The Expression of Vitamin D Receptor on Peripheral Blood Mononuclear Cells in Patients with Psoriasis
Abstract
1. Introduction
2. Results
2.1. Demographics
2.2. Comparisons between Patients with Psoriasis and Healthy Controls at Baseline and after 24 Weeks Regarding VDR expression on CD3+ Lymphocytes and CD14+ Monocytes
2.3. Changes during the 24-Week Follow-Up in VDR Expression on CD3+ Lymphocytes and CD14+ Monocytes in Patients with Psoriasis and Healthy Controls
2.4. Serum Vitamin D Levels at Baseline and at Week 24 in Patients with Psoriasis and Healthy Controls
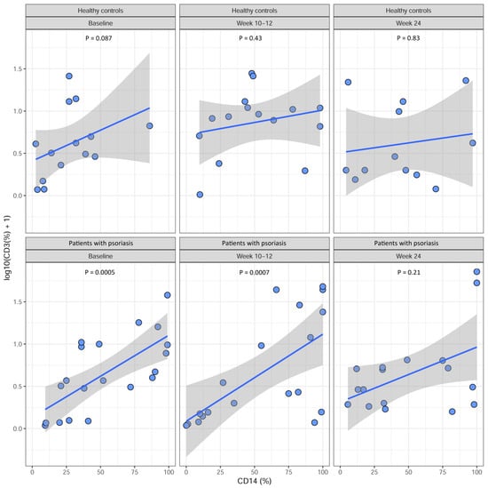
2.5. Correlations between VDR Expression on CD3+ and CD14+ Cells in Patients with Psoriasis and Healthy Controls
2.6. Correlations between VDR Expression on CD3+ and CD14+ Cells, and Serum Levels of Vitamin D Metabolites
2.7. Correlations between VDR Expression on CD3+ and CD14+ Cells, and Clinical Outcomes
3. Discussion
4. Materials and Methods
4.1. Study Population
4.2. Study Design
4.3. Flow Cytometry Detection of VDR and Biochemical Analyses of Vitamin D
4.4. Statistics
4.5. Ethical Considerations
5. Conclusions
Author Contributions
Funding
Institutional Review Board Statement
Informed Consent Statement
Data Availability Statement
Acknowledgments
Conflicts of Interest
References
- Armstrong, A.W.; Read, C. Pathophysiology, Clinical Presentation, and Treatment of Psoriasis: A Review. JAMA 2020, 323, 1945–1960. [Google Scholar] [CrossRef] [PubMed]
- Brożyna, A.A.; Slominski, R.M.; Nedoszytko, B.; Zmijewski, M.A.; Slominski, A.T. Vitamin D Signaling in Psoriasis: Pathogenesis and Therapy. Int. J. Mol. Sci. 2022, 23, 8575. [Google Scholar] [CrossRef] [PubMed] [PubMed Central]
- Soleymani, T.; Hung, T.; Soung, J. The role of vitamin D in psoriasis: A review. Int. J. Dermatol. 2015, 54, 383–392. [Google Scholar] [CrossRef] [PubMed]
- Mahil, S.K.; Capon, F.; Barker, J.N. Update on psoriasis immunopathogenesis and targeted immunotherapy. Semin. Immunopathol. 2016, 38, 11–27. [Google Scholar] [CrossRef] [PubMed] [PubMed Central]
- Vandikas, M.S.; Landin-Wilhelmsen, K.; Polesie, S.; Gillstedt, M.; Osmancevic, A. Impact of Etanercept on Vitamin D Status and Vitamin D-binding Protein in Bio-naïve Patients with Psoriasis. Acta Derm. Venereol. 2021, 101, adv00604. [Google Scholar] [CrossRef] [PubMed] [PubMed Central]
- Kongsbak, M.; Levring, T.B.; Geisler, C.; von Essen, M.R. The vitamin d receptor and T cell function. Front. Immunol. 2013, 4, 148. [Google Scholar] [CrossRef] [PubMed] [PubMed Central]
- Zenata, O.; Vrzal, R. Fine tuning of vitamin D receptor (VDR) activity by post-transcriptional and post-translational modifications. Oncotarget 2017, 8, 35390–35402. [Google Scholar] [CrossRef] [PubMed] [PubMed Central]
- Milde, P.; Hauser, U.; Simon, T.; Mall, G.; Ernst, V.; Haussler, M.R.; Frosch, P.; Rauterberg, E.W. Expression of 1,25-dihydroxyvitamin D3 receptors in normal and psoriatic skin. J. Invest. Dermatol. 1991, 97, 230–239. [Google Scholar] [CrossRef] [PubMed]
- Bikle, D.D. Vitamin D metabolism, mechanism of action, and clinical applications. Chem. Biol. 2014, 21, 319–329. [Google Scholar] [CrossRef] [PubMed] [PubMed Central]
- Hewison, M. Vitamin D and the immune system: New perspectives on an old theme. Endocrinol. Metab. Clin. N. Am. 2010, 39, 365–379. [Google Scholar] [CrossRef] [PubMed] [PubMed Central]
