Short Communication: Novel Di- and Triselenoesters as Effective Therapeutic Agents Inhibiting Multidrug Resistance Proteins in Breast Cancer Cells
Abstract
1. Introduction
2. Results
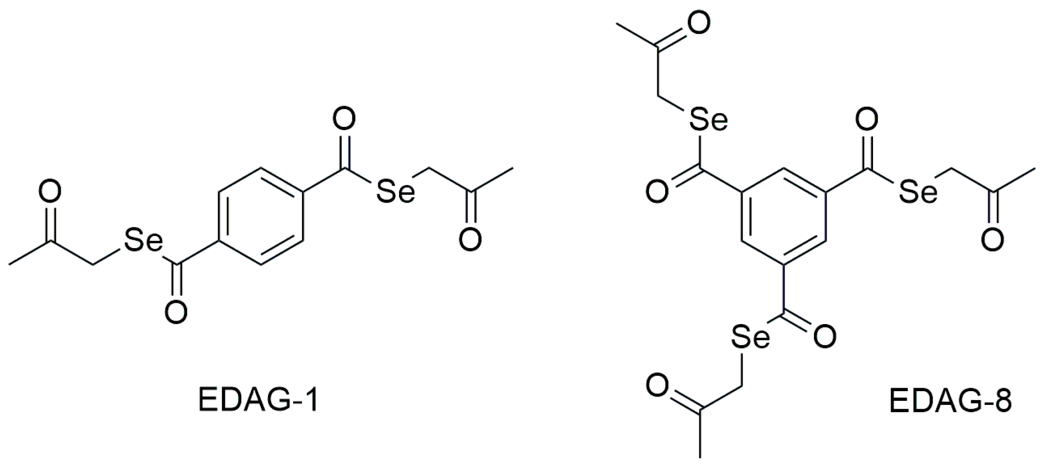
2.1. EDAG-1 and EDAG-8 Interact with BCRP, MDR1, and MRP1 Resistance Proteins in an In Silico Model (Molecular Docking)
2.2. EDAG-1 and EDAG-8 as Inhibitors of ABC Transporters in Breast Cancer Cells
3. Discussion
4. Materials and Methods
4.1. Materials
4.2. Tested Compounds
4.3. Molecular Docking of EDAG-1 and EDAG-8
4.4. Cell Culture of MCF-7 and MDA-MB-231 Breast Cancer Cells
4.5. Multidrug Resistance (MDR) Proteins Activity Assay
- FMDR1—MFI with MDR1 inhibitor (verapamil)
- FMRP1—MFI with MRP1 inhibitor (MK-571)
- FBCRP—MFI with BCRP inhibitor (novobiocin)
- F0—MFI without inhibitor (5% DMSO)
5. Conclusions
Supplementary Materials
Author Contributions
Funding
Institutional Review Board Statement
Informed Consent Statement
Data Availability Statement
Acknowledgments
Conflicts of Interest
References
- Global Cancer Observatory. Cancer Today. Available online: https://gco.iarc.fr/today/en (accessed on 27 March 2024).
