Shining a Spotlight on Methyl Groups: Photochemically Induced Dynamic Nuclear Polarization Spectroscopy of 5-Deazariboflavin and Its Nor Analogs
Abstract
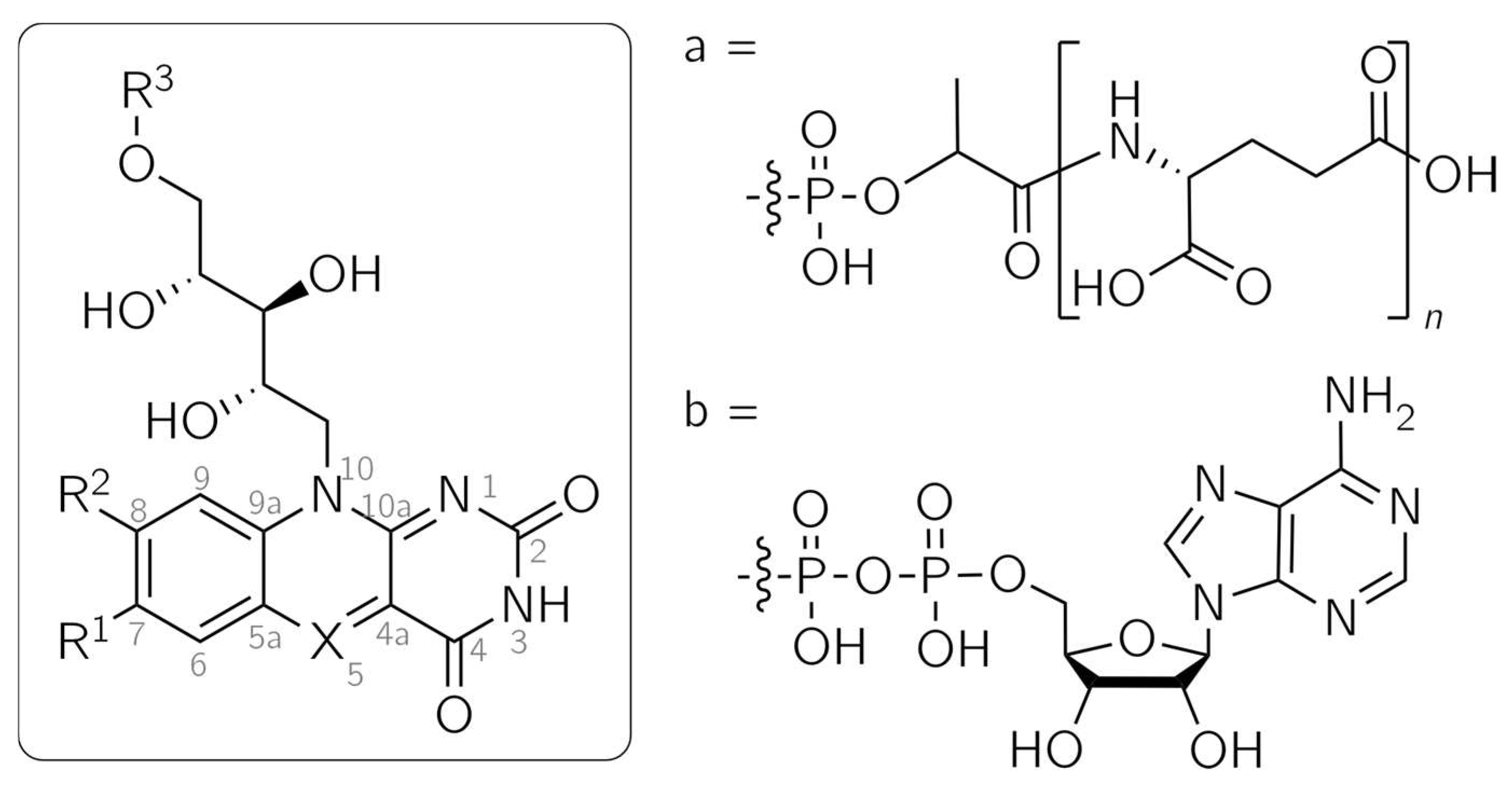
1. Introduction
2. Results
2.1. Absorption Properties
2.2. Investigation of Demethylated 5-Deazariboflavin Radicals
2.2.1. Transient Photo-CIDNP Experiments of Demethylated 5-Deazariboflavin Derivatives
2.2.2. Mechanism of the Radical-Pair Formation of Demethylated 5-Deazariboflavin Derivatives
2.2.3. Determination of Isotropic Proton Hyperfine Coupling Constants
2.3. Spin-Density Distributions of Demethylated 5-Deazariboflavin and Riboflavin Radicals
3. Discussion
4. Materials and Methods
4.1. Sample Preparation
4.2. UV-VIS, NMR and Photo-CIDNP Spectroscopy
4.3. Density Functional Theory Calculations
5. Conclusions
Supplementary Materials
Author Contributions
Funding
Institutional Review Board Statement
Informed Consent Statement
Data Availability Statement
Acknowledgments
Conflicts of Interest
References
- Walsh, C. Naturally occurring 5-deazaflavin coenzymes: Biological redox roles. Accounts Chem. Res. 1986, 19, 216–221. [Google Scholar] [CrossRef]
- Yoneda, F.; Tanaka, K. The biofunctional chemistry of 5-deazaflavins and related compounds. Med. Res. Rev. 1987, 7, 477–506. [Google Scholar] [CrossRef] [PubMed]
- Grinter, R.; Greening, C. Cofactor F420: An expanded view of its distribution, biosynthesis and roles in bacteria and archaea. FEMS Microbiol. Rev. 2021, 45, fuab021. [Google Scholar] [CrossRef] [PubMed]
- Kirschning, A. Coenzymes and their role in the evolution of life. Angew. Chem. Int. Ed. 2021, 60, 6242–6269. [Google Scholar] [CrossRef] [PubMed]
- Cheeseman, P.; Toms-Wood, A.; Wolfe, R.S. Isolation and properties of a fluorescent compound, factor420, from Methanobacterium strain M.o.H. J. Bacteriol. 1972, 112, 527–531. [Google Scholar] [CrossRef] [PubMed]
- Eirich, L.D.; Vogels, G.D.; Wolfe, R.S. Proposed structure for coenzyme F420 from Methanobacterium. Biochemistry 1978, 17, 4583–4593. [Google Scholar] [CrossRef] [PubMed]
- Graham, D.E.; White, R.H. Elucidation of methanogenic coenzyme biosyntheses: From spectroscopy to genomics. Nat. Prod. Rep. 2002, 19, 133–147. [Google Scholar] [CrossRef]
- Franz, S.; Ignatz, E.; Wenzel, S.; Zielosko, H.; Putu, E.P.G.N.; Maestre-Reyna, M.; Tsai, M.-D.; Yamamoto, J.; Mittag, M.; Essen, L.-O. Structure of the bifunctional cryptochrome aCRY from Chlamydomonas reinhardtii. Nucleic Acids Res. 2018, 46, 8010–8022. [Google Scholar] [CrossRef]
- Eker, A.P.M.; Hessels, J.K.C.; van de Velde, J. Photoreactivating enzyme from the green alga Scenedesmus acutus. Evidence for the presence of two different flavin chromophores. Biochemistry 1988, 27, 1758–1765. [Google Scholar] [CrossRef]
