The Role of Propionate-Induced Rearrangement of Membrane Proteins in the Formation of the Virulent Phenotype of Crohn’s Disease-Associated Adherent-Invasive Escherichia coli
Abstract
1. Introduction
2. Results and Discussion
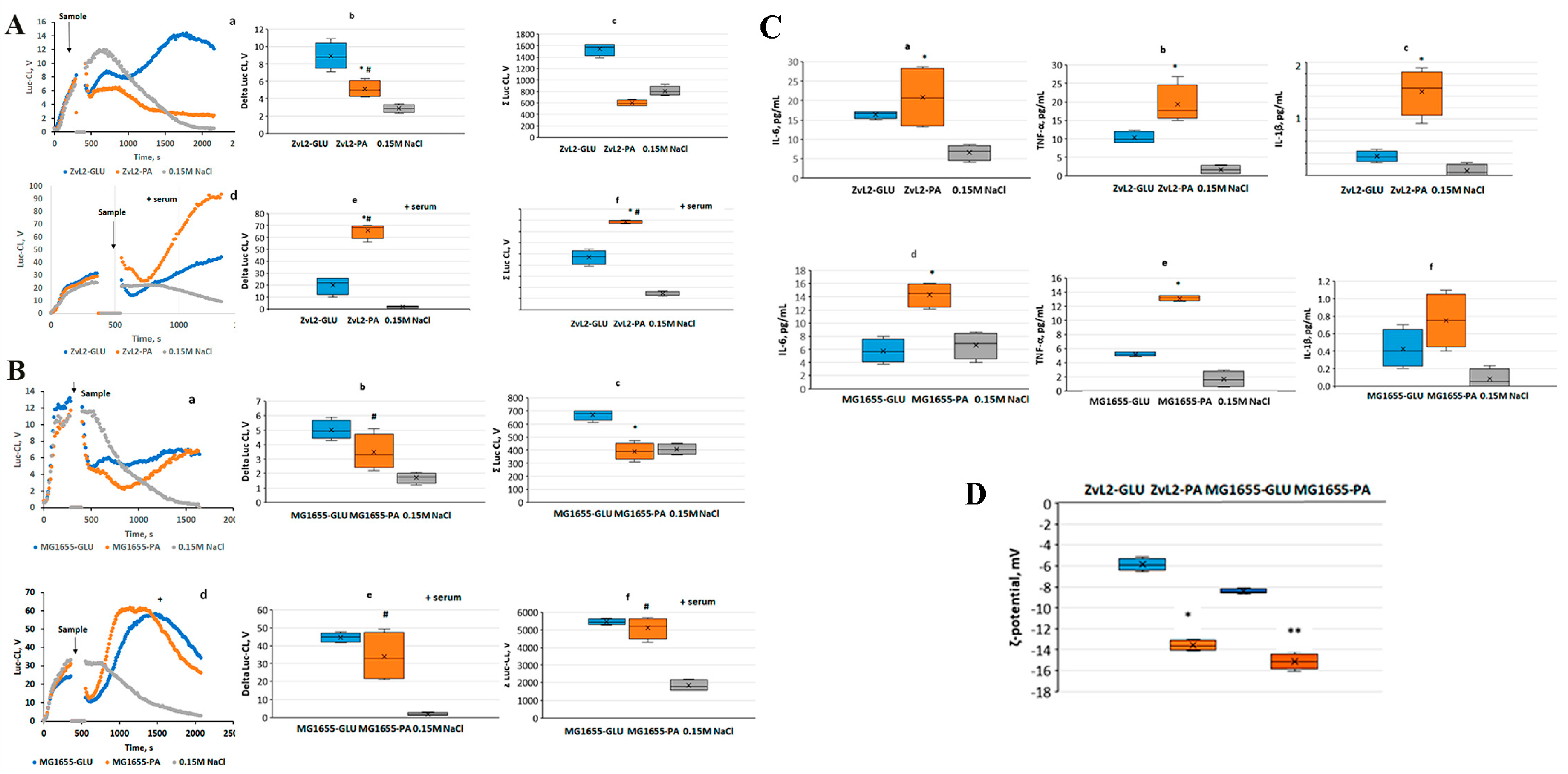
2.1. Kinetics of ROS Production by Isolated Human Blood Neutrophils upon Activation by a CD Isolate ZvL2 and a Laboratory Strain MG1655 without and in the Presence of Autologous Serum
2.2. Production of Cytokines TNF-α, IL-6, and IL-1β by Isolated Human Blood Neutrophils after Incubation with CD Isolate ZvL2 and Laboratory Strain MG1655 In Vitro and ζ-Potential
2.3. Comparative Proteomic Analysis of Membrane Fractions Isolated from the Cells of the CD Isolate ZvL2 and Laboratory Strain MG1655
2.3.1. 2D-DIGE Shown that PA Causes a Significant Rearrangement in the Abundance of Membrane Proteins Compared to Glucose for Both the CD Isolate ZvL2 and the Laboratory Strain MG1655
2.3.2. Protein Modifications of OmpA Porin, Particularly Isoforms and Unique Amino Acid Substitutions, May Play a Role in ROS and Cytokine Activation upon ZvL2-PA Interaction with Neutrophils
2.3.3. A Comparative LC-MS Analysis of Membrane Fractions Corroborated and Extended the Data Obtained through 2D-DIGE, Indicating That PA Induces Significant Changes in the Abundance of Membrane Proteins Compared to Glucose for Both the CD Isolate ZvL2 and the Laboratory Strain MG1655
PA Upregulates Envelope Stress Proteins in Both Strains
PA-Induced Changes in Regulator Protein Abundance Differ between CD Isolate and Laboratory Strain
PA Upregulates LPS Proteins Only in the CD Isolate ZvL2
PA Causes an Increase in the Abundance of Porin OmpA Only for the CD ZvL2 Isolate
PA Induces Changes in the Abundance of Transport and Iron Retention Proteins for Both the CD Isolate ZvL2 and the Laboratory Strain MG1655
3. Materials and Methods
3.1. Cell Cultures
3.2. Luc-CL and Cytokines
3.3. ζ-Potential Measurement
3.4. Isolation of Membrane Fraction
3.5. 2D-DIGE
3.6. Tryptic Digestion and Protein Identification
3.7. Fluorescent Staining of Phosphorylated Proteins
3.8. Free-Gel Digestion of Protein of Membrane Fractions
3.9. LC-MS Analysis
3.10. Protein Identification, Quantification, and Comparative Proteomic Profiling
3.11. Data Processing and Statistical Analysis
4. Conclusions
Supplementary Materials
Author Contributions
Funding
Institutional Review Board Statement
Informed Consent Statement
Data Availability Statement
Conflicts of Interest
References
- Boudeau, J.; Glasser, A.L.; Masseret, E.; Joly, B.; Darfeuille-Michaud, A. Invasive ability of Escherichia coli strains isolated from ileal mucosa in Crohn’s disease. Infect. Immun. 1999, 67, 4499–4509. [Google Scholar] [CrossRef] [PubMed]
- Darfeuille-Michaud, A.; Boudeau, J.; Bulois, P.; Neut, C.; Glasser, A.L.; Barnic, N.; Bringer, M.A.; Swidsinski, A.; Beaugerie, L.; Colombel, J.F. High prevalence of adherent-invasive Escherichia coli associated with ileal mucosa in Crohn’s disease. Gastroenterology 2004, 127, 412–421. [Google Scholar] [CrossRef] [PubMed]
- Dunne, K.A.; Allam, A.; McIntosh, A.; Houston, S.A.; Cerovic, V.; Goodyear, C.S.; Roe, A.J.; Scott ABeatson, S.A.; Milling, S.W.; Walker, D.; et al. Increased S-nitrosylation and proteasomal degradation of caspase-3 during infection contribute to the persistence of adherent invasive Escherichia coli (AIEC) in immune cells. PLoS ONE 2013, 8, e68386. [Google Scholar] [CrossRef]
- Leccese, G.; Chiara, M.; Dusetti, I.; Noviello, D.; Billard, E.; Bibi, A.; Conte, G.; Consolandi, C.; Vecchi, M.; Conte, M.P.; et al. AIEC-dependent pathogenic Th17 cell transdifferentiation in Crohn’s disease is suppressed by rfaP and ybaT deletion. Gut Microbes 2024, 16, 2380064. [Google Scholar] [CrossRef]
