Alkamides in Zanthoxylum Species: Phytochemical Profiles and Local Anesthetic Activities
Abstract
1. Introduction
2. Phytochemistry
2.1. Chemical Properties and Metabolism in the Plants
2.2. Alkamides Extraction, Isolation and Structure Elucidation
2.2.1. Alkamides from Zanthoxylum piperitum DC
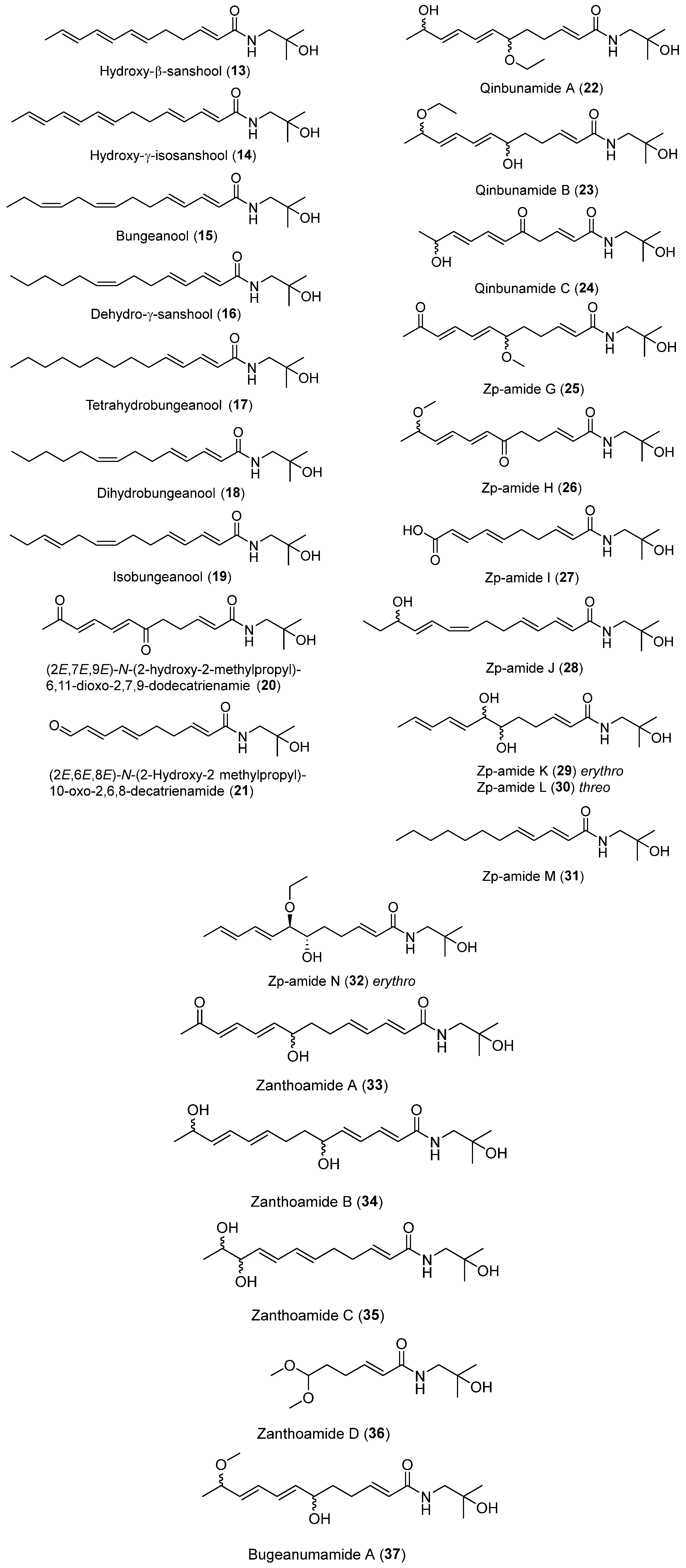
2.2.2. Alkamides from Zanthoxylum bungeanum
2.2.3. Alkamides from Zanthoxylum lemairie (De Wild.)
2.2.4. Alkamides from Zanthoxylum Integrifoliolum (Merr.) Merr
2.2.5. Alkamides from Zanthoxylum ailanthoides (Sieb. et Zucc.)
2.2.6. Alkamides from Zanthoxylum armatum DC
2.2.7. Alkamides from Zanthoxylum nitidum (Roxb.) DC
2.2.8. Alkamides from Zanthoxylum nitidum var. Tomentosum
2.2.9. Alkamides from Zanthoxylum heitzii
2.2.10. Alkamides from Zanthoxylum zanthoxyloides
2.2.11. Alkamides from Zanthoxylum chalybeum
3. Pharmacology: Local Anesthetic and Analgesic Effect
3.1. Pungent and Tingling Properties
3.2. Analgesic Effect
3.3. Local Anesthetic Effect
3.4. Structure–Activity Relationship for Pharmacology
4. Pharmacokinetics
5. Clinical Application
6. Conclusions and Perspectives
- (a)
- Until now, the efficacy of compound 2 has been demonstrated in relatively complete studies, including its pungent and tingling properties, the mechanism of analgesic effect and the local anesthetic effect; however, no other alkamide has been identified with similarly detailed molecular mechanisms for these effects and properties, and a series of alkamides similar to 2 should be further investigated accordingly. The examination of alkamides for local anesthetic effect and related bioactive properties should be wide-ranging and not merely focused on specific compounds.
