Integrative Analysis of Transcriptome and Metabolome Reveals the Pivotal Role of the NAM Family Genes in Oncidium hybridum Lodd. Pseudobulb Growth
Abstract
1. Introduction
2. Results
2.1. Identification and Physicochemical Property Analysis of NAM Genes
2.2. Chromosomal Location, Duplication Analysis, and Collinearity with Arabidopsis thaliana (L.) Heynh
2.3. Conserved Motifs, Gene Structure, and Phylogenetic Analysis
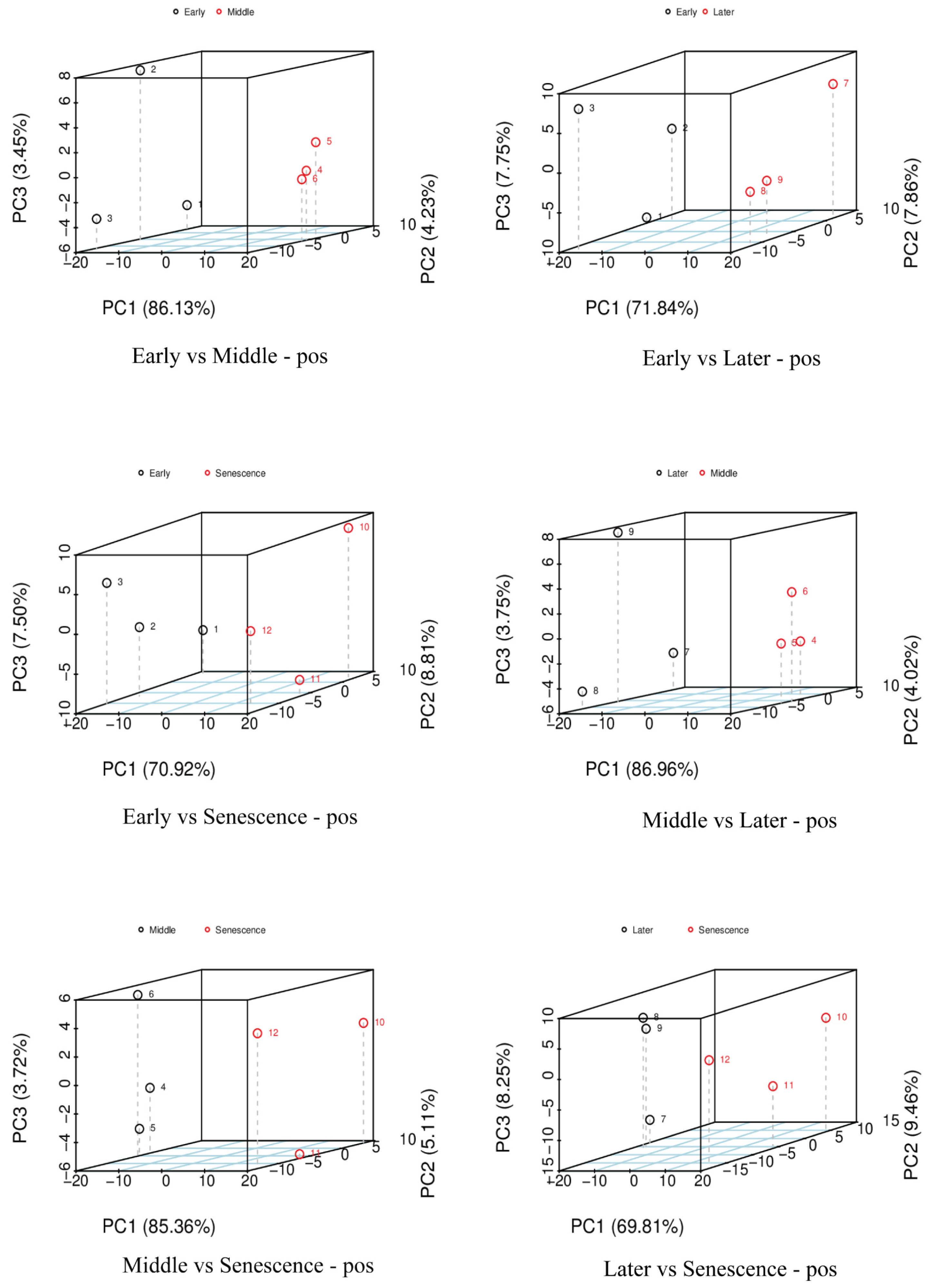
2.4. Differentially Abundant Metabolites in Pseudobulb at Different Stages
2.5. Differentially Expressed Genes of NAM Gene Family
2.6. Expression Patterns of OhNAM Genes Based on RNA-Seq Data
2.7. Analysis of Differential Metabolites of Endogenous Hormones and the Corresponding Changes in Metabolically Related Genes
2.8. Verification of RNA-Seq Data by the qRT-PCR Assay
3. Discussion
4. Materials and Methods
4.1. Identification of NAM Genes in O. hybridum
4.2. Chromosomal Localization, Gene Duplication, and Collinearity with A. thaliana
4.3. Conserved Motifs, Gene Structure, and Phylogenetic Trees Analysis
4.4. Plant Materials and Growth Condition
4.5. Expression Patterns and Differentially Expressed Gene Analysis
4.6. Differential Accumulated Metabolite and Endogenous Plant Hormones Analysis
4.7. Transcriptome and Metabolome Correlation Analysis of the NAM Gene Family
4.8. Validation of Quantitative Real-Time PCR
5. Conclusions
Supplementary Materials
Author Contributions
Funding
Institutional Review Board Statement
Informed Consent Statement
Data Availability Statement
Acknowledgments
Conflicts of Interest
References
- Zhang, S.; Yang, Y.; Li, J.; Qin, J.; Zhang, W.; Huang, W.; Hu, H. Physiological diversity of orchids. Plant Divers. 2018, 40, 196–208. [Google Scholar] [CrossRef] [PubMed]
 - Wang, Y.; Liu, L.; Song, S.; Li, Y.; Shen, L.; Yu, H. DOFT and DOFTIP1 affect reproductive development in the orchid Dendrobium Chao Praya Smile. J. Exp. Bot. 2017, 68, 5759–5772. [Google Scholar] [CrossRef] [PubMed]
 - Li, Y.; Zhang, B.; Wang, Y.; Gong, X.; Yu, H. DOTFL1 affects the floral transition in orchid Dendrobium Chao Praya Smile. Plant Physiol. 2021, 186, 2021–2036. [Google Scholar] [CrossRef] [PubMed]
 - Riechmann, J.L.; Heard, J.; Martin, G.; Reuber, L.; Jiang, C.; Keddie, J.; Adam, L.; Pineda, O.; Ratcliffe, O.J.; Samaha, R.R.; et al. Arabidopsis transcription factors: Genome-wide comparative analysis among eukaryotes. Science 2000, 290, 2105–2110. [Google Scholar] [CrossRef]
 - Jin, J.; Zhang, H.; Kong, L.; Gao, G.; Luo, J. PlantTFDB 3.0: A portal for the functional and evolutionary study of plant transcription factors. Nucleic Acids Res. 2014, 42, D1182–D1187. [Google Scholar] [CrossRef]