- Nash, J.H.; Villegas, A.; Kropinski, A.M.; Aguilar-Valenzuela, R.; Konczy, P.; Mascarenhas, M.; Ziebell, K.; Torres, A.G.; Karmali, M.A.; Coombes, B.K. Genome sequence of adherent-invasive Escherichia coli and comparative genomic analysis with other E. coli pathotypes. BMC Genomics. 2010, 11, 667. [Google Scholar] [CrossRef]
- Schippa, S.; Iebba, V.; Totino, V.; Santangelo, F.; Lepanto, M.; Alessandri, C.; Nuti, F.; Viola, F.; Di Nardo, G.; Cucchiara, S.; et al. A potential role of Escherichia coli pathobionts in the pathogenesis of pediatric inflammatory bowel disease. Can. J. Microbiol. 2012, 58, 426–432. [Google Scholar] [CrossRef] [PubMed]
- Conte, M.P.; Longhi, C.; Marazzato, M.; Conte, A.L.; Aleandri, M.; Lepanto, M.S.; Zagaglia, C.; Nicoletti, M.; Aloi, M.; Totino, V.; et al. Adherent-invasive Escherichia coli (AIEC) in pediatric Crohn’s disease patients: Phenotypic and genetic pathogenic features. BMC Res. Notes 2014, 7, 748. [Google Scholar] [CrossRef]
- Hornef, M. Pathogens, commensal symbionts, and pathobionts: Discovery and functional effects on the host. Ilar. J. 2015, 56, 159–162. [Google Scholar] [CrossRef]
- Camprubí-Font, C.; Martinez-Medina, M. Why the discovery of adherent-invasive Escherichia coli molecular markers is so challenging? World J. Biol. Chem. 2020, 11, 1–13. [Google Scholar] [CrossRef]
- Rakitina, D.V.; Manolov, A.I.; Kanygina, A.V.; Garushyants, S.K.; Baikova, J.P.; Alexeev, D.G.; Ladygina, V.G.; Kostryukova, E.S.; Larin, A.K.; Semashko, T.A.; et al. Genome analysis of E. coli isolated from Crohn’s disease patients. BMC Genomics. 2017, 18, 544. [Google Scholar] [CrossRef]
- Martinez-Medina, M.; Barnich, N.; Wieler, L.H.; Ewers, C. Adherent-Invasive Escherichia coli Phenotype Displayed by Intestinal Pathogenic E. coli Strains from Cats, Dogs, and Swine. Appl. Environ. Microbiol. 2011, 77, 5813–5817. [Google Scholar] [CrossRef] [PubMed]
- Camprubí-Font, C.; Ewers, C.; Lopez-Siles, M.; Martinez-Medina, M. Genetic and Phenotypic Features to Screen for Putative Adherent-Invasive Escherichia coli. Front. Microbiol. 2019, 10, 108. [Google Scholar] [CrossRef]
- Vazeille, E.; Chassaing, B.; Buisson, A.; Dubois, A.; de Vallée, A.; Billard, E.; Neut, C.; Bommelaer, G.; Colombel, J.F.; Barnich, N.; et al. GipA Factor Supports Colonization of Peyer’s Patches by Crohn’s Disease-associated Escherichia Coli. Inflamm. Bowel Dis. 2016, 22, 68–81. [Google Scholar] [CrossRef] [PubMed]
- Dogan, B.; Belcher-Timme, H.F.; Dogan, E.I.; Jiang, Z.D.; DuPont, H.L.; Snyder, N.; Yang, S.; Chandler, B.; Scherl, E.J.; Simpson, K.W. Evaluation of Escherichia coli pathotypes associated with irritable bowel syndrome. FEMS Microbiol. Lett. 2018, 365, fny249. [Google Scholar] [CrossRef] [PubMed]
- Céspedes, S.; Saitz, W.; Del Canto, F.; De la Fuente, M.; Quera, R.; Hermoso, M.; Muñoz, R.; Ginard, D.; Khorrami, S.; Girón, J.; et al. Genetic Diversity and Virulence Determinants of Escherichia coli Strains Isolated from Patients with Crohn’s Disease in Spain and Chile. Front. Microbiol. 2017, 8, 639. [Google Scholar] [CrossRef] [PubMed]
- Dogan, B.; Suzuki, H.; Herlekar, D.; Sartor, R.B.; Campbell, B.J.; Roberts, C.L.; Stewart, K.; Scherl, E.J.; Araz, Y.; Bitar, P.P.; et al. Inflammation-associated adherent-invasive Escherichia coli are enriched in pathways for use of propanediol and iron and M-cell translocation. Inflamm. Bowel Dis. 2014, 20, 1919–1932. [Google Scholar] [CrossRef]
- Barnich, N.; Carvalho, F.A.; Glasser, A.L.; Darcha, C.; Jantschef, P.; Allez, M.; Peeters, H.; Bommelaer, G.; Desreumaux, P.; Colombel, J.F.; et al. CEACAM6 acts as a receptor for adherent-invasive E. coli, supporting ileal mucosa colonization in Crohn disease. J. Clin. Invest. 2007, 117, 1566–1574. [Google Scholar] [CrossRef]
