Salivary Metabolic Pathway Alterations in Brazilian E-Cigarette Users †
Abstract
1. Introduction
2. Results
2.1. Groups Characterization
2.2. Alcoholic Beverage Consumption
2.3. E-Cig Use Profile
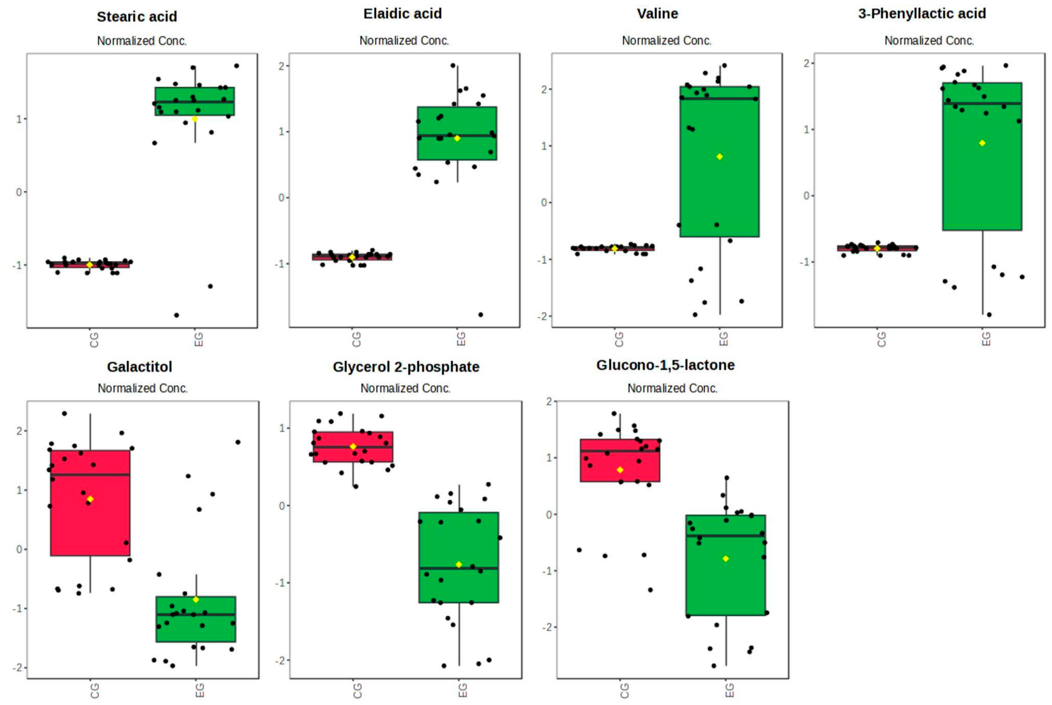
2.4. The Salivary Metabolites
2.5. Analysis of Possible Salivary Biomarkers
3. Discussion
3.1. E-Cig Effect on General Health
3.2. Alterations in Salivary Parameters
3.3. Alcohol and E-Cig Synergism
3.4. The New Nicotine Use Era
3.5. Salivary Metabolome and Biomarkers
3.6. Limitations of the Study
- Salivary composition is influenced by time of day, food/beverage intake, collection method, and degree of stimulation.
- Salivary flow and composition vary across the population and even within individuals, being directly influenced by age, dietary factors, habits, pregnancy/breastfeeding, and hormonal changes.
- The concentration of salivary markers may not represent the same serum concentrations. Furthermore, oral health conditions or the presence of lesions can alter the concentration of salivary markers.
- Some medications, oncological treatments, or autoimmune diseases can affect the function of the salivary glands.
4. Material and Methods
4.1. Ethical Approval
4.2. Selection of Participants
- The Electronic Cigarette Group (EG) consisted of 25 regular and exclusive e-cig users for at least 6 months without visible clinical changes in the oral mucosa.
- The Control Group (CG) comprised 25 non-smokers and non-e-cig users without visible clinical changes in the oral mucosa.
