD40 Gene Family in Tomato (Solanum lycopersicum L.). Genes 2023, 14, 1273. [Google Scholar] [CrossRef]
- Wu, Z.; Zhang, T.; Li, J.; Chen, S.; Grin, I.R.; Zharkov, D.O.; Yu, B.; Li, H. Genome-wide analysis of WD40 protein family and functional characterization of BvWD40-82 in sugar beet. Front. Plant Sci. 2023, 14, 1185440. [Google Scholar] [CrossRef]
- Hu, X.J.; Li, T.; Wang, Y.; Xiong, Y.; Wu, X.H.; Zhang, D.L.; Ye, Z.Q.; Wu, Y.D. Prokaryotic and Highly-Repetitive WD40 Proteins: A Systematic Study. Sci. Rep. 2017, 7, 10585. [Google Scholar] [CrossRef]
- Mishra, A.K.; Muthamilarasan, M.; Khan, Y.; Parida, S.K.; Prasad, M. Genome-wide investigation and expression analyses of WD40 protein family in the model plant foxtail millet (Setaria italica L.). PLoS ONE 2014, 9, e86852. [Google Scholar] [CrossRef]
- Han, Z.; Guo, L.; Wang, H.; Shen, Y.; Deng, X.W.; Chai, J. Structural basis for the specific recognition of methylated histone H3 lysine 4 by the WD-40 protein WDR5. Mol. Cell 2006, 22, 137–144. [Google Scholar] [CrossRef] [PubMed]
- Enchev, R.I.; Schulman, B.A.; Peter, M. Protein neddylation: Beyond cullin-RING ligases. Nat. Rev. Mol. Cell Biol. 2015, 16, 30–44. [Google Scholar] [CrossRef] [PubMed]
- Chen, W.; Chen, L.; Zhang, X.; Yang, N.; Guo, J.; Wang, M.; Ji, S.; Zhao, X.; Yin, P.; Cai, L.; et al. Convergent selection of a WD40 protein that enhances grain yield in maize and rice. Science 2022, 375, eabg7985. [Google Scholar] [CrossRef] [PubMed]
- Chen, C.; Yin, S.; Liu, X.; Liu, B.; Yang, S.; Xue, S.; Cai, Y.; Black, K.; Liu, H.; Dong, M.; et al. The WD-Repeat Protein CsTTG1 Regulates Fruit Wart Formation through Interaction with the Homeodomain-Leucine Zipper I Protein Mict. Plant Physiol. 2016, 171, 1156–1168. [Google Scholar] [CrossRef]
- Naval, M.D.M.; Gil-Muñoz, F.; Lloret, A.; Besada, C.; Salvador, A.; Badenes, M.L.; Ríos, G. A WD40-repeat protein from persimmon interacts with the regulators of proanthocyanidin biosynthesis DkMYB2 and DkMYB4. Tree Genet. Genomes 2016, 12, 13. [Google Scholar]
- Lee, S.; Lee, J.; Paek, K.H.; Kwon, S.Y.; Cho, H.S.; Kim, S.J.; Park, J.M. A novel WD40 protein, BnSWD1, is involved in salt stress in Brassica napus. Plant Biotechnol. Rep. 2010, 4, 165–172. [Google Scholar] [CrossRef]
- Meng, L.; Su, H.; Qu, Z.; Lu, P.; Tao, J.; Li, H.; Zhang, J.; Zhang, W.; Liu, N.; Cao, P.; et al. Genome-wide identification and analysis of WD40 proteins reveal that NtTTG1 enhances drought tolerance in tobacco (Nicotiana tabacum). BMC Genom. 2024, 25, 133. [Google Scholar] [CrossRef]
- Çelik, H.; Aravena, A.; Turgut, K.N. Bioinformatics and gene expression analysis of the legume F-box/WD40 proteins in NaCl and high temperature stress. Genet. Resour. Crop Evol. 2023, 70, 2637–2655. [Google Scholar] [CrossRef]
- Zhang, X.; Feng, Q.; Miao, J.; Zhu, J.; Zhou, C.; Fan, D.; Lu, Y.; Tian, Q.; Wang, Y.; Zhan, Q.; et al. The WD40 domain-containing protein Ehd5 positively regulates flowering in rice (Oryza sativa). Plant Cell 2023, 35, 4002–4019. [Google Scholar] [CrossRef]
- Liu, Y.; Tikunov, Y.; Schouten, R.E.; Marcelis, L.F.M.; Visser, R.G.F.; Bovy, A. Anthocyanin Biosynthesis and Degradation Mechanisms in Solanaceous Vegetables: A Review. Front. Chem. 2018, 6, 52. [Google Scholar] [CrossRef]