- Kinnel, B.; Singh, S.K.; Oprea-Ilies, G.; Singh, R. Targeted Therapy and Mechanisms of Drug Resistance in Breast Cancer. Cancers 2023, 15, 1320. [Google Scholar] [CrossRef] [PubMed]
- Zhao, Y.; Tang, C.; Huang, J.; Zhang, H.; Shi, J.; Xu, S.; Ma, L.; Peng, C.; Liu, Q.; Xiong, Y. Screening Multidrug Resistance Reversal Agents in Traditional Chinese Medicines by Efflux Kinetics of D-Luciferin in MCF-7/DOXFluc Cells. ACS Omega 2023, 8, 4853–4861. [Google Scholar] [CrossRef] [PubMed]
- Łukasiewicz, S.; Czeczelewski, M.; Forma, A.; Baj, J.; Sitarz, R.; Stanisławek, A. Breast Cancer—Epidemiology, Risk Factors, Classification, Prognostic Markers, and Current Treatment Strategies—An Updated Review. Cancers 2021, 13, 4287. [Google Scholar] [CrossRef] [PubMed]
- Kumar, H.; Gupta, N.V.; Jain, R.; Madhunapantula, S.V.; Babu, C.S.; Kesharwani, S.S.; Dey, S.; Jain, V. A review of biological targets and therapeutic approaches in the management of triple-negative breast cancer. J. Adv. Res. 2023, 54, 271–292. [Google Scholar] [CrossRef] [PubMed]
- Mir, M.A.; Qayoom, H.; Mehraj, U.; Nisar, S.; Bhat, B.; Wani, N.A. Targeting Different Pathways Using Novel Combination Therapy in Triple Negative Breast Cancer. Curr. Cancer Drug Targets 2020, 20, 586–602. [Google Scholar] [CrossRef]
- Afifi, N.; Barrero, C.A. Understanding Breast Cancer Aggressiveness and Its Implications in Diagnosis and Treatment. J. Clin. Med. 2023, 12, 1375. [Google Scholar] [CrossRef]
- Rao, Z.Z.; Tang, Z.W.; Wen, J. Advances in drug resistance of triple negative breast cancer caused by pregnane X receptor. World J. Clin. Oncol. 2023, 14, 335–342. [Google Scholar] [CrossRef]
- Nedeljković, M.; Damjanović, A. Mechanisms of Chemotherapy Resistance in Triple-Negative Breast Cancer-How We Can Rise to the Challenge. Cells 2019, 8, 957. [Google Scholar] [CrossRef]
- He, J.; Fortunati, E.; Liu, D.X.; Li, Y. Pleiotropic Roles of ABC Transporters in Breast Cancer. Int. J. Mol. Sci. 2021, 22, 3199. [Google Scholar] [CrossRef]
- Waghray, D.; Zhang, Q. Inhibit or Evade Multidrug Resistance P-Glycoprotein in Cancer Treatment. J. Med. Chem. 2018, 61, 5108–5121. [Google Scholar] [CrossRef]
- Herrera-Pérez, S.; Rueda-Ruzafa, L.; Campos-Ríos, A.; Fernández-Fernández, D.; Lamas, J.A. Antiarrhythmic calcium channel blocker verapamil inhibits trek currents in sympathetic neurons. Front. Pharmacol. 2022, 13, 997188. [Google Scholar] [CrossRef] [PubMed]
- Lee, H.; Myoung, H.; Kim, S.M. Review of two immunosuppressants: Tacrolimus and cyclosporine. J. Korean Assoc. Oral Maxillofac. Surg. 2023, 49, 311–323. [Google Scholar] [CrossRef] [PubMed]
- Engle, K.; Kumar, G. Cancer multidrug-resistance reversal by ABCB1 inhibition: A recent update. Eur. J. Med. Chem. 2022, 239, 114542. [Google Scholar] [CrossRef] [PubMed]
- Poku, V.O.; Iram, S.H. A critical review on modulators of Multidrug Resistance Protein 1 in cancer cells. PeerJ 2022, 10, e12594. [Google Scholar] [CrossRef] [PubMed]
- Mao, Q.; Unadkat, J.D. Role of the breast cancer resistance protein (BCRP/ABCG2) in drug transport—An update. AAPS J. 2015, 17, 65–82. [Google Scholar] [CrossRef]
- Kannan, P.; Telu, S.; Shukla, S.; Ambudkar, S.V.; Pike, V.W.; Halldin, C.; Gottesman, M.M.; Innis, R.B.; Hall, M.D. The “specific” P-glycoprotein inhibitor Tariquidar is also a substrate and an inhibitor for breast cancer resistance protein (BCRP/ABCG2). ACS Chem. Neurosci. 2011, 2, 82–89. [Google Scholar] [CrossRef]