- Rolhion, N.; Barnich, N.; Bringer, M.-A.; Glasser, A.-L.; Ranc, J.; Hébuterne, X.; Hofman, P.; Darfeuille-Michaud, A. Abnormally expressed ER stress response chaperone Gp96 in CD favours adherent-invasive Escherichia coli invasion. Gut 2010, 9, 1355–1362. [Google Scholar] [CrossRef]
- Low, D.; Tran, H.T.; Lee In-Ah Dreux, N.; Reinecker, H.-C.; Darfeuille-Michaud, A.; Barnich, N.; Mizoguchi, E. Chitin-binding domains of Escherichia coli ChiA mediate interactions with intestinal epithelial cells in mice with colitis. Gastroenterology 2013, 145, 602–612. [Google Scholar] [CrossRef]
- Martinez-Medina, M.; Garcia-Gil, L.J. Escherichia coli in chronic inflammatory bowel diseases: An update on adherent invasive Escherichia coli pathogenicity. World J. Gastrointest. Pathophysiol. 2014, 5, 213. [Google Scholar] [CrossRef]
- Barnich, N.; Boudeau, J.; Claret, L.; Darfeuille-Michaud, A. Regulatory and functional co-operation of flagella and type 1 pili in adhesive and invasive abilities of AIEC strain LF82 isolated from a patient with Crohn’s disease. Mol. Microbiol. 2003, 48, 781–794. [Google Scholar] [CrossRef] [PubMed]
- Carvalho, F.A.; Barnich, N.; Sauvanet, P.; Darcha, C.; Gelot, A.; Darfeuille-Michaud, A. Crohn’s disease-associated Escherichia coli LF82 aggravates colitis in injured mouse colon via signaling by flagellin. Inflamm. Bowel Dis. 2008, 14, 1051–1060. [Google Scholar] [CrossRef]
- Pobeguts, O.V.; Ladygina, V.G.; Evsyutina, D.V.; Eremeev, A.V.; Zubov, A.I.; Matyushkina, D.S.; Scherbakov, P.L.; Rakitina, D.V.; Fisunov, G.Y. Propionate Induces Virulent Properties of Crohn’s Disease-Associated Escherichia coli. Front. Microbiol. 2020, 11, 1460. [Google Scholar] [CrossRef]
- Cieza, R.J.; Hu, J.; Ross, B.N.; Sbrana, E.; Torres, A.G. The IbeA invasin of adherent-invasive Escherichia coli mediates nteraction with intestinal epithelia and macrophages. Infect. Immun. 2015, 83, 1904–1918. [Google Scholar] [CrossRef]
- Stecher, B. The Roles of Inflammation, Nutrient Availability and the Commensal Microbiota in Enteric Pathogen Infection. Microbiol. Spectr. 2015, 3, 1–17. [Google Scholar] [CrossRef]
- Staib, L.; Fuchs, T.M. From food to cell: Nutrient exploitation strategies of enteropathogens. Microbiology 2014, 160, 1020–1039. [Google Scholar] [CrossRef] [PubMed]
- Ferreyra, J.A.; Ng, K.M.; Sonnenburg, J.L. The enteric two-step: Nutritional strategies of bacterial pathogens within the gut. Cell Microbiol. 2014, 16, 993–1003. [Google Scholar] [CrossRef]
- Ormsby, M.J.; Logan, M.; Johnson, S.A.; McIntosh, A.; Fallata, G.; Papadopoulou, R.; Papachristou, E.; Hold, G.L.; Hansen, R.; Ijaz, U.Z.; et al. Inflammation associated ethanolamine facilitates infection by Crohn’s disease-linked adherent-invasive Escherichia Coli. EBioMedicine 2019, 43, 325–332. [Google Scholar] [CrossRef] [PubMed]
- Therrien, A.; Chapuy, L.; Bsat, M.; Rubio, M.; Bernard, G.; Arslanian, E.; Orlicka, K.; Weber, A.; Panzini, B.P.; Dorais, J.; et al. Recruitment of activated neutrophils correlates with disease severity in adult Crohn’s disease. Clin. Exp. Immunol. 2019, 195, 251–264. [Google Scholar] [CrossRef] [PubMed]
- Kuroki, M.; Abe, H.; Imakiirei, T.; Liao, S.; Uchida, H.; Yamauchi, Y.; Oikawa, S.; Kuroki, M. Identification and comparison of residues critical for cell-adhesion activities of two neutrophil CD66 antigens, CEACAM6 and CEACAM8. J. Leukoc. Biol. 2001, 70, 543–550. [Google Scholar] [CrossRef]
- Hoffmann, J.J. Neutrophil CD64: A diagnostic marker for infection and sepsis. Clin. Chem. Lab. Med. 2009, 47, 903–916. [Google Scholar] [CrossRef] [PubMed]