- Meireles, M.S.; Kamimura, M.A.; Dalboni, M.A.; Giffoni de Carvalho, J.T.; Aoike, D.T.; Cuppari, L. Effect of cholecalciferol on vitamin D-regulatory proteins in monocytes and on inflammatory markers in dialysis patients: A randomized controlled trial. Clin. Nutr. 2016, 35, 1251–1258. [Google Scholar] [CrossRef] [PubMed]
- Medeiros, J.F.P.; de Oliveira Borges, M.V.; Soares, A.A.; Dos Santos, J.C.; de Oliveira, A.B.B.; da Costa, C.H.B.; Cruz, M.S.; Bortolin, R.H.; de Freitas, R.C.C.; Dantas, P.M.S.; et al. The impact of vitamin D supplementation on VDR gene expression and body composition in monozygotic twins: Randomized controlled trial. Sci. Rep. 2020, 10, 11943. [Google Scholar] [CrossRef] [PubMed] [PubMed Central]
- Dwimartutie, N.; Setiati, S.; Tamin, T.Z.; Prijanti, A.R.; Harahap, A.R.; Purnamasari, D.; Harimurti, K.; Pramantara, I.D.P.; Suwarto, S.; Kojima, T. Effect of cholecalciferol supplementation on hand grip strength, walking speed, and expression of vitamin D receptor, interleukin-6, and insulin-like growth factor-1 in monocyte in pre-frail older adults: A randomized double-blind placebo-controlled trial. Geriatr. Gerontol. Int. 2024, 24, 554–562. [Google Scholar] [CrossRef] [PubMed]
- Tourkochristou, E.; Tsounis, E.P.; Tzoupis, H.; Aggeletopoulou, I.; Tsintoni, A.; Lourida, T.; Diamantopoulou, G.; Zisimopoulos, K.; Kafentzi, T.; de Lastic, A.L.; et al. The Influence of Single Nucleotide Polymorphisms on Vitamin D Receptor Protein Levels and Function in Chronic Liver Disease. Int. J. Mol. Sci. 2023, 24, 11404. [Google Scholar] [CrossRef] [PubMed] [PubMed Central]
- Winter, R.W.; Collins, E.; Cao, B.; Carrellas, M.; Crowell, A.M.; Korzenik, J.R. Higher 25-hydroxyvitamin D levels are associated with greater odds of remission with anti-tumour necrosis factor-α medications among patients with inflammatory bowel diseases. Aliment. Pharmacol. Ther. 2017, 45, 653–659. [Google Scholar] [CrossRef] [PubMed] [PubMed Central]
- Van Hamburg, J.P.; Asmawidjaja, P.S.; Davelaar, N.; Mus, A.M.; Cornelissen, F.; van Leeuwen, J.P.; Hazes, J.M.; Dolhain, R.J.; Bakx, P.A.; Colin, E.M.; et al. TNF blockade requires 1,25(OH)2D3 to control human Th17-mediated synovial inflammation. Ann. Rheum. Dis. 2012, 71, 606–612. [Google Scholar] [CrossRef] [PubMed]
- Chandra, R.; Roesyanto-Mahadi, I.D.; Yosi, A. Pilot study: Immunohistochemistry expressions of vitamin D receptor associated with severity of disease in psoriasis patients. Int. J. Dermatol. 2020, 59, 1092–1097. [Google Scholar] [CrossRef] [PubMed]
- Elgarhy, L.H.; Eltatawy, R.A.; Rizk, O.; Ismail, M. Vitamin D Receptor Expression in Chronic Plaque Psoriasis Before and After Narrowband Ultraviolet B Phototherapy. J. Cutan. Aesthet. Surg. 2023, 16, 128–133. [Google Scholar] [CrossRef] [PubMed] [PubMed Central]
- Visconti, B.; Paolino, G.; Carotti, S.; Pendolino, A.L.; Morini, S.; Richetta, A.G.; Calvieri, S. Immunohistochemical expression of VDR is associated with reduced integrity of tight junction complex in psoriatic skin. J. Eur. Acad. Dermatol. Venereol. 2015, 29, 2038–2042. [Google Scholar] [CrossRef] [PubMed]
- Kim, S.K.; Park, S.; Lee, E.S. Toll-like receptors and antimicrobial peptides expressions of psoriasis: Correlation with serum vitamin D level. J. Korean Med. Sci. 2010, 25, 1506–1512. [Google Scholar] [CrossRef] [PubMed] [PubMed Central]