4.3. Sample Collection
4.4. Qualitative and Quantitative Saliva Evaluation
4.5. Smoking and Alcoholic Beverage Consumption
4.6. Salivary Metabolome Analysis
4.7. Statistical Analysis
5. Conclusions
Author Contributions
Funding
Institutional Review Board Statement
Informed Consent Statement
Data Availability Statement
Conflicts of Interest
References
- Knorst, M.M.; Benedetto, I.G.; Hoffmeister, M.C.; Gazzana, M.B. The electronic cigarette: The new cigarette of the 21st century? J. Bras. De Pneumol. 2014, 40, 564–572. [Google Scholar] [CrossRef] [PubMed]
- Liber, A.C.; Knoll, M.; Cadham, C.J.; Issabakhsh, M.; Oh, H.; Cook, S.; Warner, K.E.; Mistry, R.; Levy, D.T. The role of flavored electronic nicotine delivery systems in smoking cessation: A systematic review. Drug Alcohol Depend. Rep. 2023, 7, 100143. [Google Scholar] [CrossRef]
- Ebersole, J.; Samburova, V.; Son, Y.; Cappelli, D.; Demopoulos, C.; Capurro, A.; Pinto, A.; Chrzan, B.; Kingsley, K.; Howard, K.; et al. Harmful chemicals emitted from electronic cigarettes and potential deleterious effects in the oral cavity. Tob. Induc. Dis. 2020, 18, 41. [Google Scholar] [CrossRef]
- Travis, N.; Knoll, M.; Cook, S.; Oh, H.; Cadham, C.J.; Sánchez-Romero, L.M.; Levy, D.T. Chemical Profiles and Toxicity of Electronic Cigarettes: An Umbrella Review and Methodological Considerations. Int. J. Environ. Res. Public Health 2023, 20, 1908. [Google Scholar] [CrossRef] [PubMed]
- Zhao, D.; Aravindakshan, A.; Hilpert, M.; Olmedo, P.; Rule, A.M.; Navas-Acien, A.; Aherrera, A. Metal/Metalloid Levels in Electronic Cigarette Liquids, Aerosols, and Human Biosamples: A Systematic Review. Environ. Health Perspect. 2020, 128, 36001. [Google Scholar] [CrossRef]
- Humphrey, S.P.; Williamson, R.T. A review of saliva: Normal composition, flow, and function. J. Prosthet. Dent. 2001, 85, 162–169. [Google Scholar] [CrossRef] [PubMed]
- Bardow, A.; Nyvad, B.; Nauntofte, B. Relationships between medication intake, complaints of dry mouth, salivary flow rate and composition, and the rate of tooth demineralization in situ. Arch. Oral Biol. 2001, 46, 413–423. [Google Scholar] [CrossRef]
- Bessonneau, V.; Pawliszyn, J.; Rappaport, S.M. The Saliva Exposome for Monitoring of Individuals’ Health Trajectories. Environ. Health Perspect. 2017, 125, 077014. [Google Scholar] [CrossRef]
- Washio, J.; Takahashi, N. Metabolomic Studies of Oral Biofilm, Oral Cancer, and Beyond. Int. J. Mol. Sci. 2016, 17, 870. [Google Scholar] [CrossRef]
- Zhang, A.; Sun, H.; Wang, X. Saliva Metabolomics Opens Door to Biomarker Discovery, Disease Diagnosis, and Treatment. Appl. Biochem. Biotechnol. 2012, 168, 1718–1727. [Google Scholar] [CrossRef]
- World Health Organization (WHO). WHO Report on the Global Tobacco Epidemic, 2021: Addressing New and Emerging Products. 2021. Available online: https://apps.who.int/iris/handle/10665/326043 (accessed on 15 May 2024).
- Zhao, Y.Y. Metabolomics in chronic kidney disease. Clin. Chim. Acta 2013, 422, 59–69. [Google Scholar] [CrossRef] [PubMed]
- Alqahtani, S.; Cooper, B.; Spears, C.A.; Wright, C.; Shannahan, J. Electronic nicotine delivery system-induced alterations in oral health via saliva assessment. Exp. Biol. Med. 2020, 245, 1319–1325. [Google Scholar] [CrossRef] [PubMed]
- de Sá Alves, M.; de Sá Rodrigues, N.; Bandeira, C.M.; Chagas, J.F.S.; Pascoal, M.B.N.; Nepomuceno, G.L.J.T.; Martinho, H.d.S.; Alves, M.G.O.; Mendes, M.A.; Dias, M.; et al. Identification of Possible Salivary Metabolic Biomarkers and Altered Metabolic Pathways in South American Patients Diagnosed with Oral Squamous Cell Carcinoma. Metabolites 2021, 11, 650. [Google Scholar] [CrossRef] [PubMed]
- World Health Organization (WHO). WHO Report on the Global Tobacco Epidemic 2023: Protect People from Tobacco Smoke. 2023. Available online: https://www.who.int/publications/i/item/9789240077164 (accessed on 10 June 2024).
- Dinardo, P.; Rome, E.S. Vaping: The new wave of nicotine addiction. Clevel. Clin. J. Med. 2019, 86, 789–798. [Google Scholar] [CrossRef] [PubMed]
- Arrazola, R.A.; Singh, T.; Corey, C.G.; Husten, C.G.; Neff, L.J.; Apelberg, B.J.; Bunnell, R.E.; Choiniere, C.J.; King, B.A.; Cox, S.; et al. Tobacco use among middle and high school students—United States, 2011–2014. Morb. Mortal. Wkly. Rep. (MMWR) 2015, 64, 381–385. [Google Scholar]
- Martins, B.N.F.L.; Normando, A.G.C.; Rodrigues-Fernandes, C.I.; Wagner, V.P.; Kowalski, L.P.; Marques, S.S.; Marta, G.N.; Júnior, G.d.C.; Ruiz, B.I.I.; Vargas, P.A.; et al. Global frequency and epidemiological profile of electronic cigarette users: A systematic review. Oral Surg. Oral Med. Oral Pathol. Oral Radiol. 2022, 134, 548–561. [Google Scholar] [CrossRef]
- Delnevo, C.D.; Giovenco, D.P.; Steinberg, M.B.; Villanti, A.C.; Pearson, J.L.; Niaura, R.S.; Abrams, D.B. Patterns of Electronic Cigarette Use Among Adults in the United States. Nicotine Tob. Res. 2016, 18, 715–719. [Google Scholar] [CrossRef]
- Action on Smoking and Health (ASH). Use of e-Cigarettes (Vapes) Among Adults in Great Britain. 2021. Available online: https://ash.org.uk/uploads/Use-of-e-cigarettes-vapes-among-adults-in-Great-Britain-2021.pdf (accessed on 23 August 2024).