- (b)
- The studies on alkamides should not be limited to phytochemistry and primary in vitro assays but should encompass a full series of investigations of their pharmacological effects.
- (c)
- The SARs of alkamides related to their pungent, tingling, analgesic and local anesthetic effects have been hypothesized and remain largely theoretical, requiring detailed investigations to confirm these relationships.
- (d)
- The results of pharmacokinetic studies are pivotal for clinical applications, as they furnish essential references for subsequent clinical research. Despite this significance, only a limited number of alkamides or crude extracts enriched with alkamides have been directly tested in clinical trials. It is therefore crucial to emphasize the need for a broader exploration and evaluation methodology of various types of alkamides through clinical testing, which is essential to substantiate their safety and efficacy profiles, thereby facilitating their correspondently safe and effective use in clinical settings.
Author Contributions
Funding
Conflicts of Interest
References
- Asase, A.; Oppong-Mensah, G. Traditional antimalarial phytotherapy remedies in herbal markets in southern Ghana. J. Ethnopharmacol. 2009, 126, 492–499. [Google Scholar] [CrossRef] [PubMed]
- Phuyal, N.; Jha, P.K.; Prasad Raturi, P.; Rajbhandary, S. Zanthoxylum armatum DC.: Current knowledge, gaps and opportunities in Nepal. J. Ethnopharmacol. 2019, 229, 326–341. [Google Scholar] [CrossRef] [PubMed]
- Plazas, E.; Casoti, R.; Avila Murillo, M.; Batista Da Costa, F.; Cuca, L.E. Metabolomic profiling of Zanthoxylum species: Identification of anti-cholinesterase alkaloids candidates. Phytochemistry 2019, 168, 112128. [Google Scholar] [CrossRef] [PubMed]
- Okagu, I.U.; Ndefo, J.C.; Aham, E.C.; Udenigwe, C.C. Zanthoxylum species: A comprehensive review of traditional uses, phytochemistry, pharmacological and nutraceutical applications. Molecules 2021, 26, 4023. [Google Scholar] [CrossRef] [PubMed]
- Mutinda, E.S.; Kimutai, F.; Mkala, E.M.; Waswa, E.N.; Odago, W.O.; Nanjala, C.; Ndungu, C.N.; Gichua, M.K.; Njire, M.M.; Gituru, R.W.; et al. Ethnobotanical uses, phytochemistry and pharmacology of pantropical genus Zanthoxylum L. (Rutaceae): An update. J. Ethnopharmacol. 2023, 303, 115895. [Google Scholar] [CrossRef]
- Qin, F.; Zhang, H.; Liu, A.; Wang, Q.; Sun, Q.; Lu, S.; Li, Q.; Guo, H.; Liu, X.; Lu, Z. Analgesic Effect of Zanthoxylum nitidum extract in inflammatory pain models through targeting of ERK and NF-κB signaling. Front. Pharmacol. 2019, 10, 359. [Google Scholar] [CrossRef]
- Wang, Y.; Yang, S.H.; Zhong, K.; Jiang, T.; Zhang, M.; Kwan, H.Y.; Su, T. Network pharmacology-based strategy for the investigation of the anti-obesity effects of an ethanolic extract of Zanthoxylum bungeanum Maxim. Front. Pharmacol. 2020, 11, 572387. [Google Scholar] [CrossRef]
- Huang, Y.; Gong, Z.; Yan, C.; Zheng, K.; Zhang, L.; Li, J.; Liang, E.; Zhang, L.; Mao, J. Investigation on the mechanisms of Zanthoxylum bungeanum for treating diabetes mellitus based on network pharmacology, molecular docking, and experiment verification. Biomed. Res. Int. 2023, 2023, 9298728. [Google Scholar] [CrossRef]
- Lu, Q.; Ma, R.; Yang, Y.; Mo, Z.; Pu, X.; Li, C. Zanthoxylum nitidum (Roxb.) DC: Traditional uses, phytochemistry, pharmacological activities and toxicology. J. Ethnopharmacol. 2020, 260, 112946. [Google Scholar] [CrossRef]
- Enechi, O.C.; Amah, C.C.; Okagu, I.U.; Ononiwu, C.P.; Azidiegwu, V.C.; Ugwuoke, E.O.; Onoh, A.P.; Ndukwe, E.E. Methanol extracts of Fagara zanthoxyloides leaves possess antimalarial effects and normalizes haematological and biochemical status of Plasmodium berghei-passaged mice. Pharm. Biol. 2019, 57, 577–585. [Google Scholar] [CrossRef]
- Andima, M.; Coghi, P.; Yang, L.J.; Wong, V.K.W.; Ngule, C.M.; Heydenreich, M.; Ndakala, A.J.; Yenesew, A.; Derese, S. Antiproliferative activity of secondary metabolites from Zanthoxylum zanthoxyloides Lam: In vitro and in silico studies. Pharmacogn. Commun. 2020, 10, 44–51. [Google Scholar] [CrossRef]
