Salt-Induced Early Changes in Photosynthesis Activity Caused by Root-to-Shoot Signaling in Potato
Abstract
1. Introduction
2. Results
2.1. Salinity Caused a Decrease in Photosynthesis Activity and Transpiration
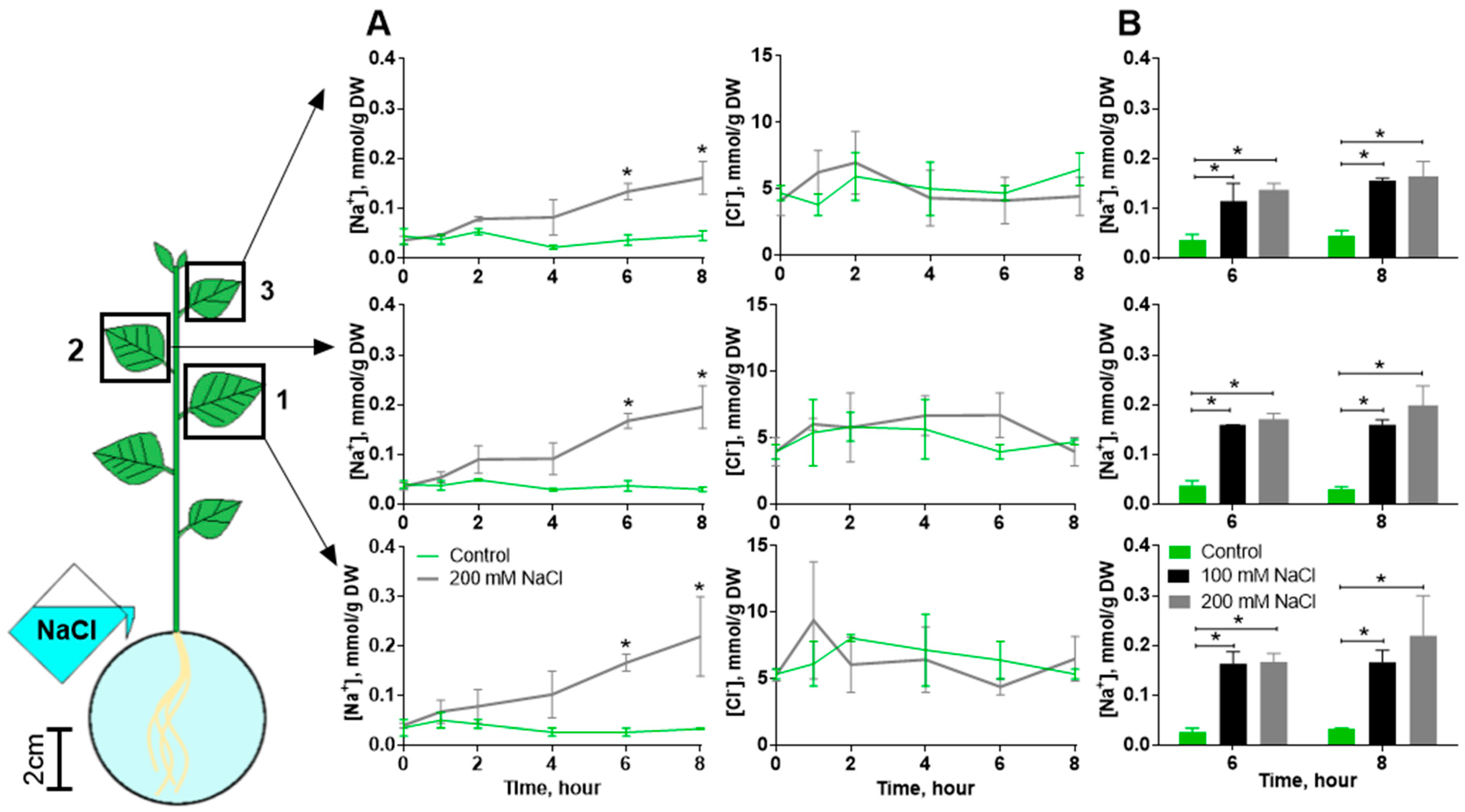
2.2. Salinity-Induced Ionic and Osmotic Stress Affects Photosynthesis and Transpiration
2.3. Salt-Induced Signals and Their Possible Role in Modulation of Photosynthesis Activity
2.4. The Role of Cytosolic pH in Salinity
3. Discussion
3.1. Effects of Salinity on Physiological Processes in the Leaf
3.2. Salt-Induced Root-to-Shoot Signals
3.3. The Role of Long-Distance Signals in the Induction of Changes in Photosynthesis Activity
4. Materials and Methods
4.1. Plant Material and Treatment
4.2. Chlorophyll Fluorescence Measurements
4.3. Fluorescent Imaging of Cytosolic pH and Ca2+
4.4. CWSI Measurements
4.5. Hydraulic Signal Measurements
4.6. Measurements of Electrical Potential Using Macroelectrodes
4.7. Measurements of Na+ and Cl− Content
4.8. Statistical Analysis
5. Conclusions
Supplementary Materials
Author Contributions
Funding
Institutional Review Board Statement
Informed Consent Statement
Data Availability Statement
Conflicts of Interest
References
- Gorji, T.; Tanik, A.; Sertel, E. Soil Salinity Prediction, Monitoring and Mapping Using Modern Technologies. Procedia Earth Planet. Sci. 2015, 15, 507–512. [Google Scholar] [CrossRef]
- Corwin, D.L. Climate Change Impacts on Soil Salinity in Agricultural Areas. Eur. J. Soil Sci. 2021, 72, 842–862. [Google Scholar] [CrossRef]
- Balasubramaniam, T.; Shen, G.; Esmaeili, N.; Zhang, H. Plants’ Response Mechanisms to Salinity Stress. Plants 2023, 12, 2253. [Google Scholar] [CrossRef] [PubMed]
- Arif, Y.; Singh, P.; Siddiqui, H.; Bajguz, A.; Hayat, S. Salinity Induced Physiological and Biochemical Changes in Plants: An Omic Approach towards Salt Stress Tolerance. Plant Physiol. Biochem. 2020, 156, 64–77. [Google Scholar] [CrossRef] [PubMed]
- Hanin, M.; Ebel, C.; Ngom, M.; Laplaze, L.; Masmoudi, K. New Insights on Plant Salt Tolerance Mechanisms and Their Potential Use for Breeding. Front. Plant Sci. 2016, 7, 1787. [Google Scholar] [CrossRef] [PubMed]
- Han, X.; Yang, R.; Zhang, L.; Wei, Q.; Zhang, Y.; Wang, Y.; Shi, Y. A Review of Potato Salt Tolerance. Int. J. Mol. Sci. 2023, 24, 10726. [Google Scholar] [CrossRef] [PubMed]
- Sanwal, S.K.; Kumar, P.; Kesh, H.; Gupta, V.K.; Kumar, A.; Kumar, A.; Meena, B.L.; Colla, G.; Cardarelli, M.; Kumar, P. Salinity Stress Tolerance in Potato Cultivars: Evidence from Physiological and Biochemical Traits. Plants 2022, 11, 1842. [Google Scholar] [CrossRef]
- Chourasia, K.N.; Lal, M.K.; Tiwari, R.K.; Dev, D.; Kardile, H.B.; Patil, V.U.; Kumar, A.; Vanishree, G.; Kumar, D.; Bhardwaj, V.; et al. Salinity Stress in Potato: Understanding Physiological, Biochemical and Molecular Responses. Life 2021, 11, 545. [Google Scholar] [CrossRef]
- Zhao, C.; Zhang, H.; Song, C.; Zhu, J.K.; Shabala, S. Mechanisms of Plant Responses and Adaptation to Soil Salinity. Innovation 2020, 1, 100017. [Google Scholar] [CrossRef]