- Vogel, E.A.; Prochaska, J.J.; Ramo, D.E.; Andres, J.; Rubinstein, M.L. Adolescents’ E-Cigarette Use: Increases in Frequency, Dependence, and Nicotine Exposure Over 12 Months. J. Adolesc. Health 2019, 64, 770–775. [Google Scholar] [CrossRef]
- Vogel, E.A.; Cho, J.; McConnell, R.S.; Barrington-Trimis, J.L.; Leventhal, A.M. Prevalence of Electronic Cigarette Dependence Among Youth and Its Association With Future Use. JAMA Netw. Open 2020, 3, e1921513. [Google Scholar] [CrossRef]
- Pisinger, C.; Døssing, M. A systematic review of health effects of electronic cigarettes. Prev. Med. 2014, 69, 248–260. [Google Scholar] [CrossRef]
- Chen, I.-L. FDA Summary of Adverse Events on Electronic Cigarettes. Nicotine Tob. Res. 2013, 15, 615–616. [Google Scholar] [CrossRef] [PubMed]
- Seiler-Ramadas, R.; Sandner, I.; Haider, S.; Grabovac, I.; Dorner, T.E. Health effects of electronic cigarette (e-cigarette) use on organ systems and its implications for public health. Wien. Klin. Wochenschr. 2021, 133, 1020–1027. [Google Scholar] [CrossRef] [PubMed]
- Espinoza-Derout, J.; Shao, X.M.; Lao, C.J.; Hasan, K.M.; Rivera, J.C.; Jordan, M.C.; Echeverria, V.; Roos, K.P.; Sinha-Hikim, A.P.; Friedman, T.C. Electronic Cigarette Use and the Risk of Cardiovascular Diseases. Front. Cardiovasc. Med. 2022, 9, 879726. [Google Scholar] [CrossRef] [PubMed]
- McConnell, R.; Barrington-Trimis, J.L.; Wang, K.; Urman, R.; Hong, H.; Unger, J.; Samet, J.; Leventhal, A.; Berhane, K. Electronic Cigarette Use and Respiratory Symptoms in Adolescents. Am. J. Respir. Crit. Care Med. 2017, 195, 1043–1049. [Google Scholar] [CrossRef] [PubMed]
- Sund, L.J.; Dargan, P.I.; Archer, J.R.H.; Wood, D.M. E-cigarette or vaping-associated lung injury (EVALI): A review of international case reports from outside the United States of America. Clin. Toxicol. 2023, 61, 91–97. [Google Scholar] [CrossRef]
- Issa, J.S.; Abe, T.M.O.; Pereira, A.C.; Megid, M.C.; Shimabukuro, C.E.; Valentin, L.S.O.; Ferreira, M.M.d.C.; Nobre, M.R.C.; Lancarotte, I.; Barretto, A.C.P. The effect of São Paulo’s smoke-free legislation on carbon monoxide concentration in hospitality venues and their workers. Tob. Control 2011, 20, 156–162. [Google Scholar] [CrossRef]
- Schwarzmeier, L.Â.T.; da Cruz, B.S.; Ferreira, C.C.P.; do Carmo Carvalho, B.F.; Alves, M.G.O.; Lima Carta, C.F.; Scholz, J.R.; Almeida, J.D. E-cig might cause cell damage of oral mucosa. Oral Surg. Oral Med. Oral Pathol. Oral Radiol. 2021, 131, 435–443. [Google Scholar] [CrossRef]
- Gaya, P.V.; Fonseca, G.W.P.; Tanji, L.T.; Abe, T.O.; Alves, M.J.N.N.; de Lima Santos, P.C.J.; Colombo, F.M.; Scholz, J.R. Smoking cessation decreases arterial blood pressure in hypertensive smokers: A subgroup analysis of the randomized controlled trial, GENTSMOKING. Tob. Induc. Dis. 2024, 22, 1–10. [Google Scholar] [CrossRef]
- Hassona, Y.; Scully, C. Salivary changes in oral mucosal diseases. Periodontology 2000 2016, 70, 111–127. [Google Scholar] [CrossRef]
- Pedersen, A.M.L.; Sørensen, C.E.; Proctor, G.B.; Carpenter, G.H.; Ekström, J. Salivary secretion in health and disease. J. Oral Rehabil. 2018, 45, 730–746. [Google Scholar] [CrossRef]
- Cichońska, D.; Kusiak, A.; Kochańska, B.; Ochocińska, J.; Świetlik, D. Influence of Electronic Cigarettes on Selected Physicochemical Properties of Saliva. Int. J. Environ. Res. Public Health 2022, 19, 3314. [Google Scholar] [CrossRef] [PubMed]
- Parvinen, T. Stimulated salivary flow rate, pH and lactobacillus and yeast concentrations in non-smokers and smokers. Eur. J. Oral Sci. 1984, 92, 315–318. [Google Scholar] [CrossRef]
- Omeroglu Simsek, G.; Kilinc, G.; Ergan, B.; Kilinc, O. Effects of Oral pH Changes on Smoking Desire. Balk. Med. J. 2021, 38, 165–170. [Google Scholar] [CrossRef]
- Callahan-Lyon, P. Electronic cigarettes: Human health effects. Tob. Control 2014, 23 (Suppl. S2), ii36–ii40. [Google Scholar] [CrossRef]
- dos Santos Maximino, G.; Andrade, A.L.M.; de Andrade, A.G.; de Oliveira, L.G. Profile of Brazilian Undergraduates Who Use Electronic Cigarettes: A Cross-Sectional Study on Forbidden Use. Int. J. Ment. Health Addict. 2023, 2023, 1–14. [Google Scholar] [CrossRef] [PubMed]
- Bertoni, N.; Cavalcante, T.M.; Souza MC de Szklo, A.S. Prevalence of electronic nicotine delivery systems and waterpipe use in Brazil: Where are we going? Rev. Bras. Epidemiol. 2021, 24 (Suppl. S2), e210007. [Google Scholar] [CrossRef]