- Nuto, Y. Characteristics, fatty acid profile, strategic importance of Zanthoxylum zanthoxyloides (rutaceae) seed oil and sustainable conservation of the species. Int. J. Dev. 2018, 8, 21425–21429. [Google Scholar]
- Nwankwo, O.S.; Chioma, C.G.; Ofem, O.W.; Amara, E.M.; Chijioke, M.C. Aqueous methanol extract of the root bark of Zanthoxylum zanthoxyloides provides natural remedy for dental caries and toothache. World J. Pharm. Res. 2017, 6, 336–349. [Google Scholar] [CrossRef]
- Cui, H.Z.; Choi, H.R.; Choi, D.H.; Cho, K.W.; Kang, D.G.; Lee, H.S. Aqueous extract of Zanthoxylum schinifolium elicits contractile and secretory responses via beta1-adrenoceptor activation in beating rabbit atria. J. Ethnopharmacol. 2009, 126, 300–307. [Google Scholar] [CrossRef]
- Diéguez-Hurtado, R.; Garrido-Garrido, G.; Prieto-González, S.; Iznaga, Y.; González, L.; Molina-Torres, J.; Curini, M.; Epifano, F.; Marcotullio, M.C. Antifungal activity of some Cuban Zanthoxylum species. Fitoterapia 2003, 74, 384–386. [Google Scholar] [CrossRef]
- Dos, S.B.P.J.; Torquato, H.F.; Dos Santos, C.H.; Carvalho, M.G.; Castro, R.N.; Paredes-Gamero, E.J.; de Sousa, P.T., Jr.; Jacinto, M.J.; da Silva, V.C. [1-8-NαC]-Zanriorb A1, a proapoptotic orbitide from leaves of Zanthoxylum riedelianum. J. Nat. Prod. 2016, 79, 1454–1458. [Google Scholar] [CrossRef]
- Bafi-Yeboa, N.F.; Arnason, J.T.; Baker, J.; Smith, M.L. Antifungal constituents of northern prickly ash, Zanthoxylum americanum mill. Phytomedicine 2005, 12, 370–377. [Google Scholar] [CrossRef]
- Gong, Y.; Huang, Y.; Zhou, L.; Shi, X.; Guo, Z.; Wang, M.; Jiang, W. Chemical composition and antifungal activity of the fruit oil of Zanthoxylum bungeanum Maxim. (Rutaceae) from China. J. Essent. Oil Res. 2009, 21, 174–178. [Google Scholar] [CrossRef]
- Ross, S.A.; Sultana, G.N.; Burandt, C.L.; ElSohly, M.A.; Marais, J.P.; Ferreira, D. Syncarpamide, a new antiplasmodial (+)-norepinephrine derivative from Zanthoxylum syncarpum. J. Nat. Prod. 2004, 67, 88–90. [Google Scholar] [CrossRef]
- Matu, E.N.; van Staden, J. Antibacterial and anti-inflammatory activities of some plants used for medicinal purposes in Kenya. J. Ethnopharmacol. 2003, 87, 35–41. [Google Scholar] [CrossRef]
- Jamir, K.; Seshagirirao, K.; Meitei, M.D. Indigenous oral knowledge of wild medicinal plants from the Peren district of Nagaland, India in the Indo Burma hot-spot. Acta Ecol. Sin. 2022, 42, 206–223. [Google Scholar] [CrossRef]
- Dzoyem, J.P.; Guru, S.K.; Pieme, C.A.; Kuete, V.; Sharma, A.; Khan, I.A.; Saxena, A.K.; Vishwakarma, R.A. Cytotoxic and antimicrobial activity of selected Cameroonian edible plants. BMC Complement. Altern. Med. 2013, 13, 78. [Google Scholar] [CrossRef] [PubMed]
- Greger, H. Alkamides: A critical reconsideration of a multifunctional class of unsaturated fatty acid amides. Phytochem. Rev. 2016, 15, 729–770. [Google Scholar] [CrossRef]
- Greger, H. Alkamides: Structural relationships, distribution and biological activity. Planta Med. 1984, 50, 366–375. [Google Scholar] [CrossRef]
- Chruma, J.J.; Cullen, D.J.; Bowman, L.; Toy, P.H. Polyunsaturated fatty acid amides from the Zanthoxylum genus—From culinary curiosities to probes for chemical biology. Nat. Prod. Rep. 2018, 35, 54–74. [Google Scholar] [CrossRef]
- Okagu, I.U.; Ndefo, J.C.; Aham, E.C.; Udenigwe, C.C. Zanthoxylum species: A review of traditional uses, phytochemistry and pharmacology in relation to cancer, infectious diseases and sickle cell anemia. Front. Pharmacol. 2021, 12, 713090. [Google Scholar] [CrossRef]
- Boonen, J.; Bronselaer, A.; Nielandt, J.; Veryser, L.; De Tré, G.; De Spiegeleer, B. Alkamid database: Chemistry, occurrence and functionality of plant N-alkylamides. J. Ethnopharmacol. 2012, 142, 563–590. [Google Scholar] [CrossRef]
- Molina-Torres, J.; García-Chávez, A.; Ramírez-Chávez, E. Antimicrobial properties of alkamides present in flavouring plants traditionally used in Mesoamerica: Affinin and capsaicin. J. Ethnopharmacol. 1999, 64, 241–248. [Google Scholar] [CrossRef]
- Dossou, K.S.; Devkota, K.P.; Morton, C.; Egan, J.M.; Lu, G.; Beutler, J.A.; Moaddel, R. Identification of CB1/CB2 ligands from Zanthoxylum bungeanum. J. Nat. Prod. 2013, 76, 2060–2064. [Google Scholar] [CrossRef]