- Eker, A.P.M.; Kooiman, P.; Hessels, J.K.C.; Yasui, A. DNA photoreactivating enzyme from the cyanobacterium Anacystis nidulans. J. Biol. Chem. 1990, 265, 8009–8015. [Google Scholar] [CrossRef]
- van Schie, M.; Younes, S.; Rauch, M.; Pesic, M.; Paul, C.E.; Arends, I.; Hollmann, F. Deazaflavins as photocatalysts for the direct reductive regeneration of flavoenzymes. Mol. Catal. 2018, 452, 277–283. [Google Scholar] [CrossRef]
- Hemmerich, P.; Massey, V.; Fenner, H. Flavin and 5-deazaflavin: A chemical evaluation of ‘modified’ flavoproteins with respect to the mechanisms of redox biocatalysis. FEBS Lett. 1977, 84, 5–21. [Google Scholar] [CrossRef] [PubMed]
- Su, Q.; Boucher, P.A.; Rokita, S.E. Conversion of a dehalogenase into a nitroreductase by swapping its flavin cofactor with a 5-deazaflavin analogue. Angew. Chem. Int. Ed. 2017, 56, 10862–10866. [Google Scholar] [CrossRef]
- Hecht, S.; Richter, G.; Bacher, A.; Joshi, M.; Röhmisch, W.; Greiner, G.; Frank, R.; Weber, S.; Eisenreich, W.; Fischer, M. Photocycle of a blue light receptor LOV2 domain reconstituted with 5-deaza-FMN. In Flavins and Flavoproteins 2005: Proceedings of the 15th International Symposium on Flavins and Flavoproteins; Nishino, T., Miura, R., Tanokura, M., Fukui, K., Eds.; ARchiTect Inc.: Hayama, Japan, 2005; pp. 569–574. [Google Scholar]
- Silva-Junior, M.R.; Mansurova, M.; Gärtner, W.; Thiel, W. Photophysics of structurally modified flavin derivatives in the blue-light photoreceptor YtvA: A combined experimental and theoretical study. ChemBioChem 2013, 14, 1648–1661. [Google Scholar] [CrossRef]
- Kalvaitis, M.E.; Johnson, L.A.; Mart, R.J.; Rizkallah, P.; Allemann, R.K. A noncanonical chromophore reveals structural rearrangements of the light-oxygen-voltage domain upon photoactivation. Biochemistry 2019, 58, 2608–2616. [Google Scholar] [CrossRef] [PubMed]
- Kasahara, M.; Swartz, T.E.; Olney, M.A.; Onodera, A.; Mochizuki, N.; Fukuzawa, H.; Asamizu, E.; Tabata, S.; Kanegae, H.; Takano, M.; et al. Photochemical properties of the flavin mononucleotide-binding domains of the phototropins from Arabidopsis, rice, and Chlamydomonas reinhardtii. Plant Physiol. 2002, 129, 762–773. [Google Scholar] [CrossRef] [PubMed]
- Katsura, H.; Zikihara, K.; Okajima, K.; Yoshihara, S.; Tokutomi, S. Oligomeric structure of LOV domains in Arabidopsis phototropin. FEBS Lett. 2009, 583, 526–530. [Google Scholar] [CrossRef]
- Schwerdtfeger, C.; Linden, H. VIVID is a flavoprotein and serves as a fungal blue light photoreceptor for photoadaptation. EMBO J. 2003, 22, 4846–4855. [Google Scholar] [CrossRef]