- Yang, J.-N.; Wang, C.; Guo, C.; Peng, X.-X.; Lee, H. Outer membrane proteome and its regulatory network in response to changes in glucose concentration in Escherichia coli. Mol. Biosist. 2011, 7, 3087–3093. [Google Scholar] [CrossRef] [PubMed]
- Hirakawa, H.; Suzue, K.; Takita, A.; Kamitani, W.; Tomita, H. The role of OmpX, an outer membrane protein, in virulence and flagellar expression in uropathogenic Escherichia coli. Infect. Immun. 2021, 89, e00721-20. [Google Scholar] [CrossRef] [PubMed]
- van Teeffelen, S.; Wang, S.; Furchtgott, L.; Huang, K.C.; Wingreen, N.S.; Shaevitz, J.W.; Gitai, Z. The bacterial actin MreB rotates, and rotation depends on cell-wall assembly. Proc. Natl. Acad. Sci. USA 2011, 108, 15822–15827. [Google Scholar] [CrossRef] [PubMed]
- Harvey, K.L.; Jarocki, V.M.; Charles, I.G.; Djordjevic, S.P. The Diverse Functional Roles of Elongation Factor Tu (EF-Tu) in Microbial Pathogenesis. Front. Microbiol. 2019, 10, 2351. [Google Scholar] [CrossRef]
- Mikhalchik, E.; Balabushevich, N.; Vakhrusheva, T.; Sokolov, A.; Baykova, J.; Rakitina, D.; Scherbakov, P.; Gusev, S.; Gusev, A.; Kharaeva, Z.; et al. Mucin adsorbed by E. coli can affect neutrophil activation in vitro. FEBS Open Bio. 2020, 10, 180–196. [Google Scholar] [CrossRef]
- Butland, G.; Peregrin-Alvarez, J.M.; Li, J.; Yang, W.; Yang, X.; Canadien, V.; Starostine, A.; Richards, D.; Beattie, B.; Krogan, N.; et al. Interaction network containing conserved and essential protein complexes in Escherichia coli. Nature 2005, 433, 531–537. [Google Scholar] [CrossRef]
- Defeu Soufo, H.J.; Reimold, C.; Breddermann, H.; Mannherz, H.G.; Graumann, P.L. Translation elongation factor EF-Tu modulates filament formation of actin-like MreB protein in vitro. J. Mol. Biol. 2015, 427, 1715–1727. [Google Scholar] [CrossRef][Green Version]
- Haslbeck, M.; Vierling, E. A first line of stress defense: Small heat shock proteins and their function in protein homeostasis. J. Mol. Biol. 2015, 427, 1537–1548. [Google Scholar] [CrossRef]
- Santos, T.M.; Lin, T.Y.; Rajendran, M.; Anderson, S.M.; Weibel, D.B. Polar localization of Escherichia coli chemoreceptors requires an intact Tol-Pal complex. Mol. Microbiol. 2014, 92, 985–1004. [Google Scholar] [CrossRef]
- Raetz, C.R.; Purcell, S.; Meyer, M.V.; Qureshi, N.; Takayama, K. Isolation and characterization of eight A precursors from a 3-deoxy-D-manno-octylosonic acis-deficient mutant of Salmonella typhimurium. J. Biol. Chem. 1985, 260, 16080–16088. [Google Scholar] [CrossRef] [PubMed]
- Lai, E.-M.; Nair, U.; Phadke, N.D.; Maddock, J.R. Proteomic screening and identification of differentially distributed membrane proteins in Escherichia coli. Mol. Microbiol. 2004, 52, 1029–1044. [Google Scholar] [CrossRef] [PubMed]
- Liao, C.; Liang, X.; Yang, F.; Soupir, M.L.; Howe, A.C.; Thompson, M.L.; Jarboe, L.R. Allelic Variation in Outer Membrane Protein A and Its Influence on Attachment of Escherichia coli to Corn Stover. Front. Microbiol. 2017, 8, 708. [Google Scholar] [CrossRef] [PubMed]
- Zakharian, E.; Reusch, R.N. Kinetics of folding of Escherichia coli OmpA from narrow to large pore conformation in a planar bilayer. Biochemistry 2005, 44, 6701–6707. [Google Scholar] [CrossRef] [PubMed]
- Gophna, U.; Ideses, D.; Rosen, R.; Grundland, A.; Ron, E.Z. OmpA of a septicemic Escherichia coli O78 secretion and convergent evolution. Int. J. Med. Microbiol. 2004, 294, 373–381. [Google Scholar] [CrossRef]
- van Alphen, W.; Lugtenberg, B. Influence of osmolarity of the growth medium on the outer membrane protein pattern of Escherichia coli. J. Bacteriol. 1977, 131, 623–630. [Google Scholar] [CrossRef]
- Shin, S.; Park, C. Modulation of flagellar expression in Escherichia coli by acetyl phosphate and the osmoregulator OmpR. J. Bacteriol. 1995, 177, 4696–4702. [Google Scholar] [CrossRef]