- Ren, T.; Zhu, Y.; Xia, X.; Ding, Y.; Guo, J.; Kan, J. Zanthoxylum alkylamides ameliorate protein metabolism disorder in STZ-induced diabetic rats. J. Mol. Endocrinol. 2017, 58, 113–125. [Google Scholar] [CrossRef]
- Ku, S.K.; Lee, I.C.; Kim, J.A.; Bae, J.S. Anti-septic effects of pellitorine in HMGB1-induced inflammatory responses in vitro and in vivo. Inflammation 2014, 37, 338–348. [Google Scholar] [CrossRef] [PubMed]
- Hajdu, Z.; Nicolussi, S.; Rau, M.; Lorántfy, L.; Forgo, P.; Hohmann, J.; Csupor, D.; Gertsch, J. Identification of endocannabinoid system-modulating N-alkylamides from Heliopsis helianthoides var. scabra and Lepidium meyenii. J. Nat. Prod. 2014, 77, 1663–1669. [Google Scholar] [CrossRef] [PubMed]
- Dallazen, J.L.; Maria-Ferreira, D.; da Luz, B.B.; Nascimento, A.M.; Cipriani, T.R.; de Souza, L.M.; Glugoski, L.P.; Silva, B.J.G.; Geppetti, P.; de Paula Werner, M.F. Distinct mechanisms underlying local antinociceptive and pronociceptive effects of natural alkylamides from Acmella oleracea compared to synthetic isobutylalkyl amide. Fitoterapia 2018, 131, 225–235. [Google Scholar] [CrossRef] [PubMed]
- Liu, Y.; Yadev, V.R.; Aggarwal, B.B.; Nair, M.G. Inhibitory effects of black pepper (Piper nigrum) extracts and compounds on human tumor cell proliferation, cyclooxygenase enzymes, lipid peroxidation and nuclear transcription factor-kappa-B. Nat. Prod. Commun. 2010, 5, 1253–1257. [Google Scholar] [CrossRef]
- Cai, F.; Wang, C. Comprehensive review of the phytochemistry, pharmacology, pharmacokinetics, and toxicology of alkamides (2016–2022). Phytochemistry 2024, 220, 114006. [Google Scholar] [CrossRef]
- López, K.S.; Marques, A.M.; Moreira, D.L.; Velozo, L.S.; Sudo, R.T.; Zapata-Sudo, G.; Guimarães, E.F.; Kaplan, M.A. Local anesthetic activity from extracts, fractions and pure compounds from the roots of Ottonia anisum Spreng. (Piperaceae). An. Acad. Bras. Ciênc. 2016, 88, 2229–2237. [Google Scholar] [CrossRef]
- Luo, J.; Ke, J.; Hou, X.; Li, S.; Luo, Q.; Wu, H.; Shen, G.; Zhang, Z. Composition, structure and flavor mechanism of numbing substances in Chinese prickly ash in the genus Zanthoxylum: A review. Food Chem. 2022, 373 Pt B, 131454. [Google Scholar] [CrossRef]
- Elufioye, T.O.; Habtemariam, S.; Adejare, A. Chemistry and pharmacology of alkylamides from natural origin. Rev. Bras. Farmacogn. 2020, 30, 622–640. [Google Scholar] [CrossRef]
- Méndez-Bravo, A.; Calderón-Vázquez, C.; Ibarra-Laclette, E.; Raya-González, J.; Ramírez-Chávez, E.; Molina-Torres, J.; Guevara-García, A.A.; López-Bucio, J.; Herrera-Estrella, L. Alkamides activate jasmonic acid biosynthesis and signaling pathways and confer resistance to Botrytis cinerea in Arabidopsis thaliana. PLoS ONE 2011, 6, e27251. [Google Scholar] [CrossRef]
- Rios, M.Y. Natural alkamides: Pharmacology, chemistry and distribution. Nat. Rev. Drug Discov. 2012, 244, 107–144. [Google Scholar]
- Wang, R.; Rao, C.; Liu, Q.; Liu, X. Degradation and transformation mechanisms of Zanthoxylum Alkylamides exposed to UVB light. Foods 2023, 12, 4392. [Google Scholar] [CrossRef] [PubMed]
- Yang, X. Aroma constituents and alkylamides of red and green huajiao (Zanthoxylum bungeanum and Zanthoxylum schinifolium). J. Agric. Food Chem. 2008, 56, 1689–1696. [Google Scholar] [CrossRef] [PubMed]
- Liu, Y.; Murphy, P.A. Alkamide stability in Echinacea purpurea extracts with and without phenolic acids in dry films and in solution. J. Agric. Food Chem. 2007, 55, 120–126. [Google Scholar] [CrossRef] [PubMed]
- Molina-Torres, J.; Salazar-Cabrera, C.J.; Armenta-Salinas, C.; Ramírez-Chávez, E. Fungistatic and bacteriostatic activities of alkamides from Heliopsis longipes roots: Affinin and reduced amides. J. Agric. Food Chem. 2004, 52, 4700–4704. [Google Scholar] [CrossRef] [PubMed]
- Glazebrook, J. Genes controlling expression of defense responses in Arabidopsis—2001 status. Curr. Opin. Plant Biol. 2001, 4, 301–308. [Google Scholar] [CrossRef]
