A Snapshot of the Most Recent Transthyretin Stabilizers
Abstract
1. Introduction
1.1. Physiologic Role of TTR

1.2. Pathologic Role of TTR
1.3. Clinical Manifestations of ATTR: Amyloidotic Cardiomyopathy and Polyneuropathy
1.4. Current Therapeutic Strategies and New Frontier Approaches
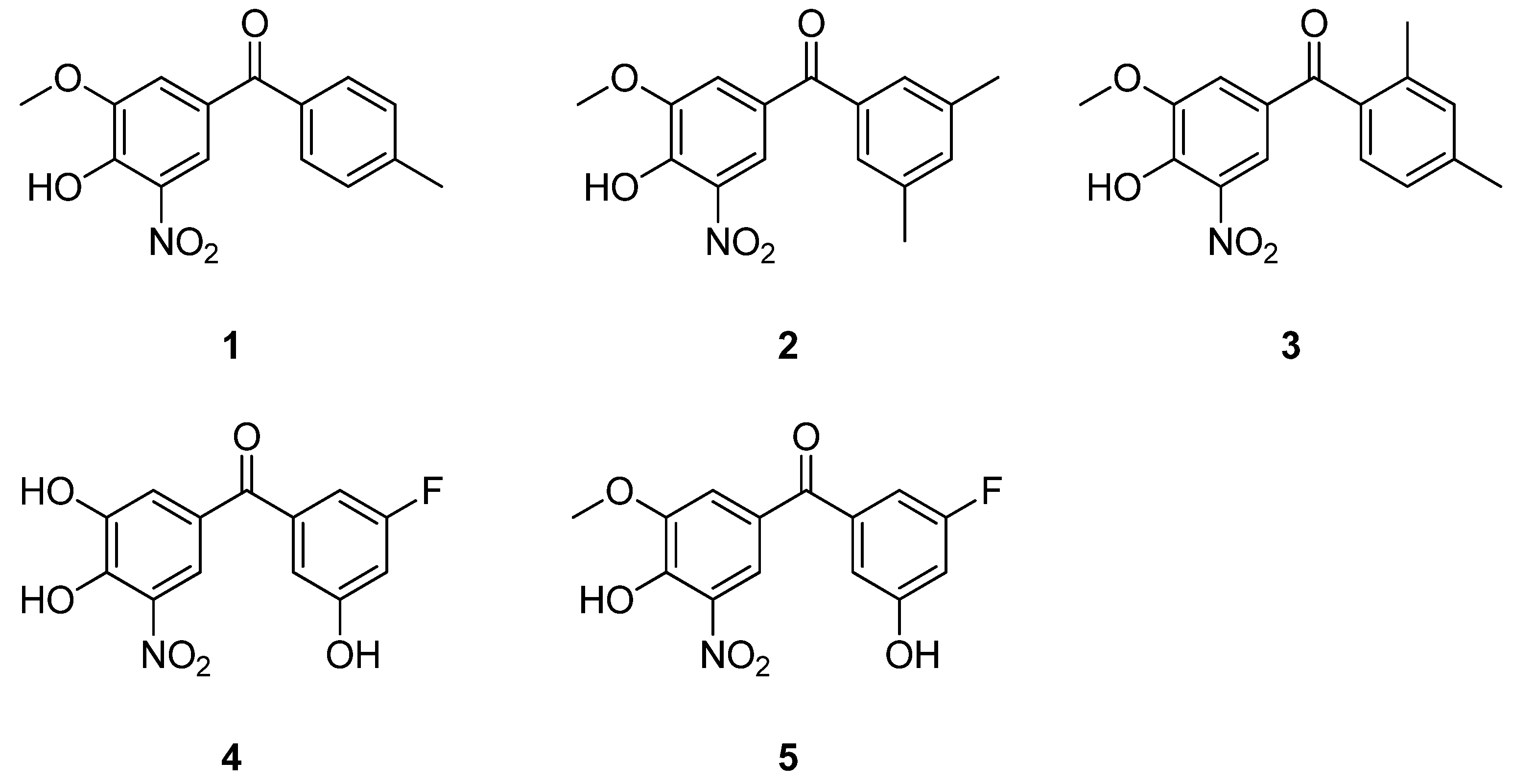
2. New TTR Stabilizers: From Drug Repurposing to New Promising Scaffolds
2.1. The Most Recent Developments in the Optimization of Tolcapone’s Structure
2.2. Beyond Tolcapone: New Scaffolds from Anthelmintic Drugs
2.3. New Scaffolds Containing Bicyclic Aromatic Rings
- (1)
- The benzofuran ring (R1 = O) can also be replaced by a 1H-indole ring (R1 = NH). Substitution with a benzothiophene (R1 = S) leads to a reduction in activity;
- (2)
- The binding potency to TTR in the plasma decreases if the R2 on benzofuran ring is functionalized with groups bulkier than an ethyl (the authors tried an isopropyl group);
- (3)
- The functionalization of positions 4 (R3) and 7 (R6) of the benzofuran ring with Cl atoms leads to more active compounds with respect to those bearing Cl atoms in positions 4 (R3) and 5 (R4) or 6 (R5) and 7 (R6);
- (4)
- A higher binding potency to TTR in the plasma is obtained if positions 4 (R3) and 7 (R6) of the benzofuran ring are functionalized with Cl atoms instead of F atoms;
- (5)
- Substituents should preferentially be placed in position 4 (R3) over positions 5 (R4), 6 (R5), or 7 (R6). In particular, the 4-Cl substitution (R3) on the benzofuran ring leads to a higher potency of binding to TTR with respect to 5-Cl (R4), 6-Cl (R5), and 7-Cl (R6);
- (6)
- The functionalization of R4 and R5 should be avoided (R4 and R5 = H);
- (7)
- For selective binding to TTR in the plasma, R3 should be functionalized either with I, Cl, Br, CF3, or CH3. Also noteworthy, the functionalization of R3 with F was studied, but it led to worse results than with I, Br, and Cl;
- (8)
- R7 and R8 should both be functionalized with halogen atoms. In particular, their functionalization with I atoms leads to more active compounds than with Br atoms;
- (9)
- For selective binding to TTR in the plasma, the C=O moiety is important.