- Gerstel, U.; Park, C.; Romling, U. Complex regulation of csgD promoter activity by global regulatory proteins. Mol. Microbiol. 2003, 49, 639–654. [Google Scholar] [CrossRef]
- Prigent-Combaret, C.; Brombacher, E.; Vidal, O.; Ambert, A.; Lejeune, P.; Landini, P.; Dorel, C. Complex Regulatory Network Controls Initial Adhesion and Biofilm Formation in Escherichia coli via Regulation of the csgD Gene. J. Bacteriol. 2001, 183, 7213–7223. [Google Scholar] [CrossRef]
- Vidal, O.; Longin, R.; Prigent-Combaret, C.; Dorel, C.; Hooreman, M.; Lejeune, P. Isolation of an Escherichia coli K-12 mutant strain able to form biofilms on inert surfaces: Involvement of a new ompR allele that increases curli expression. J. Bacteriol. 1998, 180, 2442–2449. [Google Scholar] [CrossRef]
- Cho, T.H.C.; Wang, J.; Tracy, L.; Raivio, T.L. NlpE is an OmpA-associated outer membrane sensor of the Cpx 11 envelope stress response. J. Bacteriol. 2023, 205, e00407-22. [Google Scholar] [CrossRef] [PubMed]
- Shimizu, T.; Ichimura, K.; Noda, M. The Surface Sensor NlpE of Enterohemorrhagic Escherichia coli Contributes to Regulation of the Type III Secretion System and Flagella by the Cpx Response to Adhesion. Infect. Immun. 2015, 84, 537–549. [Google Scholar] [CrossRef]
- Dalebroux, Z.D.; Edrozo, M.B.; Pfuetzner, R.A.; Ressl, S.; Kulasekara, B.R.; Blanc, M.-P.; Miller, S.I. Delivery of cardiolipins to the Salmonella outer membrane is necessary for survival within host tissues and virulence. Cell Host Microbe. 2015, 17, 441–451. [Google Scholar] [CrossRef] [PubMed]
- Haraga, A.; Ohlson, M.B.; Miller, S.I. Salmonellae interplay with host cells. Nat. Rev. Microbiol. 2008, 6, 53–66. [Google Scholar] [CrossRef]
- Stout, V. Regulation of capsule synthesis includes interactions of the RcsC/RcsB regulatory pair. Res. Microbiol. 1994, 145, 389–392. [Google Scholar] [CrossRef] [PubMed]
- Castanie-Cornet, M.-P.; Cam, K.; Jacq, A. RcsF is an outer membrane lipoprotein involved in the RcsCDB phosphorelay signaling pathway in Escherichia coli. J. Bacteriol. 2006, 188, 4264–4270. [Google Scholar] [CrossRef]
- Nystrom, T.; Larsson, C.; Gustafsson, L. Bacterial defense against aging: Role of the Escherichia coli ArcA regulator in gene expression, readjusted energy flux and survival during stasis. Embo J. 1996, 15, 3219–3228. [Google Scholar] [CrossRef]
- Liu, X.; De Wulf, P. Probing the ArcA-P modulon of Escherichia coli by whole genome transcriptional analysis and sequence recognition profiling. J. Biol. Chem. 2004, 279, 12588–12597. [Google Scholar] [CrossRef]
- Loui, C.; Chang, A.C.; Lu, S. Role of the ArcAB two-component system in the resistance of Escherichia coli to reactive oxygen stress. BMC Microbiol. 2009, 9, 183. [Google Scholar] [CrossRef]
- Valvano, M.A. Remodelling of the Gram-negative bacterial Kdo2-lipid A and its functional implications. Microbiology 2022, 168, 001159. [Google Scholar] [CrossRef]
- Panda, G.; Dash, S.; Sahu, S.K. Harnessing the Role of Bacterial Plasma Membrane Modifications for the Development of Sustainable Membranotropic Phytotherapeutics. Membranes 2022, 12, 914. [Google Scholar] [CrossRef] [PubMed]
- Kang, K.N.; Klein, D.R.; Kazi, M.I.; Guerin, F.; Cattoir, V.; Brodbelt, J.S.; Boll, J.M. Colistin heteroresistance in Enterobacter cloacae is regulated by PhoPQ-dependent 4-amino-4-deoxy-l-arabinose addition to lipid A. Mol. Microbiol. 2019, 111, 1604–1616. [Google Scholar] [CrossRef] [PubMed]
- MacRae, M.R.; Puvanendran, D.; Haase, M.A.B.; Coudray, N.; Kolich, L.; Lam, J.; Baek, M.; Bhabha, G.; Ekiert, D.C. Protein-protein interactions in the Mla lipid transport system probed by computational structure prediction and deep mutational scanning. J. Biol. Chem. 2023, 24, 104744. [Google Scholar] [CrossRef]