- Shah, M.V.; Antoney, J.; Kang, S.W.; Warden, A.C.; Hartley, C.J.; Nazem-Bokaee, H.; Jackson, C.J.; Scott, C. Cofactor F420-dependent enzymes: An under-explored resource for asymmetric redox biocatalysis. Catalysts 2019, 9, 868. [Google Scholar] [CrossRef]
- Walsh, C.T. At the intersection of chemistry, biology, and medicine. Annu. Rev. Biochem. 2017, 86, 1–19. [Google Scholar] [CrossRef]
- Hersh, L.B.; Jorns, M.S.; Petterson, J.; Curie, M. The formation of a semiquinone form of deazaFAD bound to ᴅ-amino acid oxidase. J. Am. Chem. Soc. 1976, 98, 865–867. [Google Scholar] [CrossRef] [PubMed]
- Graml, A.; Neveselý, T.; Jan Kutta, R.; Cibulka, R.; König, B. Deazaflavin reductive photocatalysis involves excited semiquinone radicals. Nat. Commun. 2020, 11, 3174. [Google Scholar] [CrossRef]
- Wörner, J.; Panter, S.; Illarionov, B.; Bacher, A.; Fischer, M.; Weber, S. Expanding reaction horizons: Evidence of the 5-deazaflavin radical through photochemically induced dynamic nuclear polarization. Angew. Chem. Int. Ed. 2023, 62, e202309334. [Google Scholar] [CrossRef] [PubMed]
- Morozova, O.B.; Ivanov, K.L.; Kiryutin, A.S.; Sagdeev, R.Z.; Köchling, T.; Vieth, H.-M.; Yurkovskaya, A.V. Time-resolved CIDNP: An NMR way to determine the EPR parameters of elusive radicals. Phys. Chem. Chem. Phys. 2011, 13, 6619–6627. [Google Scholar] [CrossRef]
- Kuhn, L.T. Photo-CIDNP NMR spectroscopy of amino acids and proteins. Top. Curr. Chem. 2013, 338, 229–300. [Google Scholar] [PubMed]
- Okuno, Y.; Cavagnero, S. Photochemically induced dynamic nuclear polarization: Basic principles and applications. eMagRes 2017, 6, 283–314. [Google Scholar]
- Kiryutin, A.S.; Morozova, O.B.; Kuhn, L.T.; Yurkovskay, A.V.; Hore, P.J. 1H and 13C hyperfine coupling constants of the tryptophanyl cation radical in aqueous solution from microsecond time-resolved CIDNP. J. Phys. Chem. B 2007, 111, 11221–11227. [Google Scholar] [CrossRef] [PubMed]
- Pompe, N.; Chen, J.; Illarionov, B.; Panter, S.; Fischer, M.; Bacher, A.; Weber, S. Methyl groups matter: Photo-CIDNP characterizations of the semiquinone radicals of FMN and demethylated FMN analogs. J. Chem. Phys. 2019, 151, 235103. [Google Scholar] [CrossRef]
- Wörner, J.; Chen, J.; Bacher, A.; Weber, S. Non-classical disproportionation revealed by photo-chemically induced dynamic nuclear polarization NMR. Magn. Reson. 2021, 2, 281–290. [Google Scholar] [CrossRef]
- Kaptein, R.; Oosterhoff, J.L. Chemically induced dynamic nuclear polarization II (Relation with anomalous ESR spectra). Chem. Phys. Lett. 1969, 4, 195–197. [Google Scholar] [CrossRef]
- Kaptein, R.; Oosterhoff, L.J. Chemically induced dynamic nuclear polarization III (anomalous multiplets of radical coupling and disproportionation products). Chem. Phys. Lett. 1969, 4, 214–216. [Google Scholar] [CrossRef]