3. Conclusions
Author Contributions
Funding
Institutional Review Board Statement
Conflicts of Interest
Abbreviations
References
- Yokoyama, T.; Mizuguchi, M. Transthyretin Amyloidogenesis Inhibitors: From Discovery to Current Developments. J. Med. Chem. 2020, 63, 14228–14242. [Google Scholar] [CrossRef] [PubMed]
- Ciccone, L.; Tonali, N.; Nencetti, S.; Orlandini, E. Natural Compounds as Inhibitors of Transthyretin Amyloidosis and Neuroprotective Agents: Analysis of Structural Data for Future Drug Design. J. Enzym. Inhib. Med. Chem. 2020, 35, 1145–1162. [Google Scholar] [CrossRef] [PubMed]
- Nencetti, S.; Orlandini, E. TTR Fibril Formation Inhibitors: Is There a SAR? Curr. Med. Chem. 2012, 19, 2356–2379. [Google Scholar] [CrossRef] [PubMed]
- Wojtczak, A.; Cody, V.; Luft, J.R.; Pangborn, W. Structure of Rat Transthyretin (rTTR) Complex with Thyroxine at 2.5 Å Resolution: First Non-Biased Insight into Thyroxine Binding Reveals Different Hormone Orientation in Two Binding Sites. Acta Crystallogr. D Biol. Crystallogr. 2001, 57, 1061–1070. [Google Scholar] [CrossRef] [PubMed]
- Wojtczak, A.; Cody, V.; Luft, J.R.; Pangborn, W. Structures of Human Transthyretin Complexed with Thyroxine at 2.0 Å Resolution and 3′,5′-Dinitro-N-Acetyl-L-Thyronine at 2.2 Å Resolution. Acta Crystallogr. D Biol. Crystallogr. 1996, 52, 758–765. [Google Scholar] [CrossRef] [PubMed]
- Sant’Anna, R.; Almeida, M.R.; Varejāo, N.; Gallego, P.; Esperante, S.; Ferreira, P.; Pereira-Henriques, A.; Palhano, F.L.; De Carvalho, M.; Foguel, D.; et al. Cavity Filling Mutations at the Thyroxine-Binding Site Dramatically Increase Transthyretin Stability and Prevent Its Aggregation. Sci. Rep. 2017, 7, 44709. [Google Scholar] [CrossRef] [PubMed]
- Kawaji, T.; Ando, Y.; Nakamura, M.; Yamamoto, K.; Ando, E.; Takano, A.; Inomata, Y.; Hirata, A.; Tanihara, H. Transthyretin Synthesis in Rabbit Ciliary Pigment Epithelium. Exp. Eye Res. 2005, 81, 306–312. [Google Scholar] [CrossRef]
- Smith, F.R.; Goodman, D.S. The Effects of Diseases of the Liver, Thyroid, and Kidneys on the Transport of Vitamin A in Human Plasma. J. Clin. Investig. 1971, 50, 2426–2436. [Google Scholar] [CrossRef]
- Aleshire, S.L.; Bradley, C.A.; Richardson, L.D.; Parl, F.F. Localization of Human Prealbumin in Choroid Plexus Epithelium. J. Histochem. Cytochem. 1983, 31, 608–612. [Google Scholar] [CrossRef]
- Dickson, P.W.; Schreiber, G. High Levels of Messenger RNA for Transthyretin (Prealbumin) in Human Choroid Plexus. Neurosci. Lett. 1986, 66, 311–315. [Google Scholar] [CrossRef]
- Jacobsson, B. In Situ Localization of Transthyretin-mRNA in the Adult Human Liver, Choroid Plexus and Pancreatic Islets and in Endocrine Tumours of the Pancreas and Gut. Histochemistry 1989, 91, 299–304. [Google Scholar] [CrossRef] [PubMed]
- Liddle, C.N.; Reid, W.A.; Kennedy, J.S.; Miller, I.D.; Horne, C.H.W. Immunolocalization of Prealbumin: Distribution in Normal Human Tissue. J. Pathol. 1985, 146, 107–113. [Google Scholar] [CrossRef] [PubMed]
- Ong, D.E.; Davis, J.T.; O’Day, W.T.; Bok, D. Synthesis and Secretion of Retinol-Binding Protein and Transthyretin by Cultured Retinal Pigment Epithelium. Biochemistry 1994, 33, 1835–1842. [Google Scholar] [CrossRef] [PubMed]
- Sousa, M.M.; Saraiva, M.J. Internalization of Transthyretin: EVIDENCE OF A NOVEL YET UNIDENTIFIED RECEPTOR-ASSOCIATED PROTEIN (RAP)-SENSITIVE RECEPTOR*. J. Biol. Chem. 2001, 276, 14420–14425. [Google Scholar] [CrossRef] [PubMed]
- Makover, A.; Moriwaki, H.; Ramakrishnan, R.; Saraiva, M.J.M.; Blaner, W.S.; Goodman DeWitt, S. Plasma Transthyretin. Tissue Sites of Degradation and Turnover in the Rat. J. Biol. Chem. 1988, 263, 8598–8603. [Google Scholar] [CrossRef]
- Schrödinger, L.; Warren, D. PyMOL 2020.
- Ciccone, L.; Nencetti, S.; Tonali, N.; Fruchart-Gaillard, C.; Shepard, W.; Nuti, E.; Camodeca, C.; Rossello, A.; Orlandini, E. Monoaryl Derivatives as Transthyretin Fibril Formation Inhibitors: Design, Synthesis, Biological Evaluation and Structural Analysis. Bioorganic Med. Chem. 2020, 28, 115673. [Google Scholar] [CrossRef]
- Hamilton, J.A.; Benson, M.D. Transthyretin: A Review from a Structural Perspective. Cell Mol. Life Sci. 2001, 58, 1491–1521. [Google Scholar] [CrossRef]
- Raghu, P.; Sivakumar, B. Interactions amongst Plasma Retinol-Binding Protein, Transthyretin and Their Ligands: Implications in Vitamin A Homeostasis and Transthyretin Amyloidosis. Biochim. Biophys. Acta (BBA)—Proteins Proteom. 2004, 1703, 1–9. [Google Scholar] [CrossRef]
- Gaetani, S.; Bellovino, D.; Apreda, M.; Devirgiliis, C. Hepatic Synthesis, Maturation and Complex Formation between Retinol-Binding Protein and Transthyretin. Clin. Chem. Lab. Med. 2002, 40, 1211–1220. [Google Scholar] [CrossRef]
- Wei, S.; Episkopou, V.; Piantedosi, R.; Maeda, S.; Shimada, K.; Gottesman, M.E.; Blaner, W.S. Studies on the Metabolism of Retinol and Retinol-Binding Protein in Transthyretin-Deficient Mice Produced by Homologous Recombination. J. Biol. Chem. 1995, 270, 866–870. [Google Scholar] [CrossRef]
