Chlorophyll and Carotenoid Metabolism Varies with Growth Temperatures among Tea Genotypes with Different Leaf Colors in Camellia sinensis
Abstract
1. Introduction
2. Results and Discussion
2.1. Variations in Shoot Phenotype under Different Temperatures
2.2. Effects of Different Temperatures on Chloroplast Ultrastructure
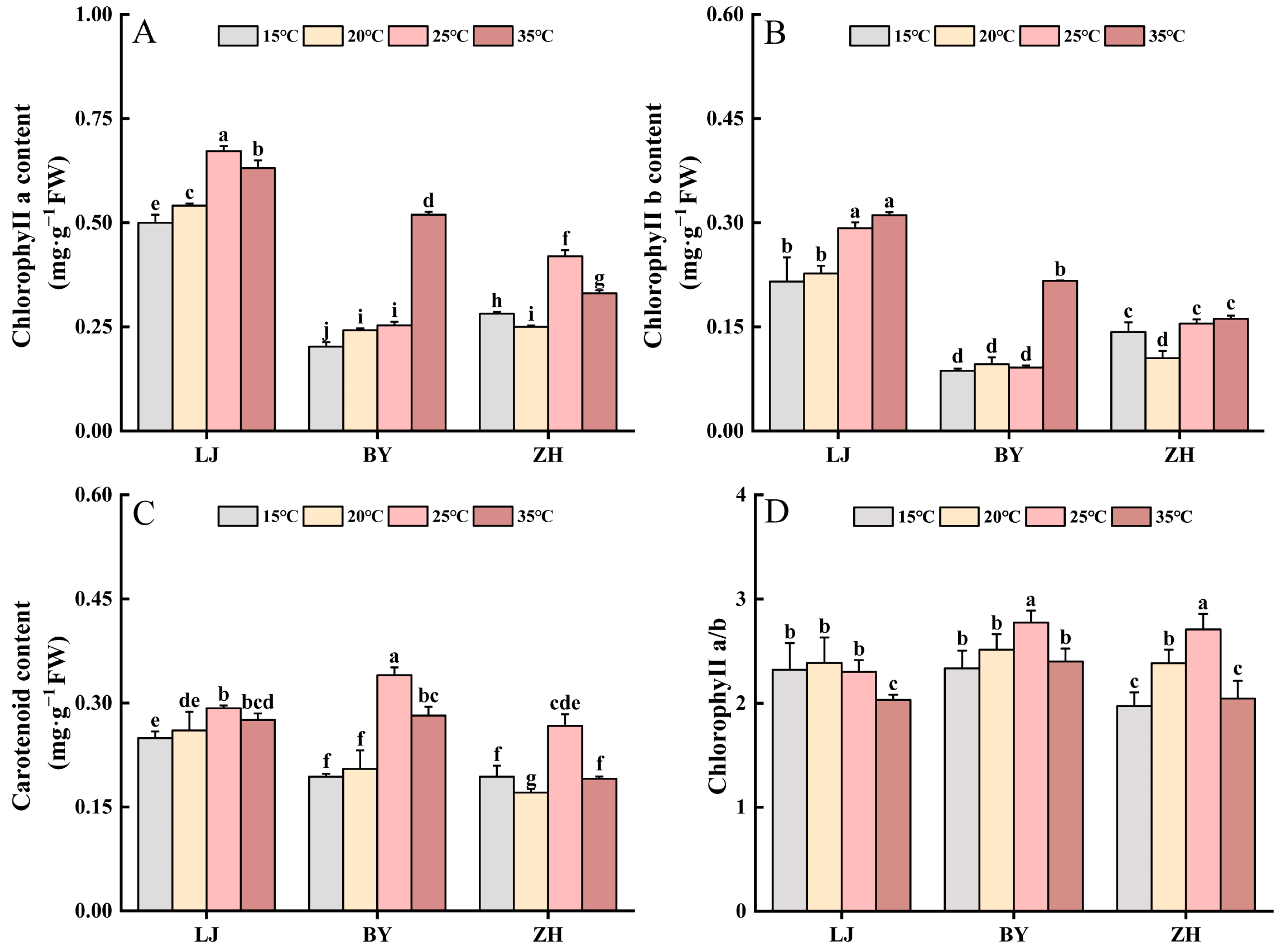
2.3. Changes in Photosynthetic Pigment Content under Different Temperatures
2.4. Changes in the Expression of Genes Related to Chlorophyll and Carotenoid Metabolic Pathways
2.5. Correlation Analysis of Chlorophyll Metabolism-Related Gene Expression and Chlorophyll Content
2.6. Correlation Analysis of Carotenoids Metabolism-Related Gene Expression and Carotenoids Content
3. Materials and Methods
3.1. Plant Materials and Treatments
3.2. Determination of Photosynthetic Pigment Contents
3.3. Transmission Electron Microscopy (TEM) Observation
3.4. RNA Extraction, cDNA Synthesis and Real-Time Reverse Transcription Quantitative Polymerase Chain Reaction (RT-qPCR)
3.5. Statistical Analysis
4. Conclusions
Supplementary Materials
Author Contributions
Funding
Institutional Review Board Statement
Informed Consent Statement
Data Availability Statement
Conflicts of Interest
References
- Xia, E.H.; Zhang, H.B.; Sheng, J.; Li, K.; Zhang, Q.J.; Kim, C.; Zhang, Y.; Liu, Y.; Zhu, T.; Li, W.; et al. The Tea Tree Genome Provides Insights into Tea Flavor and Independent Evolution of Caffeine Biosynthesis1. Mol. Plant 2017, 10, 866–877. [Google Scholar] [CrossRef] [PubMed]
- Li, M.M.; Meegahakumbura, M.K.; Wambulwa, M.C.; Burgess, K.S.; Möller, M.; Shen, Z.F.; Li, D.Z.; Gao, L.M. Genetic analyses of ancient tea trees provide insights into the breeding history and dissemination of Chinese Assam tea (Camellia sinensis var. assamica). Plant Divers. 2024, 46, 229–237. [Google Scholar] [CrossRef] [PubMed]
- Zhang, C.; Wang, M.; Gao, X.; Zhou, F.; Shen, C.; Liu, Z. Multi-omics research in albino tea plants: Past, present, and future. Sci. Hortic. 2020, 261, 108943. [Google Scholar] [CrossRef]
- Naested, H.; Holm, A.; Jenkins, T.; Nielsen, H.B.; Harris, C.A.; Beale, M.H.; Andersen, M.; Mant, A.; Scheller, H.; Camara, B.; et al. Arabidopsis VARIEGATED 3 encodes a chloroplast-targeted, zinc-finger protein required for chloroplast and palisade cell development. J. Cell Sci. 2004, 117, 4807–4818. [Google Scholar] [CrossRef]
- Ishiga, Y.; Uppalapati, S.R.; Ishiga, T.; Elavarthi, S.; Martin, B.; Bender, C.L. The phytotoxin coronatine induces light-dependent reactive oxygen species in tomato seedlings. New Phytol. 2009, 181, 147–160. [Google Scholar] [CrossRef]