- Radomska, D.; Czarnomysy, R.; Radomski, D.; Bielawski, K. Selenium Compounds as Novel Potential Anticancer Agents. Int. J. Mol. Sci. 2021, 22, 1009. [Google Scholar] [CrossRef]
- Valente, A.; Podolski-Renić, A.; Poetsch, I.; Filipović, N.; López, Ó.; Turel, I.; Heffeter, P. Metal- and metalloid-based compounds to target and reverse cancer multidrug resistance. Drug Resist. Updates 2021, 58, 100778. [Google Scholar] [CrossRef]
- Domínguez-Álvarez, E.; Gajdács, M.; Spengler, G.; Palop, J.A.; Marć, M.A.; Kieć-Kononowicz, K.; Amaral, L.; Molnár, J.; Jacob, C.; Handzlik, J.; et al. Identification of selenocompounds with promising properties to reverse cancer multidrug resistance. Bioorg. Med. Chem. Lett. 2016, 26, 2821–2824. [Google Scholar] [CrossRef]
- Gajdács, M.; Spengler, G.; Sanmartín, C.; Marć, M.A.; Handzlik, J.; Domínguez-Álvarez, E. Selenoesters and selenoanhydrides as novel multidrug resistance reversing agents: A confirmation study in a colon cancer MDR cell line. Bioorg. Med. Chem. Lett. 2017, 27, 797–802. [Google Scholar] [CrossRef]
- Ali, W.; Spengler, G.; Kincses, A.; Nové, M.; Battistelli, C.; Latacz, G.; Starek, M.; Dąbrowska, M.; Honkisz-Orzechowska, E.; Romanelli, A.; et al. Discovery of phenylselenoether-hydantoin hybrids as ABCB1 efflux pump modulating agents with cytotoxic and antiproliferative actions in resistant T-lymphoma. Eur. J. Med. Chem. 2020, 200, 112435. [Google Scholar] [CrossRef]
- Marć, M.A.; Kincses, A.; Rácz, B.; Nasim, M.J.; Sarfraz, M.; Lázaro-Milla, C.; Domínguez-Álvarez, E.; Jacob, C.; Spengler, G.; Almendros, P. Antimicrobial, Anticancer and Multidrug-Resistant Reversing Activity of Novel Oxygen-, Sulfur- and Selenoflavones and Bioisosteric Analogues. Pharmaceuticals 2020, 13, 453. [Google Scholar] [CrossRef] [PubMed]
- Ye, S.-F.; Yang, Y.; Wu, L.; Ma, W.-W.; Zeng, H.-H. Ethaselen: A novel organoselenium anticancer agent targeting thioredoxin reductase 1 reverses cisplatin resistance in drug-resistant K562 cells by inducing apoptosis. J. Zhejiang Univ. Sci. 2017, 18, 373–382. [Google Scholar] [CrossRef]
- Radomska, D.; Czarnomysy, R.; Szymanowska, A.; Radomski, D.; Domínguez-Álvarez, E.; Bielawska, A.; Bielawski, K. Novel Selenoesters as a Potential Tool in Triple-Negative Breast Cancer Treatment. Cancers 2022, 14, 4304. [Google Scholar] [CrossRef] [PubMed]
- Radomska, D.; Czarnomysy, R.; Szymanowska, A.; Radomski, D.; Chalecka, M.; Surazynski, A.; Domínguez-Álvarez, E.; Bielawska, A.; Bielawski, K. Di- and Triselenoesters—Promising Drug Candidates for the Future Therapy of Triple-Negative Breast Cancer. Int. J. Mol. Sci. 2024, 25, 7764. [Google Scholar] [CrossRef]
- Radomska, D.; Czarnomysy, R.; Radomski, D.; Bielawska, A.; Bielawski, K. Selenium as a Bioactive Micronutrient in the Human Diet and Its Cancer Chemopreventive Activity. Nutrients 2021, 13, 1649. [Google Scholar] [CrossRef]
- Domínguez-Álvarez, E.; Rácz, B.; Marć, M.A.; Nasim, M.J.; Szemerédi, N.; Viktorová, J.; Jacob, C.; Spengler, G. Selenium and tellurium in the development of novel small molecules and nanoparticles as cancer multidrug resistance reversal agents. Drug Resist. Updates 2022, 63, 100844. [Google Scholar] [CrossRef] [PubMed]