- Van Bennekum, A.M.; Wei, S.; Gamble, M.V.; Vogel, S.; Piantedosi, R.; Gottesman, M.; Episkopou, V.; Blaner, W.S. Biochemical Basis for Depressed Serum Retinol Levels in Transthyretin-Deficient Mice. J. Biol. Chem. 2001, 276, 1107–1113. [Google Scholar] [CrossRef] [PubMed]
- Liz, M.A.; Mar, F.M.; Franquinho, F.; Sousa, M.M. Aboard Transthyretin: From Transport to Cleavage. IUBMB Life 2010, 62, 429–435. [Google Scholar] [CrossRef] [PubMed]
- Liz, M.A.; Faro, C.J.; Saraiva, M.J.; Sousa, M.M. Transthyretin, a New Cryptic Protease. J. Biol. Chem. 2004, 279, 21431–21438. [Google Scholar] [CrossRef] [PubMed]
- Liz, M.A.; Fleming, C.E.; Nunes, A.F.; Almeida, M.R.; Mar, F.M.; Choe, Y.; Craik, C.S.; Powers, J.C.; Bogyo, M.; Sousa, M.M. Substrate Specificity of Transthyretin: Identification of Natural Substrates in the Nervous System. Biochem. J. 2009, 419, 467–474. [Google Scholar] [CrossRef] [PubMed][Green Version]
- Ciccone, L.; Camodeca, C.; Tonali, N.; Barlettani, L.; Rossello, A.; Fruchart Gaillard, C.; Kaffy, J.; Petrarolo, G.; La Motta, C.; Nencetti, S.; et al. New Hybrid Compounds Incorporating Natural Products as Multifunctional Agents against Alzheimer’s Disease. Pharmaceutics 2023, 15, 2369. [Google Scholar] [CrossRef]
- Tonali, N.; Nencetti, S.; Orlandini, E.; Ciccone, L. Application of PROTAC Strategy to TTR-Aβ Protein-Protein Interaction for the Development of Alzheimer’s Disease Drugs. Neural Regen. Res. 2021, 16, 1554. [Google Scholar] [CrossRef]
- Sipe, J.D.; Benson, M.D.; Buxbaum, J.N.; Ikeda, S.-I.; Merlini, G.; Saraiva, M.J.M.; Westermark, P. Amyloid Fibril Proteins and Amyloidosis: Chemical Identification and Clinical Classification International Society of Amyloidosis 2016 Nomenclature Guidelines. Amyloid 2016, 23, 209–213. [Google Scholar] [CrossRef]
- Saraiva, M.J. Transthyretin Mutations in Health and Disease. Hum. Mutat. 1995, 5, 191–196. [Google Scholar] [CrossRef]
- Tsoi, M.R.; Lin, J.H.; Patel, A.R. Emerging Therapies for Transthyretin Amyloidosis. Curr. Oncol. Rep. 2023, 25, 549–558. [Google Scholar] [CrossRef]
- Westermark, P.; Bergström, J.; Solomon, A.; Murphy, C.; Sletten, K. Transthyretin-Derived Senile Systemic Amyloidosis: Clinicopathologic and Structural Considerations. Amyloid 2003, 10 (Suppl. S1), 48–54. [Google Scholar] [CrossRef]
- Cardoso, I.; Goldsbury, C.S.; Müller, S.A.; Olivieri, V.; Wirtz, S.; Damas, A.M.; Aebi, U.; Saraiva, M.J. Transthyretin Fibrillogenesis Entails the Assembly of Monomers: A Molecular Model for in Vitro Assembled Transthyretin Amyloid-like Fibrils. J. Mol. Biol. 2002, 317, 683–695. [Google Scholar] [CrossRef] [PubMed]
- Quintas, A.; Vaz, D.C.; Cardoso, I.; Saraiva, M.J.; Brito, R.M. Tetramer Dissociation and Monomer Partial Unfolding Precedes Protofibril Formation in Amyloidogenic Transthyretin Variants. J. Biol. Chem. 2001, 276, 27207–27213. [Google Scholar] [CrossRef] [PubMed]
- Cornwell, G.G., 3rd; Murdoch, W.L.; Kyle, R.A.; Westermark, P.; Pitkänen, P. Frequency and Distribution of Senile Cardiovascular Amyloid. A Clinicopathologic Correlation. Am. J. Med. 1983, 75, 618–623. [Google Scholar] [CrossRef] [PubMed]
- Steinebrei, M.; Gottwald, J.; Baur, J.; Röcken, C.; Hegenbart, U.; Schönland, S.; Schmidt, M. Cryo-EM Structure of an ATTRwt Amyloid Fibril from Systemic Non-Hereditary Transthyretin Amyloidosis. Nat. Commun. 2022, 13, 6398. [Google Scholar] [CrossRef] [PubMed]
- Hammarström, P. The Transthyretin Protein and Amyloidosis—An Extraordinary Chemical Biology Platform. Isr. J. Chem. 2024, 2024, e202300164. [Google Scholar] [CrossRef]
- Iakovleva, I.; Hall, M.; Oelker, M.; Sandblad, L.; Anan, I.; Sauer-Eriksson, A.E. Structural Basis for Transthyretin Amyloid Formation in Vitreous Body of the Eye. Nat. Commun. 2021, 12, 7141. [Google Scholar] [CrossRef]
- Schmidt, M.; Wiese, S.; Adak, V.; Engler, J.; Agarwal, S.; Fritz, G.; Westermark, P.; Zacharias, M.; Fändrich, M. Cryo-EM Structure of a Transthyretin-Derived Amyloid Fibril from a Patient with Hereditary ATTR Amyloidosis. Nat. Commun. 2019, 10, 5008. [Google Scholar] [CrossRef]
- Mangione, P.P.; Verona, G.; Corazza, A.; Marcoux, J.; Canetti, D.; Giorgetti, S.; Raimondi, S.; Stoppini, M.; Esposito, M.; Relini, A.; et al. Plasminogen Activation Triggers Transthyretin Amyloidogenesis in Vitro. J. Biol. Chem. 2018, 293, 14192–14199. [Google Scholar] [CrossRef]
- Lai, Z.; Colón, W.; Kelly, J.W. The Acid-Mediated Denaturation Pathway of Transthyretin Yields a Conformational Intermediate That Can Self-Assemble into Amyloid. Biochemistry 1996, 35, 6470–6482. [Google Scholar] [CrossRef]
- Colon, W.; Kelly, J.W. Partial Denaturation of Transthyretin Is Sufficient for Amyloid Fibril Formation in Vitro. Biochemistry 1992, 31, 8654–8660. [Google Scholar] [CrossRef]