 - Olsen, A.N.; Ernst, H.A.; Leggio, L.L.; Skriver, K. DNA-binding specificity and molecular functions of NAC transcription factors. Plant Sci. 2005, 169, 785–797. [Google Scholar] [CrossRef]
 - Ernst, H.A.; Olsen, A.N.; Larsen, S.; Lo Leggio, L. Structure of the conserved domain of ANAC, a member of the NAC family of transcription factors. EMBO Rep. 2004, 5, 297–303. [Google Scholar] [CrossRef]
 - Ooka, H.; Satoh, K.; Doi, K.; Nagata, T.; Otomo, Y.; Murakami, K.; Matsubara, K.; Osato, N.; Kawai, J.; Carninci, P.; et al. Comprehensive analysis of NAC family genes in Oryza sativa and Arabidopsis thaliana. DNA Res. 2003, 10, 239–247. [Google Scholar] [CrossRef]
 - Kikuchi, K.; Ueguchi-Tanaka, M.; Yoshida, K.T.; Nagato, Y.; Matsusoka, M.; Hirano, H.Y. Molecular analysis of the NAC gene family in rice. Mol. Gen. Genet. 2000, 262, 1047–1051. [Google Scholar] [CrossRef]
 - Uauy, C.; Distelfeld, A.; Fahima, T.; Blechl, A.; Dubcovsky, J. A NAC Gene regulating senescence improves grain protein, zinc, and iron content in wheat. Science 2006, 314, 1298–1301. [Google Scholar] [CrossRef]
 - You, J.; Zong, W.; Hu, H.; Li, X.; Xiao, J.; Xiong, L. A STRESS-RESPONSIVE NAC1-regulated protein phosphatase gene rice protein phosphatase18 modulates drought and oxidative stress tolerance through abscisic acid-independent reactive oxygen species scavenging in rice. Plant Physiol. 2014, 166, 2100–2114. [Google Scholar] [CrossRef] [PubMed]
 - Bilsborough, G.D.; Runions, A.; Barkoulas, M.; Jenkins, H.W.; Hasson, A.; Galinha, C.; Laufs, P.; Hay, A.; Prusinkiewicz, P.; Tsiantis, M. Model for the regulation of Arabidopsis thaliana leaf margin development. Proc. Natl. Acad. Sci. USA 2011, 108, 3424–3429. [Google Scholar] [CrossRef] [PubMed]
 - Li, J.; Dai, S. Study on the Molecular Mechanism of ClNAM Affecting the Identity Determination Process of Chrysanthemum Lavandulifolium; Botanical Society of China: Nanjing, China, 2022. [Google Scholar]
 - Wu, J.; Jin, Y.; Liu, C.; Vonapartis, E.; Liang, J.; Wu, W.; Gazzarrini, S.; He, J.; Yi, M. GhNAC83 inhibits corm dormancy release by regulating ABA signaling and cytokinin biosynthesis in Gladiolus hybridus. J. Exp. Bot. 2019, 70, 1221–1237. [Google Scholar] [CrossRef]
 - Liu, G.S.; Li, H.L.; Grierson, D.; Fu, D.Q. NAC Transcription Factor Family Regulation of Fruit Ripening and Quality: A Review. Cells 2022, 11, 525. [Google Scholar] [CrossRef]
 - Nuruzzaman, M.; Sharoni, A.M.; Kikuchi, S. Roles of NAC transcription factors in the regulation of biotic and abiotic stress responses in plants. Front. Microbiol. 2013, 4, 248. [Google Scholar] [CrossRef]
 - Rui, Z.; Pan, W.; Zhao, Q.; Hu, H.; Li, X.; Xing, L.; Jia, H.; She, K.; Nie, X. Genome-wide identification, evolution and expression analysis of NAC gene family under salt stress in wild emmer wheat (Triticum dicoccoides. L.). Int. J. Biol. Macromol. 2023, 230, 123376. [Google Scholar] [CrossRef]
