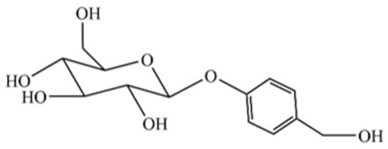
Gastrodin, a Promising Natural Small Molecule for the Treatment of Central Nervous System Disorders, and Its Recent Progress in Synthesis, Pharmacology and Pharmacokinetics
Abstract
1. Introduction
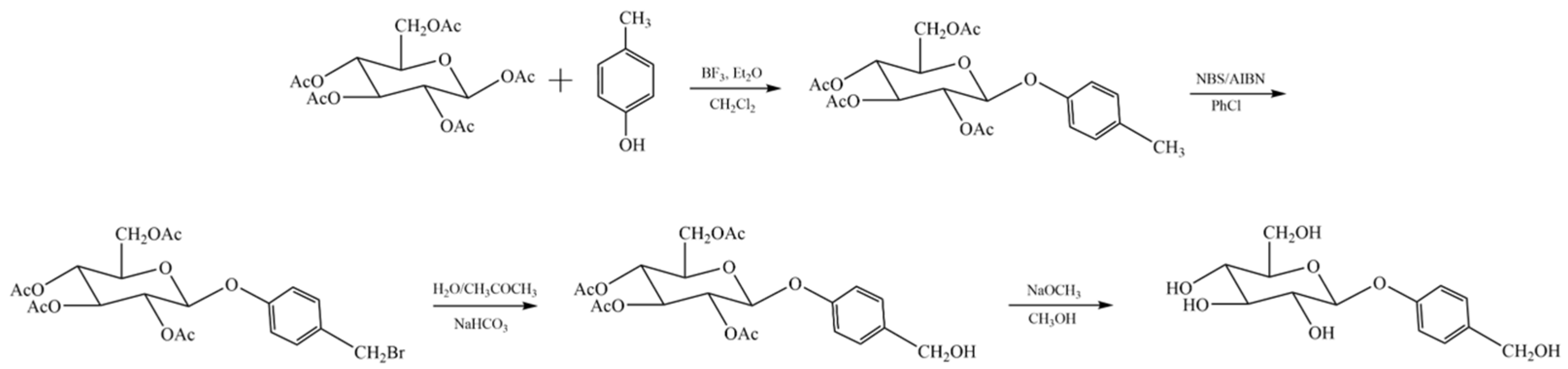
2. Synthesis of Gastrodin
2.1. Chemical Synthesis of Gastrodin
2.2. Biological Synthesis of Gastrodin
3. Pharmacological Effects of Gastrodin in the CNS
3.1. Sedative-Hypnotic and Sleep-Improving Effects
3.2. Anti-Epileptic Effect
3.3. Neuroprotective Effects
3.3.1. Anti-Inflammation
3.3.2. Antioxidation
3.3.3. Regulation of Neurotrophic Factors
3.3.4. Inhibition of Apoptosis and Autophagy
3.4. Effects on Neurodegenerative Diseases
3.4.1. Alzheimer’s Disease
3.4.2. Parkinson’s Disease
3.4.3. Others
3.5. Effects on Emotional Disorders
3.5.1. Anti-Depression
3.5.2. Anti-Anxiety
3.6. Effects on Cognitive Impairment
3.6.1. Vascular Dementia
3.6.2. Other Cognitive Impairment
4. Pharmacokinetic Characteristics of Gastrodin
4.1. Absorption
4.2. Distribution
4.3. Metabolism
4.4. Excretion
5. Conclusions and Prospects
Author Contributions
Funding
Informed Consent Statement
Data Availability Statement
Acknowledgments
Conflicts of Interest
References
- Li, Y.; Zhang, Y.; Zhang, Z.; Hu, Y.; Cui, X.; Xiong, Y. Quality Evaluation of Gastrodia elata Tubers Based on HPLC Fingerprint Analyses and Quantitative Analysis of Multi-Components by Single Marker. Molecules 2019, 24, 1521. [Google Scholar] [CrossRef] [PubMed]
- Taguchi, H.; Yosioka, I.; Yamasaki, K.; Kim, I. Studies on the Constituents of Gastrodia elata BLUME. Chem. Pharm. Bull. 1981, 29, 55–62. [Google Scholar] [CrossRef]
- Wang, Y.; Bai, M.; Wang, X.; Peng, Z.; Cai, C.; Xi, J.; Yan, C.; Luo, J.; Li, X. Gastrodin: A comprehensive pharmacological review. Naunyn Schmiedebergs Arch. Pharmacol. 2024. Online ahead of print. [Google Scholar] [CrossRef] [PubMed]
- Xiao, G.; Tang, R.; Yang, N.; Chen, Y. Review on pharmacological effects of gastrodin. Arch. Pharm. Res. 2023, 46, 744–770. [Google Scholar] [CrossRef]
- Sun, X.; Jia, B.; Sun, J.; Lin, J.; Lu, B.; Duan, J.; Li, C.; Wang, Q.; Zhang, X.; Tan, M.; et al. Gastrodia elata Blume: A review of its mechanisms and functions on cardiovascular systems. Fitoterapia 2023, 167, 105511. [Google Scholar] [CrossRef]
- Xiao-qi, L.; Guang-Ji, Z.; Li, S.; Sen-lin, S. Study on physicochemical properties and influence factors on stability of gastrodin by HPLC. China J. Tradit. Chin. Med. Pharm. 2014, 29, 851–854. (In Chinese) [Google Scholar]
- Liu, B.; Li, F.; Xu, Y.; Wu, Q.; Shi, J. Gastrodin Improves Cognitive Dysfunction in REM Sleep-Deprived Rats by Regulating TLR4/NF-κB and Wnt/β-Catenin Signaling Pathways. Brain Sci. 2023, 13, 179. [Google Scholar] [CrossRef] [PubMed]
- Zou, N.; Lv, J.T.; Xue, R.Y.; Bai, X.F.; Xu, G.P. Effects of Gastrodin on Sedation and Hypnosis of Mice. Lishizhen Med. Mater. Medica Res. 2011, 22, 807–809. (In Chinese) [Google Scholar]
- Yang, C.S.; Chiu, S.C.; Liu, P.Y.; Wu, S.N.; Lai, M.C.; Huang, C.W. Gastrodin alleviates seizure severity and neuronal excitotoxicities in the rat lithium-pilocarpine model of temporal lobe epilepsy via enhancing GABAergic transmission. J. Ethnopharmacol. 2021, 269, 113751. [Google Scholar] [CrossRef]
- Jin, M.; He, Q.; Zhang, S.; Cui, Y.; Han, L.; Liu, K. Gastrodin Suppresses Pentylenetetrazole-Induced Seizures Progression by Modulating Oxidative Stress in Zebrafish. Neurochem. Res. 2018, 43, 904–917. [Google Scholar] [CrossRef]
- Wang, H.; Zhang, R.; Qiao, Y.; Xue, F.; Nie, H.; Zhang, Z.; Wang, Y.; Peng, Z.; Tan, Q. Gastrodin ameliorates depression-like behaviors and up-regulates proliferation of hippocampal-derived neural stem cells in rats: Involvement of its anti-inflammatory action. Behav. Brain Res. 2014, 266, 153–160. [Google Scholar] [CrossRef] [PubMed]
- Peng, Z.; Wang, H.; Zhang, R.; Chen, Y.; Xue, F.; Nie, H.; Chen, Y.; Wu, D.; Wang, Y.; Wang, H.; et al. Gastrodin ameliorates anxiety-like behaviors and inhibits IL-1beta level and p38 MAPK phosphorylation of hippocampus in the rat model of posttraumatic stress disorder. Physiol. Res. 2013, 62, 537–545. [Google Scholar] [CrossRef] [PubMed]
- Sun, W.; Miao, B.; Wang, X.-C.; Duan, J.-H.; Ye, X.; Han, W.-J.; Wang, W.-T.; Luo, C.; Hu, S.-J. Gastrodin Inhibits Allodynia and Hyperalgesia in Painful Diabetic Neuropathy Rats by Decreasing Excitability of Nociceptive Primary Sensory Neurons. PLoS ONE 2012, 7, e39647. [Google Scholar] [CrossRef]
- Liu, W.; Wang, L.; Yu, J.; Asare, P.F.; Zhao, Y.-Q. Gastrodin Reduces Blood Pressure by Intervening with RAAS and PPARγ in SHRs. Evid.-Based Complement. Altern. Med. 2015, 2015, 828427. [Google Scholar] [CrossRef] [PubMed]
- Guo, Z.; Yang, X.; Wu, M.; Shen, A.; Li, J.; Zhang, X.; Cheng, Y.; Xie, Q.; Peng, J. Gastrodin attenuates angiotensin II-induced vascular contraction and MLCK/p-MLC(2) pathway activation. Pharm. Biol. 2023, 61, 858–867. [Google Scholar] [CrossRef] [PubMed]
- Lu, J.; Ma, X.; Gao, W.C.; Zhang, X.; Fu, Y.; Liu, Q.; Tian, L.; Qin, X.D.; Yang, W.; Zheng, H.Y.; et al. Gastrodin Exerts Cardioprotective Action via Inhibition of Insulin-Like Growth Factor Type 2/Insulin-Like Growth Factor Type 2 Receptor Expression in Cardiac Hypertrophy. ACS Omega 2021, 6, 16763–16774. [Google Scholar] [CrossRef] [PubMed]
- Zheng, H.; Yang, E.; Peng, H.; Li, J.; Chen, S.; Zhou, J.; Fang, H.; Qiu, B.; Wang, Z. Gastrodin prevents steroid-induced osteonecrosis of the femoral head in rats by anti-apoptosis. Chin. Med. J. 2014, 127, 3926–3931. [Google Scholar] [CrossRef] [PubMed]