- Ciccone, L.; Tonali, N.; Shepard, W.; Nencetti, S.; Orlandini, E. Physiological Metals Can Induce Conformational Changes in Transthyretin Structure: Neuroprotection or Misfolding Induction? Crystals 2021, 11, 354. [Google Scholar] [CrossRef]
- Wieczorek, E.; Kędracka-Krok, S.; Bystranowska, D.; Ptak, M.; Wiak, K.; Wygralak, Z.; Jankowska, U.; Ożyhar, A. Destabilisation of the Structure of Transthyretin Is Driven by Ca2+. Int. J. Biol. Macromol. 2021, 166, 409–423. [Google Scholar] [CrossRef] [PubMed]
- Wieczorek, E.; Wygralak, Z.; Kędracka-Krok, S.; Bezara, P.; Bystranowska, D.; Dobryszycki, P.; Ożyhar, A. Deep Blue Autofluorescence Reflects the Oxidation State of Human Transthyretin. Redox Biol. 2022, 56, 102434. [Google Scholar] [CrossRef] [PubMed]
- McCammon, M.G.; Scott, D.J.; Keetch, C.A.; Greene, L.H.; Purkey, H.E.; Petrassi, H.M.; Kelly, J.W.; Robinson, C.V. Screening Transthyretin Amyloid Fibril Inhibitors: Characterization of Novel Multiprotein, Multiligand Complexes by Mass Spectrometry. Structure 2002, 10, 851–863. [Google Scholar] [CrossRef] [PubMed]
- Hammarström, P.; Wiseman, R.L.; Powers, E.T.; Kelly, J.W. Prevention of Transthyretin Amyloid Disease by Changing Protein Misfolding Energetics. Science 2003, 299, 713–716. [Google Scholar] [CrossRef]
- Purkey, H.E.; Palaninathan, S.K.; Kent, K.C.; Smith, C.; Safe, S.H.; Sacchettini, J.C.; Kelly, J.W. Hydroxylated Polychlorinated Biphenyls Selectively Bind Transthyretin in Blood and Inhibit Amyloidogenesis: Rationalizing Rodent PCB Toxicity. Chem. Biol. 2004, 11, 1719–1728. [Google Scholar] [CrossRef]
- Pinheiro, F.; Pallarès, I.; Peccati, F.; Sánchez-Morales, A.; Varejão, N.; Bezerra, F.; Ortega-Alarcon, D.; Gonzalez, D.; Osorio, M.; Navarro, S.; et al. Development of a Highly Potent Transthyretin Amyloidogenesis Inhibitor: Design, Synthesis, and Evaluation. J. Med. Chem. 2022, 65, 14673–14691. [Google Scholar] [CrossRef]
- Ferguson, R.N.; Edelhoch, H.; Saroff, H.A.; Robbins, J.; Cahnmann, H.J. Negative Cooperativity in the Binding of Thyroxine to Human Serum Prealbumin. Biochemistry 1975, 14, 282–289. [Google Scholar] [CrossRef]
- Bulawa, C.E.; Connelly, S.; DeVit, M.; Wang, L.; Weigel, C.; Fleming, J.A.; Packman, J.; Powers, E.T.; Wiseman, R.L.; Foss, T.R.; et al. Tafamidis, a Potent and Selective Transthyretin Kinetic Stabilizer That Inhibits the Amyloid Cascade. Proc. Natl. Acad. Sci. USA 2012, 109, 9629–9634. [Google Scholar] [CrossRef]
- Green, N.S.; Palaninathan, S.K.; Sacchettini, J.C.; Kelly, J.W. Synthesis and Characterization of Potent Bivalent Amyloidosis Inhibitors That Bind Prior to Transthyretin Tetramerization. J. Am. Chem. Soc. 2003, 125, 13404–13414. [Google Scholar] [CrossRef]
- Elliott, P.; Drachman, B.M.; Gottlieb, S.S.; Hoffman, J.E.; Hummel, S.L.; Lenihan, D.J.; Ebede, B.; Gundapaneni, B.; Li, B.; Sultan, M.B.; et al. Long-Term Survival with Tafamidis in Patients with Transthyretin Amyloid Cardiomyopathy. Circ. Heart Fail. 2022, 15, e008193. [Google Scholar] [CrossRef] [PubMed]
- ACC. ATTR-ACT: Tafamidis Findings Offer Hope for Patients with ATTR-CM 2018; American College of Cardiology Foundation: Washington, DC, USA, 2018. [Google Scholar]
- Damy, T.; Garcia-Pavia, P.; Hanna, M.; Judge, D.P.; Merlini, G.; Gundapaneni, B.; Patterson, T.A.; Riley, S.; Schwartz, J.H.; Sultan, M.B.; et al. Efficacy and Safety of Tafamidis Doses in the Tafamidis in Transthyretin Cardiomyopathy Clinical Trial (ATTR-ACT) and Long-Term Extension Study. Eur. J. Heart Fail. 2021, 23, 277–285. [Google Scholar] [CrossRef] [PubMed]
- Yadav, J.D.; Othee, H.; Chan, K.A.; Man, D.C.; Belliveau, P.P.; Towle, J. Transthyretin Amyloid Cardiomyopathy-Current and Future Therapies. Ann. Pharmacother. 2021, 55, 1502–1514. [Google Scholar] [CrossRef] [PubMed]
- Ueda, M.; Ando, Y. Recent Advances in Transthyretin Amyloidosis Therapy. Transl. Neurodegener. 2014, 3, 19. [Google Scholar] [CrossRef] [PubMed]
- Damy, T.; Bourel, G.; Slama, M.; Algalarrondo, V.; Lairez, O.; Fournier, P.; Costa, J.; Pelcot, F.; Farrugia, A.; Zaleski, I.D.; et al. Incidence and Survival of Transthyretin Amyloid Cardiomyopathy from a French Nationwide Study of In- and out-Patient Databases. Orphanet J. Rare Dis. 2023, 18, 345. [Google Scholar] [CrossRef] [PubMed]
- Cappelli, F.; Del Franco, A.; Vergaro, G.; Mazzoni, C.; Argirò, A.; Pieroni, M.; Giacomin, E.; Poli, S.; Allinovi, M.; Olivotto, I.; et al. Prevalence of Transthyretin-Related Amyloidosis in Tuscany: Data from the Regional Population-Based Registry. Int. J. Cardiol. 2023, 382, 87–90. [Google Scholar] [CrossRef]
- Ravichandran, S.; Lachmann, H.J.; Wechalekar, A.D. Epidemiologic and Survival Trends in Amyloidosis, 1987–2019. N. Engl. J. Med. 2020, 382, 1567–1568. [Google Scholar] [CrossRef]
- Ando, Y.; Adams, D.; Benson, M.D.; Berk, J.L.; Planté-Bordeneuve, V.; Coelho, T.; Conceição, I.; Ericzon, B.-G.; Obici, L.; Rapezzi, C.; et al. Guidelines and New Directions in the Therapy and Monitoring of ATTRv Amyloidosis. Amyloid 2022, 29, 143–155. [Google Scholar] [CrossRef]