 - Diao, P.; Chen, C.; Zhang, Y.; Meng, Q.; Lv, W.; Ma, N. The role of NAC transcription factor in plant cold response. Plant Signal. Behav. 2020, 15, 1785668. [Google Scholar] [CrossRef] [PubMed]
 - Thirumalaikumar, V.P.; Devkar, V.; Mehterov, N.; Ali, S.; Ozgur, R.; Turkan, I.; Mueller-Roeber, B.; Balazadeh, S. NAC transcription factor JUNGBRUNNEN1 enhances drought tolerance in tomato. Plant Biotechnol. J. 2018, 16, 354–366. [Google Scholar] [CrossRef]
 - Han, K.; Zhao, Y.; Sun, Y.; Li, Y. NACs, generalist in plant life. Plant Biotechnol. J. 2023, 21, 2433–2457. [Google Scholar] [CrossRef]
 - Shang, H.; Li, W.; Zou, C.; Yuan, Y. Analyses of the NAC transcription factor gene family in Gossypium raimondii Ulbr.: Chromosomal location, structure, phylogeny, and expression patterns. J. Integr. Plant Biol. 2013, 55, 663–676. [Google Scholar] [CrossRef]
 - Li, W.; Li, X.; Chao, J.; Zhang, Z.; Wang, W.; Guo, Y. NAC Family Transcription Factors in Tobacco and Their Potential Role in Regulating Leaf Senescence. Front. Plant Sci. 2018, 9, 1900. [Google Scholar] [CrossRef] [PubMed]
 - Diao, W.; Snyder, J.C.; Wang, S.; Liu, J.; Pan, B.; Guo, G.; Ge, W.; Dawood, M. Genome-Wide Analyses of the NAC Transcription Factor Gene Family in Pepper (Capsicum annuum L.): Chromosome Location, Phylogeny, Structure, Expression Patterns, Cis-Elements in the Promoter, and Interaction Network. Int. J. Mol. Sci. 2018, 19, 1028. [Google Scholar] [CrossRef] [PubMed]
 - Wang, N.; Zheng, Y.; Xin, H.; Fang, L.; Li, S. Comprehensive analysis of NAC domain transcription factor gene family in Vitis vinifera. Plant Cell Rep. 2013, 32, 61–75. [Google Scholar] [CrossRef] [PubMed]
 - He, F.; Zhang, L.; Zhao, G.; Kang, J.; Long, R.; Li, M.; Yang, Q.; Chen, L. Genome-Wide Identification and Expression Analysis of the NAC Gene Family in Alfalfa Revealed Its Potential Roles in Response to Multiple Abiotic Stresses. Int. J. Mol. Sci. 2022, 23, 10015. [Google Scholar] [CrossRef] [PubMed]
 - Hu, Y.; Liang, W.; Yin, C.; Yang, X.; Ping, B.; Li, A.; Jia, R.; Chen, M.; Luo, Z.; Cai, Q.; et al. Interactions of OsMADS1 with Floral Homeotic Genes in Rice Flower Development. Mol. Plant 2015, 8, 1366–1384. [Google Scholar] [CrossRef] [PubMed]
 - Zhang, R.; Murat, F.; Pont, C.; Langin, T.; Salse, J. Paleo-evolutionary plasticity of plant disease resistance genes. BMC Genom. 2014, 15, 187. [Google Scholar] [CrossRef]
 - Yang, S.; Gu, T.; Pan, C.; Feng, Z.; Ding, J.; Hang, Y.; Chen, J.Q.; Tian, D. Genetic variation of NBS-LRR class resistance genes in rice lines. Theor. Appl. Genet. 2008, 116, 165–177. [Google Scholar] [CrossRef]