- Yoshikazu, T.; Nobuhiro, S.; Akemi, O. Biosynthesis of plant pigments: Anthocyanins, betalains and carotenoids. Plant J. Cell Mol. Biol. 2008, 54, 733–749. [Google Scholar]
- Nishihara, M.; Nakatsuka, T. Genetic engineering of flavonoid pigments to modify flower color in floricultural plants. Biotechnol. Lett. 2011, 33, 433–441. [Google Scholar] [CrossRef] [PubMed]
- Gil-Muñoz, F.; Sánchez-Navarro, J.A.; Besada, C.; Salvador, A.; Badenes, M.L.; Naval, M.d.M.; Ríos, G. MBW complexes impinge on anthocyanidin reductase gene regulation for proanthocyanidin biosynthesis in persimmon fruit. Sci. Rep. 2020, 10, 3543. [Google Scholar] [CrossRef]
- Dubos, C.; Stracke, R.; Grotewold, E.; Weisshaar, B.; Martin, C.; Lepiniec, L. MYB transcription factors in Arabidopsis. Trends Plant Sci. 2010, 15, 573–581. [Google Scholar] [CrossRef]
- Zhao, M.; Morohashi, K.; Hatlestad, G.; Grotewold, E.; Lloyd, A. The TTG1-bHLH-MYB complex controls trichome cell fate and patterning through direct targeting of regulatory loci. Development 2008, 135, 1991–1999. [Google Scholar] [CrossRef]
- Wei, Q.; Zhang, F.; Sun, F.; Luo, Q.; Wang, R.; Hu, R.; Chen, M.; Chang, J.; Yang, G.; He, G. A wheat MYB transcriptional repressor TaMyb1D regulates phenylpropanoid metabolism and enhances tolerance to drought and oxidative stresses in transgenic tobacco plants. Plant Sci. 2017, 265, 112–123. [Google Scholar] [CrossRef]
- de Vetten, N.; Quattrocchio, F.; Mol, J.; Koes, R. The an11 locus controlling flower pigmentation in petunia encodes a novel WD-repeat protein conserved in yeast, plants, and animals. Genes Dev. 1997, 11, 1422–1434. [Google Scholar] [CrossRef] [PubMed]
- Walker, A.R.; Davison, P.A.; Bolognesi-Winfield, A.C.; James, C.M.; Srinivasan, N.; Blundell, T.L.; Esch, J.J.; Marks, M.D.; Gray, J.C. The TRANSPARENT TESTA GLABRA1 locus, which regulates trichome differentiation and anthocyanin biosynthesis in Arabidopsis, encodes a WD40 repeat protein. Plant Cell 1999, 11, 1337–1350. [Google Scholar] [CrossRef]
- Carey, C.C.; Strahle, J.T.; Selinger, D.A.; Chandler, V.L. Mutations in the pale aleurone color1 regulatory gene of the Zea mays anthocyanin pathway have distinct phenotypes relative to the functionally similar TRANSPARENT TESTA GLABRA1 gene in Arabidopsis thaliana. Plant Cell 2004, 16, 450–464. [Google Scholar] [CrossRef]
- An, X.H.; Tian, Y.; Chen, K.Q.; Wang, X.F.; Hao, Y.J. The apple WD40 protein MdTTG1 interacts with bHLH but not MYB proteins to regulate anthocyanin accumulation. J. Plant Physiol. 2012, 169, 710–717. [Google Scholar] [CrossRef]
- Pang, Y.; Wenger, J.P.; Saathoff, K.; Peel, G.J.; Wen, J.; Huhman, D.; Allen, S.N.; Tang, Y.; Cheng, X.; Tadege, M.; et al. A WD40 repeat protein from Medicago truncatula is necessary for tissue-specific anthocyanin and proanthocyanidin biosynthesis but not for trichome development. Plant Physiol. 2009, 151, 1114–1129. [Google Scholar] [CrossRef] [PubMed]
- Fan, Z.; Zhai, Y.; Wang, Y.; Zhang, L.; Song, M.; Flaishman, M.A.; Ma, H. Genome-Wide Analysis of Anthocyanin Biosynthesis Regulatory WD40 Gene FcTTG1 and Related Family in Ficus carica L. Front. Plant Sci. 2022, 13, 948084. [Google Scholar] [CrossRef]
- Lim, S.H.; Kim, D.H.; Lee, J.Y. RsTTG1, a WD40 Protein, Interacts with the bHLH Transcription Factor RsTT8 to Regulate Anthocyanin and Proanthocyanidin Biosynthesis in Raphanus sativus. Int. J. Mol. Sci. 2022, 23, 11973. [Google Scholar] [CrossRef] [PubMed]