- Asakura, Y.; Hirohashi, T.; Kikuchi, S.; Belcher, S.; Osborne, E.; Yano, S.; Terashima, I.; Barkan, A.; Nakai, M. Maize mutants lacking chloroplast FtsY exhibit pleiotropic defects in the biogenesis of thylakoid membranes. Plant Cell 2004, 16, 201–214. [Google Scholar] [CrossRef]
- Jiang, H.; Li, M.; Liang, N.; Yan, H.; Wei, Y.; Xu, X.; Liu, J.; Xu, Z.; Chen, F.; Wu, G. Molecular cloning and function analysis of the stay green gene in rice. Plant J. 2007, 52, 197–209. [Google Scholar] [CrossRef]
- Kumari, M.; Clarke, H.J.; Small, I.; Siddique, K.H.M. Albinism in Plants: A Major Bottleneck in Wide Hybridization, Androgenesis and Doubled Haploid Culture. Crit. Rev. Plant Sci. 2009, 28, 393–409. [Google Scholar] [CrossRef]
- Fan, Y.G.; Zhao, T.T.; Xiang, Q.Z.; Han, X.Y.; Yang, S.S.; Zhang, L.X.; Ren, L.J. Multi-Omics Research Accelerates the Clarification of the Formation Mechanism and the Influence of Leaf Color Variation in Tea (Camellia sinensis) Plants. Plants 2024, 13, 426. [Google Scholar] [CrossRef]
- Zou, G.; Xiao, Y.; Wang, M.; Zhang, H. Detection of bitterness and astringency of green tea with different taste by electronic nose and tongue. PLoS ONE 2018, 13, e0206517. [Google Scholar] [CrossRef]
- Liu, D.; Wei, K.; Zhang, C.; Liu, H.; Gong, Y.; Ye, Y.; Chen, J.; Yao, M.; Chen, L.; Ma, C. The potential effects of chlorophyll-deficient mutation and tree_age on the accumulation of amino acid components in tea plants. Food Chem. 2023, 411, 135527. [Google Scholar] [CrossRef] [PubMed]
- Wang, M.; Yang, J.; Li, J.; Zhou, X.; Xiao, Y.; Liao, Y.; Tang, J.; Dong, F.; Zeng, L. Effects of temperature and light on quality-related metabolites in tea [Camellia sinensis (L.) Kuntze] leaves. Food Res. Int. 2022, 161, 111882. [Google Scholar] [CrossRef] [PubMed]
- Ye, J.J.; Lin, X.Y.; Yang, Z.X.; Wang, Y.Q.; Liang, Y.R.; Wang, K.R.; Lu, J.L.; Lu, P.; Zheng, X.Q. The light-harvesting chlorophyll a/b-binding proteins of photosystem II family members are responsible for temperature sensitivity and leaf color phenotype in albino tea plant. J. Adv. Res. 2023, 23, 404–406. [Google Scholar] [CrossRef] [PubMed]
- Chen, Y.; Han, Y.; Tong, H. Amino acids and flavonoids analysis reveals quality constituents difference among different albino tea resources. Food Chem. 2024, 449, 139200. [Google Scholar] [CrossRef]
- Zhao, Y.; Han, Q.; Ding, C.; Huang, Y.; Liao, J.; Chen, T.; Feng, S.; Zhou, L.; Zhang, Z.; Chen, Y.; et al. Effect of Low Temperature on Chlorophyll Biosynthesis and Chloroplast Biogenesis of Rice Seedlings during Greening. Int. J. Mol. Sci. 2020, 21, 1390. [Google Scholar] [CrossRef] [PubMed]