- Domínguez-Álvarez, E.; Spengler, G.; Jacob, C.; Sanmartín, C. Selenoester-Containing Compounds for Use in the Treatment of Microbial Infections or Colorectal Cancer. European Patent WO 2020/065086 A1, International PCT/EP2019/076366 PCT/EP2019/076366, 28 September 2018. [Google Scholar]
- Frisch, M.J.; Trucks, G.W.; Schlegel, H.B.; Scuseria, G.E.; Robb, M.A.; Cheeseman, J.R.; Scalmani, G.; Barone, V.; Petersson, G.A.; Nakatsuji, H.; et al. Gaussian 16 Rev. C.01; Gaussian Inc.: Wallingford, CT, USA, 2016. [Google Scholar]
- Eberhardt, J.; Santos-Martins, D.; Tillack, A.F.; Forli, S. AutoDock Vina 1.2.0: New Docking Methods, Expanded Force Field, and Python Bindings. J. Chem. Inf. Model. 2021, 61, 3891–3898. [Google Scholar] [CrossRef]
- Dallakyan, S.; Olson, A.J. Small-Molecule Library Screening by Docking with PyRx. In Chemical Biology: Methods and Protocols; Hempel, J.E., Williams, C.H., Hong, C.C., Eds.; Springer: New York, NY, USA, 2015; pp. 243–250. [Google Scholar]
- Systèmes, D.; BIOVIA Discovery Studio. Dassault Syst mes BIOVIA, Discovery Studio Modeling Environment, Release 2017; Dassault Syst mes: San Diego, CA, USA, 2016. [Google Scholar]
- Marć, M.A.; Domínguez-Álvarez, E.; Latacz, G.; Doroz-Płonka, A.; Sanmartín, C.; Spengler, G.; Handzlik, J. Pharmaceutical and Safety Profile Evaluation of Novel Selenocompounds with Noteworthy Anticancer Activity. Pharmaceutics 2022, 14, 367. [Google Scholar] [CrossRef]








| Compound | ∆G kcal/mol | ||
|---|---|---|---|
| BCRP | MDR1 | MRP1 | |
| EDAG-1 | −9.1 | −7.9 | −6.7 |
| EDAG-8 | −10.7 | −10.1 | −7.3 |
| Novobiocin | −10.5 | - | - |
| Verapamil | - | −9.0 | - |
| MK-571 | - | - | −7.1 |
| Protein | Ligand | Interaction | |||
|---|---|---|---|---|---|
| Name | Chain:Residue | Name | Residue | Type | Distance [Å] |
| BCRP | A:ASN436 | EDAG-8 | carbonyl oxygen | conventional hydrogen bond | 2.37 |
| A:THR542 | carbonyl oxygen | conventional hydrogen bond | 1.99 | ||
| A:PHE439 | benzene ring | π–π stacked | 3.66 | ||
| B:PHE439 | benzene ring | π–π stacked | 4.54 | ||
| B:ASN436 | novobiocin | hydroxyl group | conventional hydrogen bond | 2.83 | |
| B:GLN398 | amine group | conventional hydrogen bond | 2.63 | ||
| A:VAL546 | benzene ring | π-sigma | 3.70 | ||
| B:VAL546 | benzene ring | π-sigma | 3.91 | ||
| A:PHE439 | benzene ring | π–π stacked | 5.00 | ||
| A:PHE439 | chromone ring | π–π stacked | 5.51 | ||
| B:PHE439 | benzene ring | π–π stacked | 3.87 | ||
| B:PHE439 | chromone ring | π–π stacked | 5.17 | ||
| B:ILE543 | butene chain | alkyl | 4.46 | ||
| B:VAL546 | butene chain | alkyl | 4.61 | ||
| B:VAL546 | butene chain | alkyl | 3.79 | ||
| MDR1 | A:SER979 | EDAG-8 | carbonyl oxygen | conventional hydrogen bond | 2.37 |
| A:PHE335 | benzene ring | π–π stacked | 4.35 | ||
| A:PHE759 | benzene ring | π–π stacked | 5.48 | ||
| A:PHE732 | verapamil | n-alkyl group | carbon-hydrogen bond | 3.67 | |
| A:PHE335 | isopropyl group | π-sigma | 3.58 | ||
| A:LEU339 | isopropyl group | alkyl | 4.56 | ||
| A:PHE314 | isopropyl group | π-alkyl | 5.07 | ||
| A:PHE335 | isopropyl group | π-alkyl | 4.17 | ||
| A:PHE759 | isopropyl group | π-alkyl l | 4.17 | ||
| A:LEU339 | benzene ring | π-alkyl | 5.03 | ||
| A:ILE328 | benzene ring | π-alkyl | 5.07 | ||
| A:VAL331 | benzene ring | π-alkyl | 5.48 | ||