- Sharygin, D.; Koniaris, L.G.; Wells, C.; Zimmers, T.A.; Hamidi, T. Role of CD14 in human disease. Immunology 2023, 169, 260–270. [Google Scholar] [CrossRef] [PubMed] [PubMed Central]
- Formisano, E.; Proietti, E.; Borgarelli, C.; Pisciotta, L. Psoriasis and Vitamin D: A Systematic Review and Meta-Analysis. Nutrients 2023, 15, 3387. [Google Scholar] [CrossRef] [PubMed] [PubMed Central]
- Nayak, P.B.; Girisha, B.S.; Noronha, T.M.; Sripathi, H. Low Vitamin D in Psoriasis: Reality or Myth? Indian. J. Dermatol. 2018, 63, 255–260. [Google Scholar] [CrossRef] [PubMed]
- Wilson, P.B. Serum 25-hydroxyvitamin D status in individuals with psoriasis in the general population. Endocrine 2013, 44, 537–539. [Google Scholar] [CrossRef]
- Maleki, M.; Nahidi, Y.; Azizahari, S.; Meibodi, N.T.; Hadianfar, A. Serum 25-OH Vitamin D Level in Psoriatic Patients and Comparison with Control Subjects. J. Cutan. Med. Surg. 2016, 20, 207–210. [Google Scholar] [CrossRef]
- Zuchi, M.F.; Azevedo Pde, O.; Tanaka, A.A.; Schmitt, J.V.; Martins, L.E. Serum levels of 25-hydroxy vitamin D in psoriatic patients. An. Bras. Dermatol. 2015, 90, 430–432. [Google Scholar] [CrossRef] [PubMed] [PubMed Central]
- Osredkar, J.; Vičič, V.; Hribar, M.; Benedik, E.; Siuka, D.; Jerin, A.; Čegovnik Primožič, U.; Fabjan, T.; Kumer, K.; Pravst, I.; et al. Seasonal variation of total and bioavailable 25-hydroxyvitamin D [25(OH)D] in the healthy adult Slovenian population. Acta Biochim. Pol. 2024, 71, 13108. [Google Scholar] [CrossRef]
- AbdElneam, A.I.; Al-Dhubaibi, M.S.; Bahaj, S.S.; Arshad, M.; Mohammed, G.F.; Atef, L.M. The CDX2 G allele and the FoKI F allele of the VDR gene are more prevalent and related to changes in vitamin D levels in patients with psoriasis vulgaris: A pilot study. Skin. Res. Technol. 2023, 29, e13530. [Google Scholar] [CrossRef] [PubMed] [PubMed Central]
- Pan, A.; Gerriets, V. Etanercept; StatPearls Publishing: Treasure Island, FL, USA, 2024. Available online: https://www.ncbi.nlm.nih.gov/books/NBK545252 (accessed on 27 February 2024).
- Fitzpatrick, T.B. The validity and practicality of sun-reactive skin types I through VI. Arch. Dermatol. 1988, 124, 869–871. [Google Scholar] [CrossRef] [PubMed]
- Holick, M.F.; Binkley, N.C.; Bischoff-Ferrari, H.A.; Gordon, C.M.; Hanley, D.A.; Heaney, R.P.; Murad, M.H.; Weaver, C.M. Endocrine Society. Evaluation, treatment, and prevention of vitamin D deficiency: An Endocrine Society clinical practice guideline. J. Clin. Endocrinol. Metab. 2011, 96, 1911–1930, Erratum in J. Clin. Endocrinol. Metab. 2011, 96, 3908. [Google Scholar] [CrossRef] [PubMed]



| Patients with Psoriasis | Healthy Controls | ||||
|---|---|---|---|---|---|
| n = 20 | n = 15 | ||||
| Mean (SD) | n | Mean (SD) | n | p-Value | |
| Age (years) | |||||
| Men | 48 (12) | 13 | 50 (9) | 10 | 0.26 a |
| Women | 56 (15) | 7 | 52 (10) | 5 | 0.64 a |
| All | 51 (13) | 20 | 51 (9) | 15 | 0.63 a |
| Duration of psoriasis (years) | 28 (12) | 19 | |||
| Skin type | n (%) | n (%) | |||
| II | 7 (35%) | 2 (13%) | 0.37 b | ||
| III | 12 (60%) | 12 (80%) | |||
| IV | 1 (5%) | 1 (7%) | |||
| n (%) | n (%) | ||||
| Self-reported arthropathy | 15 (75%) | 0 (0%) | |||
| Current smokers | 8 (40%) | 1 (7%) | |||
| Antidyslipidemic use | 4 (20%) | 1 (7%) | |||