- Feng, L.; Wang, L. Effects of alcohol on the morphological and structural changes in oral mucosa. Pak. J. Med. Sci. 2013, 29, 1046–1049. [Google Scholar] [CrossRef] [PubMed]
- Hoes, L.; Dok, R.; Verstrepen, K.J.; Nuyts, S. Ethanol-Induced Cell Damage Can Result in the Development of Oral Tumors. Cancers 2021, 13, 3846. [Google Scholar] [CrossRef]
- Hecht, S.S.; Hatsukami, D.K. Smokeless tobacco and cigarette smoking: Chemical mechanisms and cancer prevention. Nat. Rev. Cancer 2022, 22, 143–155. [Google Scholar] [CrossRef]
- Goyal, N.; Hennessy, M.; Lehman, E.; Lin, W.; Agudo, A.; Ahrens, W.; Boccia, S.; Brennan, P.; Brenner, H.; Cadoni, G.; et al. Risk factors for head and neck cancer in more and less developed countries: Analysis from the INHANCE consortium. Oral Dis. 2023, 29, 1565–1578. [Google Scholar] [CrossRef]
- Fan, X.; Peters, B.A.; Jacobs, E.J.; Gapstur, S.M.; Purdue, M.P.; Freedman, N.D.; Alekseyenko, A.V.; Wu, J.; Yang, L.; Pei, Z.; et al. Drinking alcohol is associated with variation in the human oral microbiome in a large study of American adults. Microbiome 2018, 6, 59. [Google Scholar] [CrossRef] [PubMed]
- Lozano, A.; Liu, F.; Lee, T.K.; Prado, G.; Schwartz, S.J.; Leventhal, A.M.; Kelleghan, A.R.; Unger, J.B.; Barrington-Trimis, J.L. Bidirectional associations between e-cigarette use and alcohol use across adolescence. Drug Alcohol Depend. 2021, 220, 108496. [Google Scholar] [CrossRef] [PubMed]
- Gapstur, S.M.; Bouvard, V.; Nethan, S.T.; Freudenheim, J.L.; Abnet, C.C.; English, D.R.; Rehm, J.; Balbo, S.; Buykx, P.; Crabb, D.; et al. The IARC Perspective on Alcohol Reduction or Cessation and Cancer Risk. N. Engl. J. Med. 2023, 389, 2486–2494. [Google Scholar] [CrossRef] [PubMed]
- Schuler, M.S.; Tucker, J.S.; Pedersen, E.R.; D’Amico, E.J. Relative influence of perceived peer and family substance use on adolescent alcohol, cigarette, and marijuana use across middle and high school. Addict. Behav. 2019, 88, 99–105. [Google Scholar] [CrossRef]
- Trucco, E.M. A review of psychosocial factors linked to adolescent substance use. Pharmacol. Biochem. Behav. 2020, 196, 172969. [Google Scholar] [CrossRef]
- Delk, J.; Carey, F.R.; Case, K.R.; Creamer, M.R.; Wilkinson, A.V.; Perry, C.L.; Harrell, M.B. Adolescent Tobacco Uptake and Other Substance Use: A Latent Class Analysis. Am. J. Health Behav. 2019, 43, 3–14. [Google Scholar] [CrossRef]
- Spoelder, M.; Tsutsui, K.T.; Lesscher, H.M.B.; Vanderschuren, L.J.M.J.; Clark, J.J. Adolescent Alcohol Exposure Amplifies the Incentive Value of Reward-Predictive Cues Through Potentiation of Phasic Dopamine Signaling. Neuropsychopharmacology 2015, 40, 2873–2885. [Google Scholar] [CrossRef]
- Martins, B.N.F.L.; Dos Santos, E.S.; Fonseca, F.P.; William, W.N.; Bueno de Oliveira, T.; Marta, G.N.; Chaves, A.L.F.; Prado-Ribeiro, A.C.; Ayo-Yusuf, O.; Curado, M.P.; et al. The impact of colonialism on head and neck cancer in Brazil: A historical essay focussing on tobacco, alcohol and slavery. Lancet Reg. Health-Am. 2024, 31, 100690. [Google Scholar]
- Vigitel. Vigitel Brazil 2006–2023: Smoking and Alcohol Abuse. Surveillance of Risk and Protective Factors for Chronic Diseases by Telephone Survey: Estimates of Frequency and Sociodemographic Distribution of Smoking and Alcohol abuse in the Capitals of the 26 Brazilian States and the Federal District Between 2006 and 2023. 2023. Available online: https://www.gov.br/saude/pt-br/centrais-de-conteudo/publicacoes/svsa/vigitel/vigitel-brasil-2006-2023-tabagismo-e-consumo-abusivo-de-alcool/view (accessed on 10 July 2024).
- Wang, T.W.; Neff, L.J.; Park-Lee, E.; Ren, C.; Cullen, K.A.; King, B.A. E-cigarette Use Among Middle and High School Students—United States, 2020. Morb. Mortal. Wkly. Rep. (MMWR) 2020, 69, 1310–1312. [Google Scholar] [CrossRef]
- Gholap, V.V.; Kosmider, L.; Golshahi, L.; Halquist, M.S. Nicotine forms: Why and how do they matter in nicotine delivery from electronic cigarettes? Expert Opin. Drug Deliv. 2020, 17, 1727–1736. [Google Scholar] [CrossRef]
- Brazilian Health Regulatory Agency (Anvisa). Resolution RDC 14/2012. 2012. Available online: https://antigo.anvisa.gov.br/legislacao#/visualizar/28843 (accessed on 10 July 2024).