| MRP1 | A:TRP653 | EDAG-8 | carbonyl oxygen | conventional hydrogen bond | 2.35 |
| A:SER685 | carbonyl oxygen | conventional hydrogen bond | 2.86 | ||
| A:SER686 | carbonyl oxygen | conventional hydrogen bond | 2.03 | ||
| A:TYR710 | carbonyl oxygen | conventional hydrogen bond | 2.56 | ||
| A:GLN713 | carbonyl oxygen | conventional hydrogen bond | 2.67 | ||
| A:GLN714 | carbonyl oxygen | conventional hydrogen bond | 1.82 | ||
| A:TRP653 | benzene ring | π–π stacked | 4.66 | ||
| A:GLY681 | MK-571 | carboxyl group | conventional hydrogen bond | 2.72 | |
| A:CYS682 | carboxyl group | conventional hydrogen bond | 2.90 | ||
| A:GLY683 | carboxyl group | conventional hydrogen bond | 2.07 | ||
| A:LYS684 | carboxyl group | conventional hydrogen bond | 2.27 | ||
| A:LYS684 | carboxyl group | conventional hydrogen bond | 2.49 | ||
| A:TYR710 | amide group | conventional hydrogen bond | 2.63 | ||
| A:THR660 | endocyclic nitrogen atom | conventional hydrogen bond | 2.22 | ||
| A:SER685 | amide group | carbon hydrogen bond | 3.52 | ||
| A:ASP792 | n-methyl group | carbon-hydrogen bond | 3.64 | ||
| A:TRP653 | benzene ring | π–π stacked | 3.76 | ||
| A:PRO658 | methyl group | alkyl | 4.33 | ||
| A:PRO658 | benzene ring | π-alkyl | 4.44 | ||
Disclaimer/Publisher’s Note: The statements, opinions and data contained in all publications are solely those of the individual author(s) and contributor(s) and not of MDPI and/or the editor(s). MDPI and/or the editor(s) disclaim responsibility for any injury to people or property resulting from any ideas, methods, instructions or products referred to in the content. |
© 2024 by the authors. Licensee MDPI, Basel, Switzerland. This article is an open access article distributed under the terms and conditions of the Creative Commons Attribution (CC BY) license (https://creativecommons.org/licenses/by/4.0/).
Share and Cite
Radomska, D.; Czarnomysy, R.; Marciniec, K.; Nowakowska, J.; Domínguez-Álvarez, E.; Bielawski, K. Short Communication: Novel Di- and Triselenoesters as Effective Therapeutic Agents Inhibiting Multidrug Resistance Proteins in Breast Cancer Cells. Int. J. Mol. Sci. 2024, 25, 9732. https://doi.org/10.3390/ijms25179732
Radomska D, Czarnomysy R, Marciniec K, Nowakowska J, Domínguez-Álvarez E, Bielawski K. Short Communication: Novel Di- and Triselenoesters as Effective Therapeutic Agents Inhibiting Multidrug Resistance Proteins in Breast Cancer Cells. International Journal of Molecular Sciences. 2024; 25(17):9732. https://doi.org/10.3390/ijms25179732
Chicago/Turabian StyleRadomska, Dominika, Robert Czarnomysy, Krzysztof Marciniec, Justyna Nowakowska, Enrique Domínguez-Álvarez, and Krzysztof Bielawski. 2024. "Short Communication: Novel Di- and Triselenoesters as Effective Therapeutic Agents Inhibiting Multidrug Resistance Proteins in Breast Cancer Cells" International Journal of Molecular Sciences 25, no. 17: 9732. https://doi.org/10.3390/ijms25179732
APA StyleRadomska, D., Czarnomysy, R., Marciniec, K., Nowakowska, J., Domínguez-Álvarez, E., & Bielawski, K. (2024). Short Communication: Novel Di- and Triselenoesters as Effective Therapeutic Agents Inhibiting Multidrug Resistance Proteins in Breast Cancer Cells. International Journal of Molecular Sciences, 25(17), 9732. https://doi.org/10.3390/ijms25179732