- Akiyama, K.; Matsuzaki, K.; Hayashi, H. Plant sesquiterpenes induce hyphal branching in arbuscular mycorrhizal fungi. Nature 2005, 435, 824–827. [Google Scholar] [CrossRef]
- Karlova, R.; Rosin, F.M.; Busscher-Lange, J.; Parapunova, V.; Do, P.T.; Fernie, A.R.; Fraser, P.D.; Baxter, C.; Angenent, G.C.; de Maagd, R.A. Transcriptome and Metabolite Profiling Show That APETALA2a Is a Major Regulator of Tomato Fruit Ripening. Plant Cell 2011, 23, 923–941. [Google Scholar] [CrossRef]
- Li, N.; Yang, Y.; Ye, J.; Lu, J.; Zheng, X.; Liang, Y. Effects of sunlight on gene expression and chemical composition of light-sensitive albino tea plant. Plant Growth Regul. 2016, 78, 253–262. [Google Scholar] [CrossRef]
- Arango, J.; Jourdan, M.; Geoffriau, E.; Beyer, P.; Welsch, R. Carotene Hydroxylase Activity Determines the Levels of Both α-Carotene and Total Carotenoids in Orange Carrots. Plant Cell 2014, 26, 2223–2233. [Google Scholar] [CrossRef]
- Wei, C.; Yang, H.; Wang, S.; Zhao, J.; Liu, C.; Gao, L.; Xia, E.; Lu, Y.; Tai, Y.; She, G.; et al. Draft genome sequence of Camellia sinensis var. sinensis provides insights into the evolution of the tea genome and tea quality. Proc. Natl. Acad. Sci. USA 2018, 115, e4151–e4158. [Google Scholar] [CrossRef]
- Xu, C.; Li, J.; Wang, H.; Liu, H.; Yu, Z.; Zhao, Z. Whole-Transcriptome Sequencing Reveals a ceRNA Regulatory Network Associated with the Process of Periodic Albinism under Low Temperature in Baiye No. 1 (Camellia sinensis). Int. J. Mol. Sci. 2023, 24, 7162. [Google Scholar] [CrossRef] [PubMed]
- Zhang, K.; Feng, X.; Liu, Y.; Yang, Y.; Hao, X.; Li, D.; Wang, X.; Wang, L. Integrative transcriptome and whole-genome bisulfite sequencing analyses of a temperature-sensitive albino tea plant cultivar. Physiol. Plant. 2023, 175, e14064. [Google Scholar] [CrossRef]
- Chun-Lei, M.A.; Yao, M.Z.; Wang, X.C.; Jin, J.Q.; Chen, L. Cloning and Expression of Three Genes Involved in Chlorophyll Biosynthesis at Different Albescent Stages of Tea Plant Variety “Baiye 1”. Acta Agron. Sin. 2015, 41, 240–250. [Google Scholar]
- Liu GuanHua, L.G.; Yang Mei, Y.M.; Fu JianYu, F.J. Cloning and functional analysis of CsLCYb and CsLCYe for carotene biosynthesis in tea plant (Camellia sinensis). J. Tea Sci. 2019, 39, 257–266. [Google Scholar]
- Du, Y.Y.; Chen, H.; Zhong, W.L.; Wu, L.Y.; Ye, J.H.; Lin, C.; Zheng, X.Q.; Lu, J.L.; Liang, Y.R. Effect of temperature on accumulation of chlorophylls and leaf ultrastructure of low temperature induced albino tea plant. Afr. J. BioTechnol. 2008, 7, 1881–1885. [Google Scholar] [CrossRef]