- World Health Organization (WHO). Study Group on Tobacco Product Regulation; Report on the Scientific Basis of Tobacco Product Regulation: Ninth Report of a WHO Study Group; WHO: Geneva, Switzerland, 2023. [Google Scholar]
- Mokeem, S.A.; Alasqah, M.N.; Michelogiannakis, D.; Al-Kheraif, A.A.; Romanos, G.E.; Javed, F. Clinical and radiographic periodontal status and whole salivary cotinine, IL-1β and IL-6 levels in cigarette- and waterpipe-smokers and E-cig users. Environ. Toxicol. Pharmacol. 2018, 61, 38–43. [Google Scholar] [CrossRef] [PubMed]
- Harvanko, A.M.; Havel, C.M.; Jacob, P.; Benowitz, N.L. Characterization of Nicotine Salts in 23 Electronic Cigarette Refill Liquids. Nicotine Tob. Res. 2020, 22, 1239–1243. [Google Scholar] [CrossRef] [PubMed]
- Overbeek, D.L.; Kass, A.P.; Chiel, L.E.; Boyer, E.W.; Casey, A.M.H. A review of toxic effects of electronic cigarettes/vaping in adolescents and young adults. Crit. Rev. Toxicol. 2020, 50, 531–538. [Google Scholar] [CrossRef] [PubMed]
- Morean, M.E.; Butler, E.R.; Bold, K.W.; Kong, G.; Camenga, D.R.; Cavallo, D.A.; Simon, P.; O’malley, S.S.; Krishnan-Sarin, S. Preferring more e-cigarette flavors is associated with e-cigarette use frequency among adolescents but not adults. PLoS ONE 2018, 13, e0189015. [Google Scholar]
- White, J.; Li, J.; Newcombe, R.; Walton, D. Tripling Use of Electronic Cigarettes Among New Zealand Adolescents Between 2012 and 2014. J. Adolesc. Health 2015, 56, 522–528. [Google Scholar] [CrossRef]
- Goriounova, N.A.; Mansvelder, H.D. Short- and Long-Term Consequences of Nicotine Exposure during Adolescence for Prefrontal Cortex Neuronal Network Function. Cold Spring Harb. Perspect. Med. 2012, 2, a012120. [Google Scholar] [CrossRef]
- Goldenson, N.I.; Kirkpatrick, M.G.; Barrington-Trimis, J.L.; Pang, R.D.; McBeth, J.F.; Pentz, M.A.; Samet, J.M.; Leventhal, A.M. Effects of sweet flavorings and nicotine on the appeal and sensory properties of e-cigarettes among young adult vapers: Application of a novel methodology. Drug Alcohol Depend. 2016, 168, 176–180. [Google Scholar] [CrossRef]
- Hoffman, A.C.; Salgado, R.V.; Dresler, C.; Faller, R.W.; Bartlett, C. Flavour preferences in youth versus adults: A review. Tob. Control 2016, 25 (Suppl. S2), ii32–ii39. [Google Scholar] [CrossRef]
- Chuchueva, N.; Carta, F.; Nguyen, H.N.; Luevano, J.; Lewis, I.A.; Rios-Castillo, I.; Fanos, V.; King, E.; Swistushkin, V.; Reshetov, I.; et al. Metabolomics of head and neck cancer in biofluids: An integrative systematic review. Metabolomics 2023, 19, 77. [Google Scholar] [CrossRef]
- Takeda, I.; Stretch, C.; Barnaby, P.; Bhatnager, K.; Rankin, K.; Fu, H.; Weljie, A.; Jha, N.; Slupsky, C. Understanding the human salivary metabolome. NMR Biomed. 2009, 22, 577–584. [Google Scholar] [CrossRef]
- Baker, R.R.; Pereira da Silva, J.R.; Smith, G. The effect of tobacco ingredients on smoke chemistry. Part II Casing Ingred. Food Chem. Toxicol. 2004, 42, 39–52. [Google Scholar] [CrossRef]
- Brosnan, J.T.; Brosnan, M.E. Branched-Chain Amino Acids: Enzyme and Substrate Regulation. J. Nutr. 2006, 136, 207S–211S. [Google Scholar] [CrossRef] [PubMed]
- Salminen, A.; Kauppinen, A.; Hiltunen, M.; Kaarniranta, K. Krebs cycle intermediates regulate DNA and histone methylation: Epigenetic impact on the aging process. Ageing Res. Rev. 2014, 16, 45–65. [Google Scholar] [CrossRef] [PubMed]
- Sharma, S.; Zhang, X.; Azhar, G.; Patyal, P.; Verma, A.; Kc, G.; Wei, J.Y. Valine improves mitochondrial function and protects against oxidative stress. Biosci. Biotechnol. Biochem. 2024, 88, 168–176. [Google Scholar] [CrossRef] [PubMed]
- Liang, Y.; Pan, C.; Yin, T.; Wang, L.; Gao, X.; Wang, E.; Quang, H.; Huang, D.; Tan, L.; Xiang, K.; et al. Branched-Chain Amino Acid Accumulation Fuels the Senescence-Associated Secretory Phenotype. Adv. Sci. 2024, 11, 2303489. [Google Scholar] [CrossRef]