- Zhang, J.; Wu, Z.; Han, N.; Wang, D. Functional validation of ZbFAD2 and ZbFAD3 in the alkylamide biosynthesis pathway from Zanthoxylum bungeanum Maxim. Front. Plant Sci. 2022, 13, 991882. [Google Scholar] [CrossRef]
- López-Bucio, J.; Millán-Godínez, M.; Méndez-Bravo, A.; Morquecho-Contreras, A.; Ramírez-Chávez, E.; Molina-Torres, J.; Pérez-Torres, A.; Higuchi, M.; Kakimoto, T.; Herrera-Estrella, L. Cytokinin receptors are involved in alkamide regulation of root and shoot development in Arabidopsis. Plant Physiol. 2007, 145, 1703–1713. [Google Scholar] [CrossRef][Green Version]
- Méndez-Bravo, A.; Raya-González, J.; Herrera-Estrella, L.; López-Bucio, J. Nitric oxide is involved in alkamide-induced lateral root development in Arabidopsis. Plant Cell Physiol. 2010, 51, 1612–1626. [Google Scholar] [CrossRef]
- Azwanida, N. A review on the extraction methods use in medicinal plants, principle, strength and limitation. Med. Aromat. Plants 2015, 4, 1000196. [Google Scholar]
- Abubakar, A.R.; Haque, M. Preparation of medicinal plants: Basic extraction and fractionation procedures for experimental purposes. J. Pharm. Bioallied Sci. 2020, 12, 1–10. [Google Scholar] [CrossRef]
- Ma, Y.; Wang, Y.; Li, X.; Hou, L.X.; Wei, A.Z. Sensory characteristics and antioxidant activity of Zanthoxylum bungeanum Maxim. pericarps. Chem. Biodivers. 2019, 16, e1800238. [Google Scholar] [CrossRef] [PubMed]
- Hatano, T.; Inada, K.; Ogawa, T.O.; Ito, H.; Yoshida, T. Aliphatic acid amides of the fruits of Zanthoxylum piperitum. Phytochemistry 2004, 65, 2599–2604. [Google Scholar] [CrossRef] [PubMed]
- Tian, J.M.; Wang, Y.; Xu, Y.Z.; Yu, Z.C.; Wei, A.Z.; Zhang, W.M.; Gao, J.M. Characterization of isobutylhydroxyamides with NGF-potentiating activity from Zanthoxylum bungeanum. Bioorg. Med. Chem. Lett. 2016, 26, 338–342. [Google Scholar] [CrossRef] [PubMed]
- Ahmad Dar, A.; Sangwan, P.L.; Kumar, A. Chromatography: An important tool for drug discovery. J. Sep. Sci. 2020, 43, 105–119. [Google Scholar] [CrossRef]
- Manayi, A.; Vazirian, M.; Saeidnia, S. Echinacea purpurea: Pharmacology, phytochemistry and analysis methods. Pharmacogn. Rev. 2015, 9, 63–72. [Google Scholar]
- Chen, J.; Zhang, T.; Zhang, Q.; Liu, Y.; Li, L.; Si, J.; Zou, Z.; Hua, H. Isobutylhydroxyamides from Sichuan pepper and their protective activity on PC12 cells damaged by corticosterone. J. Agric. Food Chem. 2018, 66, 3408–3416. [Google Scholar] [CrossRef]
- Crombie, L.; Tayler, J.L. 533. Amides of vegetable origin. Part VIII. The constitution and configuration of the sanshoöls. J. Chem. Soc. 1957, 2760–2766. [Google Scholar] [CrossRef]
- Yasuda, I.; Takeya, K.; Itokawa, H. Distribution of unsaturated aliphatic acid amides in Japanese Zanthoxylum species. Phytochemistry 1982, 21, 1295–1298. [Google Scholar] [CrossRef]
- Kashiwada, Y.; Ito, C.; Katagiri, H.; Mase, I.; Komatsu, K.; Namba, T.; Ikeshiro, Y. Amides of the fruit of Zanthoxylum spp. Phytochemistry 1997, 44, 1125–1127. [Google Scholar] [CrossRef]
- Jang, K.H.; Chang, Y.H.; Kim, D.D.; Oh, K.B.; Oh, U.; Shin, J. New polyunsaturated fatty acid amides isolated from the seeds of Zanthoxylum piperitum. Arch. Pharm. Res. 2008, 31, 569–572. [Google Scholar] [CrossRef]
- Bader, M.; Stark, T.D.; Dawid, C.; Lösch, S.; Hofmann, T. All-trans-configuration in Zanthoxylum alkylamides swaps the tingling with a numbing sensation and diminishes salivation. J. Agric. Food Chem. 2014, 62, 2479–2488. [Google Scholar] [CrossRef] [PubMed]
- Mizutani, K.; Fukunaga, Y.; Tanaka, O.; Takasugi, N.; Saruwatari, Y.I.; Fuwa, T.; Yamauchi, T.; Wang, J.; Jia, M.R.; Li, F.Y.; et al. Amides from huajiao, pericarps of Zanthoxylum bungeanum MAXIM. Chem. Pharm. Bull. 1988, 36, 2362–2365. [Google Scholar] [CrossRef]
- Xiong, Q.; Dawen, S.; Yamamoto, H.; Mizuno, M.J.P. Alkylamides from pericarps of Zanthoxylum bungeanum. Phytochemistry 1997, 46, 1123–1126. [Google Scholar] [CrossRef]
- Huang, S.; Zhao, L.; Zhou, X.L.; Ying, M.; Wang, C.J.; Weng, J. New alkylamides from pericarps of Zanthoxylum bungeanum. Chin. Chem. Lett. 2012, 23, 1247–1250. [Google Scholar] [CrossRef]