- Liu, Y.; Gao, J.; Peng, M.; Meng, H.; Ma, H.; Cai, P.; Xu, Y.; Zhao, Q.; Si, G. A Review on Central Nervous System Effects of Gastrodin. Front. Pharmacol. 2018, 9, 24. [Google Scholar] [CrossRef] [PubMed]
- Dai, J.-N.; Zong, Y.; Zhong, L.-M.; Li, Y.-M.; Zhang, W.; Bian, L.-G.; Ai, Q.-L.; Liu, Y.-D.; Sun, J.; Lu, D. Gastrodin Inhibits Expression of Inducible NO Synthase, Cyclooxygenase-2 and Proinflammatory Cytokines in Cultured LPS-Stimulated Microglia via MAPK Pathways. PLoS ONE 2011, 6, e21891. [Google Scholar] [CrossRef]
- Jiang, G.; Hu, Y.; Liu, L.; Cai, J.; Peng, C.; Li, Q. Gastrodin protects against MPP+-induced oxidative stress by up regulates heme oxygenase-1 expression through p38 MAPK/Nrf2 pathway in human dopaminergic cells. Neurochem. Int. 2014, 75, 79–88. [Google Scholar] [CrossRef]
- Song, C.; Fang, S.; Lv, G.; Mei, X. Gastrodin promotes the secretion of brain-derived neurotrophic factor in the injured spinal cord. Neural Regen. Res. 2013, 8, 1383–1389. [Google Scholar] [CrossRef] [PubMed]
- Tang, C.; Wang, L.; Liu, X.; Cheng, M.; Qu, Y.; Xiao, H. Comparative pharmacokinetics of gastrodin in rats after intragastric administration of free gastrodin, parishin and Gastrodia elata extract. J. Ethnopharmacol. 2015, 176, 49–54. [Google Scholar] [CrossRef] [PubMed]
- Lin, L.-C.; Chen, Y.-F.; Tsai, T.-R.; Tsai, T.-H. Analysis of brain distribution and biliary excretion of a nutrient supplement, gastrodin, in rat. Anal. Chim. Acta 2007, 590, 173–179. [Google Scholar] [CrossRef] [PubMed]
- Romero, N.G.; Gutierrez, G.; Teixidó, E.; Li, L.; Klose, J.; Leung, P.C.; Cañigueral, S.; Fritsche, E.; Barenys, M. Developmental neurotoxicity evaluation of three Chinese herbal medicines in zebrafish larvae by means of two behavioral assays: Touch-evoked response and light/dark transition. Reprod. Toxicol. 2023, 121, 108469. [Google Scholar] [CrossRef] [PubMed]
- Hao-liang, T.; Li, L.; Yong, W.; Yan, Z.; Hai-yu, W. Toxicological assessment on safety of superfine Rhizoma Gastrodiae powder. Chin. J. Health Lab. Technol. 2014, 24, 2161–2164. (In Chinese) [Google Scholar]
- Chen-hong, S.; Bo, Z.; Chen, C. Research progress on safety evaluation of edible and medicinal Gastrodia elata. J. Food Saf. Qual. 2022, 13, 5946–5954. (In Chinese) [Google Scholar] [CrossRef]
- Shi-xian, D.; Yun-jiang, M. Pharmarcological Studies on Gastrodia elata Bluma. Plant Divers. 1979, 1, 66–73. (In Chinese) [Google Scholar]
- Junhua, H.; Gualian, W. Studies on some pharmacological effects of gastrodia injection and gastrodin. Acta Acad. Med. Sin. 1985, 7, 399–402. (In Chinese) [Google Scholar]
- Teo, C.C.; Tan, S.N.; Yong, J.W.; Hew, C.S.; Ong, E.S. Evaluation of the extraction efficiency of thermally labile bioactive compounds in Gastrodia elata Blume by pressurized hot water extraction and microwave-assisted extraction. J. Chromatogr. A 2008, 1182, 34–40. [Google Scholar] [CrossRef]
- De-hong, X.; Pei-wu, C.; Huai-hao, L.; Yue-fang, L.; Ling-min, J.; Chao-yang, T. Research progress on biosynthesis of gastrodin. Chin. Tradit. Herb. Drugs 2020, 51, 5877–5883. (In Chinese) [Google Scholar]
- Jun, Z.; Yan-Bin, Y.; Chong-Ren, Y. Chemical Study on Gastrodia elata Bl. II. The syntheses of Gastrodin and Related Compounds. Acta Chim. Sin. 1980, 38, 162–166. (In Chinese) [Google Scholar]
- Yu-Wen, L.; Cui-Li, M. Improved synthesis of gastrodin, a bioactive component of a traditional Chinese medicine. J. Serbian Chem. Soc. 2014, 79, 1205–1212. [Google Scholar]
- Qijie, P.; Yuguo, Z. A Novel Synthesis of Gastrodin. Chin. J. Pharm. 1984, 3, 3–4. (In Chinese) [Google Scholar] [CrossRef]
- Xiao-chang, D.; Xiao, P.; Song-fu, W.; Wan-song, Y.; Yu, M. The synthetic procedure of gastrodin and other phenolic glycosides. J. Yunnan Minzu Univ. (Nat. Sci. Ed.) 2004, 13, 83–85. (In Chinese) [Google Scholar]
- Gong, J.S.; Ma, W.P.; Pu, J.X.; Xu, S.G.; Zheng, S.Q.; Xiao, C.J. The production of gastrodin through biotransformation of p-hydroxybenzaldehyde by cell suspension culture of Datura stramonium. Yao Xue Xue Bao 2006, 41, 963–966. [Google Scholar]
- Zhu, H.; Dai, P.; Zhang, W.; Chen, E.; Han, W.; Chen, C.; Cui, Y. Enzymic Synthesis of Gastrodin through Microbial Transformation and Purification of Gastrodin Biosynthesis Enzyme. Biol. Pharm. Bull. 2010, 33, 1680–1684. [Google Scholar] [CrossRef] [PubMed]
- Fan, L.; Dong, Y.; Xu, T.; Zhang, H.; Chen, Q. Gastrodin production from p-2-hydroxybenzyl alcohol through biotransformation by cultured cells of Aspergillus foetidus and Penicillium cyclopium. Appl. Biochem. Biotechnol. 2013, 170, 138–148. [Google Scholar] [CrossRef] [PubMed]
- Bai, Y.; Yin, H.; Bi, H.; Zhuang, Y.; Liu, T.; Ma, Y. De novo biosynthesis of Gastrodin in Escherichia coli. Metab. Eng. 2016, 35, 138–147. [Google Scholar] [CrossRef]
- Weiliang, L.; Aixiang, H. Sedative, Hypnotic and Anti-convulsant Effect of Gastrodin Injection. Chin. J. Trop. Agric. 2019, 39, 51–57. (In Chinese) [Google Scholar]
- Pan, L.; Xiaoxia, H.; Qilan, H.; Ling, T.; Xue, Z.; Xiangchun, S.; Min, Z. Sedative and Hypnotic Effects of Gastrodin on PCPA-Induced Insomnia Mice. Pharmacol. Clin. Chin. Mater. Medica 2021, 37, 33–38. (In Chinese) [Google Scholar] [CrossRef]
- Sirven, J.I. Epilepsy: A Spectrum Disorder. Cold Spring Harb. Perspect. Med. 2015, 5, a022848. [Google Scholar] [CrossRef] [PubMed]