 - Echave, J.; Spielman, S.J.; Wilke, C.O. Causes of evolutionary rate variation among protein sites. Nat. Rev. Genet. 2016, 17, 109–121. [Google Scholar] [CrossRef]
 - Tan, J.; Yi, X.; Luo, L.; Yu, C.; Wang, J.; Cheng, T.; Zhang, Q.; Pan, H. RNA-seq and sRNA-seq analysis in lateral buds and leaves of juvenile and adult roses. Sci. Hortic. 2021, 290, 110513. [Google Scholar] [CrossRef]
 - Gu, C.; Shang, L.; Zhang, G.; Wang, Q.; Ma, Q.; Hong, S.; Zhao, Y.; Yang, L. Identification and Expression Analysis of NAC Gene Family in Weeping Trait of Lagerstroemia indica. Plants 2022, 11, 2168. [Google Scholar] [CrossRef]
 - Liu, H.; Yang, H.; Zhao, T.; Lin, C.; Li, Y.; Zhang, X.; Ye, Y.; Liao, J. Combined Metabolome and Transcriptome Analyses of Young, Mature, and Old Rhizome Tissues of Zingiber officinale Roscoe. Front. Genet. 2021, 12, 795201. [Google Scholar] [CrossRef] [PubMed]
 - Meï, C.; Michaud, M.; Cussac, M.; Albrieux, C.; Gros, V.; Maréchal, E.; Block, M.A.; Jouhet, J.; Rébeillé, F. Levels of polyunsaturated fatty acids correlate with growth rate in plant cell cultures. Sci. Rep. 2015, 5, 15207. [Google Scholar] [CrossRef] [PubMed]
 - Wei, Z.J.; Niu, B.J.; Wang, Y.X.; Zhao, X.; Zhu, H.S.; Guo, X.P.; Qiao, D. Effect of Methyl Jasmonate on Seed Germination and Seedling Growth of Medicago sativa ‘Pianguan’ under Salt Stress. Acta Agrestia Sin. 2020, 28, 998–1005. [Google Scholar]
 - Kondo, S.; Fukuda, K. Changes of jasmonates in grape berries and their possible roles in fruit development. Sci. Hortic. 2001, 91, 275–288. [Google Scholar] [CrossRef]
 - Bu, Q.; Jiang, H.; Li, C.B.; Zhai, Q.; Zhang, J.; Wu, X.; Sun, J.; Xie, Q.; Li, C. Role of the Arabidopsis thaliana NAC transcription factors ANAC019 and ANAC055 in regulating jasmonic acid-signaled defense responses. Cell Res. 2008, 18, 756–767. [Google Scholar] [CrossRef] [PubMed]
 - Mao, C.; Lu, S.; Lv, B.; Zhang, B.; Shen, J.; He, J.; Luo, L.; Xi, D.; Chen, X.; Ming, F. A Rice NAC Transcription Factor Promotes Leaf Senescence via ABA Biosynthesis. Plant Physiol. 2017, 174, 1747–1763. [Google Scholar] [CrossRef]
 - Wang, C.Y.; Buta, J.G. Methyl jasmonate reduces chilling injury in Cucurbita pepo through its regulation of abscisic acid and polyamine levels. Environ. Exp. Bot. 1994, 34, 427–432. [Google Scholar] [CrossRef]
 - Creelman, R.A.; Mullet, J.E. Jasmonic acid distribution and action in plants: Regulation during development and response to biotic and abiotic stress. Proc. Natl. Acad. Sci. USA 1995, 92, 4114–4119. [Google Scholar] [CrossRef]
 - Pei, H.; Ma, N.; Tian, J.; Luo, J.; Chen, J.; Li, J.; Zheng, Y.; Chen, X.; Fei, Z.; Gao, J. An NAC transcription factor controls ethylene-regulated cell expansion in flower petals. Plant Physiol. 2013, 163, 775–791. [Google Scholar] [CrossRef]