- Sarabi, B.; Fresneau, C.; Ghaderi, N.; Bolandnazar, S.; Streb, P.; Badeck, F.W.; Citerne, S.; Tangama, M.; David, A.; Ghashghaie, J. Stomatal and Non-Stomatal Limitations Are Responsible in down-Regulation of Photosynthesis in Melon Plants Grown under the Saline Condition: Application of Carbon Isotope Discrimination as a Reliable Proxy. Plant Physiol. Biochem. 2019, 141, 1–19. [Google Scholar] [CrossRef]
- Amirjani, M.R. Effect of NaCl on Some Physiological Parameters of Rice. Eur. J. Biol. Sci. 2010, 3, 6–16. [Google Scholar]
- Pan, T.; Liu, M.; Kreslavski, V.D.; Zharmukhamedov, S.K.; Nie, C.; Yu, M.; Kuznetsov, V.V.; Allakhverdiev, S.I.; Shabala, S. Non-Stomatal Limitation of Photosynthesis by Soil Salinity. Crit. Rev. Environ. Sci. Technol. 2021, 51, 791–825. [Google Scholar] [CrossRef]
- Stepien, P.; Johnson, G.N. Contrasting Responses of Photosynthesis to Salt Stress in the Glycophyte Arabidopsis and the Halophyte Thellungiella: Role of the Plastid Terminal Oxidase as an Alternative Electron Sink. Plant Physiol. 2009, 149, 1154–1165. [Google Scholar] [CrossRef] [PubMed]
- Yang, X.; Liang, Z.; Wen, X.; Lu, C. Genetic Engineering of the Biosynthesis of Glycinebetaine Leads to Increased Tolerance of Photosynthesis to Salt Stress in Transgenic Tobacco Plants. Plant Mol. Biol. 2008, 66, 73–86. [Google Scholar] [CrossRef]
- Kang, G.; Li, G.; Zheng, B.; Han, Q.; Wang, C.; Zhu, Y.; Guo, T. Proteomic Analysis on Salicylic Acid-Induced Salt Tolerance in Common Wheat Seedlings (Triticum aestivum L.). Biochim. Biophys. Acta (BBA)-Proteins Proteom. 2012, 1824, 1324–1333. [Google Scholar] [CrossRef] [PubMed]
- Almeida, D.M.; Margarida Oliveira, M.; Saibo, N.J.M. Regulation of Na+ and K+ Homeostasis in Plants: Towards Improved Salt Stress Tolerance in Crop Plants. Genet. Mol. Biol. 2017, 40 (Suppl. S1), 326–345. [Google Scholar] [CrossRef]
- Gupta, A.; Shaw, B.P.; Sahu, B.B. Post-Translational Regulation of the Membrane Transporters Contributing to Salt Tolerance in Plants. Funct. Plant Biol. 2021, 48, 1199–1212. [Google Scholar] [CrossRef] [PubMed]
- Wang, M.; Zheng, Q.; Shen, Q.; Guo, S. The Critical Role of Potassium in Plant Stress Response. Int. J. Mol. Sci. 2013, 14, 7370–7390. [Google Scholar] [CrossRef]
- Tighe-Neira, R.; Alberdi, M.; Arce-Johnson, P.; Romero, J.; Reyes-Díaz, M.; Rengel, Z.; Inostroza-Blancheteau, C. Role of Potassium in Governing Photosynthetic Processes and Plant Yield. In Plant Nutrients and Abiotic Stress Tolerance; Springer: Singapore, 2018; pp. 191–203. ISBN 9789811090448. [Google Scholar]
- Zhang, Y.; Kaiser, E.; Li, T.; Marcelis, L.F.M. NaCl Affects Photosynthetic and Stomatal Dynamics by Osmotic Effects and Reduces Photosynthetic Capacity by Ionic Effects in Tomato. J. Exp. Bot. 2022, 73, 3637–3650. [Google Scholar] [CrossRef]
- Martínez-Ballesta, M.C.; Martínez, V.; Carvajal, M. Osmotic Adjustment, Water Relations and Gas Exchange in Pepper Plants Grown under NaCl or KCl. Environ. Exp. Bot. 2004, 52, 161–174. [Google Scholar] [CrossRef]