- Chen, L.; Liu, X.; Wang, H.; Qu, M. Gastrodin Attenuates Pentylenetetrazole-Induced Seizures by Modulating the Mitogen-Activated Protein Kinase-Associated Inflammatory Responses in Mice. Neurosci. Bull. 2017, 33, 264–272. [Google Scholar] [CrossRef] [PubMed]
- Yang, Y.; Li, Y.; Han, J.; Wang, Y. Gastrodin attenuates lithium-pilocarpine-induced epilepsy by activating AMPK-mediated PPARα in a juvenile rat model. Biosci. Biotechnol. Biochem. 2021, 85, 798–804. [Google Scholar] [CrossRef] [PubMed]
- During, M.J.; Ryder, K.M.; Spencer, D.D. Hippocampal GABA transporter function in temporal-lobe epilepsy. Nature 1995, 376, 174–177. [Google Scholar] [CrossRef] [PubMed]
- Shao, H.; Yang, Y.; Qi, A.-p.; Hong, P.; Zhu, G.-x.; Cao, X.-y.; Ji, W.-g.; Zhu, Z.-r. Gastrodin Reduces the Severity of Status Epilepticus in the Rat Pilocarpine Model of Temporal Lobe Epilepsy by Inhibiting Nav1.6 Sodium Currents. Neurochem. Res. 2017, 42, 360–374. [Google Scholar] [CrossRef] [PubMed]
- Wong, S.B.; Hung, W.C.; Min, M.Y. The Role of Gastrodin on Hippocampal Neurons after N-Methyl-D-Aspartate Excitotoxicity and Experimental Temporal Lobe Seizures. Chin. J. Physiol. 2016, 59, 156–164. [Google Scholar] [CrossRef] [PubMed]
- Zhang, J.; Li, L.; Liu, Q.; Zhao, Z.; Su, D.; Xiao, C.; Jin, T.; Chen, L.; Xu, C.; You, Z.; et al. Gastrodin programs an Arg-1+ microglial phenotype in hippocampus to ameliorate depression- and anxiety-like behaviors via the Nrf2 pathway in mice. Phytomedicine 2023, 113, 154725. [Google Scholar] [CrossRef] [PubMed]
- Wang, J.W.; Liu, Y.M.; Zhao, X.F.; Zhang, H. Gastrodin protects retinal ganglion cells through inhibiting microglial-mediated neuroinflammation in an acute ocular hypertension model. Int. J. Ophthalmol. 2017, 10, 1483–1489. [Google Scholar] [CrossRef] [PubMed]
- Yao, Y.-y.; Li, R.; Guo, Y.-j.; Zhao, Y.; Guo, J.-z.; Ai, Q.-l.; Zhong, L.-m.; Lu, D. Gastrodin Attenuates Lipopolysaccharide-Induced Inflammatory Response and Migration via the Notch-1 Signaling Pathway in Activated Microglia. NeuroMolecular Med. 2022, 24, 139–154. [Google Scholar] [CrossRef]
- Yang, F.; Li, G.; Lin, B.; Zhang, K. Gastrodin suppresses pyroptosis and exerts neuroprotective effect in traumatic brain injury model by inhibiting NLRP3 inflammasome signaling pathway. J. Integr. Neurosci. 2022, 21, 72. [Google Scholar] [CrossRef]
- Yao, Y.Y.; Bian, L.G.; Yang, P.; Sui, Y.; Li, R.; Chen, Y.L.; Sun, L.; Ai, Q.L.; Zhong, L.M.; Lu, D. Gastrodin attenuates proliferation and inflammatory responses in activated microglia through Wnt/β-catenin signaling pathway. Brain Res. 2019, 1717, 190–203. [Google Scholar] [CrossRef] [PubMed]
- Sun, C.; Zheng, W.; Wang, L.; Du, Q. Gastrodin Prevents Neuronal Apoptosis and Improves Neurological Deficits in Traumatic Brain Injury Rats through PKA/CREB/Bcl2 Axis. Front. Biosci.-Landmark 2023, 28, 93. [Google Scholar] [CrossRef] [PubMed]
- de Oliveira, M.R.; Brasil, F.B.; Fürstenau, C.R. Nrf2 Mediates the Anti-apoptotic and Anti-inflammatory Effects Induced by Gastrodin in Hydrogen Peroxide–Treated SH-SY5Y Cells. J. Mol. Neurosci. 2019, 69, 115–122. [Google Scholar] [CrossRef] [PubMed]
- Wu, F.; Zuo, H.J.; Ren, X.Q.; Wang, P.X.; Li, F.; Li, J.J. Gastrodin Regulates the Notch-1 Signal Pathway via Renin-Angiotensin System in Activated Microglia. Neuromolecular Med. 2023, 25, 40–52. [Google Scholar] [CrossRef] [PubMed]
- Liu, C.M.; Tian, Z.K.; Zhang, Y.J.; Ming, Q.L.; Ma, J.Q.; Ji, L.P. Effects of Gastrodin against Lead-Induced Brain Injury in Mice Associated with the Wnt/Nrf2 Pathway. Nutrients 2020, 12, 1805. [Google Scholar] [CrossRef] [PubMed]
- Wang, X.; Li, S.; Ma, J.; Wang, C.; Chen, A.; Xin, Z.; Zhang, J. Effect of Gastrodin on Early Brain Injury and Neurological Outcome After Subarachnoid Hemorrhage in Rats. Neurosci. Bull. 2019, 35, 461–470. [Google Scholar] [CrossRef] [PubMed]
- Jiang, G.; Wu, H.; Hu, Y.; Li, J.; Li, Q. Gastrodin Inhibits Glutamate-Induced Apoptosis of PC12 Cells via Inhibition of CaMKII/ASK-1/p38 MAPK/p53 Signaling Cascade. Cell. Mol. Neurobiol. 2014, 34, 591–602. [Google Scholar] [CrossRef] [PubMed]
- Zhang, X.L.N.; Yang, X.K.; Wu, C.Y.; Yuan, Y. Gastrodin exerts protective effects in reactive TNC1 astrocytes via regulation of the Notch signaling pathway. Ann. Transl. Med. 2021, 9, 1754. [Google Scholar] [CrossRef]
- Liu, B.; Li, F.; Shi, J.; Yang, D.; Deng, Y.; Gong, Q. Gastrodin ameliorates subacute phase cerebral ischemia-reperfusion injury by inhibiting inflammation and apoptosis in rats. Mol. Med. Rep. 2016, 14, 4144–4152. [Google Scholar] [CrossRef] [PubMed]
- Wang, S.; Nan, Y.; Zhu, W.; Yang, T.; Tong, Y.; Fan, Y. Gastrodin improves the neurological score in MCAO rats by inhibiting inflammation and apoptosis, promoting revascularization. Int. J. Clin. Exp. Pathol. 2018, 11, 5343–5350. [Google Scholar]
- Qiu, C.W.; Liu, Z.Y.; Zhang, F.L.; Zhang, L.; Li, F.; Liu, S.Y.; He, J.Y.; Xiao, Z.C. Post-stroke gastrodin treatment ameliorates ischemic injury and increases neurogenesis and restores the Wnt/β-Catenin signaling in focal cerebral ischemia in mice. Brain Res. 2019, 1712, 7–15. [Google Scholar] [CrossRef] [PubMed]
- Wang, X.S.; Tian, Z.; Zhang, N.; Han, J.; Guo, H.L.; Zhao, M.G.; Liu, S.B. Protective Effects of Gastrodin Against Autophagy-Mediated Astrocyte Death. Phytother. Res. 2016, 30, 386–396. [Google Scholar] [CrossRef] [PubMed]
- Yang, G.; Zeng, X.; Li, J.; Leung, C.-K.; Zhang, D.; Hong, S.; He, Y.; Huang, J.; Li, L.; Li, Z. Protective effect of gastrodin against methamphetamine-induced autophagy in human dopaminergic neuroblastoma SH-SY5Y cells via the AKT/mTOR signaling pathway. Neurosci. Lett. 2019, 707, 134287. [Google Scholar] [CrossRef]