 - Yang, T.; Guo, L.; Ji, C.; Wang, H.; Wang, J.; Zheng, X.; Xiao, Q.; Wu, Y. The B3 domain-containing transcription factor ZmABI19 coordinates expression of key factors required for maize seed development and grain filling. Plant Cell 2021, 33, 104–128. [Google Scholar] [CrossRef]
 - Habibpourmehraban, F.; Masoomi-Aladizgeh, F.; Haynes, P.A. Effect of ABA Pre-Treatment on Rice Plant Transcriptome Response to Multiple Abiotic Stress. Biomolecules 2023, 13, 1554. [Google Scholar] [CrossRef] [PubMed]
 - Guo, Q.; Li, X.; Niu, L.; Jameson, P.E.; Zhou, W. Transcription-associated metabolomic adjustments in maize occur during combined drought and cold stress. Plant Physiol. 2021, 186, 677–695. [Google Scholar] [CrossRef]
 - Wang, Y.; Mostafa, S.; Zeng, W.; Jin, B. Function and Mechanism of Jasmonic Acid in Plant Responses to Abiotic and Biotic Stresses. Int. J. Mol. Sci. 2021, 22, 8568. [Google Scholar] [CrossRef] [PubMed]
 - Finn, R.D.; Clements, J.; Eddy, S.R. HMMER web server: Interactive sequence similarity searching. Nucleic Acids Res. 2011, 39, W29–W37. [Google Scholar] [CrossRef] [PubMed]
 - Chen, C.; Chen, H.; Zhang, Y.; Thomas, H.R.; Frank, M.H.; He, Y.; Xia, R. TBtools: An Integrative Toolkit Developed for Interactive Analyses of Big Biological Data. Mol. Plant 2020, 13, 1194–1202. [Google Scholar] [CrossRef]
 - Gasteiger, E.; Gattiker, A.; Hoogland, C.; Ivanyi, I.; Appel, R.D.; Bairoch, A. ExPASy: The proteomics server for in-depth protein knowledge and analysis. Nucleic Acids Res. 2003, 31, 3784–3788. [Google Scholar] [CrossRef] [PubMed]
 - Horton, P.; Park, K.J.; Obayashi, T.; Fujita, N.; Harada, H.; Adams-Collier, C.J.; Nakai, K. WoLF PSORT: Protein localization predictor. Nucleic Acids Res. 2007, 35, W585–W587. [Google Scholar] [CrossRef]
 - Chou, K.C.; Shen, H.B. Plant-mPLoc: A top-down strategy to augment the power for predicting plant protein subcellular localization. PLoS ONE 2010, 5, e11335. [Google Scholar] [CrossRef]
 - Wang, Y.; Tang, H.; Debarry, J.D.; Tan, X.; Li, J.; Wang, X.; Lee, T.H.; Jin, H.; Marler, B.; Guo, H.; et al. MCScanX: A toolkit for detection and evolutionary analysis of gene synteny and collinearity. Nucleic Acids Res. 2012, 40, e49. [Google Scholar] [CrossRef]
 - Li, Y.; Zhang, Q.; Wang, L.; Wang, X.; Qiao, J.; Wang, H. New Insights into the TIFY Gene Family of Brassica napus and Its Involvement in the Regulation of Shoot Branching. Int. J. Mol. Sci. 2023, 24, 17114. [Google Scholar] [CrossRef]
 - Zhang, Z.; Li, J.; Zhao, X.Q.; Wang, J.; Wong, G.K.; Yu, J. KaKs_Calculator: Calculating Ka and Ks through model selection and model averaging. Genom. Proteom. Bioinform. 2006, 4, 259–263. [Google Scholar] [CrossRef] [PubMed]