- Pecherina, A.; Grinberg, M.; Ageyeva, M.; Zanegina, D.; Akinchits, E.; Brilkina, A.; Vodeneev, V. Salt-Induced Changes in Cytosolic PH and Photosynthesis in Tobacco and Potato Leaves. Int. J. Mol. Sci. 2023, 24, 491. [Google Scholar] [CrossRef] [PubMed]
- Baggett, J.P.; Habibsadeh, S.; Toups, H.S.; Cochetel, N.; Ghan, R.; Robinson, M.L.; Barrios-Masias, F.H.; Cramer, G.R. Is Foliar Cl- Concentration the Cause of Photosynthetic Decline in Grapevine during Mild Salinity? Oeno One 2021, 55, 33–48. [Google Scholar] [CrossRef]
- Zhang, L.; Xing, D. Rapid Determination of the Damage to Photosynthesis Caused by Salt and Osmotic Stresses Using Delayed Fluorescence of Chloroplasts. Photochem. Photobiol. Sci. 2008, 7, 352–360. [Google Scholar] [CrossRef] [PubMed]
- Affenzeller, M.J.; Darehshouri, A.; Andosch, A.; Lütz, C.; Lütz-Meindl, U. Salt Stress-Induced Cell Death in the Unicellular Green Alga Micrasterias Denticulata. J. Exp. Bot. 2009, 60, 939–954. [Google Scholar] [CrossRef] [PubMed]
- Azzabi, G.; Pinnola, A.; Betterle, N.; Bassi, R.; Alboresi, A. Enhancement of Non-Photochemical Quenching in the Bryophyte Physcomitrella Patens during Acclimation to Salt and Osmotic Stress. Plant Cell Physiol. 2012, 53, 1815–1825. [Google Scholar] [CrossRef]
- Sharma, N.; Gupta, N.K.; Gupta, S.; Hasegawa, H. Effect of NaCl Salinity on Photosynthetic Rate, Transpiration Rate, and Oxidative Stress Tolerance in Contrasting Wheat Genotypes. Photosynthetica 2005, 43, 609–613. [Google Scholar] [CrossRef]
- Irakoze, W.; Prodjinoto, H.; Nijimbere, S.; Rufyikiri, G.; Lutts, S. NaCl and Na2SO4 Salinities Have Different Impact on Photosynthesis and Yield-Related Parameters in Rice (Oryza sativa L.). Agronomy 2020, 10, 864. [Google Scholar] [CrossRef]
- Hamani, A.K.M.; Wang, G.; Soothar, M.K.; Shen, X.; Gao, Y.; Qiu, R.; Mehmood, F. Responses of Leaf Gas Exchange Attributes, Photosynthetic Pigments and Antioxidant Enzymes in NaCl-Stressed Cotton (Gossypium hirsutum L.) Seedlings to Exogenous Glycine Betaine and Salicylic Acid. BMC Plant Biol. 2020, 20, 434. [Google Scholar] [CrossRef]
- Shelden, M.C.; Munns, R. Crop Root System Plasticity for Improved Yields in Saline Soils. Front. Plant Sci. 2023, 14, 1120583. [Google Scholar] [CrossRef]
- Wang, C.F.; Han, G.L.; Yang, Z.R.; Li, Y.X.; Wang, B.S. Plant Salinity Sensors: Current Understanding and Future Directions. Front. Plant Sci. 2022, 13, 859224. [Google Scholar] [CrossRef]
- Banik, S.; Dutta, D. Membrane Proteins in Plant Salinity Stress Perception, Sensing, and Response. J. Membr. Biol. 2023, 256, 109–124. [Google Scholar] [CrossRef]
- Maathuis, F.J.M. Sodium in Plants: Perception, Signalling, and Regulation of Sodium Fluxes. J. Exp. Bot. 2014, 65, 849–858. [Google Scholar] [CrossRef] [PubMed]
- Jiang, Z.; Zhou, X.; Tao, M.; Yuan, F.; Liu, L.; Wu, F.; Wu, X.; Xiang, Y.; Niu, Y.; Liu, F.; et al. Plant Cell-Surface GIPC Sphingolipids Sense Salt to Trigger Ca2+ Influx. Nature 2019, 572, 341–346. [Google Scholar] [CrossRef] [PubMed]