- Wang, L.; Di, T.; Li, N.; Peng, J.; Wu, Y.; He, M.; Hao, X.; Huang, J.; Ding, C.; Yang, Y.; et al. Transcriptomic analysis of hub genes regulating albinism in light- and temperature-sensitive albino tea cultivars ‘Zhonghuang 1’ and ‘Zhonghuang 2’. Plant Mol. Biol. 2024, 114, 44. [Google Scholar] [CrossRef]
- Neuhaus, H.E.; Emes, M.J. Nonphotosynthetic metabolism in plastids. Annu. Rev. Plant Physiol. Plant Mol. Biol. 2000, 51, 111–140. [Google Scholar] [CrossRef]
- Li, J.Y.; Yang, C.; Tian, Y.Y.; Liu, J.X. Regulation of Chloroplast Development and Function at Adverse Temperatures in Plants. Plant Cell Physiol. 2022, 63, 580–591. [Google Scholar] [CrossRef] [PubMed]
- Lepage, É.; Zampini, É.; Brisson, N. Plastid Genome Instability Leads to Reactive Oxygen Species Production and Plastid-to-Nucleus Retrograde Signaling in Arabidopsis. Plant Physiol. 2013, 163, 867–881. [Google Scholar] [CrossRef]
- Peng, X.; Teng, L.; Yan, X.; Zhao, M.; Shen, S. The cold responsive mechanism of the paper mulberry: Decreased photosynthesis capacity and increased starch accumulation. BMC Genom. 2015, 16, 898. [Google Scholar] [CrossRef]
- Du, Y.Y.; Liang, Y.R.; Wang, H.; Wang, K.R.; Lu, J.L.; Zhang, G.H.; Lin, W.; Li, M.; Fang, Q. A study on the chemical composition of albino tea cultivars. J. Hortic. Sci. Biotechnol. 2006, 81, 809–812. [Google Scholar] [CrossRef]
- Wang, K.; Du, Y.; Shao, S.; Lin, C.; Ye, Q.; Lu, J.-L.; Liang, Y. Development of specific RAPD markers for identifying albino tea cultivars ‘Qiannianxue’ and ‘Xiaoxueya’. Afr. J. Biotechnol. 2010, 9, 434–437. [Google Scholar]
- Ritonga, F.N.; Yan, S.; Chen, S.; Slamet, S.A.; Irmayanti, L.; Song, R.; Lin, X.; Jing, Y.; Farooq, U.; Khoso, M.A.; et al. Cold Acclimation Affects Physiological and Biochemical Characteristics of Betula platyphylla S. under Freezing Stress. Forests 2021, 12, 1777. [Google Scholar] [CrossRef]
- Ma, C.-L.; Chen, L.; Wang, X.-C.; Jin, J.-Q.; Ma, J.-Q.; Yao, M.-Z.; Wang, Z.-L. Differential expression analysis of different albescent stages of ‘Anji Baicha’ (Camellia sinensis (L.) O. Kuntze) using cDNA microarray. Sci. Hortic. 2012, 148, 246–254. [Google Scholar] [CrossRef]
- Du, Y.Y.; Shin, S.; Wang, K.R.; Lu, J.L.; Liang, Y.R. Effect of temperature on the expression of genes related to the accumulation of chlorophylls and carotenoids in albino tea. J. Hortic. Sci. Biotechnol. 2009, 84, 365–369. [Google Scholar] [CrossRef]