 - Bailey, T.L.; Boden, M.; Buske, F.A.; Frith, M.; Grant, C.E.; Clementi, L.; Ren, J.; Li, W.W.; Noble, W.S. MEME SUITE: Tools for motif discovery and searching. Nucleic Acids Res. 2009, 37, W202–W208. [Google Scholar] [CrossRef] [PubMed]
 - Huala, E.; Dickerman, A.W.; Garcia-Hernandez, M.; Weems, D.; Reiser, L.; LaFond, F.; Hanley, D.; Kiphart, D.; Zhuang, M.; Huang, W.; et al. The Arabidopsis Information Resource (TAIR): A comprehensive database and web-based information retrieval, analysis, and visualization system for a model plant. Nucleic Acids Res. 2001, 29, 102–105. [Google Scholar] [CrossRef] [PubMed]
 - Edgar, R.C. MUSCLE: Multiple sequence alignment with high accuracy and high throughput. Nucleic Acids Res. 2004, 32, 1792–1797. [Google Scholar] [CrossRef]
 - Kumar, S.; Stecher, G.; Tamura, K. MEGA7: Molecular Evolutionary Genetics Analysis Version 7.0 for Bigger Datasets. Mol. Biol. Evol. 2016, 33, 1870–1874. [Google Scholar] [CrossRef] [PubMed]
 - Chen, S.; Zhou, Y.; Chen, Y.; Gu, J. fastp: An ultra-fast all-in-one FASTQ preprocessor. Bioinformatics 2018, 34, i884–i890. [Google Scholar] [CrossRef]
 - Kim, D.; Paggi, J.M.; Park, C.; Bennett, C.; Salzberg, S.L. Graph-based genome alignment and genotyping with HISAT2 and HISAT-genotype. Nat. Biotechnol. 2019, 37, 907–915. [Google Scholar] [CrossRef]
 - Liao, Y.; Smyth, G.K.; Shi, W. featureCounts: An efficient general purpose program for assigning sequence reads to genomic features. Bioinformatics 2014, 30, 923–930. [Google Scholar] [CrossRef]
 - Chen, T.; Chen, X.; Zhang, S.; Zhu, J.; Tang, B.; Wang, A.; Dong, L.; Zhang, Z.; Yu, C.; Sun, Y.; et al. The Genome Sequence Archive Family: Toward Explosive Data Growth and Diverse Data Types. Genom. Proteom. Bioinform. 2021, 19, 578–583. [Google Scholar] [CrossRef]
 - CNCB-NGDC Members and Partners. Database Resources of the National Genomics Data Center, China National Center for Bioinformation in 2022. Nucleic Acids Res. 2022, 50, D27–D38. [Google Scholar]
 - Love, M.I.; Huber, W.; Anders, S. Moderated estimation of fold change and dispersion for RNA-seq data with DESeq2. Genome Biol. 2014, 15, 550. [Google Scholar] [CrossRef] [PubMed]
 - Jiao, H.; Shuai, X.; Luo, Y.; Zhou, Z.; Zhao, Y.; Li, B.; Gu, G.; Li, W.; Li, M.; Zeng, H.; et al. Deep Insight Into Long Non-coding RNA and mRNA Transcriptome Profiling in HepG2 Cells Expressing Genotype IV Swine Hepatitis E Virus ORF3. Front. Vet. Sci. 2021, 8, 625609. [Google Scholar] [CrossRef] [PubMed]
 - Wen, B.; Mei, Z.; Zeng, C.; Liu, S. metaX: A flexible and comprehensive software for processing metabolomics data. BMC Bioinform. 2017, 18, 183. [Google Scholar] [CrossRef] [PubMed]
 - Kanehisa, M.; Araki, M.; Goto, S.; Hattori, M.; Hirakawa, M.; Itoh, M.; Katayama, T.; Kawashima, S.; Okuda, S.; Tokimatsu, T.; et al. KEGG for linking genomes to life and the environment. Nucleic Acids Res. 2008, 36, D480–D484. [Google Scholar] [CrossRef]