- Gong, J.; Wang, Y.; Xue, C.; Wu, L.; Sheng, S.; Wang, M.; Peng, J.; Cao, S. Regulation of blue infertile flower pigmentation by WD40 transcription factor HmWDR68 in Hydrangea macrophylla ‘forever summer’. Mol. Biol. Rep. 2024, 51, 328. [Google Scholar] [CrossRef] [PubMed]
- Yue, M.; Jiang, L.; Zhang, N.; Zhang, L.; Liu, Y.; Lin, Y.; Zhang, Y.; Luo, Y.; Zhang, Y.; Wang, Y.; et al. Regulation of flavonoids in strawberry fruits by FaMYB5/FaMYB10 dominated MYB-bHLH-WD40 ternary complexes. Front. Plant Sci. 2023, 14, 1145670. [Google Scholar] [CrossRef]
- Schaart, J.G.; Dubos, C.; Romero De La Fuente, I.; van Houwelingen, A.M.M.L.; de Vos, R.C.H.; Jonker, H.H.; Xu, W.; Routaboul, J.M.; Lepiniec, L.; Bovy, A.G. Identification and characterization of MYB-bHLH-WD40 regulatory complexes controlling proanthocyanidin biosynthesis in strawberry (Fragaria × ananassa) fruits. New Phytol. 2013, 197, 454–467. [Google Scholar] [CrossRef]
- Tan, L.; Salih, H.; Htet, N.N.W.; Azeem, F.; Zhan, R. Genomic analysis of WD40 protein family in the mango reveals a TTG1 protein enhances root growth and abiotic tolerance in Arabidopsis. Sci. Rep. 2021, 11, 2266. [Google Scholar] [CrossRef]
- Hu, R.; Xiao, J.; Gu, T.; Yu, X.; Zhang, Y.; Chang, J.; Yang, G.; He, G. Genome-wide identification and analysis of WD40 proteins in wheat (Triticum aestivum L.). BMC Genom. 2018, 19, 803. [Google Scholar]
- Liu, Z.; Liu, Y.; Coulter, A.J.; Shen, B.; Li, Y.; Li, C.; Cao, Z.; Zhang, J. The WD40 Gene Family in Potato (Solanum Tuberosum L.): Genome-Wide Analysis and Identification of Anthocyanin and Drought-Related WD40s. Agronomy 2020, 10, 401. [Google Scholar] [CrossRef]
- Feng, R.; Zhang, C.; Ma, R.; Cai, Z.; Lin, Y.; Yu, M. Identification and characterization of WD40 superfamily genes in peach. Gene 2019, 710, 291–306. [Google Scholar] [CrossRef]
- Ke, S.; Jiang, Y.; Zhou, M.; Li, Y. Genome-Wide Identification, Evolution, and Expression Analysis of the WD40 Subfamily in Oryza Genus. Int. J. Mol. Sci. 2023, 24, 15776. [Google Scholar] [CrossRef] [PubMed]
- Hartmann, U.; Sagasser, M.; Mehrtens, F.; Stracke, R.; Weisshaar, B. Differential combinatorial interactions of cis-acting elements recognized by R2R3-MYB, BZIP, and BHLH factors control light-responsive and tissue-specific activation of phenylpropanoid biosynthesis genes. Plant Mol. Biol. 2005, 57, 155–171. [Google Scholar] [CrossRef] [PubMed]
- Hu, B.; Lai, B.; Wang, D.; Li, J.; Chen, L.; Qin, Y.; Wang, H.; Qin, Y.; Hu, G.; Zhao, J. Three LcABFs are Involved in the Regulation of Chlorophyll Degradation and Anthocyanin Biosynthesis During Fruit Ripening in Litchi chinensis. Plant Cell Physiol. 2019, 60, 448–461. [Google Scholar] [CrossRef] [PubMed]
- Zheng, J.; Liao, Y.; Xu, F.; Zhou, X.; Ye, J.; Fu, M.; Liu, X.; Cao, Z.; Zhang, W. Genome-wide identification of WD40 superfamily genes and prediction of WD40 genes involved in flavonoid biosynthesis in Ginkgo biloba. Not. Bot. Horti Agrobot. 2021, 49, 12086. [Google Scholar] [CrossRef]
- Wang, C.; Tang, Y.; Li, Y.; Hu, C.; Li, J.; Lyu, A. Genome-wide identification and bioinformatics analysis of the WD40 transcription factor family and candidate gene screening for anthocyanin biosynthesis in Rhododendron simsii. BMC Genom. 2023, 24, 488. [Google Scholar] [CrossRef]