- Ma, X.; Liu, J.; Li, H.; Wang, W.; Liu, L.; Wang, P.; Hu, J.; Zhang, X.; Qu, F. Greenhouse covering cultivation promotes chlorophyll accumulation of tea plant (Camellia sinensis) by activating relevant gene expression and enzyme activity. BMC Plant Biol. 2024, 24, 455. [Google Scholar] [CrossRef]
- Liu, L.; Wang, Y.; Tian, Y.; Song, S.; Wu, Z.; Ding, X.; Zheng, H.; Huang, Y.; Liu, S.; Dong, X.; et al. Isolation and Characterization of SPOTTED LEAF42 Encoding a Porphobilinogen Deaminase in Rice. Plants 2023, 12, 403. [Google Scholar] [CrossRef] [PubMed]
- Jaffe, E.K. The Remarkable Character of Porphobilinogen Synthase. Acc. Chem. Res. 2016, 49, 2509–2517. [Google Scholar] [CrossRef] [PubMed]
- Dey, D.; Tanaka, R.; Ito, H. Structural Characterization of the Chlorophyllide a Oxygenase (CAO) Enzyme Through an In Silico Approach. J. Mol. Evol. 2023, 91, 225–235. [Google Scholar] [CrossRef]
- Sinijadas, K.; Paul, A.; Radhika, N.S.; Johnson, J.M.; Manju, R.V.; Anuradha, T. Piriformospora indica suppresses the symptoms produced by Banana bract mosaic virus by inhibiting its replication and manipulating chlorophyll and carotenoid biosynthesis and degradation in banana. 3Biotech 2024, 14, 141. [Google Scholar] [CrossRef]
- Liu, W.; Chen, G.; He, M.; Wu, J.; Wen, W.; Gu, Q.; Guo, S.; Wang, Y.; Sun, J. ABI5 promotes heat stress-induced chlorophyll degradation by modulating the stability of MYB44 in cucumber. Hortic. Res. 2023, 10, uhad089. [Google Scholar] [CrossRef] [PubMed]
- Elnaggar, A.; Tsombou, F.M.; Hussain, M.I.; Almehdi, A.M.; Abideen, Z.; Yong, J.W.H.; El-Keblawy, A. Citrullus colocynthis regulates photosynthetic and biochemical processes to develop stress resilience and sustain growth under sub-optimal temperatures. Plant Stress 2024, 12, 100502. [Google Scholar] [CrossRef]
- Wang, Y.; Xu, H.; Zhang, Y.; Guo, Y.; Chen, Y.; Sun, Y.; Wang, Z.; Guan, L. Exogenous leucine delayed the yellowing of postharvest broccoli by regulating strigolactone and abscisic acid signals based on multi-omics profiling. Food Biosci. 2024, 59, 10408. [Google Scholar] [CrossRef]
- Xue, Y.; Dong, H.; Huang, H.; Li, S.; Shan, X.; Li, H.; Liu, H.; Xia, D.; Su, S.; Yuan, Y. Mutation in Mg-Protoporphyrin IX Monomethyl Ester (Oxidative) Cyclase Gene ZmCRD1 Causes Chlorophyll-Deficiency in Maize. Front. Plant Sci. 2022, 13, 912215. [Google Scholar] [CrossRef]
- Biswal, A.K.; Pattanayak, G.K.; Ruhil, K.; Kandoi, D.; Mohanty, S.S.; Leelavati, S.; Reddy, V.S.; Govindjee, G.; Tripathy, B.C. Reduced expression of chlorophyllide a oxygenase (CAO) decreases the metabolic flux for chlorophyll synthesis and downregulates photosynthesis in tobacco plants. Physiol. Mol. Biol. Plants 2024, 30, 1–16. [Google Scholar] [CrossRef]