- Gigli-Bisceglia, N.; van Zelm, E.; Huo, W.; Lamers, J.; Testerink, C. Arabidopsis Root Responses to Salinity Depend on Pectin Modification and Cell Wall Sensing. Development 2022, 149, dev200363. [Google Scholar] [CrossRef] [PubMed]
- Schmidt, R.; Caldana, C.; Mueller-Roeber, B.; Schippers, J.H.M. The Contribution of SERF1 to Root-to-Shoot Signaling during Salinity Stress in Rice. Plant Signal. Behav. 2014, 9, e27540. [Google Scholar] [CrossRef] [PubMed]
- Kurusu, T.; Kuchitsu, K.; Tada, Y. Plant Signaling Networks Involving Ca2+ and Rboh/Nox-Mediated ROS Production under Salinity Stress. Front. Plant Sci. 2015, 6, 427. [Google Scholar] [CrossRef]
- Choi, W.G.; Toyota, M.; Kim, S.H.; Hilleary, R.; Gilroy, S. Salt Stress-Induced Ca2+ Waves Are Associated with Rapid, Long-Distance Root-to-Shoot Signaling in Plants. Proc. Natl. Acad. Sci. USA 2014, 111, 6497–6502. [Google Scholar] [CrossRef]
- Christmann, A.; Weiler, E.W.; Steudle, E.; Grill, E. A Hydraulic Signal in Root-to-Shoot Signalling of Water Shortage. Plant J. 2007, 52, 167–174. [Google Scholar] [CrossRef]
- Kader, M.; Lindberg, S. Cytosolic Calcium and PH Signaling in Plants under salinity Stress. Plant Signal. Behav. 2010, 5, 233–238. [Google Scholar] [CrossRef]
- Felle, H.H. PH Signal and Messenger in Plant Cells. Plant Biol. 2001, 3, 577–591. [Google Scholar] [CrossRef]
- Kader, M.A.; Lindberg, S.; Seidel, T.; Golldack, D.; Yemelyanov, V. Sodium Sensing Induces Different Changes in Free Cytosolic Calcium Concentration and PH in Salt-Tolerant and -Sensitive Rice (Oryza sativa) Cultivars. Physiol. Plant. 2007, 130, 99–111. [Google Scholar] [CrossRef]
- Gao, D.; Knight, M.R.; Trewavas, A.J.; Sattelmacher, B.; Plieth, C. Self-Reporting Arabidopsis Expressing PH and [Ca2+] Indicators Unveil Ion Dynamics in the Cytoplasm and in the Apoplast under Abiotic Stress. Plant Physiol. 2004, 134, 898–908. [Google Scholar] [CrossRef] [PubMed]
- Stolarz, M.; Dziubinska, H. Osmotic and Salt Stresses Modulate Spontaneous and Glutamate-Induced Action Potentials and Distinguish between Growth and Circumnutation in Helianthus Annuus Seedlings. Front. Plant Sci. 2017, 8, 1766. [Google Scholar] [CrossRef] [PubMed]
- Lefèvre, I.; Gratia, E.; Lutts, S. Discrimination between the Ionic and Osmotic Components of Salt in Relation to Free Polyamine Level in Rice (Oryza sativa). Plant Sci. 2001, 161, 943–952. [Google Scholar] [CrossRef]
- Ageyeva, M.N.; Zdobnova, T.A.; Nazarova, M.S.; Raldugina, G.N.; Beliaev, D.V.; Vodeneev, V.A.; Brilkina, A.A. The Morphological Parameters and Cytosolic PH of Cells of Root Zones in Tobacco Plants (Nicotiana tabacum L.): Nonlinear Effects of NaCl Concentrations. Plants 2023, 12, 3708. [Google Scholar] [CrossRef] [PubMed]
- Nilson, S.E.; Assmann, S.M. The Control of Transpiration. Insights from Arabidopsis. Plant Physiol. 2007, 143, 19–27. [Google Scholar] [CrossRef]
- Groszmann, M.; Osborn, H.L.; Evans, J.R. Carbon Dioxide and Water Transport through Plant Aquaporins. Plant Cell Environ. 2017, 40, 938–961. [Google Scholar] [CrossRef]