- Ruberg, F.L.; Berk, J.L. Transthyretin (TTR) Cardiac Amyloidosis. Circulation 2012, 126, 1286–1300. [Google Scholar] [CrossRef]
- Rossi, M.; Varrà, G.G.; Porcari, A.; Saro, R.; Pagura, L.; Lalario, A.; Dore, F.; Bussani, R.; Sinagra, G.; Merlo, M. Re-Definition of the Epidemiology of Cardiac Amyloidosis. Biomedicines 2022, 10, 1566. [Google Scholar] [CrossRef]
- Almeida, Z.L.; Vaz, D.C.; Brito, R.M.M. Transthyretin Mutagenesis: Impact on Amyloidogenesis and Disease. Crit. Rev. Clin. Lab. Sci. 2024, 1–25. [Google Scholar] [CrossRef] [PubMed]
- Hjalmarsson, C.; Liljeqvist, J.-Å.; Lindh, M.; Karason, K.; Bollano, E.; Oldfors, A.; Andersson, B. Parvovirus B19 in Endomyocardial Biopsy of Patients with Idiopathic Dilated Cardiomyopathy: Foe or Bystander? J. Card. Fail. 2019, 25, 60–63. [Google Scholar] [CrossRef] [PubMed]
- Canepa, M.; Vianello, P.F.; Porcari, A.; Merlo, M.; Scarpa, M. Cardiac Amyloidosis: A Changing Epidemiology with Open Challenges. Vessel. Plus 2022, 6, 30. [Google Scholar] [CrossRef]
- Saraiva, M.J.; Birken, S.; Costa, P.P.; Goodman, D.S. Amyloid Fibril Protein in Familial Amyloidotic Polyneuropathy, Portuguese Type. Definition of Molecular Abnormality in Transthyretin (Prealbumin). J. Clin. Investig. 1984, 74, 104–119. [Google Scholar] [CrossRef]
- Rowczenio, D.M.; Noor, I.; Gillmore, J.D.; Lachmann, H.J.; Whelan, C.; Hawkins, P.N.; Obici, L.; Westermark, P.; Grateau, G.; Wechalekar, A.D. Online Registry for Mutations in Hereditary Amyloidosis Including Nomenclature Recommendations. Hum. Mutat. 2014, 35, E2403–E2412. [Google Scholar] [CrossRef]
- Dispenzieri, A.; Coelho, T.; Conceição, I.; Waddington-Cruz, M.; Wixner, J.; Kristen, A.V.; Rapezzi, C.; Planté-Bordeneuve, V.; Gonzalez-Moreno, J.; Maurer, M.S.; et al. Clinical and Genetic Profile of Patients Enrolled in the Transthyretin Amyloidosis Outcomes Survey (THAOS): 14-Year Update. Orphanet J. Rare Dis. 2022, 17, 236. [Google Scholar] [CrossRef]
- Conceição, I.; González-Duarte, A.; Obici, L.; Schmidt, H.H.-J.; Simoneau, D.; Ong, M.-L.; Amass, L. “Red-Flag” Symptom Clusters in Transthyretin Familial Amyloid Polyneuropathy. J. Peripher. Nerv. Syst. 2016, 21, 5–9. [Google Scholar] [CrossRef]
- Ando, Y.; Nakamura, M.; Araki, S. Transthyretin-Related Familial Amyloidotic Polyneuropathy. Arch. Neurol. 2005, 62, 1057–1062. [Google Scholar] [CrossRef]
- Vélez-Santamaría, V.; Nedkova-Hristova, V.; Morales de la Prida, M.; Casasnovas, C. Hereditary Transthyretin Amyloidosis with Polyneuropathy: Monitoring and Management. Int. J. Gen. Med. 2022, 15, 8677–8684. [Google Scholar] [CrossRef]
- Adams, D.; Gonzalez-Duarte, A.; O’Riordan, W.D.; Yang, C.-C.; Ueda, M.; Kristen, A.V.; Tournev, I.; Schmidt, H.H.; Coelho, T.; Berk, J.L.; et al. Patisiran, an RNAi Therapeutic, for Hereditary Transthyretin Amyloidosis. N. Engl. J. Med. 2018, 379, 11–21. [Google Scholar] [CrossRef]
- Solomon, S.D.; Adams, D.; Kristen, A.; Grogan, M.; González-Duarte, A.; Maurer, M.S.; Merlini, G.; Damy, T.; Slama, M.S.; Brannagan, T.H., 3rd; et al. Effects of Patisiran, an RNA Interference Therapeutic, on Cardiac Parameters in Patients with Hereditary Transthyretin-Mediated Amyloidosis. Circulation 2019, 139, 431–443. [Google Scholar] [CrossRef] [PubMed]
- Adams, D.; Tournev, I.L.; Taylor, M.S.; Coelho, T.; Planté-Bordeneuve, V.; Berk, J.L.; González-Duarte, A.; Gillmore, J.D.; Low, S.-C.; Sekijima, Y.; et al. Efficacy and Safety of Vutrisiran for Patients with Hereditary Transthyretin-Mediated Amyloidosis with Polyneuropathy: A Randomized Clinical Trial. Amyloid 2023, 30, 18–26. [Google Scholar] [CrossRef] [PubMed]
- Aimo, A.; Castiglione, V.; Rapezzi, C.; Franzini, M.; Panichella, G.; Vergaro, G.; Gillmore, J.; Fontana, M.; Passino, C.; Emdin, M. RNA-Targeting and Gene Editing Therapies for Transthyretin Amyloidosis. Nat. Rev. Cardiol. 2022, 19, 655–667. [Google Scholar] [CrossRef] [PubMed]
- Griffin, J.M.; Rosenthal, J.L.; Grodin, J.L.; Maurer, M.S.; Grogan, M.; Cheng, R.K. ATTR Amyloidosis: Current and Emerging Management Strategies: JACC: CardioOncology State-of-the-Art Review. JACC CardioOncol. 2021, 3, 488–505. [Google Scholar] [CrossRef]
- Coelho, T.; Ando, Y.; Benson, M.D.; Berk, J.L.; Waddington-Cruz, M.; Dyck, P.J.; Gillmore, J.D.; Khella, S.L.; Litchy, W.J.; Obici, L.; et al. Design and Rationale of the Global Phase 3 NEURO-TTRansform Study of Antisense Oligonucleotide AKCEA-TTR-L(Rx) (ION-682884-CS3) in Hereditary Transthyretin-Mediated Amyloid Polyneuropathy. Neurol. Ther. 2021, 10, 375–389. [Google Scholar] [CrossRef]
- Nie, T. Eplontersen: First Approval. Drugs 2024, 84, 473–478. [Google Scholar] [CrossRef]
- Narayanan, P.; Curtis, B.R.; Shen, L.; Schneider, E.; Tami, J.A.; Paz, S.; Burel, S.A.; Tai, L.-J.; Machemer, T.; Kwoh, T.J.; et al. Underlying Immune Disorder May Predispose Some Transthyretin Amyloidosis Subjects to Inotersen-Mediated Thrombocytopenia. Nucleic Acid. Ther. 2020, 30, 94–103. [Google Scholar] [CrossRef]