- Aguilar-Barragán, A.; Ochoa-Alejo, N. Virus-induced silencing of MYB and WD40 transcription factor genes affects the accumulation of anthocyanins in chilli pepper fruit. Biol. Plant. 2014, 58, 567–574. [Google Scholar] [CrossRef]
- Goodstein, D.M.; Shu, S.; Howson, R.; Neupane, R.; Hayes, R.D.; Fazo, J.; Mitros, T.; Dirks, W.; Hellsten, U.; Putnam, N.; et al. Phytozome: A comparative platform for green plant genomics. Nucleic Acids Res. 2012, 40, D1178–D1186. [Google Scholar] [CrossRef]
- Chen, C.; Chen, H.; Zhang, Y.; Thomas, H.R.; Frank, M.H.; He, Y.; Xia, R. TBtools: An Integrative Toolkit Developed for Interactive Analyses of Big Biological Data. Mol. Plant 2020, 13, 1194–1202. [Google Scholar] [CrossRef]
- Yu, D.S.; Lee, D.H.; Kim, S.K.; Lee, C.H.; Song, J.Y.; Kong, E.B.; Kim, J.F. Algorithm for predicting functionally equivalent proteins from BLAST and HMMER searches. J. Microbiol. Biotechnol. 2012, 22, 1054–1058. [Google Scholar] [CrossRef]
- Artimo, P.; Jonnalagedda, M.; Arnold, K.; Baratin, D.; Csardi, G.; de Castro, E.; Duvaud, S.; Flegel, V.; Fortier, A.; Gasteiger, E.; et al. ExPASy: SIB bioinformatics resource portal. Nucleic Acids Res. 2012, 40, W597–W603. [Google Scholar] [CrossRef]
- Xie, J.; Chen, Y.; Cai, G.; Cai, R.; Hu, Z.; Wang, H. Tree Visualization By One Table (tvBOT): A web application for visualizing, modifying and annotating phylogenetic trees. Nucleic Acids Res. 2023, 51, W587–W592. [Google Scholar] [CrossRef]
- Bailey, T.L.; Boden, M.; Buske, F.A.; Frith, M.; Grant, C.E.; Clementi, L.; Ren, J.; Li, W.W.; Noble, W.S. MEME SUITE: Tools for motif discovery and searching. Nucleic Acids Res. 2009, 37, W202–W208. [Google Scholar] [CrossRef]
- Xiong, E.; Zheng, C.Y.; Wu, X.L.; Wang, W. Protein subcellular location: The gap between prediction and experimentation. Plant Mol. Biol. Rep. 2015, 34, 52–61. [Google Scholar] [CrossRef]
- Livak, K.J.; Schmittgen, T.D. Analysis of relative gene expression data using real-time quantitative PCR and the 2(-Delta Delta C(T)) Method. Methods 2001, 25, 402–408. [Google Scholar] [CrossRef]










| Seq_1 | Seq_2 | Ka | Ks | Ka/Ks |
|---|---|---|---|---|
| FvWD40-29 | FvWD40-15 | 0.305222801 | 4.37446151 | 0.0697738 |
| FvWD40-15 | FvWD40-66 | 0.303913669 | 2.018940614 | 0.150531257 |
| FvWD40-29 | FvWD40-66 | 0.302552807 | 2.025605656 | 0.14936412 |
| FvWD40-6 | FvWD40-66 | 0.8975621 | 3.141395351 | 0.285720834 |
| FvWD40-178 | FvWD40-66 | 0.68189289 | 2.742848067 | 0.248607606 |
| FvWD40-119 | FvWD40-66 | 0.553577916 | 2.663474605 | 0.207840508 |
| FvWD40-9 | FvWD40-17 | 0.866885205 | 3.533685587 | 0.245320412 |
| FvWD40-181 | FvWD40-17 | 0.785522234 | 2.549625771 | 0.30809315 |
| FvWD40-3 | FvWD40-17 | 0.894270532 | 3.180336765 | 0.28118737 |
| FvWD40-6 | FvWD40-17 | 0.977832084 | 2.218684428 | 0.440726077 |
| FvWD40-175 | FvWD40-17 | 0.971894622 | 2.199126665 | 0.441945722 |
| FvWD40-17 | FvWD40-60 | 0.189719651 | 2.179057226 | 0.087065015 |
| FvWD40-181 | FvWD40-60 | 0.889035953 | 2.482081889 | 0.358181556 |
| FvWD40-3 | FvWD40-60 | 0.850615298 | 3.54084111 | 0.240229728 |
| FvWD40-175 | FvWD40-60 | 0.928153321 | 2.655053714 | 0.349579866 |
| FvWD40-17 | FvWD40-9 | 0.866389302 | 3.35850378 | 0.257968833 |