- Sugimoto, M.; Wong, D.T.; Hirayama, A.; Soga, T.; Tomita, M. Capillary electrophoresis mass spectrometry-based saliva metabolomics identified oral, breast and pancreatic cancer-specific profiles. Metabolomics 2010, 6, 78–95. [Google Scholar] [CrossRef]
- Wei, J.; Xie, G.; Zhou, Z.; Shi, P.; Qiu, Y.; Zheng, X.; Chen, T.; Su, M.; Zhao, A.; Jia, W. Salivary metabolite signatures of oral cancer and leukoplakia. Int. J. Cancer 2011, 129, 2207–2217. [Google Scholar] [CrossRef] [PubMed]
- Gupta, R.; Lin, Y.; Luna, K.; Logue, A.; Yoon, A.J.; Haptonstall, K.P.; Moheimani, R.S.; Choroomi, Y.; Nguyen, K.; Tran, E.; et al. Electronic and Tobacco Cigarettes Alter Polyunsaturated Fatty Acids and Oxidative Biomarkers. Circ. Res. 2021, 129, 514–526. [Google Scholar] [CrossRef]
- Moheimani, R.S.; Bhetraratana, M.; Yin, F.; Peters, K.M.; Gornbein, J.; Araujo, J.A.; Middlekauff, H.R. Increased Cardiac Sympathetic Activity and Oxidative Stress in Habitual Electronic Cigarette Users. JAMA Cardiol. 2017, 2, 278. [Google Scholar] [CrossRef]
- Chapkin, R.S.; McMurray, D.N.; Davidson, L.A.; Patil, B.S.; Fan, Y.Y.; Lupton, J.R. Bioactive dietary long-chain fatty acids: Emerging mechanisms of action. Br. J. Nutr. 2008, 100, 1152–1157. [Google Scholar] [CrossRef]
- Marklund, M.; Wu, J.H.Y.; Imamura, F.; Del Gobbo, L.C.; Fretts, A.; de Goede, J.; Shi, P.; Tintle, N.; Wennberg, M.; Aslibekyan, S.; et al. Biomarkers of Dietary Omega-6 Fatty Acids and Incident Cardiovascular Disease and Mortality. Circulation 2019, 139, 2422–2436. [Google Scholar] [CrossRef] [PubMed]
- Mercola, J.; D’Adamo, C.R. Linoleic Acid: A Narrative Review of the Effects of Increased Intake in the Standard American Diet and Associations with Chronic Disease. Nutrients 2023, 15, 3129. [Google Scholar] [CrossRef] [PubMed]
- Pizzino, G.; Irrera, N.; Cucinotta, M.; Pallio, G.; Mannino, F.; Arcoraci, V.; Squadrito, F.; Altavilla, D.; Bitto, A. Oxidative Stress: Harms and Benefits for Human Health. Oxid. Med. Cell Longev. 2017, 2017, 8416763. [Google Scholar] [CrossRef] [PubMed]
- Liu, H.; Nan, B.; Yang, C.; Li, X.; Yan, H.; Yuan, Y. Elaidic acid induced NLRP3 inflammasome activation via ERS-MAPK signaling pathways in Kupffer cells. Biochim. Et Biophys. Acta (BBA)-Mol. Cell Biol. Lipids 2022, 1867, 159061. [Google Scholar] [CrossRef] [PubMed]
- Lu, J.; Chen, Z.; Bu, X.; Chen, S.; Guan, S. Elaidic acid induced hepatocyte pyroptosis via autophagy-CTSB-NLRP3 pathway. Food Chem. Toxicol. 2023, 181, 114060. [Google Scholar] [CrossRef]
- Spigoni, V.; Fantuzzi, F.; Fontana, A.; Cito, M.; Derlindati, E.; Zavaroni, I.; Cnop, M.; Bonadonna, R.C.; Cas, A.D. Stearic acid at physiologic concentrations induces in vitro lipotoxicity in circulating angiogenic cells. Atherosclerosis 2017, 265, 162–171. [Google Scholar] [CrossRef]
- Gonçalinho, G.H.F.; Sampaio, G.R.; Soares-Freitas, R.A.M.; Damasceno, N.R.T. Ácido Esteárico (mas não o Ácido Palmítico) está Associado a Biomarcadores Inflamatórios e de Disfunção Endotelial em Indivíduos em Risco Cardiovascular. Arq. Bras. Cardiol. 2023, 120, e20220598. [Google Scholar] [CrossRef]
- Greenfield, E.; Alves M de, S.; Rodrigues, F.; Nogueira, J.O.; da Silva, L.F.; de Jesus, H.P.; Cavalcanti, D.R.; Carvalho, B.F.D.C.; Almeida, J.D.; Mendes, M.A.; et al. Preliminary Findings on the Salivary Metabolome of Hookah and Cigarette Smokers. ACS Omega 2023, 8, 36845–36855. [Google Scholar] [CrossRef]
- Fujiwara, R.; Yokoi, T.; Nakajima, M. Structure and Protein–Protein Interactions of Human UDP-Glucuronosyltransferases. Front. Pharmacol. 2016, 7, 388. [Google Scholar] [CrossRef]
- Bezabeh, T.; Ijare, O.B.; Albiin, N.; Arnelo, U.; Lindberg, B.; Smith, I.C.P. Detection and quantification of d-glucuronic acid in human bile using 1H NMR spectroscopy: Relevance to the diagnosis of pancreatic cancer. Magn. Reson. Mater. Phys. Biol. Med. 2009, 22, 267–275. [Google Scholar] [CrossRef]