- Chen, Y.X.; Yang, H.; Wang, D.S.; Yao, Y.T.; Chen, T.T.; Tao, L.; Chen, Y.; Shen, X.C. Gastrodin relieves cognitive impairment by regulating autophagy via PI3K/AKT signaling pathway in vascular dementia. Biochem. Biophys. Res. Commun. 2023, 671, 246–254. [Google Scholar] [CrossRef]
- Chen, T.T.; Zhou, X.; Xu, Y.N.; Li, Y.; Wu, X.Y.; Xiang, Q.; Fu, L.Y.; Hu, X.X.; Tao, L.; Shen, X.C. Gastrodin ameliorates learning and memory impairment in rats with vascular dementia by promoting autophagy flux via inhibition of the Ca(2+)/CaMKII signal pathway. Aging 2021, 13, 9542–9565. [Google Scholar] [CrossRef] [PubMed]
- Olson, J.K.; Miller, S.D. Microglia initiate central nervous system innate and adaptive immune responses through multiple TLRs. J. Immunol. 2004, 173, 3916–3924. [Google Scholar] [CrossRef] [PubMed]
- Hickman, S.; Izzy, S.; Sen, P.; Morsett, L.; El Khoury, J. Microglia in neurodegeneration. Nat. Neurosci. 2018, 21, 1359–1369. [Google Scholar] [CrossRef]
- Glass, C.K.; Saijo, K.; Winner, B.; Marchetto, M.C.; Gage, F.H. Mechanisms underlying inflammation in neurodegeneration. Cell 2010, 140, 918–934. [Google Scholar] [CrossRef] [PubMed]
- Song, J.J.; Li, H.; Wang, N.; Zhou, X.Y.; Liu, Y.; Zhang, Z.; Feng, Q.; Chen, Y.L.; Liu, D.; Liang, J.; et al. Gastrodin ameliorates the lipopolysaccharide-induced neuroinflammation in mice by downregulating miR-107-3p. Front. Pharmacol. 2022, 13, 1044375. [Google Scholar] [CrossRef]
- Wakamatsu, T.H.; Dogru, M.; Tsubota, K. Tearful relations: Oxidative stress, inflammation and eye diseases. Arq. Bras. Oftalmol. 2008, 71, 72–79. [Google Scholar] [CrossRef]
- Jiang, T.; Chu, J.; Chen, H.; Cheng, H.; Su, J.; Wang, X.; Cao, Y.; Tian, S.; Li, Q. Gastrodin Inhibits H2O2-Induced Ferroptosis through Its Antioxidative Effect in Rat Glioma Cell Line C6. Biol. Pharm. Bull. 2020, 43, 480–487. [Google Scholar] [CrossRef] [PubMed]
- Wu, S.; Huang, R.; Zhang, R.; Xiao, C.; Wang, L.; Luo, M.; Song, N.; Zhang, J.; Yang, F.; Liu, X.; et al. Gastrodin and Gastrodigenin Improve Energy Metabolism Disorders and Mitochondrial Dysfunction to Antagonize Vascular Dementia. Molecules 2023, 28, 2598. [Google Scholar] [CrossRef] [PubMed]
- Colucci-D’Amato, L.; Speranza, L.; Volpicelli, F. Neurotrophic Factor BDNF, Physiological Functions and Therapeutic Potential in Depression, Neurodegeneration and Brain Cancer. Int. J. Mol. Sci. 2020, 21, 7777. [Google Scholar] [CrossRef] [PubMed]
- Kong, F.J.; Ma, L.L.; Guo, J.J.; Xu, L.H.; Li, Y.; Qu, S. Endoplasmic reticulum stress/autophagy pathway is involved in diabetes-induced neuronal apoptosis and cognitive decline in mice. Clin. Sci. 2018, 132, 111–125. [Google Scholar] [CrossRef] [PubMed]
- Ye, T.; Meng, X.; Zhai, Y.; Xie, W.; Wang, R.; Sun, G.; Sun, X. Gastrodin Ameliorates Cognitive Dysfunction in Diabetes Rat Model via the Suppression of Endoplasmic Reticulum Stress and NLRP3 Inflammasome Activation. Front. Pharmacol. 2018, 9, 1346. [Google Scholar] [CrossRef] [PubMed]
- Qi, Y.H.; Zhu, R.; Wang, Q.; Li, Q.; Liu, Y.D.; Qian, Z.Y.; Yang, Z.H.; Mu, Z.H.; Liu, X.J.; Zhang, M.Y.; et al. Early intervention with gastrodin reduces striatal neurotoxicity in adult rats with experimentally-induced diabetes mellitus. Mol. Med. Rep. 2019, 19, 3114–3122. [Google Scholar] [CrossRef] [PubMed]
- Hartmann, A.; Hunot, S.; Michel, P.P.; Muriel, M.P.; Vyas, S.; Faucheux, B.A.; Mouatt-Prigent, A.; Turmel, H.; Srinivasan, A.; Ruberg, M.; et al. Caspase-3: A vulnerability factor and final effector in apoptotic death of dopaminergic neurons in Parkinson’s disease. Proc. Natl. Acad. Sci. USA 2000, 97, 2875–2880. [Google Scholar] [CrossRef] [PubMed]
- Lei, X.; Yuan, Y.; Zou, Q. The role and mechanism of gastrodin in the medial prefrontal cortex autophagy of PTSD rats. Int. J. Clin. Exp. Pathol. 2020, 13, 989–994. [Google Scholar] [PubMed]
- Chen, P.Z.; Jiang, H.H.; Wen, B.; Ren, S.C.; Chen, Y.; Ji, W.G.; Hu, B.; Zhang, J.; Xu, F.; Zhu, Z.R. Gastrodin suppresses the amyloid β-induced increase of spontaneous discharge in the entorhinal cortex of rats. Neural Plast. 2014, 2014, 320937. [Google Scholar] [CrossRef] [PubMed]
- Hu, Y.; Li, C.; Shen, W. Gastrodin alleviates memory deficits and reduces neuropathology in a mouse model of Alzheimer’s disease. Neuropathology 2014, 34, 370–377. [Google Scholar] [CrossRef]
- Li, M.; Qian, S. Gastrodin Protects Neural Progenitor Cells Against Amyloid β (1–42)-Induced Neurotoxicity and Improves Hippocampal Neurogenesis in Amyloid β (1–42)-Injected Mice. J. Mol. Neurosci. 2016, 60, 21–32. [Google Scholar] [CrossRef] [PubMed]
- Luo, K.; Wang, Y.; Chen, W.S.; Feng, X.; Liao, Y.; Chen, S.; Liu, Y.; Liao, C.; Chen, M.; Ao, L. Treatment Combining Focused Ultrasound with Gastrodin Alleviates Memory Deficit and Neuropathology in an Alzheimer’s Disease-Like Experimental Mouse Model. Neural Plast. 2022, 2022, 5241449. [Google Scholar] [CrossRef] [PubMed]
- Fasina, O.B.; Wang, J.; Mo, J.; Osada, H.; Ohno, H.; Pan, W.; Xiang, L.; Qi, J. Gastrodin From Gastrodia elata Enhances Cognitive Function and Neuroprotection of AD Mice via the Regulation of Gut Microbiota Composition and Inhibition of Neuron Inflammation. Front. Pharmacol. 2022, 13, 814271. [Google Scholar] [CrossRef] [PubMed]
- Geum-Hwa, L.; Hyung-Ryong, K.; Sang-Yong, H.; Bidur, B.; Do-Sung, K.; Min-Gul, K.; Byung-Ok, S.; Sun-Young, K.; Kyu-Sik, J.; Bo-Hee, L.; et al. Gastrodia elata Blume and its pure compounds protect BV-2 microglial-derived cell lines against ²-amyloid: The involvement of GRP78 and CHOP. Biol. Res. 2012, 45, 403–410. [Google Scholar] [CrossRef] [PubMed]