- Sharipova, G.; Ivanov, R.; Veselov, D.; Akhiyarova, G.; Seldimirova, O.; Galin, I.; Fricke, W.; Vysotskaya, L.; Kudoyarova, G. Effect of Salinity on Stomatal Conductance, Leaf Hydraulic Conductance, HvPIP2 Aquaporin, and Abscisic Acid Abundance in Barley Leaf Cells. Int. J. Mol. Sci. 2022, 23, 14282. [Google Scholar] [CrossRef]
- Kuromori, T.; Shinozaki, K. ABA Transport Factors Found in Arabidopsis ABC Transporters. Plant Signal. Behav. 2010, 5, 1124–1126. [Google Scholar] [CrossRef]
- Giridhar, M.; Meier, B.; Imani, J.; Kogel, K.H.; Peiter, E.; Vothknecht, U.C.; Chigri, F. Comparative Analysis of Stress-Induced Calcium Signals in the Crop Species Barley and the Model Plant Arabidopsis thaliana. BMC Plant Biol. 2022, 22, 447. [Google Scholar] [CrossRef]
- Schmöckel, S.M.; Garcia, A.F.; Berger, B.; Tester, M.; Webb, A.A.R.; Roy, S.J. Different NaCl-Induced Calcium Signatures in the Arabidopsis thaliana Ecotypes Col-0 and C24. PLoS ONE 2015, 10, e0117564. [Google Scholar] [CrossRef] [PubMed]
- Colin, L.; Ruhnow, F.; Zhu, J.K.; Zhao, C.; Zhao, Y.; Persson, S. The Cell Biology of Primary Cell Walls during Salt Stress. Plant Cell 2023, 35, 201–217. [Google Scholar] [CrossRef] [PubMed]
- Yuan, F.; Yang, H.; Xue, Y.; Kong, D.; Ye, R.; Li, C.; Zhang, J.; Theprungsirikul, L.; Shrift, T.; Krichilsky, B.; et al. OSCA1 Mediates Osmotic-Stress-Evoked Ca2+ Increases Vital for Osmosensing in Arabidopsis. Nature 2014, 514, 367–371. [Google Scholar] [CrossRef] [PubMed]
- Smokvarska, M.; Bayle, V.; Maneta-Peyret, L.; Fouillen, L.; Poitout, A.; Dongois, A.; Fiche, J.-B.; Gronnier, J.; Garcia, J.; Höfte, H.; et al. The Receptor Kinase FERONIA Regulates Phosphatidylserine Localization at the Cell Surface to Modulate ROP Signaling. Sci. Adv. 2023, 9, eadd4791. [Google Scholar] [CrossRef] [PubMed]
- Smokvarska, M.; Jaillais, Y.; Martiniere, A. Function of Membrane Domains in Rho-of-Plant Signaling. Plant Physiol. 2021, 185, 663–681. [Google Scholar] [CrossRef] [PubMed]
- Ismail, A.; El-Sharkawy, I.; Sherif, S. Salt Stress Signals on Demand: Cellular Events in the Right Context. Int. J. Mol. Sci. 2020, 21, 3918. [Google Scholar] [CrossRef] [PubMed]
- Davies, J.M. Annexin-Mediated Calcium Signalling in Plants. Plants 2014, 3, 128–140. [Google Scholar] [CrossRef]
- Huh, S.M.; Noh, E.K.; Kim, H.G.; Jeon, B.W.; Bae, K.; Hu, H.C.; Kwak, J.M.; Park, O.K. Arabidopsis Annexins AnnAt1 and AnnAt4 Interact with Each Other and Regulate Drought and Salt Stress Responses. Plant Cell Physiol. 2010, 51, 1499–1514. [Google Scholar] [CrossRef]
- Ma, L.; Ye, J.; Yang, Y.; Lin, H.; Yue, L.; Luo, J.; Long, Y.; Fu, H.; Liu, X.; Zhang, Y.; et al. The SOS2-SCaBP8 Complex Generates and Fine-Tunes an AtANN4-Dependent Calcium Signature under Salt Stress. Dev. Cell 2019, 48, 697–709.e5. [Google Scholar] [CrossRef]
- Li, J.; Yang, Y. How Do Plants Maintain PH and Ion Homeostasis under Saline-Alkali Stress? Front. Plant Sci. 2023, 14, 1217193. [Google Scholar] [CrossRef]