- Wang, Y.; Li, C.H.; Luo, B.; Sun, Y.N.; Kim, Y.H.; Wei, A.Z.; Gao, J.M. Isobutylhydroxyamides from Zanthoxylum bungeanum and their suppression of NO production. Molecules 2016, 21, 1416. [Google Scholar] [CrossRef]
- Adesina, S.K.; Olugbade, T.A.; Akinwusi, D.D.; von Willert, D.J. New amides from Zanthoxylum lemairie pericarps. Planta Med. 1997, 63, 286–287. [Google Scholar] [CrossRef]
- Chen, I.S.; Chen, T.L.; Lin, W.Y.; Tsai, I.L.; Chen, Y.C. Isobutylamides from the fruit of Zanthoxylum integrifoliolum. Phytochemistry 1999, 52, 357–360. [Google Scholar] [CrossRef]
- Yasuda, I.; Takeya, K.; Itokawa, H. Two new pungent principles isolated from the pericarps of Zanthoxylum ailanthoides. Chem. Pharm. Bull. 1981, 29, 1791–1793. [Google Scholar] [CrossRef]
- Chen, J.J.; Chung, C.Y.; Hwang, T.L.; Chen, J.F. Amides and benzenoids from Zanthoxylum ailanthoides with inhibitory activity on superoxide generation and elastase release by neutrophils. J. Nat. Prod. 2009, 72, 107–111. [Google Scholar] [CrossRef]
- Rostami, A.; Wang, Y.; Arif, A.M.; McDonald, R.; West, F.G. Intramolecular azide trapping of the Nazarov intermediate: Formation of peroxy-bridged indolizidinones via a deep-seated rearrangement and aerobic oxidation. Org. lett. 2007, 9, 703–706. [Google Scholar] [CrossRef]
- Devkota, K.P.; Wilson, J.; Henrich, C.J.; McMahon, J.B.; Reilly, K.M.; Beutler, J.A. Isobutylhydroxyamides from the pericarp of Nepalese Zanthoxylum armatum inhibit NF1-defective tumor cell line growth. J. Nat. Prod. 2013, 76, 59–63. [Google Scholar] [CrossRef] [PubMed]
- Zhu, L.J.; Ren, M.; Yang, T.C.; Qiao, C.; Chen, B.B.; Han, Z.Z.; Wang, S.H.; Wen, P.; Zhang, X. Four new alkylamides from the roots of Zanthoxylum nitidum. J. Asian Nat. Prod. Res. 2015, 17, 711–716. [Google Scholar] [CrossRef] [PubMed]
- Qin, F.; Wang, C.G.; Li, M.S.; Li, J.J.; Wei, G.; Liao, N.; Wang, H.S. Structurally diverse isobutylamides from Zanthoxylum nitidum. Fitoterapia 2023, 164, 105381. [Google Scholar] [CrossRef] [PubMed]
- Chakthong, S.; Ampaprom, R.; Inparn, S.; Phetkul, U.; Chusri, S.; Limsuwan, S.; Voravuthikunchai, S.P. New alkylamide from the stems of Zanthoxylum nitidum. Nat. Prod. Res. 2019, 33, 153–161. [Google Scholar] [CrossRef]
- Qin, F.; Wang, C.Y.; Hu, R.; Wang, C.G.; Wang, F.F.; Zhou, M.M.; Liang, D.; Liao, H.B.; Lee, S.K.; Wang, H.S. Anti-inflammatory activity of isobutylamides from Zanthoxylum nitidum var. tomentosum. Fitoterapia 2020, 142, 104486. [Google Scholar] [CrossRef]
- Wangensteen, H.; Ho, G.T.; Tadesse, M.; Miles, C.O.; Moussavi, N.; Mikolo, B.; Malterud, K.E. A new benzophenanthridine alkaloid and other bioactive constituents from the stem bark of Zanthoxylum heitzii. Fitoterapia 2016, 109, 196–200. [Google Scholar] [CrossRef]
- Rosario, S.L.; da Silva, A.J.; Parente, J.P. Alkamides from Cissampelos glaberrima. Planta Med. 1996, 62, 376–377. [Google Scholar] [CrossRef]
- Ahmed, A.; Aboul-Ela, M.; El-Din, A. New alkamide from Anacyclus monanthos. Pharmazie 1990, 45, 941–945. [Google Scholar]
- Guetchueng, S.T.; Nahar, L.; Ritchie, K.J.; Ismail, F.M.; Evans, A.R.; Sarker, S. Zanthoamides GI: Three new alkamides from Zanthoxylum zanthoxyloides. Phytochem. Lett. 2018, 26, 125–129. [Google Scholar] [CrossRef]
- Omosa, L.K.; Mbogo, G.M.; Korir, E.; Omole, R.; Seo, E.J.; Yenesew, A.; Heydenreich, M.; Midiwo, J.O.; Efferth, T. Cytotoxicity of fagaramide derivative and canthin-6-one from Zanthoxylum (Rutaceae) species against multidrug resistant leukemia cells. Nat. Prod. Res. 2021, 35, 579–586. [Google Scholar] [CrossRef]
- Vadhanan, P.; Tripaty, D.K.; Adinarayanan, S. Physiological and pharmacologic aspects of peripheral nerve blocks. J. Anaesthesiol. Clin. Pharmacol. 2015, 31, 384–393. [Google Scholar] [CrossRef] [PubMed]
- Sun, H.; Kollarik, M.; Undem, B.J. Blocking voltage-gated sodium channels as a strategy to suppress pathological cough. Pulm. Pharmacol. Ther. 2017, 47, 38–41. [Google Scholar] [CrossRef] [PubMed]
- Leffler, A.; Lattrell, A.; Kronewald, S.; Niedermirtl, F.; Nau, C. Activation of TRPA1 by membrane permeable local anesthetics. Mol. Pain. 2011, 7, 62. [Google Scholar] [CrossRef] [PubMed]