- Gillmore, J.D.; Gane, E.; Taubel, J.; Kao, J.; Fontana, M.; Maitland, M.L.; Seitzer, J.; O’Connell, D.; Walsh, K.R.; Wood, K.; et al. CRISPR-Cas9 In Vivo Gene Editing for Transthyretin Amyloidosis. N. Engl. J. Med. 2021, 385, 493–502. [Google Scholar] [CrossRef]
- Cong, L.; Ran, F.A.; Cox, D.; Lin, S.; Barretto, R.; Habib, N.; Hsu, P.D.; Wu, X.; Jiang, W.; Marraffini, L.A.; et al. Multiplex Genome Engineering Using CRISPR/Cas Systems. Science 2013, 339, 819–823. [Google Scholar] [CrossRef]
- Jinek, M.; Chylinski, K.; Fonfara, I.; Hauer, M.; Doudna, J.A.; Charpentier, E. A Programmable Dual-RNA-Guided DNA Endonuclease in Adaptive Bacterial Immunity. Science 2012, 337, 816–821. [Google Scholar] [CrossRef]
- Hsu, P.D.; Lander, E.S.; Zhang, F. Development and Applications of CRISPR-Cas9 for Genome Engineering. Cell 2014, 157, 1262–1278. [Google Scholar] [CrossRef] [PubMed]
- Dasgupta, I.; Flotte, T.R.; Keeler, A.M. CRISPR/Cas-Dependent and Nuclease-Free In Vivo Therapeutic Gene Editing. Hum. Gene Ther. 2021, 32, 275–293. [Google Scholar] [CrossRef] [PubMed]
- Gertz, M.A.; Benson, M.D.; Dyck, P.J.; Grogan, M.; Coelho, T.; Cruz, M.; Berk, J.L.; Plante-Bordeneuve, V.; Schmidt, H.H.J.; Merlini, G. Diagnosis, Prognosis, and Therapy of Transthyretin Amyloidosis. J. Am. Coll. Cardiol. 2015, 66, 2451–2466. [Google Scholar] [CrossRef] [PubMed]
- Nuvolone, M.; Nevone, A.; Merlini, G. Targeting Amyloid Fibrils by Passive Immunotherapy in Systemic Amyloidosis. BioDrugs 2022, 36, 591–608. [Google Scholar] [CrossRef]
- Muchtar, E.; Gertz, M.A.; Kumar, S.K.; Lacy, M.Q.; Dingli, D.; Buadi, F.K.; Grogan, M.; Hayman, S.R.; Kapoor, P.; Leung, N.; et al. Improved Outcomes for Newly Diagnosed AL Amyloidosis between 2000 and 2014: Cracking the Glass Ceiling of Early Death. Blood 2017, 129, 2111–2119. [Google Scholar] [CrossRef]
- Cardoso, I.; Martins, D.; Ribeiro, T.; Merlini, G.; Saraiva, M.J. Synergy of Combined Doxycycline/TUDCA Treatment in Lowering Transthyretin Deposition and Associated Biomarkers: Studies in FAP Mouse Models. J. Transl. Med. 2010, 8, 74. [Google Scholar] [CrossRef]
- Gonçalves, P.; Martins, H.; Costelha, S.; Maia, L.F.; Saraiva, M.J. Efficiency of Silencing RNA for Removal of Transthyretin V30M in a TTR Leptomeningeal Animal Model. Amyloid 2016, 23, 249–253. [Google Scholar] [CrossRef]
- Macedo, B.; Batista, A.R.; Ferreira, N.; Almeida, M.R.; Saraiva, M.J. Anti-Apoptotic Treatment Reduces Transthyretin Deposition in a Transgenic Mouse Model of Familial Amyloidotic Polyneuropathy. Biochim. Biophys. Acta (BBA)—Mol. Basis Dis. 2008, 1782, 517–522. [Google Scholar] [CrossRef]
- Wu, D.; Chen, W. Molecular Mechanisms and Emerging Therapies in Wild-Type Transthyretin Amyloid Cardiomyopathy. Heart Fail. Rev. 2024, 29, 511–521. [Google Scholar] [CrossRef]
- Sant’Anna, R.; Gallego, P.; Robinson, L.Z.; Pereira-Henriques, A.; Ferreira, N.; Pinheiro, F.; Esperante, S.; Pallares, I.; Huertas, O.; Rosário Almeida, M.; et al. Repositioning Tolcapone as a Potent Inhibitor of Transthyretin Amyloidogenesis and Associated Cellular Toxicity. Nat. Commun. 2016, 7, 10787. [Google Scholar] [CrossRef]
- Kelly, J.W. Mechanisms of Amyloidogenesis. Nat. Struct. Biol. 2000, 7, 824–826. [Google Scholar] [CrossRef] [PubMed]
- Tschöpe, C.; Elsanhoury, A. Treatment of Transthyretin Amyloid Cardiomyopathy: The Current Options, the Future, and the Challenges. J. Clin. Med. 2022, 11, 2148. [Google Scholar] [CrossRef] [PubMed]
- Gurwitz, J.H.; Maurer, M.S. Tafamidis-A Pricey Therapy for a Not-So-Rare Condition. JAMA Cardiol. 2020, 5, 247–248. [Google Scholar] [CrossRef] [PubMed]
- Maurer, M.S.; Schwartz, J.H.; Gundapaneni, B.; Elliott, P.M.; Merlini, G.; Waddington-Cruz, M.; Kristen, A.V.; Grogan, M.; Witteles, R.; Damy, T.; et al. Tafamidis Treatment for Patients with Transthyretin Amyloid Cardiomyopathy. N. Engl. J. Med. 2018, 379, 1007–1016. [Google Scholar] [CrossRef] [PubMed]
- Barroso, F.A.; Judge, D.P.; Ebede, B.; Li, H.; Stewart, M.; Amass, L.; Sultan, M.B. Long-Term Safety and Efficacy of Tafamidis for the Treatment of Hereditary Transthyretin Amyloid Polyneuropathy: Results up to 6 Years. Amyloid 2017, 24, 194–204. [Google Scholar] [CrossRef]
- Stern, L.K.; Patel, J. Cardiac Amyloidosis Treatment. Methodist DeBakey Cardiovasc. J. 2022, 18, 59–72. [Google Scholar] [CrossRef]
- Kazi, D.S.; Bellows, B.K.; Baron, S.J.; Shen, C.; Cohen, D.J.; Spertus, J.A.; Yeh, R.W.; Arnold, S.V.; Sperry, B.W.; Maurer, M.S.; et al. Cost-Effectiveness of Tafamidis Therapy for Transthyretin Amyloid Cardiomyopathy. Circulation 2020, 141, 1214–1224. [Google Scholar] [CrossRef]
- Monteiro, C.; Mesgazardeh, J.S.; Anselmo, J.; Fernandes, J.; Novais, M.; Rodrigues, C.; Brighty, G.J.; Powers, D.L.; Powers, E.T.; Coelho, T.; et al. Predictive Model of Response to Tafamidis in Hereditary ATTR Polyneuropathy. JCI Insight 2019, 4, 126526. [Google Scholar] [CrossRef]