- Closs, G.L.; Trifunac, A.D. Theory of chemically induced nuclear spin polarization. III. Effect of isotropic g shifts in the components of radical pairs with one hyperfine interaction. J. Am. Chem. Soc. 1970, 92, 2183–2184. [Google Scholar] [CrossRef]
- Morozova, O.B.; Ivanov, K.L. Time-resolved chemically induced dynamic nuclear polarization of biologically important molecules. ChemPhysChem 2019, 20, 197–215. [Google Scholar] [CrossRef] [PubMed]
- Closs, G.L.; Miller, R.J. Laser flash photolysis with NMR detection. Microsecond time-resolved CIDNP: Separation of geminate and random-phase processes. J. Am. Chem. Soc. 1979, 101, 1639–1641. [Google Scholar] [CrossRef]
- Closs, G.L.; Miller, R.J.; Redwine, O.D. Time-resolved CIDNP: Applications to radical and biradical chemistry. Accounts Chem. Res. 1985, 18, 196–202. [Google Scholar] [CrossRef]
- Closs, G.L. A mechanism explaining nuclear spin polarizations in radical combination reactions. J. Am. Chem. Soc. 1969, 91, 4552–4554. [Google Scholar] [CrossRef]
- Goez, M. Elucidating organic reaction mechanisms using photo-CIDNP spectroscopy. Top. Curr. Chem. 2013, 338, 1–32. [Google Scholar]
- Kaptein, R. Simple rules for chemically induced dynamic nuclear polarization. Chem. Commun. 1971, 732–733. [Google Scholar] [CrossRef]
- Raffelberg, S.; Gutt, A.; Gärtner, W.; Mandalari, C.; Abbruzzetti, S.; Viappiani, C.; Losi, A. The amino acids surrounding the flavin 7a-methyl group determine the UVA spectral features of a LOV protein. Biol. Chem. 2013, 394, 1517–1528. [Google Scholar] [CrossRef]
- Brosi, R.; Illarionov, B.; Mathes, T.; Fischer, M.; Joshi, M.; Bacher, A.; Hegemann, P.; Bittl, R.; Weber, S.; Schleicher, E. Hindered rotation of a cofactor methyl group as a probe for protein-cofactor interaction. J. Am. Chem. Soc. 2010, 132, 8935–8944. [Google Scholar] [CrossRef]
- Mansurova, M.; Scheercousse, P.; Simon, J.; Kluth, M.; Gärtner, W. Chromophore exchange in the blue light-sensitive photoreceptor YtvA from Bacillus subtilis. ChemBioChem 2011, 12, 641–646. [Google Scholar] [CrossRef]
- Salzmann, S.; Martinez-Junza, V.; Zorn, B.; Braslavsky, S.E.; Mansurova, M.; Marian, C.M.; Gärtner, W. Photophysical properties of structurally and electronically modified flavin derivatives determined by spectroscopy and theoretical calculations. J. Phys. Chem. A 2009, 113, 9365–9375. [Google Scholar] [CrossRef]
- Insińska-Rak, M.; Sikorska, E.; Bourdelande, J.L.; Khmelinskii, I.V.; Prukała, W.; Dobek, K.; Karolczak, J.; Machado, I.F.; Ferreira, L.F.; Komasa, A.; et al. Spectroscopy and photophysics of flavin-related compounds: 5-deaza-riboflavin. J. Mol. Struct. 2006, 783, 184–190. [Google Scholar] [CrossRef]