| FvWD40-181 | FvWD40-9 | 0.127578955 | 1.43000704 | 0.089215613 |
| FvWD40-3 | FvWD40-9 | 0.907572081 | 1.910735214 | 0.474985793 |
| FvWD40-6 | FvWD40-9 | 0.974656242 | 2.96421201 | 0.328807872 |
| FvWD40-175 | FvWD40-9 | 0.890930831 | 1.505822225 | 0.591657379 |
| FvWD40-3 | FvWD40-181 | 1.039323568 | 6.901806751 | 0.150587173 |
| FvWD40-6 | FvWD40-181 | 0.937928334 | 3.13479313 | 0.299199435 |
| FvWD40-175 | FvWD40-181 | 0.785967165 | 2.21756012 | 0.354428797 |
| FvWD40-119 | FvWD40-181 | 0.903165816 | 2.677540657 | 0.33731171 |
| FvWD40-135 | FvWD40-181 | 0.984173969 | 3.928925522 | 0.250494432 |
| FvWD40-173 | FvWD40-3 | 0.415009419 | 1.54582695 | 0.268470814 |
| FvWD40-175 | FvWD40-3 | 0.84697515 | 2.056546415 | 0.41184344 |
| FvWD40-135 | FvWD40-3 | 0.986051527 | 2.294533154 | 0.429739499 |
| FvWD40-6 | FvWD40-173 | 0.955513315 | 3.353399352 | 0.284938719 |
| FvWD40-175 | FvWD40-173 | 0.972639509 | 1.738350417 | 0.559518668 |
| FvWD40-135 | FvWD40-173 | 0.786537794 | 3.684815489 | 0.21345378 |
| FvWD40-175 | FvWD40-6 | 0.094787717 | 1.421269733 | 0.066692279 |
| FvWD40-178 | FvWD40-6 | 0.907112019 | 2.559185413 | 0.354453419 |
| FvWD40-135 | FvWD40-6 | 0.957201603 | 2.405324578 | 0.397951117 |
| FvWD40-9 | FvWD40-175 | 0.889800726 | 1.616879521 | 0.550319745 |
| FvWD40-119 | FvWD40-62 | 0.615953751 | 2.474169827 | 0.248953707 |
| FvWD40-6 | FvWD40-178 | 0.909296212 | 2.58510592 | 0.351744277 |
| FvWD40-119 | FvWD40-178 | 0.656315239 | 2.411238577 | 0.272190087 |
| FvWD40-135 | FvWD40-119 | 0.311647823 | 2.508425684 | 0.124240405 |
Disclaimer/Publisher’s Note: The statements, opinions and data contained in all publications are solely those of the individual author(s) and contributor(s) and not of MDPI and/or the editor(s). MDPI and/or the editor(s) disclaim responsibility for any injury to people or property resulting from any ideas, methods, instructions or products referred to in the content. |
© 2024 by the authors. Licensee MDPI, Basel, Switzerland. This article is an open access article distributed under the terms and conditions of the Creative Commons Attribution (CC BY) license (https://creativecommons.org/licenses/by/4.0/).
Share and Cite
Yang, H.; Yao, W.; Fan, X.; Lu, Y.; Wang, Y.; Ma, Z. Genome-Wide Identification and Analysis of WD40 Family and Its Expression in F. vesca at Different Coloring Stages. Int. J. Mol. Sci. 2024, 25, 12334. https://doi.org/10.3390/ijms252212334
Yang H, Yao W, Fan X, Lu Y, Wang Y, Ma Z. Genome-Wide Identification and Analysis of WD40 Family and Its Expression in F. vesca at Different Coloring Stages. International Journal of Molecular Sciences. 2024; 25(22):12334. https://doi.org/10.3390/ijms252212334
Chicago/Turabian StyleYang, Hongyu, Wenxia Yao, Xiangjun Fan, Yang Lu, Yan Wang, and Zonghuan Ma. 2024. "Genome-Wide Identification and Analysis of WD40 Family and Its Expression in F. vesca at Different Coloring Stages" International Journal of Molecular Sciences 25, no. 22: 12334. https://doi.org/10.3390/ijms252212334
APA StyleYang, H., Yao, W., Fan, X., Lu, Y., Wang, Y., & Ma, Z. (2024). Genome-Wide Identification and Analysis of WD40 Family and Its Expression in F. vesca at Different Coloring Stages. International Journal of Molecular Sciences, 25(22), 12334. https://doi.org/10.3390/ijms252212334