- Fan, T.; Roling, L.; Hedtke, B.; Grimm, B. FC2 stabilizes POR and suppresses ALA formation in the tetrapyrrole biosynthesis pathway. New Phytol. 2023, 239, 624–638. [Google Scholar] [CrossRef]
- Lu, M.; Li, Y.; Jia, H.; Xi, Z.; Gao, Q.; Zhang, Z.-Z.; Deng, W.-W. Integrated proteomics and transcriptome analysis reveal a decreased catechins metabolism in variegated tea leaves. Sci. Hortic. 2022, 295, 110824. [Google Scholar] [CrossRef]
- Sakuraba, Y.; Rahman, M.L.; Cho, S.H.; Kim, Y.S.; Koh, H.J.; Yoo, S.C.; Paek, N.C. The rice faded green leaf locus encodes protochlorophyllide oxidoreductase B and is essential for chlorophyll synthesis under high light conditions. Plant J. 2013, 74, 122–133. [Google Scholar] [CrossRef] [PubMed]
- Hitchcock, A.; Proctor, M.S.; Sobotka, R. Coordinating plant pigment production: A green role for ORANGE family proteins. Mol. Plant 2023, 16, 1366–1369. [Google Scholar] [CrossRef]
- Zeng, Z.-Q.; Lin, T.-Z.; Zhao, J.-Y.; Zheng, T.-H.; Xu, L.-F.; Wang, Y.-H.; Liu, L.-L.; Jiang, L.; Chen, S.-H.; Wan, J.-M. OsHemA gene, encoding glutamyl-tRNA reductase (GluTR) is essential for chlorophyll biosynthesis in rice (Oryza sativa). J. Integr. Agric. 2020, 19, 612–623. [Google Scholar] [CrossRef]
- Liu, W.; Fu, Y.; Hu, G.; Si, H.; Zhu, L.; Wu, C.; Sun, Z. Identification and fine mapping of a thermo-sensitive chlorophyll deficient mutant in rice (Oryza sativa L.). Planta 2007, 226, 785–795. [Google Scholar] [CrossRef] [PubMed]
- Yu, G.; Cheng, Q.; Xie, Z.; Xu, B.; Huang, B.; Zhao, B. An efficient protocol for perennial ryegrass mesophyll protoplast isolation and transformation, and its application on interaction study between LpNOL and LpNYC1. Plant Methods 2017, 13, 46. [Google Scholar] [CrossRef] [PubMed]
- Sato, Y.; Morita, R.; Katsuma, S.; Nishimura, M.; Tanaka, A.; Kusaba, M. Two short-chain dehydrogenase/reductases, NON-YELLOW COLORING 1 and NYC1-LIKE, are required for chlorophyll b and light-harvesting complex II degradation during senescence in rice. Plant J. 2009, 57, 120–131. [Google Scholar] [CrossRef] [PubMed]
- Mohanty, S.; Grimm, B.; Tripathy, B.C. Light and dark modulation of chlorophyll biosynthetic genes in response to temperature. Planta 2006, 224, 692–699. [Google Scholar] [CrossRef]
- Liu, X.; Deng, X.J.; Li, C.Y.; Xiao, Y.K.; Zhao, K.; Guo, J.; Yang, X.R.; Zhang, H.S.; Chen, C.P.; Luo, Y.T.; et al. Mutation of Protoporphyrinogen IX Oxidase Gene Causes Spotted and Rolled Leaf and Its Overexpression Generates Herbicide Resistance in Rice. Int. J. Mol. Sci. 2022, 23, 5781. [Google Scholar] [CrossRef] [PubMed]