- Zhao, X.; Zou, Y.; Xu, H.; Fan, L.; Guo, H.; Li, X.; Li, G.; Zhang, X.; Dong, M. Gastrodin protect primary cultured rat hippocampal neurons against amyloid-beta peptide-induced neurotoxicity via ERK1/2-Nrf2 pathway. Brain Res. 2012, 1482, 13–21. [Google Scholar] [CrossRef] [PubMed]
- Li, C.; Chen, X.; Zhang, N.; Song, Y.; Mu, Y. Gastrodin inhibits neuroinflammation in rotenone-induced Parkinson’s disease model rats. Neural Regen. Res. 2012, 7, 325–331. [Google Scholar] [CrossRef]
- Wang, Y.; Wu, Z.; Liu, X.; Fu, Q. Gastrodin ameliorates Parkinson’s disease by downregulating connexin 43. Mol. Med. Rep. 2013, 8, 585–590. [Google Scholar] [CrossRef] [PubMed]
- Haddadi, R.; Poursina, M.; Zeraati, F.; Nadi, F. Gastrodin microinjection suppresses 6-OHDA-induced motor impairments in parkinsonian rats: Insights into oxidative balance and microglial activation in SNc. Inflammopharmacology 2018, 26, 1305–1316. [Google Scholar] [CrossRef]
- Kumar, H.; Kim, I.S.; More, S.V.; Kim, B.W.; Bahk, Y.Y.; Choi, D.K. Gastrodin protects apoptotic dopaminergic neurons in a toxin-induced Parkinson’s disease model. Evid. Based Complement. Altern. Med. 2013, 2013, 514095. [Google Scholar] [CrossRef] [PubMed]
- Wang, X.-L.; Xing, G.-H.; Hong, B.; Li, X.-M.; Zou, Y.; Zhang, X.-J.; Dong, M.-X. Gastrodin prevents motor deficits and oxidative stress in the MPTP mouse model of Parkinson’s disease: Involvement of ERK1/2–Nrf2 signaling pathway. Life Sci. 2014, 114, 77–85. [Google Scholar] [CrossRef]
- Wang, Y.; Luo, K.; Li, J.; Liao, Y.; Liao, C.; Chen, W.S.; Chen, M.; Ao, L. Focused Ultrasound Promotes the Delivery of Gastrodin and Enhances the Protective Effect on Dopaminergic Neurons in a Mouse Model of Parkinson’s Disease. Front. Cell Neurosci. 2022, 16, 884788. [Google Scholar] [CrossRef] [PubMed]
- Yan, J.; Yang, Z.; Zhao, N.; Li, Z.; Cao, X. Gastrodin protects dopaminergic neurons via insulin-like pathway in a Parkinson’s disease model. BMC Neurosci. 2019, 20, 31. [Google Scholar] [CrossRef] [PubMed]
- Min, L.; Yanxia, D.; Yegui, Z.; Cuicui, C.; Rujie, G.; Jingzhong, N. Effects of gastrodin on the expression of BDNF and IL-6 in the striatum of rats with cerebral ischemia. Chin. J. Clin. Pharmacol. Ther. 2024, 29, 440–446. (In Chinese) [Google Scholar]
- Peng, Z.; Wang, S.; Chen, G.; Cai, M.; Liu, R.; Deng, J.; Liu, J.; Zhang, T.; Tan, Q.; Hai, C. Gastrodin alleviates cerebral ischemic damage in mice by improving anti-oxidant and anti-inflammation activities and inhibiting apoptosis pathway. Neurochem. Res. 2015, 40, 661–673. [Google Scholar] [CrossRef] [PubMed]
- Xiao, H.; Jiang, Q.; Qiu, H.; Wu, K.; Ma, X.; Yang, J.; Cheng, O. Gastrodin promotes hippocampal neurogenesis via PDE9-cGMP-PKG pathway in mice following cerebral ischemia. Neurochem. Int. 2021, 150, 105171. [Google Scholar] [CrossRef] [PubMed]
- Sui, Y.; Bian, L.; Ai, Q.; Yao, Y.; Yu, M.; Gao, H.; Zhang, A.; Fu, X.; Zhong, L.; Lu, D. Gastrodin Inhibits Inflammasome through the STAT3 Signal Pathways in TNA2 Astrocytes and Reactive Astrocytes in Experimentally Induced Cerebral Ischemia in Rats. Neuromolecular Med. 2019, 21, 275–286. [Google Scholar] [CrossRef] [PubMed]
- Ting, H.C.; Yang, H.I.; Harn, H.J.; Chiu, I.M.; Su, H.L.; Li, X.; Chen, M.F.; Ho, T.J.; Liu, C.A.; Tsai, Y.J.; et al. Coactivation of GSK3β and IGF-1 Attenuates Amyotrophic Lateral Sclerosis Nerve Fiber Cytopathies in SOD1 Mutant Patient-Derived Motor Neurons. Cells 2021, 10, 2773. [Google Scholar] [CrossRef] [PubMed]
- Querfurth, H.W.; LaFerla, F.M. Alzheimer’s disease. N. Engl. J. Med. 2010, 362, 329–344. [Google Scholar] [CrossRef] [PubMed]
- Beitz, J.M. Parkinson’s disease: A review. Front. Biosci. (Sch. Ed.) 2014, 6, 65–74. [Google Scholar] [CrossRef]
- Zhang, J.T. Cerebral ischemia, glucose/energy metabolism impairment and its relations to neurodegenerative diseases. Chin. Pharmacol. Bull. 2000, 16, 241–246. (In Chinese) [Google Scholar]
- Li, L.; Lin, L. Cerebral ischemia and Alzheimer’s disease. Chin. J. Rehabil. Theory Pract. 2003, 9, 54–57. (In Chinese) [Google Scholar]
- Kenney, K.; Iacono, D.; Edlow, B.L.; Katz, D.I.; Diaz-Arrastia, R.; Dams-O’Connor, K.; Daneshvar, D.H.; Stevens, A.; Moreau, A.L.; Tirrell, L.S.; et al. Dementia After Moderate-Severe Traumatic Brain Injury: Coexistence of Multiple Proteinopathies. J. Neuropathol. Exp. Neurol. 2018, 77, 50–63. [Google Scholar] [CrossRef] [PubMed]
- Ye, T.; Meng, X.; Wang, R.; Zhang, C.; He, S.; Sun, G.; Sun, X. Gastrodin Alleviates Cognitive Dysfunction and Depressive-Like Behaviors by Inhibiting ER Stress and NLRP3 Inflammasome Activation in db/db Mice. Int. J. Mol. Sci. 2018, 19, 3977. [Google Scholar] [CrossRef]
- Castrén, E.; Võikar, V.; Rantamäki, T. Role of neurotrophic factors in depression. Curr. Opin. Pharmacol. 2007, 7, 18–21. [Google Scholar] [CrossRef] [PubMed]
- Zhang, R.; Peng, Z.; Wang, H.; Xue, F.; Chen, Y.; Wang, Y.; Wang, H.; Tan, Q. Gastrodin Ameliorates Depressive-Like Behaviors and Up-Regulates the Expression of BDNF in the Hippocampus and Hippocampal-Derived Astrocyte of Rats. Neurochem. Res. 2014, 39, 172–179. [Google Scholar] [CrossRef] [PubMed]
- Kupcova, I.; Danisovic, L.; Grgac, I.; Harsanyi, S. Anxiety and Depression: What Do We Know of Neuropeptides? Behav. Sci. 2022, 12, 262. [Google Scholar] [CrossRef]