- Sugai, E.; Morimitsu, Y.; Iwasaki, Y.; Morita, A.; Watanabe, T.; Kubota, K. Pungent qualities of sanshool-related compounds evaluated by a sensory test and activation of rat TRPV1. Biosci. Biotechnol. Biochem. 2005, 69, 1951–1957. [Google Scholar] [CrossRef] [PubMed]
- Bryant, B.P.; Mezine, I. Alkylamides that produce tingling paresthesia activate tactile and thermal trigeminal neurons. Brain Res. 1999, 842, 452–460. [Google Scholar] [CrossRef]
- Koo, J.Y.; Jang, Y.; Cho, H.; Lee, C.H.; Jang, K.H.; Chang, Y.H.; Shin, J.; Oh, U. Hydroxy-alpha-sanshool activates TRPV1 and TRPA1 in sensory neurons. Eur. J. Neurosci. 2007, 26, 1139–1147. [Google Scholar] [CrossRef]
- Bautista, D.M.; Sigal, Y.M.; Milstein, A.D.; Garrison, J.L.; Zorn, J.A.; Tsuruda, P.R.; Nicoll, R.A.; Julius, D. Pungent agents from Szechuan peppers excite sensory neurons by inhibiting two-pore potassium channels. Nat. Neurosci. 2008, 11, 772–779. [Google Scholar] [CrossRef]
- Tsunozaki, M.; Lennertz, R.C.; Vilceanu, D.; Katta, S.; Stucky, C.L.; Bautista, D.M. A ‘toothache tree’ alkylamide inhibits Aδ mechanonociceptors to alleviate mechanical pain. J. Physiol. 2013, 591, 3325–3340. [Google Scholar] [CrossRef]
- Tan, F.; Xu, L.; Liu, Y.; Li, H.; Zhang, D.; Qin, C.; Han, Y.; Han, J. Design of hydroxy-α-sanshool loaded nanostructured lipid carriers as a potential local anesthetic. Drug Deliv. 2022, 29, 743–753. [Google Scholar] [CrossRef]
- Ley, J.P.; Hilmer, J.M.; Weber, B.; Krammer, G.; Gatfield, I.L.; Bertram, H.J. Stereoselective enzymatic synthesis of cis-pellitorine, a taste active alkamide naturally occurring in Tarragon. Eur. J. Org. Chem. 2004, 2004, 5135–5140. [Google Scholar] [CrossRef]
- Oh, U.; Hwang, S.W.; Kim, D. Capsaicin activates a nonselective cation channel in cultured neonatal rat dorsal root ganglion neurons. J. Neurosci. 1996, 16, 1659–1667. [Google Scholar] [CrossRef] [PubMed]
- Li, Y.F.; Zhang, Y.G.; Bian, T.T.; Niu, J.; Si, X.; Cao, R.; Zhang, S.J.; Yan, X.K. Study on conduction anesthesia of water extract from different processed products of Zanthoxylum bungeanum. Chin. J. Clin. Pharmacol. 2021, 744, 727–729. [Google Scholar]
- Galopin, C.C.; Furrer, S.M.; Goeke, A. Pungent and tingling compounds in Asian cuisine. ACS Symp. Ser 2003, 867, 139–152. [Google Scholar]
- Menozzi-Smarrito, C.; Riera, C.E.; Munari, C.; Le Coutre, J.; Robert, F. Synthesis and evaluation of new alkylamides derived from alpha-hydroxysanshool, the pungent molecule in szechuan pepper. J. Agric. Food Chem. 2009, 57, 1982–1989. [Google Scholar] [CrossRef] [PubMed]
- Munekage, M.; Kitagawa, H.; Ichikawa, K.; Watanabe, J.; Aoki, K.; Kono, T.; Hanazaki, K. Pharmacokinetics of daikenchuto, a traditional Japanese medicine (kampo) after single oral administration to healthy Japanese volunteers. Drug Metab. Dispos. 2011, 39, 1784–1788. [Google Scholar] [CrossRef]
- Rong, R.; Cui, M.Y.; Zhang, Q.L.; Zhang, M.Y.; Yu, Y.M.; Zhou, X.Y.; Yu, Z.G.; Zhao, Y.L. Anesthetic constituents of Zanthoxylum bungeanum Maxim.: A pharmacokinetic study. J. Sep. Sci. 2016, 39, 2728–2735. [Google Scholar] [CrossRef]
- Tang, M.; Wang, Z.; Zhou, Y.; Xu, W.; Li, S.; Wang, L.; Wei, D.; Qiao, Z. A novel drug candidate for Alzheimer’s disease treatment: Gx-50 derived from Zanthoxylum bungeanum. J. Alzheimer’s Dis. 2013, 34, 203–213. [Google Scholar] [CrossRef]
- Meng, J.; Qian, D.; Li, R.L.; Peng, W.; Ai, L. In vitro metabolism and in vivo pharmacokinetics profiles of hydroxy-α-sanshool. Toxics 2024, 12, 100. [Google Scholar] [CrossRef]
- Matthias, A.; Gillam, E.M.; Penman, K.G.; Matovic, N.J.; Bone, K.M.; De Voss, J.J.; Lehmann, R.P. Cytochrome P450 enzyme-mediated degradation of Echinacea alkylamides in human liver microsomes. Chem. Biol. Interact. 2005, 155, 62–70. [Google Scholar] [CrossRef]
- Toselli, F.; Matthias, A.; Bone, K.M.; Gillam, E.M.; Lehmann, R.P. Metabolism of the major Echinacea alkylamide N-isobutyldodeca-2E,4E,8Z,10Z-tetraenamide by human recombinant cytochrome P450 enzymes and human liver microsomes. Phytother. Res. 2010, 24, 1195–1201. [Google Scholar] [CrossRef]