- Huber, A.E.; Bauerle, T.L. Long-Distance Plant Signaling Pathways in Response to Multiple Stressors: The Gap in Knowledge. J. Exp. Bot. 2016, 67, 2063–2079. [Google Scholar] [CrossRef] [PubMed]
- Gorgues, L.; Li, X.; Maurel, C.; Martinière, A.; Nacry, P. Root Osmotic Sensing from Local Perception to Systemic Responses. Stress Biol. 2022, 2, 36. [Google Scholar] [CrossRef] [PubMed]
- Monetti, E.; Kadono, T.; Tran, D.; Azzarello, E.; Arbelet-Bonnin, D.; Biligui, B.; Briand, J.; Kawano, T.; Mancuso, S.; Bouteau, F. Deciphering Early Events Involved in Hyperosmotic Stress-Induced Programmed Cell Death in Tobacco BY-2 Cells. J. Exp. Bot. 2014, 65, 1361–1375. [Google Scholar] [CrossRef] [PubMed]
- Tracy, F.E.; Gilliham, M.; Dodd, A.N.; Webb, A.A.R.; Tester, M. NaCl-Induced Changes in Cytosolic Free Ca2+ in Arabidopsis Thaliana Are Heterogeneous and Modified by External Ionic Composition. Plant Cell Environ. 2008, 31, 1063–1073. [Google Scholar] [CrossRef]
- Liu, H.; Li, Y.; Peng, T.; Xue, S. Transmembrane Potential, an Indicator in Situ Reporting Cellular Senescence and Stress Response in Plant Tissues. Plant Methods 2023, 19, 27. [Google Scholar] [CrossRef] [PubMed]
- Wegner, L.H.; Stefano, G.; Shabala, L.; Rossi, M.; Mancuso, S.; Shabala, S. Sequential Depolarization of Root Cortical and Stelar Cells Induced by an Acute Salt Shock-Implications for Na+ and K+ Transport into Xylem Vessels. Plant Cell Environ. 2011, 34, 859–869. [Google Scholar] [CrossRef]
- Rombolá-Caldentey, B.; Andrés, Z.; Waadt, R.; Quintero, F.J.; Schumacher, K.; Pardo, J.M. Salinity-Induced Cytosolic Alkaline Shifts in Arabidopsis Roots Require the SOS Pathway. Int. J. Mol. Sci. 2023, 24, 3549. [Google Scholar] [CrossRef]
- Liu, J.; Hu, J.; Li, Y.; Li, G.; Wu, H. Calcium Channels and Transporters in Plants under Salinity Stress. In Calcium Transport Elements in Plants; Elsevier: Amsterdam, The Netherlands, 2021; pp. 157–169. ISBN 9780128217924. [Google Scholar]
- Laohavisit, A.; Richards, S.L.; Shabala, L.; Chen, C.; Colaço, R.D.D.R.; Swarbreck, S.M.; Shaw, E.; Dark, A.; Shabala, S.; Shang, Z.; et al. Salinity-Induced Calcium Signaling and Root Adaptation in Arabidopsis Require the Calcium Regulatory Protein Annexin1. Plant Physiol. 2013, 163, 253–262. [Google Scholar] [CrossRef]
- Ma, L.; Zhang, H.; Sun, L.; Jiao, Y.; Zhang, G.; Miao, C.; Hao, F. NADPH Oxidase AtrbohD and AtrbohF Function in ROS-Dependent Regulation of Na +/K + Homeostasis in Arabidopsis under Salt Stress. J. Exp. Bot. 2012, 63, 305–317. [Google Scholar] [CrossRef]
- Dewald, D.B.; Torabinejad, J.; Jones, C.A.; Shope, J.C.; Cangelosi, A.R.; Thompson, J.E.; Prestwich, G.D.; Hama, H. Rapid Accumulation of Phosphatidylinositol 4,5-Bisphosphate and Inositol 1,4,5-Trisphosphate Correlates with Calcium Mobilization in Salt-Stressed Arabidopsis 1. Plant Physiol. 2001, 126, 759–769. [Google Scholar] [CrossRef]