- Lee, B.; Sur, B.; Yeom, M.; Shim, I.; Lee, H.; Hahm, D.-H. Gastrodin reversed the traumatic stress-induced depressed-like symptoms in rats. J. Nat. Med. 2016, 70, 749–759. [Google Scholar] [CrossRef] [PubMed]
- Zhao, R.; Li, X.; Zhang, H.; Chen, X.; Wang, Y. Network Pharmacology Study on the Mechanism of Gastrodin Reversing Depressive Symptoms in Traumatically Stressed Rats. Comb. Chem. High. Throughput Screen. 2023, 26, 1755–1765. [Google Scholar] [CrossRef]
- Chen, X.; Wang, J.; He, Z.; Liu, X.; Liu, H.; Wang, X. Analgesic and Anxiolytic Effects of Gastrodin and Its Influences on Ferroptosis and Jejunal Microbiota in Complete Freund’s Adjuvant-Injected Mice. Front. Microbiol. 2022, 13, 841662. [Google Scholar] [CrossRef]
- Wang, X.; Tao, J.; Qiao, Y.; Luo, S.; Zhao, Z.; Gao, Y.; Guo, J.; Kong, J.; Chen, C.; Ge, L.; et al. Gastrodin Rescues Autistic-Like Phenotypes in Valproic Acid-Induced Animal Model. Front. Neurol. 2018, 9, 1052. [Google Scholar] [CrossRef]
- Wolters, F.J.; Ikram, M.A. Epidemiology of Vascular Dementia. Arter. Thromb. Vasc. Biol. 2019, 39, 1542–1549. [Google Scholar] [CrossRef] [PubMed]
- Ramos, A.R.; Dib, S.I.; Wright, C.B. Vascular Dementia. Curr. Transl. Geriatr. Exp. Gerontol. Rep. 2013, 2, 188–195. [Google Scholar] [CrossRef]
- Yan, N.; Zhang, J.J. The Emerging Roles of Ferroptosis in Vascular Cognitive Impairment. Front. Neurosci. 2019, 13, 811. [Google Scholar] [CrossRef]
- Li, Y.; Zhang, E.; Yang, H.; Chen, Y.; Tao, L.; Xu, Y.; Chen, T.; Shen, X. Gastrodin Ameliorates Cognitive Dysfunction in Vascular Dementia Rats by Suppressing Ferroptosis via the Regulation of the Nrf2/Keap1-GPx4 Signaling Pathway. Molecules 2022, 27, 6311. [Google Scholar] [CrossRef]
- Mocanu, M.M.; Nissen, A.; Eckermann, K.; Khlistunova, I.; Biernat, J.; Drexler, D.; Petrova, O.; Schönig, K.; Bujard, H.; Mandelkow, E.; et al. The potential for beta-structure in the repeat domain of tau protein determines aggregation, synaptic decay, neuronal loss, and coassembly with endogenous Tau in inducible mouse models of tauopathy. J. Neurosci. 2008, 28, 737–748. [Google Scholar] [CrossRef]
- Ghavami, S.; Shojaei, S.; Yeganeh, B.; Ande, S.R.; Jangamreddy, J.R.; Mehrpour, M.; Christoffersson, J.; Chaabane, W.; Moghadam, A.R.; Kashani, H.H.; et al. Autophagy and apoptosis dysfunction in neurodegenerative disorders. Prog. Neurobiol. 2014, 112, 24–49. [Google Scholar] [CrossRef]
- Liu, B.; Gao, J.M.; Li, F.; Gong, Q.H.; Shi, J.S. Gastrodin Attenuates Bilateral Common Carotid Artery Occlusion-Induced Cognitive Deficits via Regulating Aβ-Related Proteins and Reducing Autophagy and Apoptosis in Rats. Front. Pharmacol. 2018, 9, 405. [Google Scholar] [CrossRef] [PubMed]
- Shi, R.; Zheng, C.-D.; Wang, H.; Rao, Q.; Du, T.; Bai, C.; Xiao, C.; Dai, Z.; Zhang, C.; Chen, C.; et al. Gastrodin Alleviates Vascular Dementia in a 2-VO-Vascular Dementia Rat Model by Altering Amyloid and Tau Levels. Pharmacology 2019, 105, 386–396. [Google Scholar] [CrossRef] [PubMed]
- Wan, Y.; Xu, J.; Ma, D.; Zeng, Y.; Cibelli, M.; Maze, M. Postoperative Impairment of Cognitive Function in Rats: A Possible Role for Cytokine-mediated Inflammation in the Hippocampus. Anesthesiology 2007, 106, 436–443. [Google Scholar] [CrossRef] [PubMed]
- Zheng, X.; Gong, T.; Tang, C.; Zhong, Y.; Shi, L.; Fang, X.; Chen, D.; Zhu, Z. Gastrodin improves neuroinflammation-induced cognitive dysfunction in rats by regulating NLRP3 inflammasome. BMC Anesth. 2022, 22, 371. [Google Scholar] [CrossRef]
- Wang, X.; Chen, L.; Xu, Y.; Wang, W.; Wang, Y.; Zhang, Z.; Zheng, J.; Bao, H. Gastrodin alleviates perioperative neurocognitive dysfunction of aged mice by suppressing neuroinflammation. Eur. J. Pharmacol. 2021, 892, 173734. [Google Scholar] [CrossRef] [PubMed]
- Xu, Y.; Lu, Y.; Xu, R.; Zhang, Y.; Zhang, C.; Yin, J.; Bao, H.; Wang, X. Gastrodin ameliorates postoperative cognitive dysfunction in aged mice by promoting nuclear translocation of Nrf2 through activation of AMPK. Brain Res. 2024, 1822, 148607. [Google Scholar] [CrossRef]
- Wang, X.; Yan, S.; Wang, A.; Li, Y.; Zhang, F. Gastrodin Ameliorates Memory Deficits in 3,3′-Iminodipropionitrile-Induced Rats: Possible Involvement of Dopaminergic System. Neurochem. Res. 2014, 39, 1458–1466. [Google Scholar] [CrossRef]
- Pignalosa, F.C.; Desiderio, A.; Mirra, P.; Nigro, C.; Perruolo, G.; Ulianich, L.; Formisano, P.; Beguinot, F.; Miele, C.; Napoli, R.; et al. Diabetes and Cognitive Impairment: A Role for Glucotoxicity and Dopaminergic Dysfunction. Int. J. Mol. Sci. 2021, 22, 12366. [Google Scholar] [CrossRef] [PubMed]
- Deng, C.K.; Mu, Z.H.; Miao, Y.H.; Liu, Y.D.; Zhou, L.; Huang, Y.J.; Zhang, F.; Wang, Y.Y.; Yang, Z.H.; Qian, Z.Y.; et al. Gastrodin Ameliorates Motor Learning Deficits through Preserving Cerebellar Long-Term Depression Pathways in Diabetic Rats. Front. Neurosci. 2019, 13, 1239. [Google Scholar] [CrossRef] [PubMed]
- Mu, Z.H.; Zhao, Z.M.; Yang, S.S.; Zhou, L.; Liu, Y.D.; Qian, Z.Y.; Liu, X.J.; Zhao, P.C.; Tang, R.B.; Li, J.Y.; et al. Gastrodin ameliorates cognitive dysfunction in diabetes by inhibiting PAK2 phosphorylation. Aging 2023, 15, 8298–8314. [Google Scholar] [CrossRef] [PubMed]
- Jun, L.; Zhong-Liang, W.; Hui-Xian, W. Pharmacokinetic Study of Gastrodin in Injection. Pharm. J. Chin. People’s Lib. Army 2006, 22, 391–393. (In Chinese) [Google Scholar]
- Ju, X.H.; Shi, Y.; Liu, N.; Guo, D.M.; Cui, X. Determination and pharmacokinetics of gastrodin in human plasma by HPLC coupled with photodiode array detector. J. Chromatogr. B 2010, 878, 1982–1986. [Google Scholar] [CrossRef] [PubMed]