- Weigel, A.; Dobryakov, A.L.; Veiga, M.; Pérez Lustres, J.L. Photoinduced processes in riboflavin: Superposition of ππ*–nπ* states by vibronic coupling, transfer of vibrational coherence, and population dynamics under solvent control. J. Phys. Chem. A 2008, 112, 12054–12065. [Google Scholar] [CrossRef]
- McConnell, H.M.; Chesnut, D.B. Theory of isotropic hyperfine interactions in π-electron radicals. J. Chem. Phys. 1958, 28, 107–117. [Google Scholar] [CrossRef]
- Weilbacher, E.; Helle, N.; Elsner, M.; Kurreck, H.; Müller, F.; Allendoerfer, R.D. 1H, 2H, 19F, 14N ENDOR and TRIPLE resonance investigations of substituted flavin radicals in their different protonation states. Magn. Reson. Chem. 1988, 26, 64–72. [Google Scholar] [CrossRef]
- Grauert, R.W. Synthese und Umsetzungen 8-substituierter 5-Desazaflavine, I 8-Nitro- und 8-Aminodesazaflavine. Liebigs Ann. Chem. 1979, 1979, 1802–1817. [Google Scholar] [CrossRef]
- Stob, S.; Kaptein, R. Photo-CIDNP of the amino acids. Photochem. Photobiol. 1989, 49, 565–577. [Google Scholar] [CrossRef]
- Bleifuss, G.; Kolberg, M.; Pötsch, S.; Hofbauer, W.; Bittl, R.; Lubitz, W.; Gräslund, A.; Lassmann, G.; Lendzian, F. Tryptophan and tyrosine radicals in ribonucleotide reductase: A comparative high-field EPR study at 94 GHz. Biochemistry 2001, 40, 15362–15368. [Google Scholar] [CrossRef]
- Pogni, R.; Teutloff, C.; Lendzian, F.; Basosi, R. Tryptophan radicals as reaction intermediates in versatile peroxidases: Multifrequency EPR, ENDOR and density functional theory studies. Appl. Magn. Reson. 2007, 31, 509–526. [Google Scholar] [CrossRef]
- Fasanella, E.L.; Gordy, W. Electron spin resonance of an irradiated single crystal of L-tyrosine-HCl. Proc. Natl. Acad. Sci. USA 1969, 62, 299–304. [Google Scholar] [CrossRef]
- Hulsebosch, R.J.; van den Brink, J.S.; Nieuwenhuis, S.A.M.; Gast, P.; Raap, J.; Lugtenburg, J.; Hoff, A.J. Electronic structure of the neutral tyrosine radical in frozen solution. Selective 2H-, 13C-, and 17O-isotope labeling and EPR spectroscopy at 9 and 35 GHz. J. Am. Chem. Soc. 1997, 119, 8685–8694. [Google Scholar] [CrossRef]
- Goldberg, M.; Pecht, I.; Kramer, H.E.A.; Traber, R.; Hemmerich, P. Structure and properties of 5-deazaflavin radicals as compared to natural flavosemiquinones. Biochim. Biophys. Acta-Gen. Subj. 1981, 673, 570–593. [Google Scholar] [CrossRef]
- Heelis, P.F.; Parsons, B.J.; Phillips, G.O.; Swallow, A.J. One-electron reduction of 5-deazalumiflavin in aqueous solution: A pulse radiolysis study. Int. J. Radiat. Biol. 1989, 55, 557–562. [Google Scholar] [CrossRef]
- Sikorska, E.; Khmelinskii, I.V.; Worrall, D.R.; Koput, J.; Sikorski, M. Spectroscopy and photophysics of iso- and alloxazines: Experimental and theoretical study. J. Fluoresc. 2004, 14, 57–64. [Google Scholar] [CrossRef]