- Pontier, D.; Albrieux, C.; Joyard, J.; Lagrange, T.; Block, M.A. Knock-out of the Magnesium Protoporphyrin IX Methyltransferase Gene in Arabidopsis: Effects on chloroplast development and on chloroplast-to-nucleus signaling. J. Biol. Chem. 2007, 282, 2297–2304. [Google Scholar] [CrossRef]
- Shalygo, N.; Czarnecki, O.; Peter, E.; Grimm, B. Expression of chlorophyll synthase is also involved in feedback-control of chlorophyll biosynthesis. Plant Mol. Biol. 2009, 71, 425. [Google Scholar] [CrossRef]
- Niu, G.; Guo, Q.; Wang, J.; Zhao, S.; He, Y.; Liu, L. Structural basis for plant lutein biosynthesis from α-carotene. Proc. Natl. Acad. Sci. USA 2020, 117, 14150–14157. [Google Scholar] [CrossRef]
- Li, X.; Zhang, D.; Pan, X.; Kakar, K.U.; Nawaz, Z. Regulation of carotenoid metabolism and ABA biosynthesis during blueberry fruit ripening. Plant Physiol. Biochem. 2024, 206, 108232. [Google Scholar] [CrossRef]
- Cazzonelli, C.I.; Pogson, B.J. Source to sink: Regulation of carotenoid biosynthesis in plants. Trends Plant Sci. 2010, 15, 266–274. [Google Scholar] [CrossRef]
- Quian-Ulloa, R.; Stange, C. Carotenoid Biosynthesis and Plastid Development in Plants: The Role of Light. Int. J. Mol. Sci. 2021, 22, 1184. [Google Scholar] [CrossRef] [PubMed]
- Clotault, J.; Peltier, D.; Soufflet-Freslon, V.; Briard, M.; Geoffriau, E. Differential Selection on Carotenoid Biosynthesis Genes as a Function of Gene Position in the Metabolic Pathway: A Study on the Carrot and Dicots. PLoS ONE 2012, 7, e38724. [Google Scholar] [CrossRef]
- Zhang, H.; Chen, J.; Peng, Z.; Shi, M.; Liu, X.; Wen, H.; Jiang, Y.; Cheng, Y.; Xu, J.; Zhang, H. Integrated Transcriptomic and Metabolomic analysis reveals a transcriptional regulation network for the biosynthesis of carotenoids and flavonoids in ‘Cara cara’ navel Orange. BMC Plant Biol. 2021, 21, 29. [Google Scholar] [CrossRef]
- Huang, X.; Hu, L.; Kong, W.; Yang, C.; Xi, W. Red light-transmittance bagging promotes carotenoid accumulation of grapefruit during ripening. Commun. Biol. 2022, 5, 303. [Google Scholar] [CrossRef] [PubMed]
- Li, B.; He, S.; Zheng, Y.; Wang, Y.; Lang, X.; Wang, H.; Fan, K.; Hu, J.; Ding, Z.; Qian, W. Genome-wide identification and expression analysis of the calmodulin-binding transcription activator (CAMTA) family genes in tea plant. BMC Genom. 2022, 23, 667. [Google Scholar] [CrossRef]
- Wei, P.; Li, H.; Wu, Y.; Zhang, C. Association of the electrical parameters and photosynthetic characteristics of the tea tree manifests its response to simulated karst drought. Plant Signal. Behav. 2024, 19, 2359258. [Google Scholar] [CrossRef]