 - Zhou, L.; Zong, Y.; Li, L.; Wu, S.; Duan, M.; Lu, R.; Liu, C.; Chen, Z. Integrated analysis of transcriptome and metabolome reveals molecular mechanisms of salt tolerance in seedlings of upland rice landrace 17SM-19. Front. Plant Sci. 2022, 13, 961445. [Google Scholar] [CrossRef]
 












| Duplicated Gene Pairs | Nonsynonymous (Ka) | Synonymous (Ks) | Ka/Ks | Type | 
|---|---|---|---|---|
| OhNAM085 and OhNAM115 | 0.04 | 0.19 | 0.20 | segmental | 
| OhNAM086 and OhNAM116 | 0.02 | 0.11 | 0.23 | segmental | 
| OhNAM087 and OhNAM117 | 0.02 | 0.21 | 0.11 | segmental | 
| OhNAM088 and OhNAM118 | 0.07 | 0.22 | 0.30 | segmental | 
| OhNAM089 and OhNAM119 | 0.02 | 0.22 | 0.12 | segmental | 
| OhNAM015 and OhNAM016 | 0.47 | - | - | tandem | 
| OhNAM016 and OhNAM017 | 0.06 | 0.15 | 0.39 | tandem | 
| OhNAM021 and OhNAM022 | 0.48 | - | - | tandem | 
| OhNAM032 and OhNAM033 | 0.38 | - | - | tandem | 
| OhNAM050 and OhNAM051 | 0.31 | - | - | tandem | 
| OhNAM061 and OhNAM062 | 0.05 | 0.16 | 0.34 | tandem | 
| OhNAM066 and OhNAM067 | 0.00 | 0.03 | 0.30 | tandem | 
| OhNAM067 and OhNAM068 | 0.00 | 0.02 | 0.37 | tandem | 
| OhNAM068 and OhNAM069 | 0.01 | 0.02 | 0.44 | tandem | 
| OhNAM069 and OhNAM070 | 0.00 | 0.00 | - | tandem | 
| OhNAM101 and OhNAM102 | 0.00 | 0.00 | 0.91 | tandem | 
| OhNAM106 and OhNAM107 | 0.12 | 0.15 | 0.81 | tandem | 
| OhNAM107 and OhNAM108 | 0.13 | 0.14 | 0.89 | tandem | 
| OhNAM108 and OhNAM109 | 0.37 | 2.36 | 0.15 | tandem | 
| OhNAM121 and OhNAM122 | 0.04 | 0.22 | 0.21 | tandem | 
| OhNAM124 and OhNAM125 | 0.03 | 0.09 | 0.37 | tandem | 
| Comparison | Metabolite | Gene | PCC | p-Value | 
|---|---|---|---|---|
| Early vs. middle | Jasmonic acid | OhNAM007 | 0.85 | 0.03 | 
| Early vs. middle | Jasmonic acid | OhNAM019 | 0.99 | 0.00 | 
| Early vs. middle | Jasmonic acid | OhNAM023 | 0.99 | 0.00 | 
| Early vs. middle | Jasmonic acid | OhNAM030 | 0.83 | 0.04 | 
| Early vs. middle | Jasmonic acid | OhNAM047 | 0.91 | 0.01 | 
| Early vs. middle | Jasmonic acid | OhNAM083 | 0.83 | 0.02 | 
| Middle vs. later | Jasmonic acid | OhNAM025 | 1.00 | 0.00 | 
| Middle vs. later | Jasmonic acid | OhNAM089 | 0.99 | 0.00 | 
| Middle vs. later | Methyl jasmonate | OhNAM025 | 1.00 | 0.00 | 
| Middle vs. later | Methyl jasmonate | OhNAM089 | 0.99 | 0.00 | 
| Middle vs. later | Methyl dihydrojasmonate | OhNAM025 | 0.99 | 0.00 | 
| Middle vs. later | Methyl dihydrojasmonate | OhNAM089 | 1.00 | 0.00 | 
| Middle vs. later | Prohydrojasmon | OhNAM025 | 0.94 | 0.00 | 
| Middle vs. later | Prohydrojasmon | OhNAM089 | 0.98 | 0.00 | 
| Middle vs. later | (+)-Dihydrojasmonic acid | OhNAM025 | 0.95 | 0.00 | 