- Jia, Y.; Li, X.; Xie, H.; Shen, J.; Luo, J.; Wang, J.; Wang, K.D.G.; Liu, Q.; Kong, L. Analysis and pharmacokinetics studies of gastrodin and p-hydroxybenzyl alcohol in dogs using ultra fast liquid chromatography–tandem mass spectrometry method. J. Pharm. Biomed. Anal. 2014, 99, 83–88. [Google Scholar] [CrossRef]
- Wang, Q.; Chen, G.; Zeng, S. Pharmacokinetics of Gastrodin in rat plasma and CSF after i.n. and i.v. Int. J. Pharm. 2007, 341, 20–25. [Google Scholar] [CrossRef]
- Jiang, L.; Dai, J.; Huang, Z.; Du, Q.; Lin, J.; Wang, Y. Simultaneous determination of gastrodin and puerarin in rat plasma by HPLC and the application to their interaction on pharmacokinetics. J. Chromatogr. B Anal. Technol. Biomed. Life Sci. 2013, 915–916, 8–12. [Google Scholar] [CrossRef] [PubMed]
- Jiang, L.; Yu, L.B.; Xu, G.L.; Zhang, Q.Y.; Yan, X.J.; Wang, Y.R. Pharmacokinetic study on combined application of gastrodin and puerarin in rats. Zhongguo Zhong Yao Za Zhi 2015, 40, 1179–1184. [Google Scholar] [PubMed]
- Liu, N.; Zhang, Z.X.; Ma, J.G.; Zhang, Z.J.; Tian, Y. Studies on pharmacokinetics and tissue distribution of gastrodin in rats. Chin. J. Pharm. Anal. 2015, 35, 1369–1376. (In Chinese) [Google Scholar] [CrossRef]
- Gang, C.; Xiu-hua, H.; Guo-liang, L.; Mei-juan, Z.; Fu-de, C. Pharmacokinetics of gastrodin in rats. Chin. Pharm. J. 2003, 38, 49–51. (In Chinese) [Google Scholar]
- Cai, Z.; Huang, J.; Luo, H.; Lei, X.; Yang, Z.; Mai, Y.; Liu, Z. Role of glucose transporters in the intestinal absorption of gastrodin, a highly water-soluble drug with good oral bioavailability. J. Drug Target. 2013, 21, 574–580. [Google Scholar] [CrossRef] [PubMed]
- Jiang, Z.; Zheng, X.; Gong, X.; Zhao, C.; Zhou, X.; Zhao, Y.; Yan, Y. Relative tissue distribution and excretion studies of gastrodin and parishin from powder and extract of Gastrodiae Rhizoma in rat by UHPLC-ESI-MS/MS. Biomed. Chromatogr. 2017, 31, e3909. [Google Scholar] [CrossRef]
- Lu, G.W.; Zou, Y.J.; Mo, Q.Z. Kinetic Aspects of Absportion, Distribution, Metrabolism and Excretion of 3h-Gastrodin in Rats. Acta Pharm. Sin. 1985, 20, 167–172. (In Chinese) [Google Scholar] [CrossRef]
- Wang, Q.; Chen, G.; Zeng, S. Distribution and metabolism of gastrodin in rat brain. J. Pharm. Biomed. Anal. 2008, 46, 399–404. [Google Scholar] [CrossRef] [PubMed]
- Jia, Y.; Shen, J.; Li, X.; Xie, H.; Wang, J.; Luo, J.; Wang, K.D.G.; Liu, Q.; Kong, L. Identification and analysis of gastrodin and its five metabolites using ultra fast liquid chromatography electrospray ionization tandem mass spectrometry to investigate influence of multiple-dose and food. J. Chromatogr. A 2014, 1358, 110–116. [Google Scholar] [CrossRef]
- Qiao, W.; Guoshen, C.; Su, Z. Study on the Metabolism of Gastrodin in Rat Brain, Liver, Kidney and Different Brain Regions Homogenate. Chin. J. Mod. Appl. Pharm. 2009, 26, 614–619. (In Chinese) [Google Scholar]
- Nepal, M.R.; Jeong, K.S.; Kim, G.H.; Cha, D.H.; Kang, M.J.; Kim, J.S.; Kim, J.H.; Jeong, T.C. Role of Intestinal Microbiota in Metabolism of Gastrodin In Vitro and In Vivo. Metabolites 2019, 9, 69. [Google Scholar] [CrossRef] [PubMed]






| Model | Dose | Results | Reference |
|---|---|---|---|
| PTZ-induced epilepsy mice | 50, 100, 200 mg/kg | Ameliorate the intensity and increase the latency of seizure, improve the EEG pattern, inhibit IL-1β expression in microglia and modulate MKP-1/MAPK signalling. | [42] |
| Pilocarpine-induced status epilepticus rats | 10 mM/day for 9 days | Reduce behavioural and electrographic severity of SE, reverse the increase in Nav1.6 expression in mEC Layer II and terminate bursting discharge, restore excitability of mEC Layer II stellate neurons. | [45] |
| PTZ-induced epilepsy zebrafish | 600, 800, 1000 μM | Decrease seizure-like behaviour, extend the latency period and activate antioxidant genes via upregulation of Nrf2 to eliminate ROS. | [10] |
| Lithium-pilocarpine induced epilepsy rats | 10, 20 mg/kg | Improve EEG signalling and cognitive behaviours, alleviate neural destruction, restore the expression of BDNF and NGF, and activate AMPK/PPARα pathway in model rats. | [43] |
| Lithium-pilocarpine induced epilepsy rats | 50 mg/kg | Reduce the seizure severity, prevent the development of established status epilepticus, inhibit the epileptiform discharge and reverse the protein degradation of GABAA receptor α1 subunit. | [9] |
| Effect | Model | Dose | Signalling Pathway | Reference |
|---|---|---|---|---|
| Anti-inflammation | LPS-exposed male C57BL/6 mice | 25, 50, 100 mg/kg/day for 10 days | Nrf2 signalling pathway | [47] |
| AOH female SD rats | 10, 50 mg/kg/day for 2 weeks | p38 MAPK signalling pathway | [48] | |
| LPS-induced SD postnatal rats | 50, 100, 200 mg/kg | Notch-1 and MAPKs signalling pathway | [49] | |
| TBI male rats | 15, 30, 60 mg/kg/day for 7 days | NLRP3 inflammasome signalling pathway | [50] | |
| LPS-stimulated BV2 microglia and postnatal rats | cells: 10, 20, 40, 80 μM rats: 100 mg/kg | Wnt/β-catenin signalling pathway | [51] | |
| TBI male SD rats and LPS-induced BV2 microglia | rats: 100 mg/kg cells: 40 μM | PKA/CREB/BDNF pathway | [52] | |
| LPS-stimulated microglial BV-2 cells | 30, 40, 60 μM | NF-κB and MAPK signalling pathway | [19] | |
| H2O2-treated human SH-SY5Y cells | 1–25 μM | Nrf2 signalling pathway | [53] | |
| LPS-activated BV-2 microglia | 0.17, 0.34 mM | RAS-Notch signalling pathway | [54] | |
| Antioxidation | Pb-exposed male ICR mice | 50, 100 mg/kg/day for 4 weeks | Wnt/Nrf2 signalling pathway | [55] |