- Gao, Q.; Cheng, B.; Chen, C.; Lei, C.; Lin, X.; Nie, D.; Li, J.; Huang, L.; Li, X.; Wang, K.; et al. Dysregulated glucuronic acid metabolism exacerbates hepatocellular carcinoma progression and metastasis through the TGFβ signalling pathway. Clin. Transl. Med. 2022, 12, e995. [Google Scholar] [CrossRef] [PubMed]
- Price, M.J.; Nguyen, A.D.; Byemerwa, J.K.; Flowers, J.; Baëta, C.D.; Goodwin, C.R. UDP-glucose dehydrogenase (UGDH) in clinical oncology and cancer biology. Oncotarget 2023, 14, 843–857. [Google Scholar] [CrossRef] [PubMed]
- Simoneit, B.R.T.; Schauer, J.J.; Nolte, C.G.; Oros, D.R.; Elias, V.O.; Fraser, M.P.; Rogge, W.; Cass, G. Levoglucosan, a tracer for cellulose in biomass burning and atmospheric particles. Atmos. Environ. 1999, 33, 173–182. [Google Scholar] [CrossRef]
- Banožić, M.; Jokić, S.; Ačkar, Đ.; Blažić, M.; Šubarić, D. Carbohydrates—Key Players in Tobacco Aroma Formation and Quality Determination. Molecules 2020, 25, 1734. [Google Scholar] [CrossRef] [PubMed]
- Zhang, S.; Wang, Z.; Zhang, J.; Guo, D.; Chen, Y. Inhalable cigarette-burning particles: Size-resolved chemical composition and mixing state. Environ. Res. 2021, 202, 111790. [Google Scholar] [CrossRef]
- Ruprecht, A.A.; De Marco, C.; Saffari, A.; Pozzi, P.; Mazza, R.; Veronese, C.; Angellotti, G.; Munarini, E.; Ogliari, A.C.; Westerdahl, D.; et al. Environmental pollution and emission factors of electronic cigarettes, heat-not-burn tobacco products, and conventional cigarettes. Aerosol Sci. Technol. 2017, 51, 674–684. [Google Scholar] [CrossRef]
- Ratsimba, V.; Fernández, J.M.G.; Defaye, J.; Nigay, H.; Voilley, A. Qualitative and quantitative evaluation of mono- and disaccharides in d-fructose, d-glucose and sucrose caramels by gas–liquid chromatography–mass spectrometry. J. Chromatogr. A 1999, 844, 283–293. [Google Scholar] [CrossRef]
- Bergauff, M.A.; Ward, T.J.; Noonan, C.W.; Migliaccio, C.T.; Simpson, C.D.; Evanoski, A.R.; Palmer, C.P. Urinary levoglucosan as a biomarker of wood smoke: Results of human exposure studies. J. Expo. Sci. Environ. Epidemiol. 2010, 20, 385–392. [Google Scholar] [CrossRef]
- Sindhu, S.; Jagannathan, N. Saliva: A Cutting Edge in Diagnostic Procedures. J. Oral Dis. 2014, 2014, 1–8. [Google Scholar] [CrossRef]
- Brazilian Health Regulatory Agency (Anvisa). Resolution RDC 855/2024. 2024. Available online: https://www.gov.br/anvisa/pt-br/assuntos/tabaco/cigarro-eletronico (accessed on 1 August 2024).
- Ericsson, Y.; Hardwick, L. Individual Diagnosis, Prognosis and Counselling for Caries Prevention. Caries Res. 1978, 12, 94–102. [Google Scholar] [CrossRef]
- Murineanu, R.; Stefanescu, C.; Zaharia, A.; Davidescu, C.; Popsor, S. Evaluation of total unstimulated saliva viscosity in complete edentulous patients. Rom. J. Oral Rehabil. 2011, 3, 53–57. [Google Scholar]




| Variables | EG | CG | p-Value |
|---|---|---|---|
| Participants | 25 (100%) | 25 (100%) | NA |
| Female | 11 (44%) | 11 (44%) | |
| Male | 14 (56%) | 14 (56%) | |
| Age (in years) | 27 ± 7.57 | 26.80 ± 6.67 | 0.996 |
| Self-reported race/skin color | |||
| White | 22 (88%) | 20 (80%) | NA |
| Brown | 3 (12%) | 4 (16%) | |
| Black | 1 (4%) | ||
| Schooling | |||
| High School | 2 (8%) | ||
| Ongoing Undergraduate | 10 (40%) | 13 (52%) | |
| Undergraduate | 9 (36%) | 1 (4%) | |
| Graduate | 1 (4%) | 11 (44%) | |
| UD | 3 (12%) | ||
| Physical examination | |||
| Heart rate | 77.72 ± 14.26 | 81.88 ± 14.53 | 0.295 |
| Capillary blood glucose (mg/dL) | 96.21 ± 17.88 | 101.90 ± 13.19 | 0.121 |
| Oximetry (% O2) | 96.76 ± 1.23 | 97.56 ± 1.04 | 0.042 * |
| CO concentration (ppm) | 2.12 ± 1.59 | 1.48 ± 0.92 | 0.015 * |
| Saliva parameters | |||
| Sialometry (mL/min) | 0.90 ± 0.27 | 1.24 ± 1.69 | 0.782 |
| pH | 7.12 ± 0.67 | 7.04 ± 0.57 | 0.755 |
| Viscosity (cm) | 2.04 ± 1.36 | 2.68 ± 0.9 | 0.048 * |
| Cotinine concentration (ng/mL) | 46.88 ± 20.01 | 0.01 ± 0.04 | <0.001 * |