- Zanetti-Polzi, L.; Aschi, M.; Daidone, I.; Amadei, A. Theoretical modeling of the absorption spectrum of aqueous riboflavin. Chem. Phys. Lett. 2017, 669, 119–124. [Google Scholar] [CrossRef]
- Neese, F. The ORCA program system. Wiley Interdiscip. Rev. Comput. Mol. Sci. 2012, 2, 73–78. [Google Scholar] [CrossRef]
- Neese, F. Software update: The ORCA program system—Version 5.0. Wiley Interdiscip. Rev. Comput. Mol. Sci. 2022, 12, e1606. [Google Scholar] [CrossRef]
- Hanwell, M.D.; Curtis, D.E.; Lonie, D.C.; Vandermeersch, T.; Zurek, E.; Hutchison, G.R. Avogadro: An advanced semantic chemical editor, visualization, and analysis platform. J. Cheminformatics 2012, 4, 17. [Google Scholar] [CrossRef]
- Stephens, P.J.; Devlin, F.J.; Chabalowski, C.F.; Frisch, M.J. Ab initio calculation of vibrational absorption and circular dichroism spectra using density functional force fields. J. Phys. Chem. 1994, 98, 11623–11627. [Google Scholar] [CrossRef]
- Schäfer, A.; Huber, C.; Ahlrichs, R. Fully optimized contracted Gaussian basis sets of triple zeta valence quality for atoms Li to Kr. J. Chem. Phys. 1994, 100, 5829–5835. [Google Scholar] [CrossRef]
- Weigend, F. Accurate Coulomb-fitting basis sets for H to Rn. Phys. Chem. Chem. Phys. 2006, 8, 1057–1065. [Google Scholar] [CrossRef]
- Barone, V. Structure, magnetic properties and reactivities of open-shell species from density functional and self-consistent hybrid methods. In Recent Advances in Density Functional Methods: Part I, 1st ed.; Chong, D.P., Ed.; World Scientific: Singapore, 1995; pp. 287–334. [Google Scholar]
- Barone, V.; Cossi, M. Quantum calculation of molecular energies and energy gradients in solution by a conductor solvent model. J. Phys. Chem. A 1998, 102, 1995–2001. [Google Scholar] [CrossRef]




| Derivative | giso | |
|---|---|---|
| 5-Deazariboflavin●− | 5-Deazariboflavin(H1)● | |
| 5-Deazariboflavin | 2.00281 | 2.00275 |
| 7-Demethyl-5-deazariboflavin | 2.00280 | 2.00274 |
| 8-Demethyl-5-deazariboflavin | 2.00282 | 2.00276 |
| 7,8-Didemethyl-5-deazariboflavin | 2.00283 | 2.00276 |
| 5-Deazariboflavin●− | 5-Deazariboflavin(H1)● | |||||
|---|---|---|---|---|---|---|
| Abs. Aiso/MHz (DFT) | Rel. Aiso (DFT) | Abs. Aiso/MHz (DFT) | Rel. Aiso (DFT) | Rel. Aiso (CIDNP) | ||
| 5-Deazariboflavin | H5 | −34.26 | 1.00 | −37.48 | 1.00 | 1.00 |
| H6 | −12.29 | 0.36 | −11.83 | 0.32 | 0.31 | |
| H7α | −4.63 | 0.14 | −4.45 | 0.12 | 0.11 | |
| H8α | 14.75 | −0.43 | 14.80 | −0.39 | −0.41 | |
| H9 | 3.00 | −0.09 | 3.57 | −0.10 | −0.05 | |
| 7-Demethyl- 5-deazariboflavin | H5 | −34.12 | 1.00 | −37.44 | 1.00 | 1.00 |
| H6 | −14.05 | 0.41 | −13.42 | 0.36 | 0.37 | |