| SAH male SD rats | 100 mg/kg | Nrf2/HO-1 antioxidant pathway | [56] | |
| glutamate-induced rat PC12 cells | 0.1, 1.0, 10.0 μM | CaMKII/ASK-1/p38 MAPK/p53 signalling pathway | [57] | |
| Regulation of neurotrophic factors | TBI male SD rats and LPS-induced BV2 microglia | rats: 100 mg/kg cells: 40 μM | PKA/CREB/BDNF pathway | [52] |
| OGD-prepared TNC1 cells | 0.34 mM | Notch signalling pathway | [58] | |
| Anti-apoptosis | MCAO-induced male SD rats | 15, 30, 60 mg/kg | apoptotic signalling pathways | [59] |
| MCAO-induced male SD rats and Wister rats | 100 mg/kg | intrinsic apoptosis pathway | [60] | |
| MCAO-injured male C57BL/6 mice | 50, 100, 200 mg/kg/day for 6 days | Wnt/β-Catenin and BCL-2 signalling pathway | [61] | |
| Regulation of autophagy | LPS-exposed glial cells | 10 μM | BCL-2 and Bax signalling pathway | [62] |
| METH-treated SH-SY5Y cells | 2, 4 mM | AKT/mTOR signalling pathway | [63] | |
| Hypoxia-exposed HT-22 cells | 50, 100 μmol/L for 1.5 h | PI3K/AKT signalling pathway | [64] | |
| CoCl2-induced HT-22 cells | 200 μM for 1 h | Ca2+/CaMKII signalling pathway | [65] |
| Model | Dose | Reference | |
|---|---|---|---|
| AD | Aβ1–42-induced male SD rats | 10 mM | [79] |
| Tg2576 transgenic mice | 60 mg/kg/day for 15 days | [80] | |
| Aβ1–42-injected C57BL/6 mice | 60 mg/kg | [81] | |
| Aβ1–42-induced male mice | 100 mg/kg/day for 15 days | [82] | |
| Dgal-induced mice | 3, 90, 210 mg/kg/day for 9 weeks | [83] | |
| Aβ1–42-induced BV2 mouse microglial cells | 10 μg/mL | [84] | |
| Aβ1–42-induced rat hippocampal neurons | 1–100 μM | [85] | |
| PD | rotenone-induced male Wistar rats | 0.2 g/kg | [86] |
| rotenone-induced Lewis rats | 5 mg/kg | [87] | |
| 6-OHDA-induced male Wistar rats | 20, 40, 80 μg/3 μL/day for 5 days | [88] | |
| MPTP-induced male C57BL/6 mice | 10, 30, 60 mg/kg/day for 15 days | [89] | |
| MPTP-induced male C57BL/6 mice | 60 mg/kg/day for 2 weeks | [90] | |
| MPTP-induced male C57BL/6 mice | 100 mg/kg/day for 19 days | [91] | |
| 6-OHDA-induced C. elegans | 0, 25, 50, 100, 200 μM | [92] | |
| MPTP-induced SH-SY5Y cells | 1, 5, 25 μM | [89] | |
| MPP+-induced human dopaminergic SH-SY5Y cells | 1, 5, 25 μM | [20] | |
| Cerebral ischemia | MCAO-induced male SD rats | 10 mg/kg/day for 14 days | [93] |
| MCAO-induced mice | 10, 50, 100 mg/kg | [94] | |
| BCCAO-induced mice | 50, 100 mg/kg/day for 14 days | [95] | |
| OGD/R-exposed NSCs | 0.01–1 μmol/L for 48 h | ||
| OGD-exposed TNA2 cells | 10, 20, 50, 100 μM | [96] | |
| ALS | ALS mice | 50, 200 mg/kg | [97] |
| TBI | TBI male rats | 15, 30, 60 mg/kg/day for 7 days | [50] |
| TBI male SD rats | 100 mg/kg | [52] | |
| LPS-induced BV2 microglia | 40 μM | ||
| Species | Mode of Administration | Dose | Cmax (μg/mL) | AUC (μg h/mL) | T1/2 (h) | Reference |
|---|---|---|---|---|---|---|
| Human | iv. | 600 mg | 94.66 ± 23.52 | 391.02 ± 81.88 | 4.16 ± 0.82 | [127] |
| po. | 200 mg | 1.48 ± 0.28 | 7.21 ± 3.47 | 6.06 ± 3.20 | [128] | |
| Dog | ig. | 40 mg/kg | 23.00 ± 4.39 | 121.75 ± 21.79 | 4.80 ± 2.26 | [129] |
| Rat | in. | 50 mg/kg | - | 3.70 ± 0.54 | - | [130] |
| iv. | 50 mg/kg | - | 43.30 ± 9.64 | - | ||
| iv. | 20 mg/kg | 75.6 ± 6.63 | 22.3 ± 2.57 | 1.14 ± 0.380 | [131] | |
| ig. | 40 mg/kg | 21.7 ± 6.90 | 18.1 ± 5.63 | 2.81 ± 2.25 | ||
| ig. | 100 mg/kg | 44.84 ± 14.51 | 57.92 ± 11.94 | 1.13 ± 0.06 | [22] | |
| ig. | 40 mg/kg | 21.74 ± 6.90 | 18.14 ± 5.63 | 2.81 ± 2.25 | [132] | |
| iv. | 20 mg/kg | 75.65 ± 6.63 | 22.26 ± 2.57 | 1.14 ± 0.38 | ||
| ig. | 21 mg/kg | 10.78 ± 0.95 | 9.45 ± 0.41 | 1.43 ± 0.67 | [133] | |
| iv. | 21 mg/kg | - | 28.06 ± 2.39 | 1.30 ± 0.50 |
Disclaimer/Publisher’s Note: The statements, opinions and data contained in all publications are solely those of the individual author(s) and contributor(s) and not of MDPI and/or the editor(s). MDPI and/or the editor(s) disclaim responsibility for any injury to people or property resulting from any ideas, methods, instructions or products referred to in the content. |
© 2024 by the authors. Licensee MDPI, Basel, Switzerland. This article is an open access article distributed under the terms and conditions of the Creative Commons Attribution (CC BY) license (https://creativecommons.org/licenses/by/4.0/).
Share and Cite
Dai, Y.; Ban, W.; Yang, Z. Gastrodin, a Promising Natural Small Molecule for the Treatment of Central Nervous System Disorders, and Its Recent Progress in Synthesis, Pharmacology and Pharmacokinetics. Int. J. Mol. Sci. 2024, 25, 9540. https://doi.org/10.3390/ijms25179540
Dai Y, Ban W, Yang Z. Gastrodin, a Promising Natural Small Molecule for the Treatment of Central Nervous System Disorders, and Its Recent Progress in Synthesis, Pharmacology and Pharmacokinetics. International Journal of Molecular Sciences. 2024; 25(17):9540. https://doi.org/10.3390/ijms25179540
Chicago/Turabian StyleDai, Yanan, Weikang Ban, and Zhihong Yang. 2024. "Gastrodin, a Promising Natural Small Molecule for the Treatment of Central Nervous System Disorders, and Its Recent Progress in Synthesis, Pharmacology and Pharmacokinetics" International Journal of Molecular Sciences 25, no. 17: 9540. https://doi.org/10.3390/ijms25179540
APA StyleDai, Y., Ban, W., & Yang, Z. (2024). Gastrodin, a Promising Natural Small Molecule for the Treatment of Central Nervous System Disorders, and Its Recent Progress in Synthesis, Pharmacology and Pharmacokinetics. International Journal of Molecular Sciences, 25(17), 9540. https://doi.org/10.3390/ijms25179540