- De Lay, N.R.; Cronan, J.E. Genetic interaction between the Escherichia coli AcpT phosphopantetheinyl transferase and the YejM inner membrane protein. Genetics 2008, 178, 1327–1337. [Google Scholar] [CrossRef][Green Version]
- Chervy, M.; Barnich, N.; Denizot, J. Adherent-Invasive E. coli: Update on the Lifestyle of a Troublemaker in Crohn’s Disease. Int. J. Mol. Sci. 2020, 21, 3734. [Google Scholar] [CrossRef] [PubMed]
- Cho, S.-H.; Dekoninck, K.; Collet, J.-F. Envelope-Stress Sensing Mechanism of Rcs and Cpx Signaling Pathways in Gram-Negative Bacteria. J. Microbiol. 2023, 61, 317–329. [Google Scholar] [CrossRef]
- Lach, S.R.; Kumar, S.; Kim, S.; Im, W.; Konovalova, A. Conformational rearrangements in the sensory RcsF/OMP complex mediate signal transduction across the bacterial cell envelope. PLoS Genetics. 2023, 19, e1010601. [Google Scholar] [CrossRef]
- Francez-Charlot, A.; Laugel, B.; Van Gemert, A.; Dubarry, N.; Wiorowski, F.; Castanié-Cornet, M.-P.; Gutierrez, C.; Cam, K. RcsCDB His-Asp phosphorelay system negatively regulates the flhDC operon in Escherichia coli. Mol. Microbiol. 2003, 49, 823–832. [Google Scholar] [CrossRef] [PubMed]
- Dalebroux, Z.D.; Miller, S.I. Salmonellae PhoPQ regulation of the outer membrane to resist innate immunity. Curr. Opin. Microbiol. 2014, 17, 106–113. [Google Scholar] [CrossRef]
- Dalebroux, Z.D.; Matamouros, S.; Whittington, D.; Bishop, R.E.; Miller, S.I. PhoPQ regulates acidic glycerophospholipid content of the Salmonella Typhimurium outer membrane. Proc. Natl. Acad. Sci. USA 2014, 111, 1963–1968. [Google Scholar] [CrossRef]
- Raetz, C.R.H.; Whitfield, C. Lipopolysaccharide endotoxins. Annu. Rev. Biochem. 2002, 71, 635–700. [Google Scholar] [CrossRef] [PubMed]
- Dolan, S.K.; Wijaya, A.; Geddis, S.M.; Spring, D.R.; Silva-Rocha, R.; Welch, M. Loving the poison: The methylcitrate cycle and bacterial pathogenesis. Microbiology 2018, 164, 251–259. [Google Scholar] [CrossRef] [PubMed]
- Wang, Y. The function of OmpA in Escherichia coli. Biochem. Biophys. Res. Commun. 2002, 292, 396–401. [Google Scholar] [CrossRef]
- Prasadarao, N.V.; Blom, A.M.; Villoutreix, B.O.; Linsangan, L.S. A novel interaction of outer membrane protein A with C4b binding protein mediates serum resistance of Escherichia coli K1. J. Immunol. 2002, 169, 6352–6360. [Google Scholar] [CrossRef] [PubMed]
- Sukumaran, S.K.; Selvaraj, S.K.; Prasadarao, N.V. Inhibition of apoptosis by Escherichia coli K1 is accompanied by increased expression of BclXL and blockade of mitochondrial cytochrome c release in macrophages. Infect. Immun. 2004, 72, 6012–6022. [Google Scholar] [CrossRef] [PubMed]
- Orme, R.; Douglas, C.W.I.; Rimmer, S.; Webb, M. Proteomic analysis of Escherichia coli biofilms reveals the overexpression of the outer membrane protein OmpA. Proteomics 2006, 6, 4269–4277. [Google Scholar] [CrossRef]
- Hellman, J.; Loiselle, P.M.; Tehan, M.M.; Allaire, J.E.; Boyle, L.A.; Kurnick, J.T.; Andrews, D.M.; Sik Kim, K.; Warren, H.S. Outer membrane protein A, peptidoglycan-associated lipoprotein, and murein lipoprotein are released by Escherichia coli bacteria into serum. Infect. Immun. 2000, 68, 2566–2572. [Google Scholar] [CrossRef]
- Sultan, A.; Jers, C.; Ganief, T.A.; Shi, L.; Senissar, M.; Køhler, J.B.; Macek, D.; Mijakovic, I. Phosphoproteome Study of Escherichia coli Devoid of Ser/Thr Kinase YeaG During the Metabolic Shift From Glucose to Malate. Front. Microbiol. 2021, 12, 657562. [Google Scholar] [CrossRef] [PubMed]
- Tang, H.; Zhan, Z.; Zhang, Y.; Huang, X. Propionylation of lysine, a new mechanism of short-chain fatty acids affecting bacterial virulence. Am. J. Transl. Res. 2022, 14, 5773–5784. [Google Scholar]
- Shevchenko, A.; Wilm, M.; Vorm, O.; Mann, M. Mass spectrometric sequencing of proteins silver-stained polyacrylamide gels. Anal. Chem. 1996, 68, 850–858. [Google Scholar] [CrossRef]