- Li, Z.; Li, X.; Fang, L.; Han, W. Effect of Heat Stress on the Photosynthesis System of Tea Leaves. J. Tea Sci. 2015, 35, 415–422. [Google Scholar]
- Li, X.; Ahammed, G.J.; Zhang, X.-N.; Zhang, L.; Yan, P.; Zhang, L.-P.; Fu, J.-Y.; Han, W.-Y. Melatonin-mediated regulation of anthocyanin biosynthesis and antioxidant defense confer tolerance to arsenic stress in Camellia sinensis L. J. Hazard. Mater. 2021, 403, 123922. [Google Scholar] [CrossRef]






Disclaimer/Publisher’s Note: The statements, opinions and data contained in all publications are solely those of the individual author(s) and contributor(s) and not of MDPI and/or the editor(s). MDPI and/or the editor(s) disclaim responsibility for any injury to people or property resulting from any ideas, methods, instructions or products referred to in the content. |
© 2024 by the authors. Licensee MDPI, Basel, Switzerland. This article is an open access article distributed under the terms and conditions of the Creative Commons Attribution (CC BY) license (https://creativecommons.org/licenses/by/4.0/).
Share and Cite
Xu, P.; Yu, J.; Ma, R.; Ji, Y.; Hu, Q.; Mao, Y.; Ding, C.; Li, Z.; Ge, S.; Deng, W.-W.; et al. Chlorophyll and Carotenoid Metabolism Varies with Growth Temperatures among Tea Genotypes with Different Leaf Colors in Camellia sinensis. Int. J. Mol. Sci. 2024, 25, 10772. https://doi.org/10.3390/ijms251910772
Xu P, Yu J, Ma R, Ji Y, Hu Q, Mao Y, Ding C, Li Z, Ge S, Deng W-W, et al. Chlorophyll and Carotenoid Metabolism Varies with Growth Temperatures among Tea Genotypes with Different Leaf Colors in Camellia sinensis. International Journal of Molecular Sciences. 2024; 25(19):10772. https://doi.org/10.3390/ijms251910772
Chicago/Turabian StyleXu, Pengfei, Jingbo Yu, Ruihong Ma, Yanyan Ji, Qiang Hu, Yihu Mao, Changqing Ding, Zhengzhen Li, Shibei Ge, Wei-Wei Deng, and et al. 2024. "Chlorophyll and Carotenoid Metabolism Varies with Growth Temperatures among Tea Genotypes with Different Leaf Colors in Camellia sinensis" International Journal of Molecular Sciences 25, no. 19: 10772. https://doi.org/10.3390/ijms251910772
APA StyleXu, P., Yu, J., Ma, R., Ji, Y., Hu, Q., Mao, Y., Ding, C., Li, Z., Ge, S., Deng, W.-W., & Li, X. (2024). Chlorophyll and Carotenoid Metabolism Varies with Growth Temperatures among Tea Genotypes with Different Leaf Colors in Camellia sinensis. International Journal of Molecular Sciences, 25(19), 10772. https://doi.org/10.3390/ijms251910772