| Antihypertensive use | 3 (15%) | 1 (7%) | |||
| Antidiabetic use | 1 (5%) | 0 (0%) | |||
| Antidepressant use | 3 (15%) | 0 (0%) | |||
| Painkiller use | 4 (20%) | 0 (0%) | |||
| Hypothyroidism medication | 0 (0%) | 2 (13%) | |||
| Hormonal contraception | 0 (0%) | 0 (0%) | |||
| Aspirin | 1 (5%) | 0 (0%) | |||
| Obesity (Body Mass Index ≥ 30 kg/m2) | 6 (30%) | 5 (33%) | |||
| Patients with Psoriasis | Healthy Controls | |||||||
|---|---|---|---|---|---|---|---|---|
| n = 20 | n = 15 | |||||||
| Mean (SD) | n | p-Value for Trend Over Time a | Mean (SD) | n | p-Value for Trend Over Time a | p-Value; Difference at Baseline between Groups b | ||
| CD3+ VDR (%) | ||||||||
| Baseline | 6.5 (8.7) | 20 | 0.99 | 5.3 (6.9) | 14 | 0.80 | 0.83 | |
| 24 weeks | 9.5 (20) | 17 | 6.1 (8.1) | 12 | ||||
| CD14+ VDR (%) | ||||||||
| Baseline | 54 (32) | 20 | 0.96 | 28 (22) | 14 | 0.035 * | 0.015 * | |
| 24 weeks | 52 (35) | 17 | 44 (31) | 12 | ||||
| PASI score | ||||||||
| Baseline | 13 (5) | 20 | <0.0001 *** | |||||
| 24 weeks | 3 (3) | 17 | ||||||
| 25(OH)D (nmol/L) | ||||||||
| Baseline | 74 (31) | 20 | 0.34 | 53 (19) | 14 | 0.029 * | 0.018 * | |
| 24 weeks | 76 (23) | 17 | 73 (20) | 12 | ||||
| Free25(OH)D (pmol/L) | ||||||||
| Baseline | 11.8 (4.0) | 20 | 0.84 | 8.0 (2.6) | 15 | 0.006 ** | 0.001 ** | |
| 24 weeks | 11.7 (2.8) | 17 | 10.2 (2.9) | 12 | ||||
| 1,25(OH)2D (pmol/L) | ||||||||
| Baseline | 103 (34) | 20 | 0.68 | 91 (36) | 15 | 0.088 | 0.33 | |
| 24 weeks | 96 (20) | 17 | 112 (38) | 12 | ||||
Disclaimer/Publisher’s Note: The statements, opinions and data contained in all publications are solely those of the individual author(s) and contributor(s) and not of MDPI and/or the editor(s). MDPI and/or the editor(s) disclaim responsibility for any injury to people or property resulting from any ideas, methods, instructions or products referred to in the content. |
© 2024 by the authors. Licensee MDPI, Basel, Switzerland. This article is an open access article distributed under the terms and conditions of the Creative Commons Attribution (CC BY) license (https://creativecommons.org/licenses/by/4.0/).
Share and Cite
Zanghaneh, A.J.; Elmelid, A.; Gillstedt, M.; Ahmic, O.; Andersson, B.; Osmancevic, A. The Expression of Vitamin D Receptor on Peripheral Blood Mononuclear Cells in Patients with Psoriasis. Int. J. Mol. Sci. 2024, 25, 10677. https://doi.org/10.3390/ijms251910677
Zanghaneh AJ, Elmelid A, Gillstedt M, Ahmic O, Andersson B, Osmancevic A. The Expression of Vitamin D Receptor on Peripheral Blood Mononuclear Cells in Patients with Psoriasis. International Journal of Molecular Sciences. 2024; 25(19):10677. https://doi.org/10.3390/ijms251910677
Chicago/Turabian StyleZanghaneh, Azin Jasmin, Andrea Elmelid, Martin Gillstedt, Omar Ahmic, Bengt Andersson, and Amra Osmancevic. 2024. "The Expression of Vitamin D Receptor on Peripheral Blood Mononuclear Cells in Patients with Psoriasis" International Journal of Molecular Sciences 25, no. 19: 10677. https://doi.org/10.3390/ijms251910677
APA StyleZanghaneh, A. J., Elmelid, A., Gillstedt, M., Ahmic, O., Andersson, B., & Osmancevic, A. (2024). The Expression of Vitamin D Receptor on Peripheral Blood Mononuclear Cells in Patients with Psoriasis. International Journal of Molecular Sciences, 25(19), 10677. https://doi.org/10.3390/ijms251910677