- Yang, Y.; Han, X.; Ma, L.; Wu, Y.; Liu, X.; Fu, H.; Liu, G.; Lei, X.; Guo, Y. Dynamic Changes of Phosphatidylinositol and Phosphatidylinositol 4-Phosphate Levels Modulate H+-ATPase and Na+/H+ Antiporter Activities to Maintain Ion Homeostasis in Arabidopsis under Salt Stress. Mol. Plant 2021, 14, 2000–2014. [Google Scholar] [CrossRef] [PubMed]
- Gjetting, S.K.; Mahmood, K.; Shabala, L.; Kristensen, A.; Shabala, S.; Palmgren, M.; Fuglsang, A.T. Evidence for Multiple Receptors Mediating RALF-Triggered Ca2+ Signaling and Proton Pump Inhibition. Plant J. 2020, 104, 433–446. [Google Scholar] [CrossRef] [PubMed]
- Ageyeva, M.; Veselov, A.; Vodeneev, V.; Brilkina, A. Cell-Type-Specific Length and Cytosolic PH Response of Superficial Cells of Arabidopsis Root to Chronic Salinity. Plants 2022, 11, 3532. [Google Scholar] [CrossRef] [PubMed]
- Li, H.; Testerink, C.; Zhang, Y. How Roots and Shoots Communicate through Stressful Times. Trends Plant Sci. 2021, 26, 940–952. [Google Scholar] [CrossRef]
- Kunz, H.H.; Gierth, M.; Herdean, A.; Satoh-Cruz, M.; Kramer, D.M.; Spetea, C.; Schroeder, J.I. Plastidial Transporters KEA1, -2, and -3 Are Essential for Chloroplast Osmoregulation, Integrity, and PH Regulation in Arabidopsis. Proc. Natl. Acad. Sci. USA 2014, 111, 7480–7485. [Google Scholar] [CrossRef]
- Terashima, M.; Petroutsos, D.; Hüdig, M.; Tolstygina, I.; Trompelt, K.; Gäbelein, P.; Fufezan, C.; Kudla, J.; Weinl, S.; Finazzi, G.; et al. Calcium-Dependent Regulation of Cyclic Photosynthetic Electron Transfer by a CAS, ANR1, and PGRL1 Complex. Proc. Natl. Acad. Sci. USA 2012, 109, 17717–17722. [Google Scholar] [CrossRef]
- Nomura, H.; Shiina, T. Calcium Signaling in Plant Endosymbiotic Organelles: Mechanism and Role in Physiology. Mol. Plant 2014, 7, 1094–1104. [Google Scholar] [CrossRef]
- Stael, S.; Wurzinger, B.; Mair, A.; Mehlmer, N.; Vothknecht, U.C.; Teige, M. Plant Organellar Calcium Signalling: An Emerging Field. J. Exp. Bot. 2012, 63, 1525–1542. [Google Scholar] [CrossRef]
- Kreimer, G.; Melkonian, M.; Holtum, J.A.M.; Latzko, E. Stromal Free Calcium Concentration and Light-Mediated of Chloroplast Fructose-1,6-Bisphosphatase. Plant Physiol. 1988, 86, 423–428. [Google Scholar] [CrossRef]
- Hochmal, A.K.; Schulze, S.; Trompelt, K.; Hippler, M. Calcium-Dependent Regulation of Photosynthesis. Biochim. Biophys. Acta Bioenerg. 2015, 1847, 993–1003. [Google Scholar] [CrossRef]
- Shabala, S.; White, R.G.; Djordjevic, M.A.; Ruan, Y.L.; Mathesius, U. Root-to-Shoot Signalling: Integration of Diverse Molecules, Pathways and Functions. Funct. Plant Biol. 2016, 43, 87–104. [Google Scholar] [CrossRef] [PubMed]
- Christmann, A.; Grill, E.; Huang, J. Hydraulic Signals in Long-Distance Signaling. Curr. Opin. Plant Biol. 2013, 16, 293–300. [Google Scholar] [CrossRef] [PubMed]
- Gilroy, S.; Białasek, M.; Suzuki, N.; Górecka, M.; Devireddy, A.R.; Karpiński, S.; Mittler, R. ROS, Calcium, and Electric Signals: Key Mediators of Rapid Systemic Signaling in Plants. Plant Physiol. 2016, 171, 1606–1615. [Google Scholar] [CrossRef] [PubMed]
- Schulte, A.; Lorenzen, I.; Böttcher, M.; Plieth, C. A Novel Fluorescent PH Probe for Expression in Plants. Plant Methods 2006, 2, 7. [Google Scholar] [CrossRef] [PubMed]