| (A) | |||
| Protein ID | Protein | Score | ZvL2-PA/ZvL2-GLU |
| Porins | |||
| P0A910 | Porin OmpA, isoform 1 Porin OmpA, isoform 2 | 158 162 | 10.14 ± 1.32 11.13 ± 1.45 |
| P0A915 | Porin OmpW | 44 | 8.45 ± 1.10 |
| P02931 | Porin OmpF | 110 | 6.15 ± 0.80 |
| Transport | |||
| P02943 | Maltose-inducible porin LamB | 77 | 6.43 ± 0.84 |
| P10384 | Outer membrane protein Fadl | 80 | 3.97 ± 0.52 |
| P02930 | Outer membrane protein TolC | 2.84 ± 0.37 | |
| P69797 | Mannose transprter ManX | 153 | 2.31 ± 0.30 |
| P10346 | glutamine ABC transporter ATP-binding protein GlnQ | 91 | 3.05 ± 0.40 |
| Biosynthesis and binding of the siderophore enterobactin | |||
| P0ADI4 | Enterochelin synthase component B EntB | 179 | 4.45 ± 0.58 |
| P10378 | Enterochelin synthase component E EntE | 108 | 2.66 ± 0.351 |
| P05825 | Enterobactin outer-membrane receptor FepA | 141 | 3.26 ± 0.42 |
| Cell division | |||
| P0ABH0 | Cell division protein FtsA | 101 | 2.62 ± 0.34 |
| P0A9X4 | Rod shape-determining protein MreB | 133 | 3.13 ± 0.40 |
| Lipopolysaccharides biosynthesis | |||
| P24174 | Mannose-1-phosphate guanylyltransferase ManC | 14 | 10.34 ± 1.24 |
| P0A715 | 2-dehydro-3-deoxyphosphooctonate aldolase KdsA | 79 | 7.18 ± 0.93 |
| P45395 | arabinose 5-phosphate isomerase KdsD | 49 | 3.30 ± 0.43 |
| P0AEP3 | UTP-glucose-1-phosphate uridylyltransferase GalU | 68 | 2.99 ± 0.39 |
| ATP- synthase | |||
| P0ABB0 | ATP F0F1 synthase subunit alpha AtpA | 211 | 1.91 ± 0.25 |
| P0ABB4 | ATP F0F1 synthase subunit beta AtpB | 108 | 1.75 ± 0.23 |
| Elongation factors | |||
| P0CE47 | elongation factor Tuf | 194 | 10.14 ± 1.32 |
| Protein kinase | |||
| P0ACY3 | serine/threonine protein kinase YeaG | 3.26 ± 0.42 | |
| Diacylation of substrates | |||
| P23908 | acetylornithine deacetylase ArgE | 105 | 1.90 ± 0.26 |
| Catabolism of short chain fatty acids | |||
| P36683 | Aconitate hydratase B AcnB | 265 | 12.40 ± 1.61 |
| Reversible interconversion of acetyl-CoA and acetyl phosphate | |||
| P0A9M8 | phosphate acetyltransferase Pta | 53 | 1.85 ± 0.24 |
| Pyruvate metabolism | |||
| P09373 | Formate acetyltransferase PflB | 158 | 6.34 ± 0.82 |
| Chaperones | |||
| P0C054 | Heat Shock Protein IbpA | 80 | 8.97 ± 1.16 |
| P0C058 | Heat Shock Protein IbpB | 55 | 3.98 ± 0.44 |
| Peptidoglycan recycling | |||
| P77570 | Anhydro-N-acetylmuramic acid kinase AnmK | 80 | 1.35 ± 0.18 |
| (B) | |||
| Gene | Protein | Score | ZvL2- PA/ZvL2 Glu |
| Membrane protein | |||
| P0A9101 | Porin OmpA | 168 | 0.074 ± 0.01 |
| P0A917 | Outer membrane protein X precursor OmpX | 89 | 0.26 ± 0.03 |
| Amino acid biosynthesis | |||
| P2566 | 5-methyltetrahydropteroyltriglutamate homocysteine methyltransferase MetE | 192 | 0.78 ± 0.10 |
| P00904 | Bifunctional Protein TrpGD | 52 | 0.65 ± 0.08 |
| P0A912 | peptidoglycan-associated outer membrane lipoprotein Pal | 46 | 0.34 ± 0.04 |
| P0ABT2 | DNA starvation/stationary phase protection protein Dps | 56 | 0.42 ± 0.05 |
| (A) | |||
| Gene | Protein | Score | MG1655- PA/MG1655-GLU |
| Porins | |||
| P0A915 | Porin OmpW | 45 | 3.99 ± 0.52 |
| P02931 | Porin OmpF | 65 | 3.21 ± 0.38 |
| Transport | |||
| P02943 | Maltose-inducible porin LamB | 78 | 3.43 ± 0.44 |
| P10384 | Outer membrane protein Fadl | 80 | 3.14 ± 0.47 |
| P02930 | Outer membrane protein TolC | 55 | 2.82 ± 0.33 |
| P10346 | glutamine ABC transporter ATP-binding protein GlnQ | 91 | 2.17 ± 0.17 |
| Biosynthesis and binding of the siderophore enterobactin | |||
| P0ADI4 | Enterochelin synthase component B EntB | 124 | 6.89 ± 0.55 |
| P10378 | Enterochelin synthase component E EntE | 98 | 2.18 ± 0.28 |
| P05825 | Enterobactin outer-membrane receptor FepA | 208 | 2.53 ± 0.30 |