- Gamez, J.; Salvadó, M.; Reig, N.; Suñé, P.; Casasnovas, C.; Rojas-Garcia, R.; Insa, R. Transthyretin Stabilization Activity of the Catechol-O-Methyltransferase Inhibitor Tolcapone (SOM0226) in Hereditary ATTR Amyloidosis Patients and Asymptomatic Carriers: Proof-of-Concept Study#. Amyloid 2019, 26, 74–84. [Google Scholar] [CrossRef]
- Poonsiri, T.; Dell’Accantera, D.; Loconte, V.; Casnati, A.; Cervoni, L.; Arcovito, A.; Benini, S.; Ferrari, A.; Cipolloni, M.; Cacioni, E.; et al. 3-O-Methyltolcapone and Its Lipophilic Analogues Are Potent Inhibitors of Transthyretin Amyloidogenesis with High Permeability and Low Toxicity. Int. J. Mol. Sci. 2024, 25, 479. [Google Scholar] [CrossRef]
- Spahr, L.; Rubbia-Brandt, L.; Burkhard, P.R.; Assal, F.; Hadengue, A. Tolcapone-Related Fulminant Hepatitis: Electron Microscopy Shows Mitochondrial Alterations. Dig. Dis. Sci. 2000, 45, 1881–1884. [Google Scholar] [CrossRef] [PubMed]
- Olanow, C.W. Tolcapone and Hepatotoxic Effects. Arch. Neurol. 2000, 57, 263. [Google Scholar] [CrossRef] [PubMed]
- Assal, F.; Spahr, L.; Hadengue, A.; Rubbici-Brandt, L.; Burkhard, P.R. Tolcapone and Fulminant Hepatitis. Lancet 1998, 352, 958. [Google Scholar] [CrossRef] [PubMed]
- Jorga, K.; Fotteler, B.; Heizmann, P.; Gasser, R. Metabolism and Excretion of Tolcapone, a Novel Inhibitor of catechol-O-methyltransferase. Br. J. Clin. Pharmacol. 1999, 48, 513–520. [Google Scholar] [CrossRef] [PubMed]
- Miller, M.; Pal, A.; Albusairi, W.; Joo, H.; Pappas, B.; Haque Tuhin, M.T.; Liang, D.; Jampala, R.; Liu, F.; Khan, J.; et al. Enthalpy-Driven Stabilization of Transthyretin by AG10 Mimics a Naturally Occurring Genetic Variant That Protects from Transthyretin Amyloidosis. J. Med. Chem. 2018, 61, 7862–7876. [Google Scholar] [CrossRef]
- Ioannou, A. Evolution of Disease-Modifying Therapy for Transthyretin Cardiac Amyloidosis. Heart Int. 2024, 18, 30–37. [Google Scholar] [CrossRef]
- Kim, J.H.; Oroz, J.; Zweckstetter, M. Structure of Monomeric Transthyretin Carrying the Clinically Important T119M Mutation. Angew. Chem. Int. Ed. Engl. 2016, 55, 16168–16171. [Google Scholar] [CrossRef]
- Hammarström, P.; Jiang, X.; Hurshman, A.R.; Powers, E.T.; Kelly, J.W. Sequence-Dependent Denaturation Energetics: A Major Determinant in Amyloid Disease Diversity. Proc. Natl. Acad. Sci. USA 2002, 99 (Suppl. S4), 16427–16432. [Google Scholar] [CrossRef]
- Judge, D.P.; Heitner, S.B.; Falk, R.H.; Maurer, M.S.; Shah, S.J.; Witteles, R.M.; Grogan, M.; Selby, V.N.; Jacoby, D.; Hanna, M.; et al. Transthyretin Stabilization by AG10 in Symptomatic Transthyretin Amyloid Cardiomyopathy. J. Am. Coll. Cardiol. 2019, 74, 285–295. [Google Scholar] [CrossRef]
- Loconte, V.; Cianci, M.; Menozzi, I.; Sbravati, D.; Sansone, F.; Casnati, A.; Berni, R. Interactions of Tolcapone Analogues as Stabilizers of the Amyloidogenic Protein Transthyretin. Bioorganic Chem. 2020, 103, 104144. [Google Scholar] [CrossRef]
- Pinheiro, F.; Varejão, N.; Sánchez-Morales, A.; Bezerra, F.; Navarro, S.; Velázquez-Campoy, A.; Busqué, F.; Almeida, M.R.; Alibés, R.; Reverter, D.; et al. PITB: A High Affinity Transthyretin Aggregation Inhibitor with Optimal Pharmacokinetic Properties. Eur. J. Med. Chem. 2023, 261, 115837. [Google Scholar] [CrossRef] [PubMed]
- Martinez-Cajas, J.L.; Wainberg, M.A. Protease Inhibitor Resistance in HIV-Infected Patients: Molecular and Clinical Perspectives. Antivir. Res. 2007, 76, 203–221. [Google Scholar] [CrossRef] [PubMed]
- Iakovleva, I.; Brannstrom, K.; Nilsson, L.; Gharibyan, A.L.; Begum, A.; Anan, I.; Walfridsson, M.; Sauer-Eriksson, A.E.; Olofsson, A. Enthalpic Forces Correlate with the Selectivity of Transthyretin-Stabilizing Ligands in Human Plasma. J. Med. Chem. 2015, 58, 6507–6515. [Google Scholar] [CrossRef] [PubMed]
- Cotrina, E.Y.; Pinto, M.; Bosch, L.; Vilà, M.; Blasi, D.; Quintana, J.; Centeno, N.B.; Arsequell, G.; Planas, A.; Valencia, G. Modulation of the Fibrillogenesis Inhibition Properties of Two Transthyretin Ligands by Halogenation. J. Med. Chem. 2013, 56, 9110–9121. [Google Scholar] [CrossRef] [PubMed]
- Farag, H.; Salem, A.; El-Hifni, S.; Kandil, M. Bithionol (Bitin) Treatment in Established Fascioliasis in Egyptians. J. Trop. Med. Hyg. 1988, 91, 240–244. [Google Scholar]
- Yokogawa, M.; Iwasaki, M.; Shigeyasu, M.; Hirose, H.; Okura, T.; Tsuji, M. Chemotherapy of Paragonimiasis with Bithionol: V. Studies on the Minimum Effective Dose and Changes in Abnormal X-Ray Shadows in the Chest after Treatment. Am. J. Trop. Med. Hyg. 1963, 12, 859–869. [Google Scholar] [CrossRef]
- Sakamoto, M.; Chiba, K.; Agata, I.; Higa, T.; Kiyota, M.; Hayashi, N.; Yagi, N.; Itoh, M.; Sekikawa, H.; Takada, M. Metabolic Detoxication of Bis-(2-hydroxy-3, 5-dichlorophenyl)-Sulfoxide in Man. J. Toxicol. Sci. 1981, 6, 307–314. [Google Scholar] [CrossRef]
- Takada, M. On the Metabolic Detoxication of Bithionol in Man. J. Toxicol. Sci. 1976, 1, 26–31. [Google Scholar] [CrossRef][Green Version]