| Middle vs. later | (+)-Dihydrojasmonic acid | OhNAM089 | 0.92 | 0.01 | 
| Later vs. senescence | Jasmonic acid | OhNAM025 | 0.98 | 0.00 | 
| Middle vs. later | Abscisic acid | OhNAM025 | 1.00 | 0.00 | 
| Middle vs. later | Abscisic acid | OhNAM089 | 0.98 | 0.00 | 
| Middle vs. senescence | Abscisic acid | OhNAM055 | 0.98 | 0.00 | 
| Middle vs. senescence | Abscisic acid | OhNAM119 | 0.98 | 0.00 | 
| Middle vs. senescence | Abscisic acid | OhNAM136 | 0.98 | 0.00 | 
| Middle vs. senescence | Abscisic acid glucose ester | OhNAM089 | 0.93 | 0.01 | 
| Middle vs. senescence | Abscisic acid glucose ester | OhNAM055 | 0.97 | 0.00 | 
| Middle vs. senescence | Abscisic acid glucose ester | OhNAM119 | 0.90 | 0.01 | 
| Middle vs. senescence | Abscisic acid glucose ester | OhNAM136 | 0.97 | 0.00 | 
Disclaimer/Publisher’s Note: The statements, opinions and data contained in all publications are solely those of the individual author(s) and contributor(s) and not of MDPI and/or the editor(s). MDPI and/or the editor(s) disclaim responsibility for any injury to people or property resulting from any ideas, methods, instructions or products referred to in the content.  | 
© 2024 by the authors. Licensee MDPI, Basel, Switzerland. This article is an open access article distributed under the terms and conditions of the Creative Commons Attribution (CC BY) license (https://creativecommons.org/licenses/by/4.0/).
Share and Cite
Liu, Y.; Zhu, Q.; Wang, Z.; Zheng, H.; Zheng, X.; Ling, P.; Tang, M. Integrative Analysis of Transcriptome and Metabolome Reveals the Pivotal Role of the NAM Family Genes in Oncidium hybridum Lodd. Pseudobulb Growth. Int. J. Mol. Sci. 2024, 25, 10355. https://doi.org/10.3390/ijms251910355
Liu Y, Zhu Q, Wang Z, Zheng H, Zheng X, Ling P, Tang M. Integrative Analysis of Transcriptome and Metabolome Reveals the Pivotal Role of the NAM Family Genes in Oncidium hybridum Lodd. Pseudobulb Growth. International Journal of Molecular Sciences. 2024; 25(19):10355. https://doi.org/10.3390/ijms251910355
Chicago/Turabian StyleLiu, Yi, Qing Zhu, Zukai Wang, Haoyue Zheng, Xinyi Zheng, Peng Ling, and Minqiang Tang. 2024. "Integrative Analysis of Transcriptome and Metabolome Reveals the Pivotal Role of the NAM Family Genes in Oncidium hybridum Lodd. Pseudobulb Growth" International Journal of Molecular Sciences 25, no. 19: 10355. https://doi.org/10.3390/ijms251910355
APA StyleLiu, Y., Zhu, Q., Wang, Z., Zheng, H., Zheng, X., Ling, P., & Tang, M. (2024). Integrative Analysis of Transcriptome and Metabolome Reveals the Pivotal Role of the NAM Family Genes in Oncidium hybridum Lodd. Pseudobulb Growth. International Journal of Molecular Sciences, 25(19), 10355. https://doi.org/10.3390/ijms251910355
        