- Dubuisson, D.; Dennis, S.G. The formalin test: A quantitative study of the analgesic effects of morphine, meperidine, and brain stem stimulation in rats and cats. Pain 1977, 4, 161–174. [Google Scholar] [CrossRef]
- Shields, S.D.; Cavanaugh, D.J.; Lee, H.; Anderson, D.J.; Basbaum, A.I. Pain behavior in the formalin test persists after ablation of the great majority of C-fiber nociceptors. Pain 2010, 151, 422–429. [Google Scholar] [CrossRef]






| Alkamides | Sensory Properties, Analgesic and Local Anesthetic Effect | References | 
|---|---|---|
| α-sanshool (1)  | The pungent qualities: burning, tingling and numbing. Burning and tingling were predominantly perceived and lasting longer than numbness. | [84] | 
| Hydroxy-α-sanshool (HAS) (2)  | Numbness: during treatment of toothache. Inducing: insensitive to innocuous thermal or tactile stimuli; insensitive to touch or cooling. | [85] | 
| Analgesia: during treatment of toothache. Tingling and numbing. | [84] | |
| Promoting Ca2+ influx in cells transfected with TRPV1 and evoked robust inward currents in cells transfected with TRPV1 in dorsal root ganglia neurons and trigeminal ganglion neurons. | [86] | |
| Exciting sensory neurons by inhibiting two-pore-domain K+ channels (KCNK3, KCNK9 and KCNK18). | [87] | |
| Inhibiting the activity of multiple voltage-gated sodium channel subtypes, among which Nav1.7 is the most strongly affected. Inhibiting Aδ mechanonociceptors that mediate both sharp acute and inflammatory pain. | [88] | |
| HAS + nanostructured lipid carriers had excellent anesthetic effect at low dose in formalin test compared with free HAS only and lidocaine: worked rapidly and sustained longer effect time. | [89] | |
| β-sanshool (3)  | The pungent qualities: numbing and bitter. | [84] | 
| Hydroxy-β-sanshool (13)  | The pungent qualities: numbing, astringent and bitter. Mediating numbing and anesthetic effect. | [61] | 
| γ-sanshool (43)  | The pungent qualities: burning, numbing, fresh, bitter. | [84] | 
| Burning and fresh. Potent agonist of TRPV1 activity that explains its pungent and tingling sensation and its use as a natural anesthetic for toothache. | [84] | |
| Hydroxy-γ-isosanshool (14)  | Inducing numbing and anesthetic effect. | [61] | 
| Hydroxy-ε-sanshool (5)  | Tingling sensations when applied to the human tongue. | [85] | 
| Disclaimer/Publisher’s Note: The statements, opinions and data contained in all publications are solely those of the individual author(s) and contributor(s) and not of MDPI and/or the editor(s). MDPI and/or the editor(s) disclaim responsibility for any injury to people or property resulting from any ideas, methods, instructions or products referred to in the content. | 
© 2024 by the authors. Licensee MDPI, Basel, Switzerland. This article is an open access article distributed under the terms and conditions of the Creative Commons Attribution (CC BY) license (https://creativecommons.org/licenses/by/4.0/).
Share and Cite
Lu, I.-C.; Hu, P.-Y.; Lin, C.-H.; Chang, L.-L.; Wang, H.-C.; Cheng, K.-I.; Gau, T.-P.; Lin, K.-W. Alkamides in Zanthoxylum Species: Phytochemical Profiles and Local Anesthetic Activities. Int. J. Mol. Sci. 2024, 25, 12228. https://doi.org/10.3390/ijms252212228
Lu I-C, Hu P-Y, Lin C-H, Chang L-L, Wang H-C, Cheng K-I, Gau T-P, Lin K-W. Alkamides in Zanthoxylum Species: Phytochemical Profiles and Local Anesthetic Activities. International Journal of Molecular Sciences. 2024; 25(22):12228. https://doi.org/10.3390/ijms252212228
Chicago/Turabian StyleLu, I-Cheng, Pin-Yang Hu, Chia-Heng Lin, Lin-Li Chang, Hung-Chen Wang, Kuang-I Cheng, Tz-Ping Gau, and Kai-Wei Lin. 2024. "Alkamides in Zanthoxylum Species: Phytochemical Profiles and Local Anesthetic Activities" International Journal of Molecular Sciences 25, no. 22: 12228. https://doi.org/10.3390/ijms252212228
APA StyleLu, I.-C., Hu, P.-Y., Lin, C.-H., Chang, L.-L., Wang, H.-C., Cheng, K.-I., Gau, T.-P., & Lin, K.-W. (2024). Alkamides in Zanthoxylum Species: Phytochemical Profiles and Local Anesthetic Activities. International Journal of Molecular Sciences, 25(22), 12228. https://doi.org/10.3390/ijms252212228
 
        


 
                         
       