- Bassiouny, H.; Soliman, N.; El-Daly, S.; Badr, N. Human Fascioliasis in Egypt: Effect of Infection and Efficacy of Bithionol Treatment. J. Trop. Med. Hyg. 1991, 94, 333–337. [Google Scholar]
- Gandhi, P.; Schmitt, E.K.; Chen, C.-W.; Samantray, S.; Venishetty, V.K.; Hughes, D. Triclabendazole in the Treatment of Human Fascioliasis: A Review. Trans. R. Soc. Trop. Med. Hyg. 2019, 113, 797–804. [Google Scholar] [CrossRef]
- Yokoyama, T.; Kashihara, M.; Mizuguchi, M. Repositioning of the Anthelmintic Drugs Bithionol and Triclabendazole as Transthyretin Amyloidogenesis Inhibitors. J. Med. Chem. 2021, 64, 14344–14357. [Google Scholar] [CrossRef] [PubMed]
- Adamski-Werner, S.L.; Palaninathan, S.K.; Sacchettini, J.C.; Kelly, J.W. Diflunisal Analogues Stabilize the Native State of Transthyretin. Potent Inhibition of Amyloidogenesis. J. Med. Chem. 2004, 47, 355–374. [Google Scholar] [CrossRef] [PubMed]
- Penchala, S.C.; Connelly, S.; Wang, Y.; Park, M.S.; Zhao, L.; Baranczak, A.; Rappley, I.; Vogel, H.; Liedtke, M.; Witteles, R.M.; et al. AG10 Inhibits Amyloidogenesis and Cellular Toxicity of the Familial Amyloid Cardiomyopathy-Associated V122I Transthyretin. Proc. Natl. Acad. Sci. USA 2013, 110, 9992–9997. [Google Scholar] [CrossRef] [PubMed]
- Mizuguchi, M.; Yokoyama, T.; Okada, T.; Nakagawa, Y.; Fujii, K.; Nabeshima, Y.; Toyooka, N. Benziodarone and 6-Hydroxybenziodarone Are Potent and Selective Inhibitors of Transthyretin Amyloidogenesis. Bioorganic Med. Chem. 2023, 90, 117370. [Google Scholar] [CrossRef] [PubMed]
- Cotrina, E.Y.; Oliveira, Â.; Leite, J.P.; Llop, J.; Gales, L.; Quintana, J.; Cardoso, I.; Arsequell, G. Repurposing Benzbromarone for Familial Amyloid Polyneuropathy: A New Transthyretin Tetramer Stabilizer. Int. J. Mol. Sci. 2020, 21, 7166. [Google Scholar] [CrossRef] [PubMed]
- Azevedo, V.F.; Kos, I.A.; Vargas-Santos, A.B.; da Rocha Castelar Pinheiro, G.; Dos Santos Paiva, E. Benzbromarone in the Treatment of Gout. Adv. Rheumatol. 2019, 59, 37. [Google Scholar] [CrossRef]
- Mizuguchi, M.; Nakagawa, Y.; Yokoyama, T.; Okada, T.; Fujii, K.; Takahashi, K.; Luan, N.N.T.; Nabeshima, Y.; Kanamitsu, K.; Nakagawa, S.; et al. Development of Benziodarone Analogues with Enhanced Potency for Selective Binding to Transthyretin in Human Plasma. J. Med. Chem. 2024, 67, 6987–7005. [Google Scholar] [CrossRef]












| Structure | Technique | Values 1,2 | Mutation | PDB Id |
|---|---|---|---|---|
| 1 | ITC | Kd = 33 ± 9 nM | wt-TTR | 6SUH [102,112] |
| ΔH = −8.9 ± 0.3 kcal mol−1 | ||||
| 2 | ITC | Kd = 71 ± 26 nM | wt-TTR | 8C85 [102] |
| ΔH = −11.5 ± 1.3 kcal mol−1 | ||||
| 3 | ITC | Kd = 25 ± 5 nM | wt-TTR | 8C86 [102] |
| ΔH = −10.5 ± 0.2 kcal mol−1 | ||||
| 4 | ITC | Kd = 6.2 nM | wt-TTR | 7QC5 [48] |
| ΔH = −16.6 kcal mol−1 | ||||
| 5 | ITC | Kd = 16 nM | wt-TTR | 8PM9 [113] |
| ΔH = −13.4 kcal mol−1 | ||||
| Kd = 36 nM | V30M-TTR | 8PMA [113] | ||
| ΔH = −11.0 kcal mol−1 | ||||
| Kd = 14 nM | V122I-TTR | 8PMO [113] | ||
| ΔH = −16.1 kcal mol−1 |
| Structure | Technique | Values 1 | Mutation | Reference |
|---|---|---|---|---|
| 8 | ITC | Kd = 60 nM | wt-TTR | [127] |
| ΔH = −9.94 kcal mol−1 | ||||
| 11 | ITC | Kd = 120 ± 30 nM | V30M-TTR | [129] |
| 12 | ITC | Kd = 40 ± 19 nM | V30M-TTR | [129] |
| 13 | ITC | Kd = 66 ± 3.0 nM | V30M-TTR | [129] |
| 14 | ITC | Kd = 53 ± 16 nM | V30M-TTR | [129] |
| 15 | ITC | Kd = 42 ± 9.0 nM | V30M-TTR | [129] |
Disclaimer/Publisher’s Note: The statements, opinions and data contained in all publications are solely those of the individual author(s) and contributor(s) and not of MDPI and/or the editor(s). MDPI and/or the editor(s) disclaim responsibility for any injury to people or property resulting from any ideas, methods, instructions or products referred to in the content. |
© 2024 by the authors. Licensee MDPI, Basel, Switzerland. This article is an open access article distributed under the terms and conditions of the Creative Commons Attribution (CC BY) license (https://creativecommons.org/licenses/by/4.0/).
Share and Cite
Marotta, C.; Ciccone, L.; Orlandini, E.; Rossello, A.; Nencetti, S. A Snapshot of the Most Recent Transthyretin Stabilizers. Int. J. Mol. Sci. 2024, 25, 9969. https://doi.org/10.3390/ijms25189969
Marotta C, Ciccone L, Orlandini E, Rossello A, Nencetti S. A Snapshot of the Most Recent Transthyretin Stabilizers. International Journal of Molecular Sciences. 2024; 25(18):9969. https://doi.org/10.3390/ijms25189969
Chicago/Turabian StyleMarotta, Carlo, Lidia Ciccone, Elisabetta Orlandini, Armando Rossello, and Susanna Nencetti. 2024. "A Snapshot of the Most Recent Transthyretin Stabilizers" International Journal of Molecular Sciences 25, no. 18: 9969. https://doi.org/10.3390/ijms25189969
APA StyleMarotta, C., Ciccone, L., Orlandini, E., Rossello, A., & Nencetti, S. (2024). A Snapshot of the Most Recent Transthyretin Stabilizers. International Journal of Molecular Sciences, 25(18), 9969. https://doi.org/10.3390/ijms25189969