| Cell division | |||
| P0A9X4 | Rod shape-determining protein MreB | 44 | 5.57 ± 0.50 |
| Lipopolysaccharides biosynthesis | |||
| P0AEP3 | UTP–glucose-1-phosphate uridylyltransferase GalU | 68 | 4.54 ± 0.44 |
| ATP-synthase | |||
| P0ABB0 | ATP F0F1 synthase subunit alpha AtpA | 211 | 1.99 ± 0.23 |
| P0ABB4 | ATP F0F1 synthase subunit beta AtpB | 190 | 1.88 ± 0.22 |
| Elongation factors | |||
| P0CE47 | elongation factor Tuf | 194 | 8.44 ± 0.68 |
| Protein kinase | |||
| P0ACY3 | serine/threonine protein kinase YeaG | 65 | 3.17 ± 0.42 |
| Catabolism of short chain fatty acids | |||
| P36683 | Aconitate hydratase B AcnB | 265 | 5.23 ± 0.49 |
| Pyruvate metabolism | |||
| P09373 | Formate acetyltransferase PflB | 174 | 6.33 ± 0.56 |
| Chaperones | |||
| P0C054 | Heat Shock Protein IbpA | 80 | 4.19 ± 0.50 |
| P0C058 | Heat Shock Protein IbpB | 44 | 1.99 ± 0.20 |
| (B) | |||
| Gene | Protein | Score | MG1655-PA/MG1655-GLU |
| Membrane proteins | |||
| P0A910 | Porin OmpA, isoform 1 Porin OmpA, isoform 6 | 130 129 | 0.57 ± 0.07 0.03 ± 0.01 |
| P34210 | Outer membrane protein X precursor OmpX | 89 | 0.43 ± 0.06 |
| Amino acid biosynthesis | |||
| P25665 | 5-methyltetrahydropteroyltriglutamate homocysteine methyltransferase MetE | 192 | 0.58 ± 0.10 |
| P0ADE6 | K(+) binding protein Kbp | 149 | 0.17 ± 0.02 |
Disclaimer/Publisher’s Note: The statements, opinions and data contained in all publications are solely those of the individual author(s) and contributor(s) and not of MDPI and/or the editor(s). MDPI and/or the editor(s) disclaim responsibility for any injury to people or property resulting from any ideas, methods, instructions or products referred to in the content. |
© 2024 by the authors. Licensee MDPI, Basel, Switzerland. This article is an open access article distributed under the terms and conditions of the Creative Commons Attribution (CC BY) license (https://creativecommons.org/licenses/by/4.0/).
Share and Cite
Pobeguts, O.V.; Galyamina, M.A.; Mikhalchik, E.V.; Kovalchuk, S.I.; Smirnov, I.P.; Lee, A.V.; Filatova, L.Y.; Sikamov, K.V.; Panasenko, O.M.; Gorbachev, A.Y. The Role of Propionate-Induced Rearrangement of Membrane Proteins in the Formation of the Virulent Phenotype of Crohn’s Disease-Associated Adherent-Invasive Escherichia coli. Int. J. Mol. Sci. 2024, 25, 10118. https://doi.org/10.3390/ijms251810118
Pobeguts OV, Galyamina MA, Mikhalchik EV, Kovalchuk SI, Smirnov IP, Lee AV, Filatova LY, Sikamov KV, Panasenko OM, Gorbachev AY. The Role of Propionate-Induced Rearrangement of Membrane Proteins in the Formation of the Virulent Phenotype of Crohn’s Disease-Associated Adherent-Invasive Escherichia coli. International Journal of Molecular Sciences. 2024; 25(18):10118. https://doi.org/10.3390/ijms251810118
Chicago/Turabian StylePobeguts, Olga V., Maria A. Galyamina, Elena V. Mikhalchik, Sergey I. Kovalchuk, Igor P. Smirnov, Alena V. Lee, Lyubov Yu. Filatova, Kirill V. Sikamov, Oleg M. Panasenko, and Alexey Yu. Gorbachev. 2024. "The Role of Propionate-Induced Rearrangement of Membrane Proteins in the Formation of the Virulent Phenotype of Crohn’s Disease-Associated Adherent-Invasive Escherichia coli" International Journal of Molecular Sciences 25, no. 18: 10118. https://doi.org/10.3390/ijms251810118
APA StylePobeguts, O. V., Galyamina, M. A., Mikhalchik, E. V., Kovalchuk, S. I., Smirnov, I. P., Lee, A. V., Filatova, L. Y., Sikamov, K. V., Panasenko, O. M., & Gorbachev, A. Y. (2024). The Role of Propionate-Induced Rearrangement of Membrane Proteins in the Formation of the Virulent Phenotype of Crohn’s Disease-Associated Adherent-Invasive Escherichia coli. International Journal of Molecular Sciences, 25(18), 10118. https://doi.org/10.3390/ijms251810118