| H7 | 4.21 | −0.12 | 4.04 | −0.11 | −0.14 | |
| H8α | 14.86 | −0.44 | 14.72 | −0.39 | −0.37 | |
| H9 | 2.63 | −0.08 | 3.28 | −0.09 | −0.08 | |
| 8-Demethyl- 5-deazariboflavin | H5 | −33.16 | 1.00 | −36.78 | 1.00 | 1.00 |
| H6 | −12.54 | 0.38 | −12.24 | 0.33 | 0.41 | |
| H7α | −4.63 | 0.14 | −4.47 | 0.12 | 0.08 | |
| H8 | −15.28 | 0.46 | −14.99 | 0.41 | 0.53 | |
| H9 | 2.28 | −0.07 | 3.06 | −0.08 | −0.03 | |
| 7,8-Didemethyl- 5-deazariboflavin | H5 | −33.39 | 1.00 | −37.02 | 1.00 | 1.00 |
| H6 | −13.46 | 0.40 | −13.10 | 0.35 | 0.32 | |
| H7 | 4.66 | −0.14 | 4.56 | −0.12 | – | |
| H8 | −14.62 | 0.44 | −14.38 | 0.39 | 0.41 | |
| H9 | 2.05 | −0.06 | 2.86 | −0.08 | −0.04 | |
Disclaimer/Publisher’s Note: The statements, opinions and data contained in all publications are solely those of the individual author(s) and contributor(s) and not of MDPI and/or the editor(s). MDPI and/or the editor(s) disclaim responsibility for any injury to people or property resulting from any ideas, methods, instructions or products referred to in the content. |
© 2024 by the authors. Licensee MDPI, Basel, Switzerland. This article is an open access article distributed under the terms and conditions of the Creative Commons Attribution (CC BY) license (https://creativecommons.org/licenses/by/4.0/).
Share and Cite
Panter, S.; Ayekoi, A.; Tesche, J.; Chen, J.; Illarionov, B.; Bacher, A.; Fischer, M.; Weber, S. Shining a Spotlight on Methyl Groups: Photochemically Induced Dynamic Nuclear Polarization Spectroscopy of 5-Deazariboflavin and Its Nor Analogs. Int. J. Mol. Sci. 2024, 25, 848. https://doi.org/10.3390/ijms25020848
Panter S, Ayekoi A, Tesche J, Chen J, Illarionov B, Bacher A, Fischer M, Weber S. Shining a Spotlight on Methyl Groups: Photochemically Induced Dynamic Nuclear Polarization Spectroscopy of 5-Deazariboflavin and Its Nor Analogs. International Journal of Molecular Sciences. 2024; 25(2):848. https://doi.org/10.3390/ijms25020848
Chicago/Turabian StylePanter, Sabrina, Audrey Ayekoi, Jannis Tesche, Jing Chen, Boris Illarionov, Adelbert Bacher, Markus Fischer, and Stefan Weber. 2024. "Shining a Spotlight on Methyl Groups: Photochemically Induced Dynamic Nuclear Polarization Spectroscopy of 5-Deazariboflavin and Its Nor Analogs" International Journal of Molecular Sciences 25, no. 2: 848. https://doi.org/10.3390/ijms25020848
APA StylePanter, S., Ayekoi, A., Tesche, J., Chen, J., Illarionov, B., Bacher, A., Fischer, M., & Weber, S. (2024). Shining a Spotlight on Methyl Groups: Photochemically Induced Dynamic Nuclear Polarization Spectroscopy of 5-Deazariboflavin and Its Nor Analogs. International Journal of Molecular Sciences, 25(2), 848. https://doi.org/10.3390/ijms25020848