- Pecherina, A.; Grinberg, M.; Ageyeva, M.; Zdobnova, T.; Ladeynova, M.; Yudintsev, A.; Vodeneev, V.; Brilkina, A. Whole-Plant Measure of Temperature-Induced Changes in the Cytosolic Ph of Potato Plants Using Genetically Encoded Fluorescent Sensor Pt-Gfp. Agriculture 2021, 11, 1131. [Google Scholar] [CrossRef]
- Maxwell, K.; Johnson, G.N. Chlorophyll Fluorescence-a Practical Guide. J. Exp. Bot. 2000, 51, 659–668. [Google Scholar] [CrossRef]
- Schindelin, J.; Arganda-Carreras, I.; Frise, E.; Kaynig, V.; Longair, M.; Pietzsch, T.; Preibisch, S.; Rueden, C.; Saalfeld, S.; Schmid, B.; et al. Fiji: An Open-Source Platform for Biological-Image Analysis. Nat. Methods 2012, 9, 676–682. [Google Scholar] [CrossRef]
- Micro-Manager. Available online: https://Micro-Manager.Org/ (accessed on 22 October 2023).
- ImageJ. Available online: https://imagej.net/ij/ (accessed on 18 January 2023).
- Jackson, R.D.; Idso, S.B.; Reginato, R.J.; Pinter, P.J., Jr. Canopy Temperature as a Crop Water Stress Indicator. Water Resour. Res. 1981, 17, 1133–1138. [Google Scholar] [CrossRef]














Disclaimer/Publisher’s Note: The statements, opinions and data contained in all publications are solely those of the individual author(s) and contributor(s) and not of MDPI and/or the editor(s). MDPI and/or the editor(s) disclaim responsibility for any injury to people or property resulting from any ideas, methods, instructions or products referred to in the content. |
© 2024 by the authors. Licensee MDPI, Basel, Switzerland. This article is an open access article distributed under the terms and conditions of the Creative Commons Attribution (CC BY) license (https://creativecommons.org/licenses/by/4.0/).
Share and Cite
Pecherina, A.; Dimitrieva, A.; Mudrilov, M.; Ladeynova, M.; Zanegina, D.; Brilkina, A.; Vodeneev, V. Salt-Induced Early Changes in Photosynthesis Activity Caused by Root-to-Shoot Signaling in Potato. Int. J. Mol. Sci. 2024, 25, 1229. https://doi.org/10.3390/ijms25021229
Pecherina A, Dimitrieva A, Mudrilov M, Ladeynova M, Zanegina D, Brilkina A, Vodeneev V. Salt-Induced Early Changes in Photosynthesis Activity Caused by Root-to-Shoot Signaling in Potato. International Journal of Molecular Sciences. 2024; 25(2):1229. https://doi.org/10.3390/ijms25021229
Chicago/Turabian StylePecherina, Anna, Anastasia Dimitrieva, Maxim Mudrilov, Maria Ladeynova, Daria Zanegina, Anna Brilkina, and Vladimir Vodeneev. 2024. "Salt-Induced Early Changes in Photosynthesis Activity Caused by Root-to-Shoot Signaling in Potato" International Journal of Molecular Sciences 25, no. 2: 1229. https://doi.org/10.3390/ijms25021229
APA StylePecherina, A., Dimitrieva, A., Mudrilov, M., Ladeynova, M., Zanegina, D., Brilkina, A., & Vodeneev, V. (2024). Salt-Induced Early Changes in Photosynthesis Activity Caused by Root-to-Shoot Signaling in Potato. International Journal of Molecular Sciences, 25(2), 1229. https://doi.org/10.3390/ijms25021229