| Alcohol consumption | |||
| AUDIT | 7.76 ± 4.81 | 4.04 ± 2.34 | 0.003 * |
| Low risk consumption | 11 (44%) | 23 (92%) | NA |
| Harmful consumption | 8 (32%) | 2 (8%) | |
| Moderate-severe disorder | 2 (8%) | ||
| UD | 4 (16%) | ||
| Average doses consumption | |||
| 1 to 2 doses | 0 (0%) | 10 (40%) | NA |
| 3 to 4 doses | 10 (40%) | 6 (24%) | |
| 5 to 6 doses | 5 (20%) | 4 (16%) | |
| 7 to 9 doses | 3 (12%) | 3 (12%) | |
| ≥10 doses | 3 (12%) | 0 (0%) | |
| UD | 4 (16%) | 2 (8%) | |
| Alcoholic beverages | |||
| Beer | 10 (40%) | 13 (52%) | NA |
| Distilled drinks | 10 (40%) | 5 (20%) | |
| Wine | 1 (4%) | 5 (20%) | |
| UD | 4 (16%) | 2 (8%) |
| Variables | EG |
|---|---|
| Participants | 25 (100%) |
| E-cig use (in years) | 2.13 ± 1.23 |
| Former smoker (industrialized cigarettes) | 6 (24%) |
| Abstinence of industrualized cigarettes (in years) | 2.67 ± 0.82 |
| E-cig consumption | |
| 1 to 2 days a week | 5 (20%) |
| 3 to 4 days a week | 7 (28%) |
| Daily | 13 (52%) |
| E-cig frequency of use | |
| 3 to 4 times a day | 4 (16%) |
| 5 to 6 times a day | 6 (24%) |
| 7 to 10 times a day | 3 (12%) |
| >10 times a day | 12 (48%) |
| Vaporization time | |
| about 1 min | 10 (40%) |
| 1 to 2 min | 11 (44%) |
| 3 to 5 min | 4 (16%) |
| Flavorings | |
| Flavoring (in mL) per day | 8.62 ± 12.65 |
| Nicotine (in mg) per day | 37.20 ± 59.95 |
| Nicotine (in mg) per day—UD | 5 (20%) |
| Flavoring types | |
| Fruits and sweet | 12 (48%) |
| Fruits and mint | 4 (16%) |
| Mint and Ice | 5 (20%) |
| UD | 4 (16%) |
| Simultaneously e-cig and alcohol use | |
| Yes | 19 (76%) |
| Sometimes | 2 (8%) |
| No | 0 (0%) |
| UD | 4 (16%) |
| Does drinking alcohol increase e-cig use? | |
| Yes | 13 (52%) |
| Sometimes | 4 (16%) |
| No | 4 (16%) |
| UD | 4 (16%) |
| How much alcohol use increases e-cig use? | |
| 1 to 2 times more | 6 (24%) |
| 3 to 4 times more | 8 (32%) |
| 5 to 6 times more | 2 (8%) |
| I can’t say | 5 (20%) |
| UD | 4 (16%) |
Disclaimer/Publisher’s Note: The statements, opinions and data contained in all publications are solely those of the individual author(s) and contributor(s) and not of MDPI and/or the editor(s). MDPI and/or the editor(s) disclaim responsibility for any injury to people or property resulting from any ideas, methods, instructions or products referred to in the content. |
© 2024 by the authors. Licensee MDPI, Basel, Switzerland. This article is an open access article distributed under the terms and conditions of the Creative Commons Attribution (CC BY) license (https://creativecommons.org/licenses/by/4.0/).
Share and Cite
Carvalho, B.F.d.C.; Faria, N.d.C.; Silva, K.C.S.; Greenfield, E.; Alves, M.G.O.; Dias, M.; Mendes, M.A.; Pérez-Sayáns, M.; Almeida, J.D. Salivary Metabolic Pathway Alterations in Brazilian E-Cigarette Users. Int. J. Mol. Sci. 2024, 25, 11750. https://doi.org/10.3390/ijms252111750
Carvalho BFdC, Faria NdC, Silva KCS, Greenfield E, Alves MGO, Dias M, Mendes MA, Pérez-Sayáns M, Almeida JD. Salivary Metabolic Pathway Alterations in Brazilian E-Cigarette Users. International Journal of Molecular Sciences. 2024; 25(21):11750. https://doi.org/10.3390/ijms252111750
Chicago/Turabian StyleCarvalho, Bruna Fernandes do Carmo, Natalia de Carvalho Faria, Kethilyn Chris Sousa Silva, Ellen Greenfield, Mônica Ghislaine Oliveira Alves, Meriellen Dias, Maria Anita Mendes, Mario Pérez-Sayáns, and Janete Dias Almeida. 2024. "Salivary Metabolic Pathway Alterations in Brazilian E-Cigarette Users" International Journal of Molecular Sciences 25, no. 21: 11750. https://doi.org/10.3390/ijms252111750
APA StyleCarvalho, B. F. d. C., Faria, N. d. C., Silva, K. C. S., Greenfield, E., Alves, M. G. O., Dias, M., Mendes, M. A., Pérez-Sayáns, M., & Almeida, J. D. (2024). Salivary Metabolic Pathway Alterations in Brazilian E-Cigarette Users. International Journal of Molecular Sciences, 25(21), 11750. https://doi.org/10.3390/ijms252111750

